Comparative analysis of elementwise reception-algorithms in intersymbol interference channels
- Authors: Khabarov E.O.1, Martyshenko V.D.1
-
Affiliations:
- Povolzhskiy State University of Telecommunications and Informatics
- Issue: Vol 27, No 4 (2024)
- Pages: 73-82
- Section: Articles
- URL: https://journals.rcsi.science/1810-3189/article/view/285180
- DOI: https://doi.org/10.18469/1810-3189.2024.27.4.73-82
- ID: 285180
Cite item
Full Text
Abstract
Background. Many modern communication-systems work on channels with intersymbol interference. Therefore comparative analysis of elementwise reception-algorithms is topical by work in such channels. Aim. The Aim of this work is qualitative properties of suboptimal demodulators on maximum-likelihood-rule based and demodulators on linear equalizers based. Methods. The method of simulation computer modeling was used for acquisition these qualitative properties. By modeling the models of one-path as well as multi-path channels by how specific keying rate (faster than Nyquist-rate) were used. Results. Optimal and suboptimal sorting-algorithms as well as algorithms on linear equalizer based were consider. The qualitative properties on simulation computer modeling based were received. Conclusion. The results of simulation modeling reveal, what decision feed-back noise immunity is improved, in spite of error extension. The demodulators, on linear equalizer based, have comparable qualitative properties with sorting demodulators. Herewith the positive impact of decision feed-back was observed.
Full Text
Введение
В данной статье анализируются методы обработки сигнальных последовательностей в последовательных (одноканальных – mono-Carrier) системах связи. В таких системах нередко возникает явление межсимвольной интерференции (МСИ), которое характерно для широкого класса каналов связи. Примерами таких каналов могут служить декаметровый (ДКМВ) канал связи, тропосферные линии связи, каналы мобильной связи, а также каналы, имеющие неравномерную амплитудно-частотную характеристику (АЧХ) в полосе Найквиста.
Основными причинами указанного явления считаются диффузное временное рассеяние, которое приводит к перекрытию элементов сигнальной последовательности во времени; многолучевое распространение сигнала, характерное для ДКМВ-каналов и каналов мобильной связи; ограничение полосы занимаемых частот и неравномерность АЧХ, которая приводит к искажению формы автокорреляционной функции (АКФ) единичного сигнального элемента.
Особо следует отметить процесс передачи сигнальных последовательностей по каналам с ограниченной полосой пропускания с повышенной удельной скоростью модуляции (быстрее т. н. скорости Найквиста [1–4]):
(Бод/Гц), (1)
где V (Бод) – скорость манипуляции; F (Гц) – полоса занимаемых сигналом частот; (Бод/Гц) – предельная удельная скорость манипуляции, при которой отсутствует межсимвольная интерференция (т. н. скорость Найквиста).
Превышение величины может возникнуть вследствие как сужения полосы канала, так и осуществляться преднамеренно с целью повышения скорости передачи информации.
Следствием возникновения МСИ является нарушение взаимной ортогональности элементов сигнальной последовательности, или, что эквивалентно, нарушение свойства отсчетности автокорреляционной функции (АКФ) единичного сигнального элемента (СЭ):
(2)
при
где – номера элементов сигнальной последовательности; – тактовый интервал; – АКФ единичного СЭ; – скалярное произведение между элементами сигнальной последовательности с номерами l и λ соответственно; – единичный СЭ.
Влияние МСИ на дистанционные характеристики сигнальных последовательностей
Нарушение взаимной ортогональности, в свою очередь, приводит к ухудшению дистанционных характеристик, т. е. различимости отличающихся друг от друга сигнальных последовательностей.
Данное утверждение можно пояснить следующим образом.
Рассмотрим два варианта сигнальной последовательности:
(3)
(4)
где l – номер СЭ в последовательности; m, μ – номер позиции СЭ; M – позиционность сигнальной системы; – номера вариантов сигнальных последовательностей; – амплитуды соответствующих элементов сигнальных последовательностей и принадлежащие конечному дискретному множеству.
Используя соотношения (1) и (2), сформируем разностный сигнал:
(5)
где разностные амплитуды
Тогда квадрат нормы разностного сигнала в гильбертовом пространстве определится следующим образом:
(6)
где – векторное представление разностного сигнала (5); – скалярные произведения, определяемые соотношением (2).
Зафиксируем разностную амплитуду центрального элемента сигнальной последовательности:
(7)
Введем обозначение
(8)
Данная величина определяет квадрат нормы вектора единичного СЭ, или, что эквивалентно, его энергию.
Преобразуем квадратичную форму (6) следующим образом:
(9)
где величина
включает в себя скалярные произведения только не совпадающих во времени СЭ.
Если элементы сигнальной последовательности ортогональны, а АКФ единичного СЭ обладает свойством отсчетности, то получим:
(10)
Очевидно, что в этом случае минимум квадрата расстояния между сигнальными последовательностями с номерами k и j (дистанционной характеристики) достигается, когда амплитуды всех соответствующих, за исключением центрального, СЭ совпадают:
(11)
Если же взаимная ортогональность СЭ нарушается, то величина причем может быть как положительной, так и отрицательной. В этом случае минимум дистанционной характеристики определяется как
(12)
Из соотношения (12) следует, что наличие МСИ может приводить к ухудшению дистанционной характеристики сигнальной системы, и, как следствие, к ухудшению помехоустойчивости телекоммуникационной системы.
Оптимальные и субоптимальные демодуляторы при наличии МСИ
Рассмотрим сигнальную последовательность вида (3) в смеси с аддитивным шумом:
(13)
где – аддитивный белый гауссовский шум.
Задача состоит в принятии решения относительно амплитуды центрального элемента сигнальной последовательности. При этом минимальная вероятность ошибки обеспечивается при использовании правила максимального правдоподобия [5; 8; 9]:
(14)
где – решение относительно амплитуды центрального элемента сигнальной последовательности; – номер варианта сигнальной амплитуды; Q – позиционность сигнальной системы; – условная плотность вероятности принимаемой смеси.
Если применить формулу полной вероятности и усреднить функцию по всем вариантам предшествующих и последующих сигнальных последовательностей, то правило (14) можно преобразовать следующим образом:
(15)
где – вектор амплитуд сопровождающих СЭ (как предшествующих демодулируемому СЭ, так и последующих за ним), m – в данном случае номер варианта центрального СЭ.
Если предположить, что аддитивная помеха в канале связи представляет собой белый гауссовский шум (АБГШ), а комбинации сопровождающих СЭ равновероятны, то правило (15) можно привести к:
(16)
где z – векторное представление принимаемой смеси (13); – векторное представление сигнальной последовательности, у которой центральный элемент имеет номер m, а вектор сопровождающих СЭ – номер k; – дисперсия флуктуационной аддитивной помехи.
Как следует из соотношения (16), процедура принятия решения по данному алгоритму требует суммирования большого числа экспонент с различными показателями степени. Кроме того, на приеме необходимо учитывать величину дисперсии аддитивного шума.
Если учесть, что функция плотности вероятности гауссовского случайного процесса имеет ярко выраженный нелинейный характер, можно выделить максимальное слагаемое в сумме, которая входит в соотношение (16):
(17)
Если применить логарифмирование, то решающее правило (17) можно свести к сравнению гильбертовых или евклидовых метрик:
(18)
При рассмотрении решающих правил (14)–(18) предполагалось, что интервал анализа принимаемой смеси не ограничен во времени:
На практике этот интервал приходится ограничивать, например, можно положить интервал анализа равным интервалу рассеяния демодулируемого СЭ:
Тогда, используя (18), можно сформулировать следующий алгоритм принятия решения относительно амплитуды
(19)
где Q – полный интервал рассеяния одиночного СЭ, выраженный в тактовых интервалах (полная память канала).
На принятие решения по алгоритму (19) существенное влияние оказывают последействия от СЭ, предшествующих демодулируемому. Указанные последействия можно скомпенсировать за счет обратной связи по решению (ОСР):
(20)
где – решения относительно амплитуд предшествующих СЭ.
Тогда при принятии решения по алгоритму (19) можно ограничиться перебором только последующих СЭ:
(21)
где определяется соотношением (20).
Данный алгоритм получил название «прием в целом с поэлементным принятием решения», или алгоритм Кловского – Николаева (АКН) [1; 2].
Как будет показано ниже, применение алгоритма (21) позволяет не только уменьшить вычислительную сложность алгоритма, но и улучшить различимость сигнальных последовательностей, отличающихся амплитудой анализируемого СЭ, и, как следствие, повысить помехоустойчивость системы связи.
Демодуляторы на основе выравнивающих фильтров
Рассмотренные в предыдущей главе демодуляторы обеспечивают хорошую помехоустойчивость в каналах с МСИ. Например, опытные образцы модемов на основе АКН (21) показали высокие результаты в каналах ДКМВ-диапазона.
Однако информационная сложность указанного алгоритма растет по показательному закону при увеличении памяти канала Q и позиционности сигнальной системы M.
В силу этих причин широкое применение нашли линейные выравниватели – ЛВ (Equalizers), реализационная сложность которых растет по линейному закону при увеличении Q и не зависит от M [7; 10–12].
На практике наиболее широкое применение нашли выравниватели на основе следующих критериев оптимальности:
- Критерий минимума среднеквадратического отклонения (СКО), обусловленного как аддитивным шумом на выходе ЛВ, так и остаточной МСИ:
(22)
где – сигнальная последовательность; – импульсная характеристика (ИХ) ЛВ; – задержка в ЛВ.
- Критерий максимума отношения сигнал/шум на выходе ЛВ при полном подавлении откликов от сопровождающих СЭ:
(23)
при для
Можно показать, что структура оптимального ЛВ представляет собой каскадное соединение фильтра, согласованного с ЕСЭ, и трансверсального фильтра с отводами через T, которые оптимизированы в соответствии с тем или иным критерием.
В настоящее время нашли применение т. н. «полные» ЛВ, подавляющие как последействия СЭ, предшествующих демодулируемому, так и преддействия СЭ, последующих за ним. Кроме того, широко используются выравниватели с ОСР (Decision-Feed-Back-Equalizers – DFBE), в которых последействия от предыдущих СЭ компенсируются за счет ОСР, а преддействия от последующих СЭ подавляются ЛВ.
В данном случае применение ОСР, как и для переборного алгоритма, позволяет не только упростить реализацию ЛВ, но и улучшить помехоустойчивость системы связи.
Характеристики помехоустойчивости
Анализ характеристик качества рассмотренных выше алгоритмов осуществлялся методом программного моделирования в системе MATLAB.
При этом использовалась сигнальная последовательность со спектром типа «симметрично суженная октава» с полосой Гц при скорости манипуляции
Бод
Таким образом, в этом случае МСИ на передаче вводится принудительно.
В процессе моделирования использовались два варианта канала связи: однолучевой и двухлучевой с интерферирующими лучами равной интенсивности, – сдвинутых друг относительно друга на интервал Параметры единичного СЭ предполагались фиксированными и известными на приемной стороне.
Отношение сигнал/шум – SNR (Signal-Noise-Ratio) – изменялось в пределах от 5 до 15 дБ с шагом через 0,25 дБ.
Для каждого фиксированного значения SNR коэффициент ошибок определялся на основе сигнальной матрицы, содержащей 4096 строк по 512 СЭ.
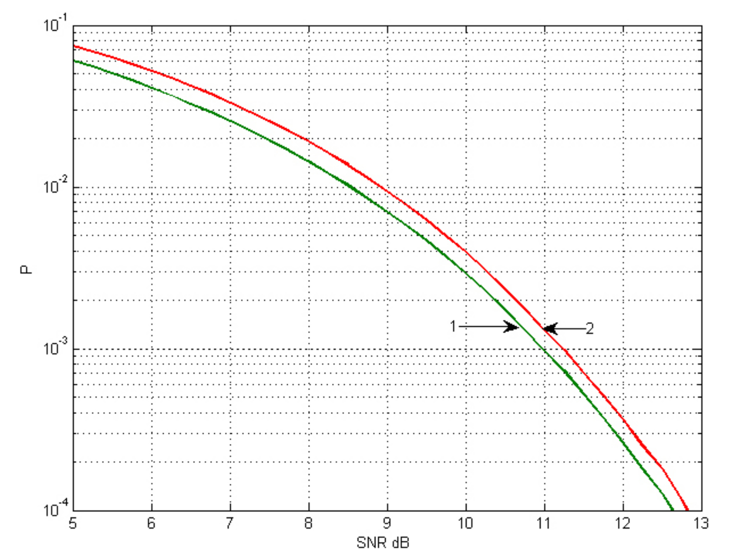
На рис. 1 представлены характеристики помехоустойчивости субоптимальных алгоритмов при работе в однолучевом канале связи.
Рис. 1. Характеристики субоптимальных алгоритмов переборного типа в однолучевом канале
Fig. 1. The characteristics of suboptimal sorting algorithms in one-path-channel
Кривая 1 характеризует помехоустойчивость алгоритма (19), предусматривающего полный перебор как предшествующих, так и последующих сопровождающих (СЭ). Кривая 2 определяет помехоустойчивость алгоритма (21) (АКН) в случае идеальной ОСР, при которой амплитуды предшествующих СЭ поступают в цепь обратной связи без ошибок (т. е. со входа модулятора), а кривая 3 соответствует демодуляции с реальной ОСР, при которой решения относительно амплитуд предшествующих СЭ поступают с выхода демодулятора (при наличии ошибок).
На рис. 2 приведены аналогичные характеристики применительно к двухлучевому каналу.
Рис. 2. Характеристики субоптимальных алгоритмов переборного типа в двухлучевом канале
Fig. 2. The characteristics of suboptimal sorting algorithms in two-path-channel
При этом необходимо отметить, что в однолучевом канале при наличии МСИ средней интенсивности результаты примерно одинаковы при несущественном проигрыше АКН с реальной обратной связью в силу эффекта размножения ошибок.
При работе в двухлучевом канале в области низких отношений сигнал/шум алгоритм 19 и АКН с реальной ОСР примерно эквивалентны, при ослаблении шума АКН имеет лучший результат. При этом идеальная обратная связь обеспечивает энергетический выигрыш около 1 дБ.
На рис. 3 и 4 соответственно представлены аналогичные характеристики ЛВ, в основе которых лежит критерий минимума СКО (MSE–критерий). При этом кривые 1 на обоих рисунках определяют помехоустойчивость «полного» ЛВ, оптимизированного в соответствии с критерием (22), а кривые 2 и 3 определяют помехоустойчивость ЛВ с идеальной и реальной ОСР соответственно.
Рис. 3. Характеристики линейных выравнивателей в однолучевом канале
Fig. 3. The characteristics of linear equalizers in one-path-channel
Рис. 4. Характеристики линейных выравнивателей в двухлучевом канале
Fig. 4. The characteristics of linear equalizers in two-path-channel
Если в однолучевом канале результаты примерно эквивалентны, то при интенсивной МСИ демодуляторы с ОСР обеспечивают энергетический выигрыш до 1,5 дБ. При этом наблюдается существенное влияние эффекта размножения ошибок.
На рис. 5 и 6 представлены кривые помехоустойчивости выравнивателей с обратной связью по решению (DFBE) на основе алгоритма (23). При этом в области умеренных отношений сигнал/шум энергетический проигрыш носит несущественный характер (до 0,5 дБ в двухлучевом канале).
Рис. 5. Характеристики выравнивателей с ОСР в однолучевом канале
Fig. 5. The characteristics of decision-feed-back equalizers in one-path-channel
Рис. 6. Характеристики выравнивателей с ОСР в двухлучевом канале
Fig. 6. The characteristics of decision-feed-back equalizers in two-path-channel
Из анализа представленных результатов следует, что в каналах с существенной МСИ демодуляторы с ОСР имеют лучшие результаты в плане помехоустойчивости наряду с существенными реализационными преимуществами.
Заключение
В данной статье рассмотрены алгоритмы поэлементного приема сигнальных последовательностей при наличии межсимвольной интерференции. Показано, что это явление приводит к нарушению ортогональности элементов последовательности и, как следствие, к ухудшению помехоустойчивости.
Были рассмотрены как оптимальные (по критерию минимума вероятности ошибки на бит), так и субоптимальные алгоритмы переборного типа.
Кроме того, были приведены алгоритмы демодуляции на основе выравнивающих (корректирующих) фильтров.
Сравнительный анализ помехоустойчивости приведенных алгоритмов проводился методом имитационного компьютерного моделирования. При этом рассматривались однолучевой канал связи, в котором МСИ обусловлена ограничением полосы занимаемых частот, а также двухлучевой канал связи с интерферирующими лучами.
Результаты моделирования выявили, что применительно к переборным демодуляторам использование обратной связи по решению позволяет улучшить помехоустойчивость, несмотря на эффект размножения ошибок.
Что касается демодуляторов на основе ЛВ, то они показали результаты, сопоставимые с характеристиками алгоритмов переборного типа. При этом также наблюдалось положительное влияние обратной связи по решению.
About the authors
Eugene O. Khabarov
Povolzhskiy State University of Telecommunications and Informatics
Author for correspondence.
Email: khabarof@rambler.ru
SPIN-code: 5103-6220
ResearcherId: KLY-8641-2024
Doctor of Technical Sciences, professor of the Department of Theoretical Foundations of Radio Engineering and Communication
Russian Federation, 23, L. Tolstoy Street, Samara, 443010Vladimir D. Martyshenko
Povolzhskiy State University of Telecommunications and Informatics
Email: vladmart0225@mail.ru
ORCID iD: 0009-0002-1484-7870
SPIN-code: 3794-1830
ResearcherId: KJO-2701-2024
Graduate student of the Department of Theoretical Foundations of Radio Engineering and Communication
Russian Federation, 23, L. Tolstoy Street, Samara, 443010References
- D. D. Klovskiy, Transmission of Discrete Messages via Radio Channels. Moscow: Radio i svyaz’, 1982. (In Russ.)
- B. I. Nikolaev, Serial Transmission of Discrete Messages over Continuous Channels with Memory. Moscow: Radio i svyaz’, 1988. (In Russ.)
- E. O. Khabarov and E. V. Maksimov, “The peculiarity of signal-coded-construction with higher stability of fading in decameter channel,” Physics of Wave Processes and Radio Systems, vol. 23, pp. 29–36, 2020, doi: https://doi.org/10.18469/1810-3189.2020.23.2.29-36. (In Russ.)
- M. Wen et al., “ICI cancellation techniques based on data repetition for OFDM systems in radio access network slicing and virtualization for 5G vertical industries,” in Radio Access Network Slicing and Virtualization for 5G Vertical Industries. Hoboken: John Wiley & Sons, 2021, pp. 1–24, doi: https://doi.org/10.1002/9781119652434.ch1.
- A.-M. Cuc, F. L. Morgoş, and C. Grava, “Performances analysis of turbo codes, LDPC codes and polar codes using AWGN channel with and without inter symbol interference,” 2022 International Symposium on Electronics and Telecommunications (ISETC), pp. 1–4, 2022, doi: https://doi.org/10.1109/ISETC56213.2022.10010114.
- L. Wu and P. Wang, “Channel Interference technology research based on wireless communitation network,” 2021 IEEE International Conference on Power Electronics, Computer Applications (ICPECA), pp. 1028–1031, 2021, doi: https://doi.org/10.1109/ICPECA51329.2021.9362639.
- E. Song, J. Kim, and J. Kim, “A passive equalizer optimization method based on time-domain inter-symbol interference (ISI) cancellation technique,” IEEE Transactions on Electromagnetic Compatibility, vol. 60, no. 3, pp. 807–810, 2017, doi: https://doi.org/10.1109/TEMC.2017.2749519.
- J. G. Proakis, Digital Communications, 4th ed. New York: McGraw-Hill, 2001.
- G. Ungerboeck, “Nonlinear equalization of binary signals in Gaussian noise,” IEEE Transactions on Communication Technology, vol. 19, no. 6, pp. 1128–1137, 1975, doi: https://doi.org/10.1109/TCOM.1971.1090785.
- R. P. Junior, C. A. F. de Rocha, and B. S. Chang, “Multiple independent interfrences cancellation for SC-FDE systems using widely linear iterative equalizers,” 2018 IEEE 10th Latin-American Conference on Communications (LATINCOM), pp. 1–6, 2018, doi: https://doi.org/10.1109/LATINCOM.2018.8613234.
- H. Kim et al., “Signal integrity analysis of through-silicon-via (TSV) with passive equalizer to separate return path and mitigate the inter-symbol interference (ISI) for next generation bandwidth memory,” IEEE Transactions on Components, Packaging and Manufacturing Technology, vol. 13, no. 12, pp. 1973–1988, 2023, doi: https://doi.org/10.1109/TCPMT.2023.3334789.
- V. Djigan, “Fast RLS algorithms in combined adaptive array and fracionally-spased feed-forward/feed-backward equalizer,” 2020 IEEE East-West Design & Test Symposium (EWDTS), pp. 1–6, 2020, doi: https://doi.org/10.1109/EWDTS50664.2020.9225028.
Supplementary files








