Solving an internal problem for finite regular two-dimensional lattice spiral elements, excitable plate electromagnetic wave
- Autores: Tabakov D.P.1, Al-Nozaili B.M.2
-
Afiliações:
- Povolzhskiy State University of Telecommunications and Informatics
- Samara National Research University
- Edição: Volume 27, Nº 3 (2024)
- Páginas: 17-33
- Seção: Original Study Articles
- URL: https://journals.rcsi.science/1810-3189/article/view/269919
- DOI: https://doi.org/10.18469/1810-3189.2024.27.3.17-33
- ID: 269919
Citar
Resumo
Background. The work is aimed at developing and researching rigorous methods for solving internal problem of electrodynamics for multi-element structures (metastructures) consisting from the final number of elements, as well as to study the physical processes occurring in them. A special case of such structures are two-dimensional lattices with a fixed interelement distance, consisting of identical elements having the same spatial orientation (regular lattices). Aim. In this work, based on an iterative approach, the internal solution is solved. problems of electrodynamics for a finite regular two-dimensional lattice of spiral elements. In order to obtain a priori information about the electrodynamic characteristics of elements lattice and justification for the choice of projection function systems are analyzed spectral characteristics of the integral operator of the internal problem for a single spiral element. Then the currents on the structure elements are calculated, their spectral characteristics are determined. The results of spectral analysis allow increase the efficiency of solving an internal problem. Methods. The research is based on a strict electrodynamic approach, within the framework of which, for the specified structure in the thin-wire approximation, an integral representation of the electromagnetic field is formed, which, when considered on the surface of conductors together with boundary conditions, is reduced to a system of Fredholm integral equations of the second kind, written relative to unknown current distributions on conductors (internal task). The solution of the internal problem within the framework of the method of moments is reduced to solving a SLAE with a block matrix. Results. A mathematical model of a finite two-dimensional lattice of spiral elements is proposed radiating structure. For the specified structure, in the case of its excitation by a flat electromagnetic wave, based on the iterative approach, the internal problem of electrodynamics was solved. The following were carried out in a wide frequency range: analysis of the convergence of the iterative process, spectral analysis of the integral operator of the internal problem for a single spiral element, as well as spectral analysis of external field and current functions functions on lattice elements. Conclusion. The feasibility of determining the spectral characteristics of integral operators is shown internal task for the elements forming the metastructure. A relationship has been identified between the frequency dependence eigenvalues of the integral operator of the internal problem of single elements, forming a metastructure, with resonance phenomena arising in the metastructure, the influence of resonances on the convergence of the iterative process was confirmed. The feasibility of considering averaged amplitude current spectra is shown. It was revealed that the averaged spectrum of current functions is close to degenerate, especially near resonant frequencies. This allows for use as projection functions a compact set of eigenfunctions that have significant amplitudes in the vicinity of the frequency under study, which significantly simplifies the solution of the internal problem.
Texto integral
Introduction
One of the principal trends in electrodynamics is the study of processes in emitting and re-emitting antenna arrays and the determination of the properties of generated and dissipated electromagnetic fields (EMFs). The former is known as the emitting problem, whereas the latter is the EMF diffraction problem. The study of the processes in such arrays requires identifying current distribution functions over array components. This is the internal electrodynamic problem. Meanwhile, the external electrodynamic problem involves the determination of the properties of the EMF generated by the current. The above problems are general by nature.
Note that an array is any structure containing multiple components. Each component has its current distribution function. The vast majority of real-world antennas (e.g., phased antenna arrays) fall under this definition. Re-emitting arrays include chiral structures [1], photonic crystals [2], diffraction gratings, some types of microwave lenses and slow-wave circuits, and any microstructures. The above-listed examples, except for microstructures, are called metastructures or metamaterials. Metamaterials are manufactured by introducing particles of various shapes into a base material to modify its dielectric and magnetic susceptibility. They consist of repeating patterns that govern their properties. The paper by V.G. Veselago [3] can be considered the foundation of metamaterials science. Metamaterials can have unconventional properties not found in natural materials, such as their negative refractive index [4] (left-handed materials). D.R. Smith and his team at the University of California, San Diego [5] reinvented and demonstrated such materials more than 30 years after V.G. Veselago published his article. Their work was based on the study by J.B. Pendry [6–8].
Nowadays, metamaterials are used in high-performance microwave devices and antenna feeders. The review of Vendik et al. [9] presented the applications of metamaterials to microwave devices and antennas. Other examples of metamaterials are photonic crystals [2]. They can be used to make optical filters, waveguides, and many other devices.
Interactions between elements in emitting and re-emitting arrays are of special interest. These interactions must be incorporated into valid mathematical models of antenna arrays. A valid mathematical model correctly represents the processes in an array. Meanwhile, an effective mathematical model significantly reduces the time and resources required to analyze or design an array with specified characteristics.
Throughout the development of electrodynamics, optics, and microwave device technology, numerous methods, each with distinct advantages and disadvantages, have been developed. Among these, the induced EMF method has been used for a long time to analyze interactions in multielement emitting arrays. Schelkunoff et al. [10] presented the basic principles of this method. Using the induced EMF method, one can find the affected impedances of antenna elements and the amplitudes and phases of currents in passive antenna elements. However, a disadvantage of this method involves some restrictions on the length and distance between array elements as approximate current distributions are used.
Nowadays, computer-aided design (CAD) systems are used to solve such problems using the method of moments [11], the finite element method, and the finite difference method [12]. However, the drawbacks of this approach include the high requirements for computer hardware performance, expensive software, and the unavailability of an explicit mathematical model of the analyzed antenna array.
CAD systems can also be used for the analysis of metamaterials with the pros and cons already mentioned. Rigorous methods with periodic boundary conditions are the most efficient options for the analysis of metamaterials with a regular structure pattern used in long- or unlimited-wavelength antenna arrays. Meanwhile, simplified approaches use circuit theory methods (equivalent circuits) and effective dielectric and magnetic permeability. Optical and quasioptical methods are also suitable for the analysis of metamaterial antenna arrays working with long wavelengths. In this respect, the validity of any simplified model should always be confirmed [13].
Therefore, general-purpose methods must be developed for the analysis of interelement interactions in antenna arrays. In this regard, Ilinskiy et al. [14] proposed an iterative approach to solving integral equations used in the wire antenna theory. The approach was based on the multistep minimal residual method. This method was applied directly to the general matrix of a system of linear algebraic equations (SLAE). Meanwhile, Neganov et al. [15] used a modification of the Gauss–Seidel method [16] for a block matrix of an SLAE for interaction analysis. The method was applied to solve a diffraction problem for a metastructure, a thin layer with finite dimensions consisting of double open rings. The proposed method was found to be effective for the analysis of metastructures with finite dimensions. Further, Neganov et al. [17] considered the problem of a plane electromagnetic wave (PEMW) diffraction on a chiral layer. The layer was a rectangular, evenly spaced 10 × 10 array composed of five-segment S-elements. They showed that despite the rather small number of chaotically oriented S-elements, the scattering diagrams were quite oriented. In another study [18], the findings presented by Neganov et al. [15] were supplemented with algorithms for the calculation of the SLAE block matrix elements for a structure consisting of identical elements with different types of symmetry. These algorithms significantly reduced the computation time. Tabakov et al. [19] considered the applicability of the method presented by Neganov et al. [15] to the analysis of current distributions in a director antenna [20]. The method had good convergence for the analysis of a director antenna in a specified frequency range. Further, Tabakov et al. [21] studied the applicability of the iterative approach to solving the internal problem for a symmetrical vibrator with a reflector made of parallel rectilinear conductors. They also presented a key algorithm for calculating the block matrix elements. The algorithm’s running time increased linearly with the number of reflector elements. The authors also provided recommendations on the selection of projection function systems (PFSs) depending on the symmetries present in the structure. They also studied the distributions of the currents, input resistance, and radiation characteristics of the structure.
This study aimed to solve the internal problem for a finite regular two-dimensional (2D) array consisting of conical spiral elements. The array was excited by a plane linearly polarized electromagnetic wave. We used the method proposed by Neganov et al. [15] as a basis for the solution of the internal problem. We also proposed an algorithm for calculating the compact block matrix based on the algorithms described previously [18]. We performed a spectral analysis of the internal problem’s integral operator for a single spiral element as previously described [22] because the resonance properties of the array elements affect the convergence of the iterative process. Another reason was to verify the selection of the system of projection functions used in the method of moments. In this paper, we present the following:
- the spectral analysis results for a single spiral element and an array of such elements,
- the convergence of the internal problem solution for an array of elements,
- interpretation of the results, and
- proposals for subsequent research.
Basic mathematical expressions
The basic expressions have been sufficiently presented previously [21], but we provide them with some explanation. Let us consider an emitting or re-emitting array consisting of the elements is the number of elements). The array is formed from its unique elements by their parallel translation and/or rotation is the number of unique elements). The internal electrodynamics problem for this array is reduced to the following operator system [19]:
(1)
In this system, are operators representing the interaction between the elements and is the eigenoperator of the element represents the functions for the currents induced by external fields; and, indicates the current distribution functions to be defined. The method of moments [11] is applied to system (1). Using the systems of basis and test functions we find the scalar product operator of the functions. The sought functions are approximated by the following series:
(2)
The following SLAE is constructed with respect to the unknown coefficients :
(3)
where is the block matrix of generalized impedances and, are the block vectors of the unknowns and the right-hand side, respectively:
The block matrix elements with identical indices form intrinsic impedance matrices, whereas the elements with different indices form mutual impedance matrices. The latter defines the interactions between the metastructure elements. Thebrackets denote a scalar product. Let us introduce an array of unique matrices We assume that the first matrices of the array form intrinsic impedance matrices containing unique elements whereas the remaining elements form mutual impedance matrices. The array with its elements matches the pair of indices and the index Therefore:
In the general case, the antenna array consists of chaotically arranged, heterogeneous elements the introduction of the arrays and makes no sense as they only insignificantly increase the requirements for computer memory and time. However, when the antenna array contains identical and regularly arranged elements, the inequality takes place and the introduction of these arrays makes sense. They contain the fundamental part of the a priori information about the antenna array. The algorithm for calculating the array of unique matrices is discussed below.
The final stage of the solution for the internal problem is the solution of the block SLAE (3). In this case, matrix-splitting iterative methods [16] seem promising, but if the matrix is not diagonally dominant, such methods do not ensure convergence.
To ensure the convergence of classical iterative methods, we can consider the block SLAE (3) assuming that there is no strong relation between the elements. Another factor that greatly affects such convergence is the selection of PFSs. The optimal option is the systems of eigenfunctions (EFs) of the elements or a PFS closely similar to the EFs [23]. The EF computation is an auxiliary problem. Its complexity is determined by the number of unique elements and their properties. The complete eigenvalue (EV) problem for the intrinsic impedance matrices of unique elements obtained using the method of moments, basis functions and test functions is expressed as follows:
where is a matrix whose columns contain eigenvectors (EVEC) of the matrix is the diagonal matrix formed by the vector whose elements are the corresponding EVs of the matrix is the operator that produces the diagonal matrix. The operand is a vector of the main diagonal elements or a matrix whose main diagonal elements are used by the operator to create the diagonal matrix. From here onward, we assume that complex matrices are symmetrical for single elements. The EV approximates the EVs of the integral operators whereas the EFs of the above integral operators are approximated by the EVECs as follows:
In the following, this problem is considered for a conical spiral element of the antenna array.
Applying the Gauss–Seidel procedure [16] to the block SLAE, we obtain the following solution:
(4)
hereinafter l is the current iteration step:,
where represents inverse eigenmatrices and weight matrices, respectively, and it acts as the preconditioner matrices. Procedure (4) can also use a simpler option:
If we assume that the second sum (4) then the equation represents the simple iteration method. The convergence criterion is the following inequality:
(5)
where is an arbitrarily small predetermined number. Hereinafter, is the Euclidean norm of the vector
Integral representations of the EMF in a thin-wire multielement array
The multielement thin-wire array is a set of thin conductors of arbitrary shape arranged in a free space with the wave impedance For simplicity, let us assume that all the conductors have the same radius Each conductor can be described by a vector equation as a function of the natural parameter l:
where ,, are smooth functions. The length of the nth conductor is . The integral representation of the EMF (IR EMF) of such an array can be expressed as follows [24]:
(6)
where is the total current distribution along the generatrix
are the IR EMF cores, is the vector equation of the generatrix is the unit vector of the tangent defined at point on the generatrix
are Green’s functions for free space and its derivative, respectively, and, is the distance regularized by the conductor radius
can be reasonably represented by series (2). Then, the initial IR EMF (6) is
The boundary condition for an ideal conductor is valid for each generatrix:
(7)
Multiplying (7) alternately with the test functions and integrating over l, we obtain an SLAE for computing which is similar to (3), where
(8)
Let us describe the calculation of the integrals in (8) using the conductor segmentation procedure. In this procedure, the nth conductor is represented as a set of nodes The mth segment и is located between the nodes with numbers represented as
where is the center of the segment, is the segment length, and, is the unit vector of the tangent to the segment. Hereinafter, the indices and are associated with the segments of the nth and -th elements of the array, respectively.
We use the weighted sums of functions that are piecewise constants within each segment as basic functions:
(9)
where is the value of the natural parameter on the segmented generatrix at the center of the segment with index m and is the function describing a rectangular unit pulse with its center at point and width We use weighted sums of the Dirac delta functions as test functions:
(10)
This approach can be considered as a generalized collocation method [25]. The expressions above show that in case (9), the values of the functions calculated at the collocation points act as weighting coefficients, whereas these are the functions in case (10).
From expression (8) and considering delta function properties, we obtain equations for the SLAE matrix coefficients and right-hand side coefficients using the following finite sums:
(11)
where
The conventional collocation method corresponds to
where is the Kronecker delta. A correct solution of the SLAE using the collocation method is achieved when the following condition [26] for any segment is satisfied:
(12)
Antenna array
Fig. 1, a shows the arrangement of the studied antenna array, and Fig. 1, b shows the geometry of a spiral element. The antenna is a rectangular grid in the plane with a size of The nodes of the grid contain re-emitting elements with identical shapes and spatial orientation. As the grid spacing is constant, the entire array is regular. The size of the re-emitting elements does not exceed D. A PEMW with linear polarization excites the reradiation. The PEMW angle of incidence in the antenna array is arbitrary. The external electric field generated by the wave excites currents distributed along the re-emitting elements. These currents induce the EMF generated by the antenna array.
Fig. 1. Geometry of the lattice (a) and its constituent elements (b)
Рис. 1. Геометрия решетки (а) и образующих ее элементов (б)
Let us consider the antenna array in detail. For convenience, double indices are used for the array nodes and elements. We denote the indices along the array axes When filling in the final SLAE matrix, the double to consecutive indices
(13)
Let us consider the geometry of the array. Hereinafter, and are the distances between neighboring elements. With these notations, we can find the coordinates of the array nodes:
and are the numbers of the array elements along the axes. In this case,
The elements of the array are conical spirals made of a perfect conductor with a circular cross-section. The axis of each spiral is parallel to the axis Fig. 1, b shows the spiral element. The minimum radius of the spiral is whereas the maximum radius is The height of the spiral is and the number of turns is The axis of a spiral element is the line coinciding with the axis The diameter of conductors is essentially less than and essentially less than the size of the spirals and the turn-to-turn distance. Such geometry allows us to use thin-wire approximation in the antenna array model (see the expressions given in the previous section).
The general equation of the conical Archimedean spiral is
(14)
where is a non-natural parameter, and are the minimum and maximum radii of the spiral, respectively, is the spiral height, is the number of turns, is the radial factor, and is the axial pitch factor. The parameter specifies the winding direction; thus, the parametric equation can be used to analyze both the left and right spirals. The variables and can be estimated for the given and as follows:
(15)
To determine the natural parameter of the conic spiral, the following expression is used:
(16)
where is the tangent unit vector defined at the point of the generatrix. The equation of the conical Archimedean spiral with a natural parameter can be obtained from (14) with the substitution For the function there is no explicit expression on the conical Archimedean spiral, so it can only be found numerically using expression (16) and the inverse interpolation method [16]. Any element of the array can be obtained as:
(17)
where is the rotation around the axis by the angle Now, we can switch to consecutive numbering (13) and use the expressions given in the previous section.
The PEMW field (Fig. 2) is as follows:
(18)
where , is the wave unit vector, is the wave number, is the amplitude of the electric field vector, is the wave (characteristic) impedance of the medium, is the initial phase of the wave, and is the polarization vector that specifies the oscillation direction of the wave vector .
Рис. 2. Связь плоской электромагнитной волны с первичной волной и глобальной декартовой системой координат
Fig. 2. Relationship between a plane electromagnetic wave and the primary wave and the global Cartesian coordinate system
PEMW is defined by five parameters: amplitude phase polarization angle and two angles and that specify the direction of wave propagation. Let us define the base wave (Fig. 2). Its unit vectors coincide with the axes of the global rectangular coordinate system. To avoid ambiguity, we assume that In this way, the wave has a vertical polarization and propagates along the axis The relationship between the unit vectors of the waves and is
In this expression, represents the matrices of rotation around the axes and is the rotation angle;
Obtaining the array of unique matrices
A previous study [18] presented direct and key-based algorithms for calculating and These algorithms could be either exact or approximate. The advantage of the direct algorithm was its versatility, whereas the main disadvantage was the higher computational complexity due to the comparison of the blocks of the matrix However, this previous study [18] did not indicate that such an approach could be effective for analyses with multiple frequencies and/or large numbers of antenna array excitation options because the algorithm is not iterative. To estimate the array of unique matrices for the considered antenna array, we propose an approximate combined algorithm. The informative parameters are truncated systems of the basis and test functions In this case, the keys вare matrices of intrinsic and mutual impedances of small dimensionality For the considered antenna array, the truncated PFSs can be derived from the following systems of functions:
(19)
These systems are quite similar to the EF system for a thin rectilinear conductor of length at small values of [23]. For the given antenna array, the generalized collocation method can be used to obtain using expressions (9)–(11).
The algorithm steps are as follows:
- The key is calculated for the current n, from the informative parameters of the current elements.
- The key is sought in to satisfy the condition where is the acceptable key mismatch.
- If the key in the kth position of the vector satisfies the condition then
- If no key satisfies the condition then the key is added to the vector and the matrix is added to the vector where is the number of elements of the expanded vector
The algorithm is performed first for matching and then for mismatching and In the first step, the number of intrinsic impedance matrices is determined. In the second step, the number of mutual impedance matrices in the array is determined if unique matrices are determined.
Analysis of the spectral characteristics of the impedance matrix for a single spiral element
As shown above, the spiral geometry (Fig. 1, b) can be defined by six parameters: the lower and upper radii and the spiral height H, the winding direction s, the number of turns and the spiral conductor radius For the given parameters, we can estimate the coefficients and (15) included in the spiral equation (14). To study the spectral characteristics of the impedance matrix for a single spiral element, the use of normalized parameters is reasonable. The main parameter normalized to the wavelength should be the doubled maximum radius of the spiral (the maximum extent of a single element at Let us denote the relation as For numerical simulations, we studied the spiral with the following parameters: 0,3682, 0,025, 0,0037, In this case, 4,323 or The latter expression is useful because antenna arrays similar to the considered one may feature three types of resonances: thin-wire, surface, and volume. Thin-wire resonances are predominantly defined by the length and shape of the conductor. They are high-q resonances and are most pronounced at half-integer values of not exceeding several units. Meanwhile, surface resonances are defined by the shape of the spiral element’s support structure. Volume resonances are defined by the volume containing the spiral conductor. As a rule, the resonances of the latter two types have significantly lower q. They occur at multiples of the antenna array wavelength and do not exceed several units.
For numerical simulation, the parameter varied from 0,0125 to 0,53 at The impedance matrices were formed using the conventional collocation method, and the number of segments was assumed to be 179, which at the given ratio satisfied condition (12). Hereinafter, the wave impedance of the medium is assumed to be ohms, which is true for vacuum or air. We also assume that the medium is nondissipative. Therefore, the expression can be used to calculate the wave number.
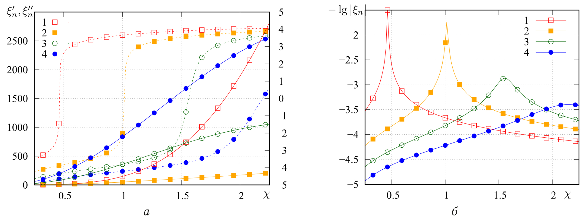
Fig. 3 shows the curves (а) and vs. (б). The index indicates the curve number. The curves show that the EF versus frequency curves are resonant. There are four resonances in the considered range. These resonances can be categorized as thin-wire ones because they closely match the values. The curves show that the resonance for the first EF occurs at slightly less than 1/2, whereas the resonances for the subsequent EFs occur at greater than The larger the value of the larger the upward deviation. This can be understood if we represent each EF as a superposition of a pair of traveling waves propagating along the conductor in opposite directions. It becomes obvious that the phase velocity of these waves for is less than the speed of light and greater than the speed of light for . The growth of the phase velocity, in turn, is associated with a more intense turn-to-turn interaction promoted by the growth of and the features of the higher-order EFs. Moreover, the q-value of the resonances drops rather quickly as n grows.
Fig. 3. Dependence (solid curves, a), (dashed curves, a) and (b) vs. The curve number is the EV number
Рис. 3. Зависимость (сплошные кривые, а), (штриховые кривые, а) и (б) от номер маркера (линии) соответствуют номеру собственного значения
Fig. 4 shows the first four normalized EFs calculated at the resonance values Apparently, the shape of the EFs is close to that in (19), but the total EF amplitude at has a significant imaginary component. We can also note here the asymmetry of the EF curves, which increases with n. This asymmetry is caused by the shape of the spiral element. The amplitude distributions show that the EFs are predominantly a standing wave. The nonzero currents in the nodes at indicate the insignificant share of the traveling wave component. The direction of propagation of this component along the conductor can be identified by the direction of the EF amplitude decrease.
The study of the spectral characteristics of the impedance matrix of a single spiral element allows us to confirm that PFS (19) can be used to estimate resonances in antenna array elements. Notably, however, this estimation is approximate as the resonance properties of an element in a sufficiently dense array may differ from the characteristics of a single element. In this case, we can expect changes in the q-values of the resonances and resonance frequency shifts.
Performance of the block matrix compression algorithm: iterative process convergence
The geometry of the single element given in the previous section was used for the numerical simulation of the antenna array. We assumed that all the elements related to the single element according to expression (17) had the same constant angle For the simulation, the angle was assumed to be 0. The antenna was excited by the PEM W, and its EMF was expressed by expression (18). The amplitude of the electric field vector was assumed to be 1 V/m, the initial phase was 0°, the angle was 0°, and the polarization angle was (H polarization). The incidence angles were 0, 45, and 90°. We refer to these angles as the end, side, and normal PEMW incidences, respectively.
Fig. 4. First four normalized EFs calculated at the corresponding resonance values The numbers and components of the EFs are indicated on the curves
Рис. 4. Вид первых четырех нормированных собственных функций вычисленных при соответствующих резонансных значениях номера и составляющие собственных функций указаны на графиках
The array geometry is defined by four parameters: the distances between neighboring nodes and and the number of elements вalong the coordinate axes. We denote the relation as . We assumed for the simulation that We considered antenna arrays with The total number of elements in such arrays was defined as For the considered array the parameters, and were related as 0,53, which was the fractional factor of the elements within the array. At , neighboring elements touched each other. We studied the range In this case, the convergence of the iterative process depended only on and Meanwhile, the compression ratio depended only on Fig. 5 shows the compression ratio against the number of the array N curve. Apparently, this relation is linear and can be approximated by the function Note that the direct calculation of the matrix elements produces a quadratic relation. The proposed algorithm for the calculation of the block matrix elements significantly reduces the required computer memory and computing time.
Fig. 5. Compression ratio versus the number of array elements
Рис. 5. Зависимость коэффициента сжатия от числа элементов структуры
Fig. 6 shows the convergence table of the iterative process. The maximum number of iterations is 100. Reaching this value means no convergence. Considering the mentioned relation between and thin-wire resonances in single elements of the array occurred at where is the resonance number. For the first four EFs, the resonances should occur in the neighborhood of 0,217, 0,434, 0,651, 0,868.
The resonance frequencies could shift because of the interaction between the antenna array elements. The figure shows that the deterioration and lack of convergence occurred in the neighborhood of the resonance frequencies of the first three EFs. The first resonance did not lead to the loss of convergence, whereas the fourth EF resonance did not manifest itself. For a more complete explanation of this effect, we must analyze the angular distributions of each EF field and determine the spatial orientations of the field maxima.
Fig. 6. Iterative process convergence table: abscissa axis is ordinate axis is values in cells are number of iterations
Рис. 6. Таблица сходимости итерационного процесса: ось абсцисс – ось ординат – значения в ячейках – число итераций
Analysis and Interpretation of the Proposed Internal Electrodynamic Problem
Let us consider the external field functions and current distribution functions approximated by the expansions in the EFs of the single element’s integral operator (2):
For the considered array, the vectors of the amplitude coefficients averaged over n can be reasonably used:
The corresponding mismatch values The simulation indicated that in the studied frequency range for the arrays with at 0…90° angles of incidence, the average values of these mismatches did not exceed 0,09 and the median values were less than 0,025. Meanwhile, it confirmed the applicability of the averaged vectors of the amplitude coefficients and indicated a high homogeneity of the current distribution functions. Hereinafter, the vectors of the amplitude coefficients normalized to the maximum value are denoted as is the maximum amplitude element of the vector and is its Euclidean norm. The supremum of the vector is the value Fig. 7 (top) shows the normalized spectrogram for The abscissa axis indicates the values, whereas the ordinate axis indicates the number of vector elements Apparently, the spectrogram shape did not depend on and the maximum amplitude corresponded to the fourth EF. This was because the spiral elements had two turns. In general, we can note that the spectrum was quite broad in the range Fig. 7 (bottom) shows the normalized spectrogram for a similar case, and Fig. 8 shows the curves. These relations and the spectrogram indicate that the spectrum of the EFs of the antenna array in the investigated range is narrowband and resonant.
The difference in the amplitudes of the curves and can be used to estimate the spectrum degeneracy. If then the spectrum is degenerate and consists of only one spectral component. The external field spectrum was nondegenerate over the entire range, whereas the spectrum of the current functions was close to degenerate and was virtually degenerate near the resonance frequencies of the antenna array element EVs.
Fig. 7. Spectrograms: top – bottom – abscissa axis – ordinate axis – index of the vector element
Рис. 7. Спектрограммы: сверху – снизу – ось абсцисс – ось ординат – индекс элемента векторов
Fig. 8. Dependencies (curve 1), (curve 2), (curve 3), and (curve 4) vs.
Рис. 8. Зависимости (кривая 1), (кривая 2), (кривая 3) и (кривая 4)
The above results are crucial for metastructure analyses because they allow us to use a compact set of EFs with significant amplitudes in the neighborhood of the considered frequency as projection functions. For finite-size arrays, the SLAE can be solved directly. The SLAE has the smallest matrix size at the resonant frequencies when the current distribution over the elements is determined by only one EF (degenerate current distributions). In this case, finding the EVECs of the antenna array that define a finite set of distributions of the complex amplitudes of the degenerate current distributions on the array elements is beneficial. The authors aim to solve this problem and determine the characteristics of the scattered field for the considered array in resonant and nonresonant cases.
Conclusion
This study presented a systematic approach to the rigorous solution to the internal electrodynamic problem for multielement antenna arrays. The approach was based on the Gauss–Seidel or Jacobi-type iterative procedures applied to the block matrix of the SLAE obtained using the method of moments [15]. This approach implied the use of a priori information about the array to implement efficient algorithms for the analysis of the SLAE block matrix [18]. Moreover, this study showed the feasibility of determining the spectral characteristics of the integral operators of the internal problem for single elements that are part of the antenna array. The solution resulted in the determination of the EFs and EVs of the integral operators and their frequency dependence. The identification of EFs allowed us to reasonably select the systems of projection functions used in the method of moments to generate the SALE block. The EV versus frequency relationship allowed us to predict the resonances in multielement arrays.
This paper demonstrated the application of the proposed approach to solving the intrinsic problem for a specific regular 2D array consisting of conical spiral elements excited by a plane linearly polarized electromagnetic wave. We also identified the relationship between the frequency dependence of the integral operator’s EV numbers determined for a single array element and the resonances occurring in the array and confirmed the relationship between the resonances and the convergence of the iterative process. We studied the spectra of the current distribution functions for the array elements. The amplitude spectra at different elements of the array were very similar, so the averaged amplitude spectra can be used in the analysis. We found that the averaged spectrum of the external field at the array elements was relatively broad, whereas the averaged spectrum of the current distribution functions was close to degenerate and was virtually degenerate near the resonant frequencies. These features allowed us to use a compact set of EFs with significant amplitudes in the vicinity of the studied frequency as projection functions. It ultimately led to a reduction in the SLAE matrix block sizes and significantly simplified the solution to the internal problem.
The presented results once again confirm the efficiency of the iterative approach to the rigorous solution to the internal electrodynamic problem for multielement arrays in nonresonant cases. The authors propose introducing resonance identification procedures. The internal problem in the neighborhood of resonance frequencies requires special attention.
Sobre autores
Dmitry Tabakov
Povolzhskiy State University of Telecommunications and Informatics
Autor responsável pela correspondência
Email: illuminator84@yandex.ru
ORCID ID: 0000-0002-9173-4936
Código SPIN: 9666-0814
Researcher ID: Q-9888-2017
Doctor of Physical and Mathematical Sciences, professor of the Department of Radioelectronic Systems
Rússia, 23, L. Tolstoy Street, Samara, 443010Bassam Al-Nozaili
Samara National Research University
Email: bassam_91@mail.ru
Código SPIN: 7368-7223
graduate student of Samara National Research University, assistant professor of the Department of Physics, Povolzhskiy State University of Telecommunications and Informatics
Rússia, 34, Moskovskoye shosse, Samara, 443086Bibliografia
- V. A. Neganov and O. V. Osipov, Reflective, Waveguide and Radiating Structures with Chiral Elements. Moscow: Radio i svyaz', 2006. (In Russ.)
- E. L. Ivchenko and A. N. Poddubnyy, “Resonant three-dimensional photonic crystals,” Fizika tverdogo tela, vol. 48, no. 3, pp. 540–547, 2006, url: https://journals.ioffe.ru/articles/3354. (In Russ.)
- V. G. Veselago, “Electrodynamics of substances with simultaneously negative values of ε and μ,” Uspekhi fizicheskikh nauk, vol. 92, no. 3, pp. 517–526, 1967, doi: https://doi.org/10.3367/UFNr.0092.196707d.0517. (In Russ.)
- J. B. Pendry, “A chiral route to negative refraction,” Science, vol. 306, no. 5700, pp. 1353–1355, 2004, doi: https://doi.org/10.1126/science.1104467.
- D. R. Smith et al., “Composite medium with simultaneously negative permeability and permittivity,” Physical Review Letters, vol. 84, no. 18, pp. 4184–4187, 2000, doi: https://doi.org/10.1103/PhysRevLett.84.4184.
- J. B. Pendry et al., “Extremely low frequency plasmons in metallic mesostructures,” Physical Review Letters, vol. 76, no. 25, pp. 4773–4776, 1996, doi: https://doi.org/10.1103/PhysRevLett.76.4773.
- J. B. Pendry et al., “Low frequency plasmons in thin-wire structures,” Journal of Physics: Condensed Matter, vol. 10, no. 22, pp. 4785–4809, 1998, doi: https://doi.org/10.1088/0953-8984/10/22/007.
- J. B. Pendry et al., “Magnetism from conductors and enhanced nonlinear phenomena,” IEEE Transactions on Microwave Theory and Techniques, vol. 47, no. 11, pp. 2075–2084, 1999, doi: https://doi.org/10.1109/22.798002.
- I. B. Vendik and O. G. Vendik, “Metamaterials and their application in microwave technology (Review),” Zhurnal tekhnicheskoy fiziki, vol. 83, no. 1, pp. 3‒28, 2013, url: https://journals.ioffe.ru/articles/viewPDF/41403. (In Russ.)
- S. A. Schelkunoff and H. T. Friis, Antennas Theory and Practice. New York: Wiley, 1952.
- R. F. Harrington, Field Computation by Moment Method. New York: Macmillan, 1968.
- R. H. Gallagher, Finite Element Analysis: Fundamentals. Hoboken: Prentice-Hall, 1974.
- V. N. Kisel' and A. N. Lagar'kov, “Electrodynamic models of thin-layer metamaterials and devices based on them,” Radiotekhnika i elektronika, vol. 54, no. 5, pp. 531–540, 2009, url: https://elibrary.ru/item.asp?id=12136589. (In Russ.)
- A. S. Il'inskiy, O. Yu. Perfilov, and A. B. Samokhin, “Iterative method for solving integral equations of the theory of wire antennas,” Matematicheskoe modelirovanie, vol. 6, no. 3, pp. 52–59, 1994, url: https://www.mathnet.ru/rus/mm1848. (In Russ.)
- V. A. Neganov, I. Yu. Marsakov, and D. P. Tabakov, “The calculation of the interaction of elements metastructures based on the Gauss–Seidel method,” Physics of Wave Processes and Radio Systems, vol. 16, no. 3, pp. 6–16, 2013, url: https://elibrary.ru/item.asp?id=21007651. (In Russ.)
- N. S. Bakhvalov, N. P. Zhidkov, and G. M. Kobel'kov, Numerical Methods. Moscow: Laboratoriya bazovykh znaniy, 2000. (In Russ.)
- V. A. Neganov and D. P. Tabakov, “Correct electrodynamic analysis of chiral elements and metamaterials based on integral representations of the electromagnetic field,” Physics of Wave Processes and Radio Systems, vol. 17, no. 3, pp. 29–39, 2014, url: https://journals.ssau.ru/pwp/article/view/7265. (In Russ.)
- D. P. Tabakov, “Application of iterative procedures to electrodynamic analysis of metamaterials,” Radiotekhnika, no. 7, pp. 86–94, 2015, url: https://elibrary.ru/item.asp?id=23837442. (In Russ.)
- D. P. Tabakov and B. M. A. Al-Nozaili, “Calculation of currents on multi-element radiating structures using the iterative method,” Radiotekhnika i elektronika, vol. 67, no. 7, pp. 651–659, 2022, url: https://elibrary.ru/item.asp?id=48867815. (In Russ.)
- A. L. Drabkin, V. L. Zuzenko, and A. G. Kislov, Antenna-Feeder Devices, 2nd ed., add. and rework. Moscow: Sov. radio, 1974. (In Russ.)
- D. P. Tabakov and B. M. A. Al-Nozaili, “Solution of the internal and external problems of electrodynamics for a symmetrical vibrator with a reflector made of parallel straight conductors,” Physics of Wave Processes and Radio Systems, vol. 27, no. 2, pp. 7–21, 2024, doi: https://doi.org/10.18469/1810-3189.2024.27.2.7-21. (In Russ.)
- D. P. Tabakov, “On the description of radiation and diffraction of electromagnetic waves by the method of eigenfunctions,” Izvestiya vuzov. Radiofizika, vol. 64, no. 3, pp. 179–191, 2021, url: https://radiophysics.unn.ru/issues/2021/3/179. (In Russ.)
- D. P. Tabakov and A. G. Mayorov, “Approximation of the solution to the internal electrodynamic problem for a thin tubular vibrator using the eigenfunction method,” Trudy uchebnykh zavedeniy svyazi, vol. 5, no. 4, pp. 58–64, 2019, doi: https://doi.org/10.31854/1813-324X-2019-5-4-58-64. (In Russ.)
- V. A. Kapitonov et al., “Integral representation of the electromagnetic field of geometrically chiral structure,” Physics of Wave Processes and Radio Systems, vol. 15, no. 4, pp. 6–13, 2012, url: https://www.elibrary.ru/item.asp?id=19001844. (In Russ.)
- R. Mittra, Ed. Computational Methods in Electrodynamics; transl. E. L. Burshteyn, Ed. Moscow: Mir, 1977. (In Russ.)
- V. A. Strizhkov, “Mathematical modeling of electrodynamic processes in complex antenna systems,” Matematicheskoe modelirovanie, vol. 1, no. 8, pp. 127–138, 1989, url: https://www.mathnet.ru/rus/mm2614. (In Russ.)
Arquivos suplementares










