Detection characteristics and features of signal processing of aerial objects on images of spacborne synthetic aperture radars
- Authors: Goryachkin O.V.1, Borisenkov A.V.1, Lifanov A.S.1
-
Affiliations:
- Povolzhskiy State University of Telecommunications and Informatics
- Issue: Vol 25, No 4 (2022)
- Pages: 79-87
- Section: Articles
- URL: https://journals.rcsi.science/1810-3189/article/view/143705
- DOI: https://doi.org/10.18469/1810-3189.2022.25.4.79-87
- ID: 143705
Cite item
Full Text
Abstract
The article considers the possibilities of detecting airborne moving targets by space radars with aperture synthesis using interferometry mode along the path. The method of calculating the signal-to-noise ratio, the characteristics of detecting aerial targets in the mode of selection of moving targets is described. Based on calculations, it is shown that the dynamics of the underlying surface caused by fluctuations in grass, foliage or an agitated sea surface significantly reduces the ability to detect aerial objects by space radars with aperture synthesis in the selection of moving targets mode. It is shown by the examples of existing space radars with aperture synthesis that when using the interferometry method along the path, at least 2 interferometric bases and refocusing on the marks of bright moving targets in the mode of selection of moving targets channel, the effectiveness of the detection procedure can be sufficient for practical applications. However, the region of small radial velocity values remains a «blind» zone for any multi-base circuit configurations and can only be reduced by increasing the energy potential of the space radars with aperture synthesis.
Full Text
Введение
В настоящее время радиолокационные изображения, получаемые космическими радиолокаторами с синтезированной апертурой (РСА), находят широкое применение в различных приложениях дистанционного зондирования Земли (ДЗЗ) [1]. К числу наиболее успешных практических применений можно отнести экологический мониторинг, контроль трафика морских судов в прибрежных акваториях, контроль ледовой обстановки. Совместно с оптической информацией радиолокационные изображения с успехом используются для различных картографических приложений [1; 2]. Реализация в космических РСА интерферометрических режимов съемки поперек пути обеспечивает доступ к прямому измерению рельефа поверхности суши в любых погодных условиях с высокими точностями в локальном и глобальных масштабах [2; 3; 16–18].
В последние годы в радиолокационных системах ДЗЗ широко используется режим селекции движущихся целей (СДЦ) [4–7; 12]. Реализация данного режима основана на методе интерферометрии вдоль пути, в котором предполагается получение серии изображений вдоль траектории движения РСА синхронно (см. подробнее в [1]). Для этого в космической РСА должно быть реализовано не менее двух приемных каналов регистрации отраженных сигналов. Данная технология позволяет обнаружить движущиеся наземные цели в случае, когда вектор скорости движущейся цели имеет радиальную компоненту.
Задача обнаружения воздушных судов играет ключевую роль в управлении аэропортами и в обеспечении специальной деятельности [8; 9].
При обнаружении неподвижных воздушных судов по радиолокационным изображениям существуют две проблемы: точечный характер этих изображений и наличие интерференции от окружающего фона, которая приводит к появлению ложных элементов (ярких точек) на радиолокационных изображениях. В работах [9–11] рассмотрены результаты применения некоторых алгоритмов обнаружения неподвижных объектов авиатехники по их РЛИ.
При обнаружении воздушных объектов, находящихся в движении на аэродроме или в полете, у РСА возможно использование режима СДЦ. В этом случае на качество обнаружения воздушного объекта, помимо мощности сигнала РСА, пространственного разрешения и длины волны, будут влиять модуль и ориентация вектора скорости цели в пространстве, флуктуации эффективной площади рассеяния цели в процессе регистрации отраженных сигналов РСА, наличие и динамика фона.
В настоящей работе рассматриваются характер влияния перечисленных факторов на характеристики обнаружения воздушных целей, а также особенности обработки сигналов РСА в режиме СДЦ.
Математическая модель сигнала РСА в режиме СДЦ
Рассмотрим классический случай двухканальной космической РСА при наблюдении в интерферометрическом режиме с базой вдоль пути движущейся в пространстве точечной цели. Данная задача рассмотрена в литературе [1; 4; 5]. Представим известный подход в соответствии с предложенной в [13] моделью РЛИ. В этом случае изображение точечной цели на РЛИ в отсутствие атмосферных и траекторных искажений можно представить в следующем виде:
(1)
где
– функция неопределенности РСА по задержке.
Для получим изображение точечной цели в режиме телескопического обзора для одного приемопередающего канала РСА. Движение цели задается составляющими: – радиальной составляющей вектора скорости и – продольной (тангенциальной) составляющей вектора скорости, в плоскости, в которой лежат вектор наклонной дальности до цели и вектор скорости космического аппарата в приближении прямолинейного равномерного движения. Для анализа работы канала СДЦ ограничимся коэффициентами разложения траекторной фазы 2-го порядка:
(2)
(3)
Функцию изображения точечной цели для второго приемного канала РСА, получим в виде
(4)
где – интерферометрическая база вдоль пути, расстояние между фазовыми центрами приемных антенн РСА.
Распишем аргумент функции неопределенности зондирующего сигнала РСА в выражении (2):
(5)
Тогда аргумент функции неопределенности зондирующего сигнала РСА в выражении (4):
(6)
В канале СДЦ формируется разностное радиолокационное изображение
(7)
В этом выражении
(8)
где
(9)
(10)
(11)
(12)
(13)
(14)
(15)
В выражении (15) учитывается, что
На РЛИ изображение движущейся цели отличается от изображения неподвижной цели. Появление на РЛИ движущейся цели со скоростями и приведет к тому, что: 1) Отметка цели сдвигается по путевой дальности на значение 2) Отметка цели смещается по наклонной дальности на значение 3) Отметка цели «размывается» по азимуту на значение, пропорциональное
При получении 2-го изображения в паре движущаяся цель сдвигается по дальности на и по азимуту на относительно первого изображения.
Для организации режима СДЦ принципиально, чтобы эти смещения в виде и не превосходят соответствующие значения разрешающей способности РСА по наклонной и путевой дальности соответственно. При соблюдении этого условия комплексное разностное РЛИ содержит информацию о движущейся цели, а разность фаз двух изображений в элементе разрешения для движущейся цели имеет вид
(16)
Если и то влиянием квадратичной составляющей в (16) можно пренебречь, а разность фаз двух комплексных пикселей изображений в элементе разрешения для движущейся цели описать выражением [2]:
(17)
Тогда РЛИ в канале СДЦ можно представить в виде
(18)
В окрестности пика движущейся цели разностное РЛИ можно аппроксимировать в виде
(19)
где и
Для неподвижной цели
Поэтому необходимо дополнительно сдвинуть второе изображение по азимутальной координате на величину
Используя колоколообразную модель основного лепестка функции неопределенности РСА [15] модель изображения точечной движущейся цели в канале СДЦ получим в виде
(20)
Расчет характеристик обнаружения воздушных целей в РСА
Расчет основных тактико-технических характеристик РСА предполагает оценку мощности отраженного сигнала от точечной цели по следующим известным соотношениям [1; 15]:
(21)
где G – коэффициент усиления антенны, Pim – импульсная мощность РСА, B – база сигнала, Ns – число обрабатываемых отсчетов, – ЭПР точечной цели, R – расстояние, Ln – коэффициент потерь в тракте и атмосфере, Re – радиус Земли, H0 – высота полета космического аппарата.
Как было отмечено выше, изображение цели размывается по азимутальной координате на величину, пропорциональную при этом амплитуда уменьшается на значение, пропорциональное Пренебрегая миграцией для режима СДЦ, амплитуду отметки можем оцененить в виде
(22)
Отношение сигнал – шум в канале СДЦ можно записать в виде
(23)
В этом выражении учтено, что в элементе разрешения сигналы неподвижного фона компенсируются, аддитивные шумы в независимых каналах приема складываются.
В случае динамичного фона, например, взволнованной морской поверхности отношение сигнал – шум в канале СДЦ можно записать в виде
(24)
где – мощность сигнала фона в элементе разрешения РСА.
Для анализа вероятностных характеристик алгоритма обнаружения рассчитаем вероятности правильного обнаружения цели при фиксированном значении вероятности ложной тревоги, воспользовавшись следующими известными выражениями [14]:
(25)
где – отношение сигнал – шум, – модифицированный порог.
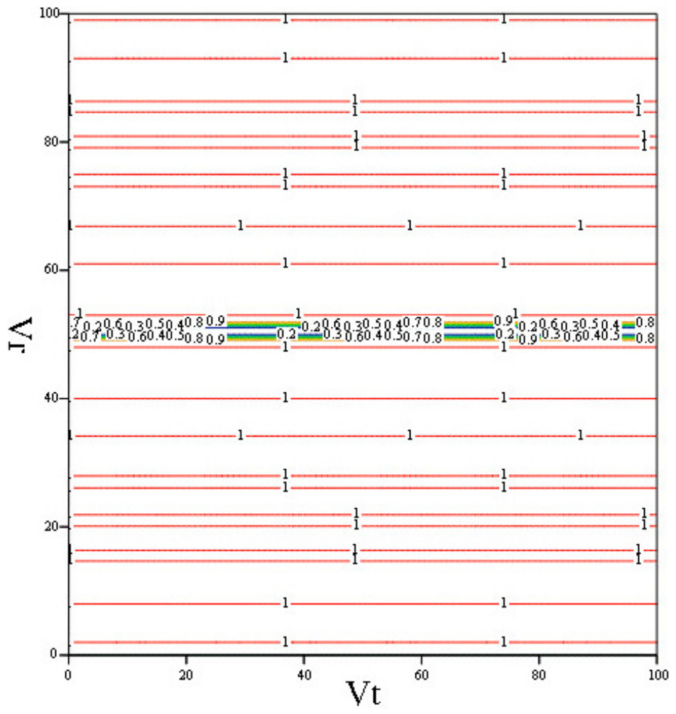
На рис. 1 показана зависимость отношения сигнал – шум в канале СДЦ от составляющих вектора скорости воздушной цели. При расчете этой диаграммы мы предполагаем, что РЛИ произвольно движущихся целей могут быть расфокусированы. При расчетах здесь и далее мы используем параметры космической РСА, соответствующей параметрам системы TerraSAR-X.
Как видно из рис. 1, отношение сигнал – шум в поле скоростей воздушной цели неоднородно, особенно глубокие провалы наблюдаются по оси радиальной скорости, что, соответственно, приводит к снижениям вероятности правильного обнаружения.
Рис. 1. Отношение сигнал – шум в канале СДЦ [дБ] в зависимости от [м/с], [м/с] (на изображении индекс по осям меняется от 1 до 100), при наблюдении цели с ЭПР м2, базе интерферометра 2 м, пространственное разрешение 6 м
Fig. 1. Signal-to-noise ratio in the SDC channel [dB] depending on [m/s], [m/s] (in the image, the index along the axes varies from 1 to 100), when observing a target with RCS m2, interferometer base 2 m , spatial resolution 6 m
На рис. 2 и 3 показаны зависимости при для неподвижного и динамичного фона с удельной ЭПР –10дБ соответственно.
Рис. 2. в зависимости от [м/с], [м/с] (на изображении индекс по осям меняется от 1 до 100), при наблюдении цели с ЭПР м2, базе интерферометра 2 м, пространственное разрешение 6 м
Fig. 2. depending on [m/s], [m/s] (in the image, the index along the axes varies from 1 to 100), when observing a target with EPR m2, interferometer base 2 m, spatial resolution 6 m
Рис. 3. в зависимости от [м/с], [м/с] (на изображении индекс по осям меняется от 1 до 100), при наблюдении цели с ЭПР м2, базе интерферометра 2 м, пространственное разрешение 6 м на динамичном фоне с удельной ЭПР минус 10 дБ
Fig. 3. depending on [m/s], [m/s] (in the image, the index along the axes changes from 1 to 100), when observing a target with EPR m2, interferometer base 2 m, spatial resolution 6 m on dynamic background with specific RCS minus 10 dB
Как видно из проделанных расчетов, динамика фона существенно снижает возможности по обнаружению воздушных объектов космическими РСА в режиме СДЦ.
Уменьшить площадь слепых зон можно, если использовать режим СДЦ с несколькими базами, переключая в приемной АФАР соответствующие панели в процессе работы РСА.
На рис. 4 показаны результаты соответствующих расчетов для совместной обработки сигналов двух баз 2 и 2,5 м. Видно, что конфигурация слепых зон в области малых значений тангенциальной скорости существенно улучшилась, однако расфокусировка отметки цели при увеличении тангенциальной составляющей скорости намного снижает вероятность правильного обнаружения.
Рис. 4. в зависимости от [м/с], [м/с] (на изображении индекс по осям меняется от 1 до 100), при наблюдении цели с ЭПР м2, базе интерферометра 2 м, пространственное разрешение 6 м для случая одновременного приема на 2 базы
Fig. 4. depending on [m/s], [m/s] (in the image, the index along the axes changes from 1 to 100), when observing a target with EPR m2, the base of the interferometer is 2 m, the spatial resolution is 6 m for the case of simultaneous reception on 2 bases
На рис. 5 показаны результаты расчетов для совместной обработки сигналов двух баз 2 и 2,35 м в случае, когда изображения движущихся целей в канале СДЦ дофокусируются алгоритмами автоматической фокусировки, эффективными для ярких точечных целей, например, описанными в [13]. Видно, что при тех же параметрах моделирования, что и для случая, показанного на рис. 4, конфигурация слепых зон становится практически идеальной для обнаружения воздушных целей, т. е. провал зависимости вероятности правильного обнаружения наблюдается только в области [м/с], в остальной области Область малых значений радиальной скорости остается «слепой» зоной при любых конфигурациях мультибазовой схемы и может быть уменьшена только повышением энергопотенциала РСА.
Рис. 5. в зависимости от [м/с], [м/с] (на изображении индекс по осям меняется от 1 до 100), при наблюдении цели с ЭПР м2, базе интерферометра 2 м, пространственное разрешение 6 м для случая одновременного приема на две базы и использования режима автоматической фокусировки мобильных целей
Fig. 5. depending on [m/s], [m/s] (in the image, the index along the axes changes from 1 to 100), when observing a target with EPR m2, the base of the interferometer is 2 m, the spatial resolution is 6 m for the case of simultaneous reception on 2 bases and using the auto focus mode of mobile targets
Заключение
Анализ возможности использования режима СДЦ для обнаружения воздушных целей космическими РСА показывает, что при использовании метода интерферометрии вдоль пути, как минимум двух баз и дофокусировки по отметкам движущихся целей эффективность процедуры обнаружения может быть высокой. То есть, например, для РСА типа TerraSAR-X при скорости воздушной цели с ЭПР 6 м2 выше 5 м/с и менее 300 м/с она может быть обнаружена с вероятностью правильного обнаружения больше 0,9 при вероятности ложной тревоги 0,01.
About the authors
Oleg V. Goryachkin
Povolzhskiy State University of Telecommunications and Informatics
Email: oleg.goryachkin@gmail.com
ORCID iD: 0000-0002-5525-5452
Doctor of Technical Sciences, professor, vice-rector for research
Russian Federation, 23, L. Tolstoy Street, Samara, 443010Aleksey V. Borisenkov
Povolzhskiy State University of Telecommunications and Informatics
Email: aleksey.v.borisenkov@gmail.com
Candidate of Technical Sciences, associate professor of the Department of Theoretical Foundations of Radio Engineering and Communications
Russian Federation, 23, L. Tolstoy Street, Samara, 443010Aleksey S. Lifanov
Povolzhskiy State University of Telecommunications and Informatics
Author for correspondence.
Email: aleksei_lif@list.ru
junior researcher of the Center for Radar Remote Sensing of the Earth
Russian Federation, 23, L. Tolstoy Street, Samara, 443010References
- Space-Based Ground-Survey Radar Systems. Ed. by V.S. Verba. Moscow: Radiotekhnika, 2010, 680 p. (In Russ.)
- Goryachkin O.V. Ways of development of radar space systems for remote sensing of the Earth. Vestnik Samarskogo gosudarstvennogo aerokosmicheskogo universiteta, 2010, no. 2, pp. 92–104. (In Russ.)
- Rambour C. et al. From interferometric to tomographic SAR: A review of synthetic aperture radar tomography-processing techniques for scatterer unmixing in urban areas. IEEE Geoscience and Remote Sensing Magazine, 2020, vol. 8, no. 2, pp. 6–29. DOI: https://doi.org/10.1109/MGRS.2019.2957215
- Pascazio V., Schirinzi G., Farina A. Moving target detection by along-track interferometry. Proc. IGARSS, 2001, vol. 7, pp. 3024–3026. DOI: https://doi.org/10.1109/IGARSS.2001.978242
- Chiu S. Clutter effects on ground moving target velocity estimation with SAR along-track interferometry. Proc. IGARSS, 2003, vol. 2, pp. 1314–1319. DOI: https://doi.org/10.1109/IGARSS.2003.1294094
- Budillon A. et al. Along-track interferometric SAR systems for ground-moving target indication: Achievements, potentials, and outlook. IEEE Geoscience and Remote Sensing Magazine, 2020, vol. 8, no. 2, pp. 46–63. DOI: https://doi.org/10.1109/MGRS.2019.2957600
- Makhoul E. et al. Multichannel SAR-GMTI in maritime scenarios with F-SAR and TerraSAR-X sensors. IEEE Journal of Selected Topics in Applied Earth Observations and Remote Sensing, 2015, vol. 8, no. 11, pp. 5052–5067. DOI: https://doi.org/10.1109/JSTARS.2015.2438898
- Weihing D. et al. Detecting moving targets in dual-channel high resolution spaceborne SAR images with a compound detection scheme. 2007 IEEE International Geoscience and Remote Sensing Symposium, 2007, pp. 4818–4821. DOI: https://doi.org/10.1109/IGARSS.2007.4423939
- Grigas S.E., Litovchenko D.Ts., Skorynin A.A. Assessment of requirements for a promising space radar for monitoring the marine situation and airspace. Vestnik Samarskogo gosudarstvennogo aerokosmicheskogo universiteta, 2013, vol. 12, no. 4, pp. 124–129. DOI: https://doi.org/10.18287/1998-6629-2013-0-4(42)-124-129 (In Russ.)
- Dostovalov M.Yu., Ermakov R.V., Teplov A.A. Detection of aircraft objects using the method of detecting changes from Sentinel-1 synthetic aperture radar images. Sovremennye problemy distantsionnogo zondirovaniya Zemli iz kosmosa, 2018, vol. 15, no. 4, pp. 49–57. (In Russ.)
- Luo R. et al. A fast aircraft detection method for SAR images based on efficient bidirectional path aggregated attention network. Remote Sensing. 2021. Vol. 13, no. 15, p. 2940. DOI: https://doi.org/10.3390/rs13152940
- Hou Y. et al. An automatic SAR-GMTI algorithm based on DPCA. Proc. IGARSS, 2014, pp. 592–595. DOI: https://doi.org/10.1109/IGARSS.2014.6946492
- Goryachkin O.V. Blind Signal Processing Methods and Their Applications in Radio Engineering and Communication Systems. Moscow: Radio i svyaz’, 2003, 230 p. (In Russ.)
- Goryachkin O.V. Lectures on the Statistical Theory of Radio Engineering and Communication Systems. Moscow: Radiotekhnika, 2008, 192 p. (In Russ.)
- Goriachkin O., Borisenkov A. Estimation of probabilistic characteristics of ground moving targets identification on images of the Earth remote sensing space SAR. 2021 International Conference on Information Technology and Nanotechnology (ITNT), 2021, pp. 1–4. DOI: https://doi.org/10.1109/ITNT52450.2021.9649018
- Sosnovskiy A.V. Interferometric processing of data from space radars with a synthetic aperture when creating digital models of the Earth’s surface relief: Status and problems. Ural Radio Engineering Journal, 2020, vol. 4, no. 2, pp. 198–233. DOI: https://doi.org/10.15826/urej.2020.4.2.004 (In Russ.)
- Kobernichenko V.G., Sosnovskiy A.V. Interferometric processing of high-resolution satellite radar data. Physics of Wave Processes and Radio Systems, 2012, vol. 15, no. 3, pp. 75–83. (In Russ.)
- Kobernichenko V.G., Sosnovskiy A.V. Features of building digital elevation models based on the method of space radar interferometry. Trudy SPIIRAN, 2013, no. 28 (5), pp. 194–208. DOI: https://doi.org/10.15622/sp.28.8 (In Russ.)
Supplementary files







