Эквивалентная схема замещения диэлектрика в широком диапазоне частот (0 Гц – 500 МГц)
- Авторы: Дмитриков В.Ф.1, Шушпанов Д.В.1
-
Учреждения:
- Санкт-Петербургский государственный университет телекоммуникаций имени профессора М.А. Бонч-Бруевича
- Выпуск: Том 25, № 3 (2022)
- Страницы: 43-57
- Раздел: Статьи
- URL: https://journals.rcsi.science/1810-3189/article/view/143691
- DOI: https://doi.org/10.18469/1810-3189.2022.25.3.43-57
- ID: 143691
Цитировать
Полный текст
Аннотация
По измеренным частотным характеристикам сопротивлений реальных диэлектриков была построена эквивалентная схема замещения диэлектрика, работающая в широком диапазоне частот (0 Гц – 500 МГц). Данная схема замещения была построена с учетом физических процессов, протекающих в диэлектрике. В статье была сделана попытка объяснить почему частотные характеристики (модуль и фаза) комплексного сопротивления диэлектрика имеют такой характер в широкой полосе частот (до 500 МГц). Показано, что для построения схемы замещения диэлектрика (структуры и параметров) измерения только модуля сопротивления диэлектрика недостаточно, необходимо измерять также фазу комплексного сопротивления диэлектрика, что во многих работах по синтезу схемы замещения диэлектрика игнорируется.
Полный текст
Введение
Любая радиоэлектронная аппаратура (РЭА) не обходится без конденсаторов. Они находят широкое применение в каждой функциональной части РЭА (управление, силовая часть, фильтры и т. д.). Еще сравнительно недавно при разработке РЭА конденсаторы считались идеальной емкостью [1]. В [2–4] было показано как влияет эквивалентное последовательное сопротивление конденсатора на корректность результатов моделирования импульсного преобразователя напряжения. Это позволяет учесть влияние «паразитных» параметров конденсаторов до 100 кГц [5; 6], чего во многих практических применениях было достаточно.
Современные преобразователи напряжения уже работают на частотах единицы и даже десятки МГц, что накладывает более жесткие требования к «паразитным» параметрам пассивных элементов (конденсаторов, дросселей, трансформаторов). Это все более ужесточает требования к уровню электромагнитных помех (ЭМП), производимых преобразователями, что требует создания фильтров радиопомех (ФРП) с достаточно широкой полосой подавления ЭМП (до 100 МГц).
К сожалению, ВЧ поведенческой модели конденсатора ни один производитель конденсаторов ни отечественный, ни зарубежный не дает. Работ в этом направлении значительно меньше, чем работ по схемам замещения дросселя, т. е. они практически отсутствуют. В лучшем случае в качестве модели конденсатора используется последовательный RLC-контур [7]. Знание ВЧ поведенческой модели конденсатора позволяет корректно и грамотно спроектировать ФРП с требуемым ослаблением ЭМП в требуемом частотном диапазоне (150 кГц – 30 МГц или 9 кГц – 100 МГц), т. к. «паразитные» параметры конденсатора на высоких частотах (десятки МГц) могут по полю взаимодействовать с «паразитными» параметрами соседних пассивных элементов: конденсаторов [8], дросселей [9]. Поэтому в статье рассматривается синтез электрических эквивалентных схем замещения конденсаторов в диапазоне частот до 500 МГц.
Измерения комплексного сопротивления конденсаторов
В [5; 6] были проведены измерения модуля и фазы полного (комплексного) сопротивления отечественных алюминиевых оксидно-электролитических, танталовых оксидно-полупроводниковых, танталовых объемно пористых конденсаторов и зарубежных алюминиевых оксидно-электролитических конденсаторов в широком диапазоне частот от 10 Гц до 1 МГц. По результатам измерений были составлены схемы замещения конденсаторов. Схемы замещения конденсаторов получились как простейший последовательный RLC-контур (рис. 1), так и более сложный – последовательно-параллельный контур (рис. 2).
Последовательная индуктивность была объяснена как «паразитная» индуктивность проводов. Но в некоторых более сложных схемах замещения присутствовала еще одна индуктивность (рис. 2), причина появления которой не была объяснена.
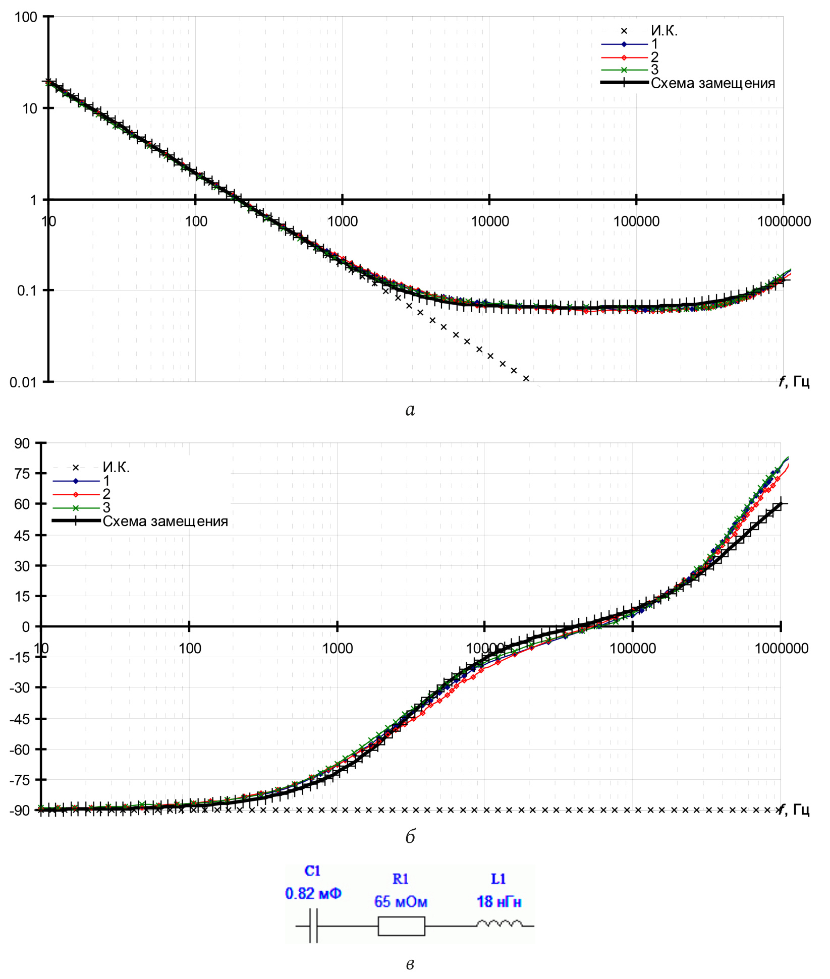
Рис. 1. Конденсатор К50-17 820 мкФ × 400 В (алюминиевый оксидно-электролитический): а – модуль полного сопротивления; б – фаза полного сопротивления; в – схема замещения
Fig. 1. Capacitor K50-17 820 mF × 400 V (aluminum oxide electrolytic): a) magnitude of impedance; b) phase of impedance; c) equivalent circuit
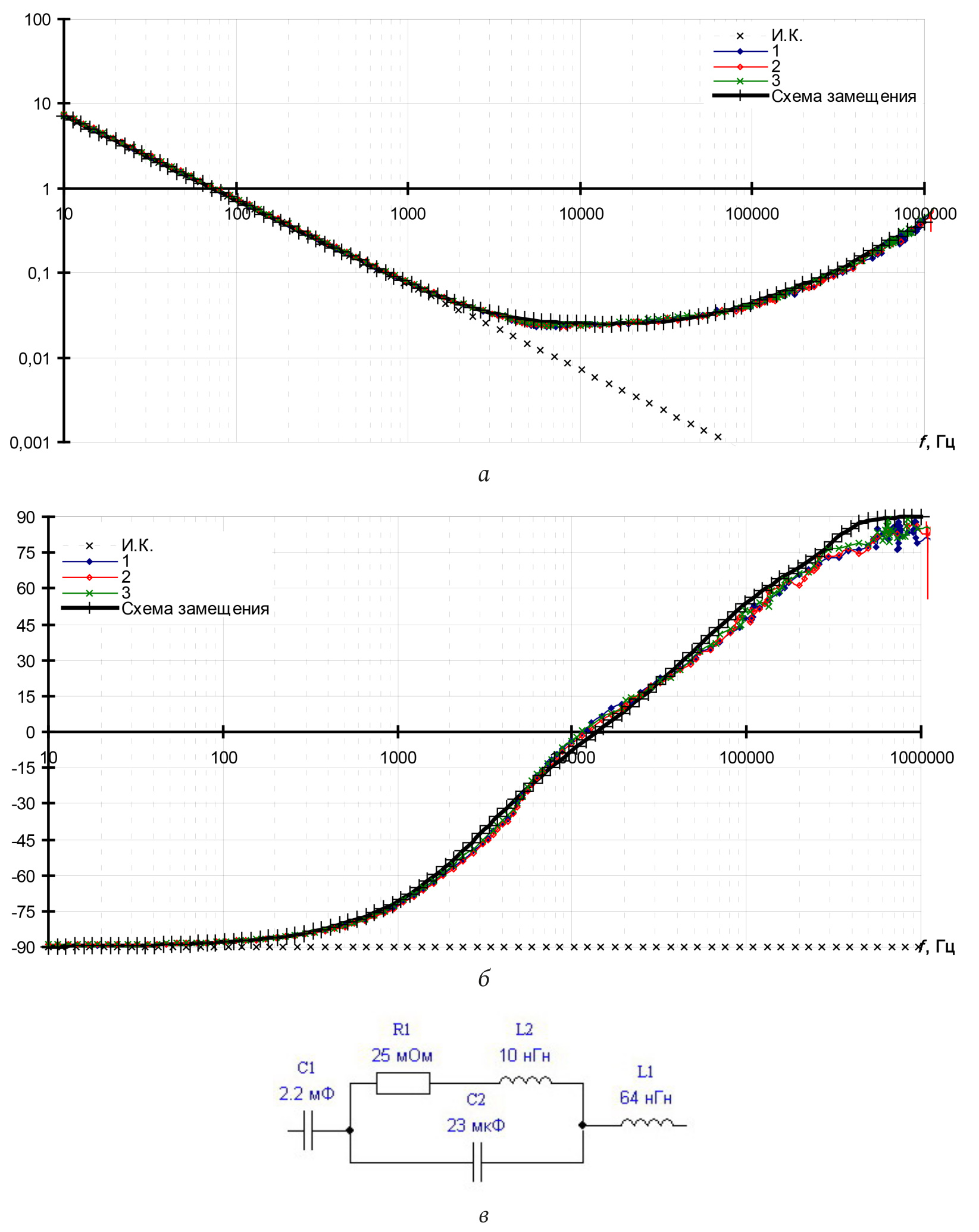
Рис. 2. Конденсатор Hitano EHP 2200 мкФ × 63 В (алюминиевый оксидно-электролитический): а – модуль полного сопротивления; б – фаза полного сопротивления; в – схема замещения
Fig. 2. Capacitor Hitano EHP 2200 mF × 400 V (aluminum oxide electrolytic): a – magnitude of impedance; b – phase of impedance; c – equivalent circuit
Для устранения влияния проводов конденсатора были проведены измерения комплексного сопротивления керамического диэлектрика [10; 11]. Керамические диэлектрики были выполнены в форме дисков (диаметр 11,8 мм, толщина 1,4 мм), по торцам которых нанесена тонкая металлизация из серебра [10; 11]. На рис. 3, 4 представлены измеренные модуль и фаза комплексного сопротивления измеренных диэлектриков: первая цифра в названии диэлектрика – группа исполнения (процент отклонения), а вторая цифра – диэлектрическая проницаемость. Из рис. 3, 4 следует, что основной вклад в комплексное сопротивление конденсатора оказывает диэлектрик конденсатора. Кроме того, из рис. 3, 4 видно, что характер изменения модуля и фазы комплексного сопротивления диэлектриков очень похож, что позволяет описать их одной схемой замещения с различными параметрами. Для понимания синтеза схемы замещения диэлектрика, модуль и фаза его измеренного комплексного сопротивления были разбиты на 3 характерных участка (рис. 5), в которых проявляются различные физические явления диэлектрика. Рассмотрим их подробнее.
Рис. 3. Измеренные модуль (а) и фаза (б) комплексного диэлектрика разных групп исполнения (Н15 – Н50) с различной диэлектрической проницаемостью ε
Fig. 3. Measured magnitude (a) and phase (b) of dielectric impedance of different performance groups (Н15 – Н50) with different permittivity ε
Рис. 4. Измеренные модуль (а) и фаза (б) комплексного диэлектрика группы исполнения Н90 с различной диэлектрической проницаемостью ε
Fig. 4. Measured magnitude (a) and phase (b) of dielectric impedance of performance group Н90 with different permittivity ε
Рис. 5. Разбивка на области модуля (а) и фазы (б) комплексного сопротивления диэлектрика
Fig. 5. Magnitude (a) and phase (b) of dielectric impedance (partition into areas)
Низкочастотная область (участок 1 на рис. 5). В данной частотной области реальный диэлектрик можно рассматривать как идеальный диэлектрик. В этом случае емкость конденсатора с таким идеальным диэлектриком определяется классической формулой
(1)
где e0 = 8,854187817×10−12 Ф/м – электрическая постоянная, e – относительная диэлектрическая проницаемость диэлектрика расположенного между обкладками конденсатора, S – площадь обкладки конденсатора, d – расстояние между обкладками.
Резонанс диэлектрика (участок 2 на рис. 5). В данной частотной области модуль и фаза комплексного сопротивления реального диэлектрика показывают резонансный характер (рис. 5). Такое поведение модуля и фазы комплексного сопротивления близко к поведению входного сопротивления последовательного RLC-контура (рис. 6)
Рис. 6. Схема замещения диэлектрика для участка 2 (рис. 5)
Fig. 6. Dielectric equivalent circuit for area 2 (fig. 5)
(2)
где - резонансная частота контура, - характеристическое сопротивление контура, - добротность контура.
Определим граничную частоту fС (рис. 5), до которой включительно реальный диэлектрик можно считать идеальным конденсатором. Из выражения (2) следует, что это будет при условии Но лучше всего определить частоту fС из требования по фазе – она должна не больше -89°. Тогда из выражения (2) получаем условие из которого получаем следующее неравенство:
(3)
решая которое, определяем граничную частоту fС:
(4)
На рис. 7 приведены модуль и фаза измеренного сопротивления диэлектрика, а также модуль и фаза предложенной схемы замещения (рис. 6), которые показывают хорошее совпадение для участков 1 и 2 (рис. 5). Получившиеся параметры схемы замещения (рис. 6) для рассматриваемого диэлектрика (Н90 9250): C = 5,55 нФ, LC = 1,6 нГн, RC = 70 мОм.
Рис. 7. Модуль (а) и фазы (б) комплексного сопротивления диэлектрика: измеренное значение в сравнении с рассчитанным по схеме замещения (рис. 6)
Fig. 7. Magnitude (a) and phase (b) of dielectric impedance: measured value versus obtained value from equivalent circuit (fig. 6)
Наличие индуктивности в схеме замещения диэлектрика
Наличие сопротивления в схеме замещения диэлектрика (и, следовательно, конденсатора) связывают с тем, что относительная диэлектрическая проницаемость диэлектрика не является величиной постоянной, а является частотно-зависимой комплексной величиной [12–14]:
(5)
Тогда комплексная проводимость конденсатора, исходя из (1) и (5) будет равна
(6)
Но, к сожалению, производители диэлектриков практически не дают информации о комплексной диэлектрической проницаемости конкретного диэлектрика, по которым можно определить физику процессов, протекающих в диэлектрике, и понять структуру схемы замещения диэлектрика. Она (измеренная частотная характеристика комплексной диэлектрической проницаемости) также не приводится ни в учебных пособиях, ни в монографиях, ни в большинстве статей. Вместо них приводятся лишь теоретические сугубо общие (и поэтому расплывчатые) представления о характере комплексной диэлектрической проницаемости Поэтому разберем сначала их («классические» представления о диэлектрике), а потом перейдем к измеренным частотным характеристикам сопротивления диэлектрика.
Главное свойство диэлектрика, которое определяет особенное поведение диэлектрика в электрическом поле и других внешних воздействиях, - это поляризация, или смещение связанных электрических зарядов [12; 13]. Но, кроме поляризации диэлектрик обладает весьма малой (по сравнению с явлением поляризации) электропроводностью, т. е. в диэлектриках возникает и существует сравнительно устойчивое состояние с чрезвычайно малой электронной проводимостью [12; 13]. То есть уравнение (5) можно переписать в следующем виде [12; 13]:
(7)
Выражение (7) описывает случай безынерционной электропроводности и безынерционной поляризации. В реальных диэлектриках электропроводность запаздывает, и/или запаздывает поляризация диэлектрика [12; 13].
Поляризацию в диэлектрике обычно разделяют на следующие виды [12]:
- упругая (деформационная), при которой сила, стремящаяся возвратить смещенные электрическим полем частицы, носит квазиупругий характер;
- тепловая (прыжковая), когда электроны, ионы или диполи при своем смещении в электрическом поле за счет энергии теплового движения преодолевают потенциальные барьеры;
- объемнозарядовая (миграционная), при которой электроны или ионы перемещаются в диэлектрике на большие расстояния и накапливаются на границе неоднородностей, к этому же механизму относится переориентация макродиполей.
Объемнозарядовая поляризация приводит к нестабильности e и потерям на инфранизких (меньше 16 Гц) частотах [12]. Желательные для технического применения диэлектриков (диапазон частот 50–1010 Гц) частотные и температурные нестабильности e, а также диэлектрические потери в большинстве случаев обусловлены именно тепловой поляризацией [12].
Так как тепловая поляризация приводит к потерям в диэлектрике в большинстве случаев технического использования диэлектриков [12; 13], то ее и рассмотрим сначала. Тепловая поляризация дает вклад в диэлектрическую проницаемость и описывается уравнением Дебая [12-14]:
(8)
из которого можно выделить вещественную и мнимую составляющие диэлектрической составляющей [12-14]:
(9)
где e(0) и e(¥) – значение относительной диэлектрической составляющей на постоянном токе и бесконечно большой частоте соответственно, t – постоянная времени (рис. 8).
Рис. 8. Частотные зависимости ε’ (а) и ε” (б) при тепловой поляризации [12; 13]
Fig. 8. Frequency dependences ε’ (a) and ε” (b) for thermal polarization [12; 13]
На рис. 8 представлены графики e’ и e” согласно выражениям (9). Как видно из рис. 8, e” имеет резонансный характер. Определим полное (комплексное) сопротивление конденсатора с таким диэлектриком:
(10)
Хотя в выражении (10) присутствует квадратичная зависимость от частоты ω, но К тому же быстрее падает до бесконечной малой, чем начинает уменьшаться от константы Таким образом, уравнение (10) хорошо упрощается до
(11)
что соответствует схеме замещения, изображенной на рис. 9а. Ошибка использования выражения (11) вместо выражения (10) заключается в определении вещественной составляющей полного сопротивления конденсатора. В выражение (10) вещественная составляющая меняется при увеличении частоты от до нуля, а в (11) является константой
Рис. 9. Схемы замещения диэлектрика согласно тепловой поляризации
Fig. 9. Equivalent circuits of dielectric according to thermal polarization
Можно получить схему замещения для выражения (10), не упрощая его. В этом случае получаем схему замещения, изображенную на рис. 9, б, параметры которой определяются по формулам:
(12)
Из (12) видно, что при схема замещения диэлектрика (рис. 9, а) превращается в обычный RC-контур (рис. 9, б). Это еще раз доказывает корректность перехода от (10) к (11).
Таким образом согласно «классических» представлений о диэлектрике [12-14] в случае тепловой поляризации схема замещения конденсатора представляет цепь 1-го порядка (рис. 9). То есть наличие тепловой поляризации не может привести к появлению индуктивности в схеме замещения диэлектрика.
В случае упругой поляризации комплексная диэлектрическая проницаемость определяется уравнением Друде – Лорентца [12-14]:
(13)
где – коэффициент, названный в [12; 13] относительным затуханием.
Уравнение (13) как раз и описывает резонансный характер комплексной диэлектрической проницаемости т. е. описывает систему с двумя реактивными элементами (последовательный резонансный контур). Это и понятно, т. к. для описания модели упругой поляризации использовалась модель осциллятора (дифференциальное уравнение второго порядка): уравнение движения частицы массой m и зарядом q во внешнем электрическом поле [12; 13]:
(14)
где k – коэффициент упругости, b – коэффициент затухания. Для объяснения появления индуктивности в схеме замещения диэлектрика (рис. 6) в [10; 11] тоже использовалось выражение (14).
На рис. 10 представлены графики e’ и e” согласно выражению (13). Таким образом из-за упругой поляризации в схеме замещения конденсатора появляется индуктивность. Но, в следствие малой инерционности упругой поляризации диэлектрическая проницаемость, обусловленная этим механизмом, в диэлектриках с такой поляризацией отсутствует до частоты порядка 1012 Гц [12], что также хорошо наблюдается из теоретической частотной зависимости e (рис. 11). А измерения комплексного сопротивления конденсатора показывают резонанс на частотах 107–108 Гц (рис. 3, 4), а это частоты, на которых проявляется тепловая поляризация, при которой согласно «классической» теории диэлектриков [12; 13], как было показано выше, не возникает резонанса. Кроме того, график фазы сопротивления измеренного диэлектрика (рис. 3, 4) показывает изменение фазы от –90° до 90°. Это означает, что после резонанса наблюдается преобладание влияния магнитного поля над электрическим полем в диэлектрике.
Рис. 10. Частотные зависимости ε’ (при различных относительных затуханиях Г – а и б) и ε” (в) при упругой поляризации [12; 13]
Fig. 10. Frequency dependences ε’ (for different relative attenuations Г – a and b) and ε” (c) with elastic polarization [12; 13]
Рис. 11. Теоретическая частотная зависимость ε, характеризующая диэлектрические вкладов различных механизмов поляризации и их запаздывание (взято из [12])
Fig. 11. Theoretical frequency dependence ε characterizing the dielectric contributions of various polarization mechanisms and their delay (taken from [12])
Большинство диэлектриков представляют из себя диамагнетики (m ≲ 1) или парамагнетики (m ≳ 1), т. е. для большинства диэлектриков m » 1 [12]. В [12] описаны различные действия магнитного поля на диэлектрик, но так как считалось в [12], что магнитное поле является внешним, то в [12] не было рассмотрено явление самоиндукции в диэлектрике, которое скорее всего и наблюдается на графике фазы (появляется индуктивная составляющая – фаза растет до 90°) сопротивления измеренного диэлектрика (рис. 3, 4).
Исследуем подробнее данное явление. Из уравнений Максвелла для закона сохранения энергии в веществе было получено [12]:
(15)
где H – напряженность магнитного поля, B – магнитная индукция, E – напряженность электрического поля, D – электрическая индукция, j – плотность электрического тока (плотность тока проводимости).
Последний член выражения (15) представляет дивергенцию вектора Умова – Пойтинга и описывает интенсивность потока электромагнитной волны. Предпоследний член выражения (15) характеризует потери электромагнитной волны за счет тока проводимости. Второй член выражения (15) характеризует плотность электрической энергии, а первый член выражения (15) – плотность магнитной энергии [12].
То есть согласно выражению (15) или закону сохранения энергии, в диэлектрике всегда будет действовать электрическое поле, магнитное поле и проводимость. Другое дело – в какой области частот какая величина (электрическое поле, магнитное поле или проводимость) будет превалировать и чем можно пренебречь. Но, к сожалению, в дальнейших выкладках и высказываниях в [12] про действие собственного магнитного поля в диэлектрике ничего не говорится (насколько мало это взаимодействие и когда оно может начинать сказываться), а считается, что если есть магнитное поле в диэлектрике, то оно внешнее [12].
Эта проблема (игнорирование собственного магнитного поля в диэлектрике) связана с тем, что большинство, к сожалению, смешивают понятия идеальных элементов электрической цепи и реальных физических приборов (особенно этому способствует их одинаковое обозначение на схемах). Нельзя забывать, что идеальные (или идеализированные) элементы электрической цепи обладают лишь каким-либо ОДНИМ из перечисленных свойств: вносить энергию в электрическую цепь (источник), рассеивать энергию (элемент резистивного сопротивления, резистивное сопротивление), запасать ее в виде энергии магнитного (элемент индуктивности, индуктивность) или электрического (элемент емкости, емкость) поля [15]. То есть каждое явление рассматривается по отдельности: тепловое действие электрического тока, взаимодействие электрического поля и электрического тока, а также взаимодействие магнитного поля и электрического тока. А в реальных физических приборах (в данном случае, в диэлектрике) согласно (15), т. е. закону сохранения энергии в веществе, всегда присутствует все эти три явления. То есть в схеме замещения любого реального физического элемента всегда будут присутствовать идеальное сопротивление, идеальная емкость, идеальная индуктивность. И этого не следует забывать.
Если же оценить эту индуктивность в рассматриваемом диэлектрике с данными размерами (диаметр 11,8 мм, толщина 1,4 мм), например, используя [16] и приняв m = 1, то она будет порядка 1 нГн. Что и подтверждается полученными параметрами схем замещения для рассматриваемых диэлектриков (см. таблицу). Данное подтверждение еще раз указывает на то, что необходимо учитывать действие собственного магнитного поля диэлектрика, возникающего при протекании в нем ВЧ электрического тока.
ВЧ-резонанс диэлектрика (участок 3 на рис. 5)
Начиная с частоты fP, фаза сопротивления диэлектрика превышает 75–80°, а модуль сопротивления диэлектрика растет (рис. 5, 7). То есть диэлектрик, начиная с этой частоты, ведет себя как дроссель, т. е. диэлектрик можно заменить на последовательный RL-контур, т. к. емкостная составляющая в схеме замещения (рис. 6) практически не оказывает влияния. Тогда из выражения (2) получаем условие из которого получаем следующее неравенство:
(16)
решая которое, определяем граничную частоту fP:
(17)
Следующие ВЧ-резонансы модуля и фазы комплексного сопротивления диэлектрика можно связывать с эффектом длинной линии. Но это не может быть длинной линией, т. к. данный эффект начинает проявляться при частоте 150 МГц (рис. 7). В этом случае длина волны электромагнитного колебания l должна быть равна 3×108 / 1,5×108 = 2 м, что значительно больше толщины рассматриваемого диэлектрика (1,4 мм). Разница составляет 3 порядка.
Так как, начиная с частоты fP, фаза сопротивления диэлектрика больше 80° (рис. 5), то диэлектрик уже не представляет конденсатор, а представляет на этих частотах дроссель (последовательный RL-контур). А в дросселе данное явление, не являющееся эффектом длинных линий, – подъем, спад и следующий подъем модуля сопротивления (рис. 12) хорошо моделируется добавлением в схему замещения трансформатора [17]. Тогда для диэлектрика схема замещения усложнится (рис. 13), что позволяет получить хорошее совпадение измеренного сопротивления диэлектрика с входным сопротивлением схемы замещения (рис. 14).
Рис. 12. Модуль (а) и фазы (б) комплексного сопротивления дросселя: измеренное значение в сравнении с различным коэффициентом связи в схеме замещения (взято из [17])
Fig. 12. Magnitude (a) and phase (b) of inductor impedance: measured value versus different coupling coefficient (taken from [17])
Рис. 13. Схема замещения диэлектрика
Fig. 13. Equivalent circuits of dielectric
Рис. 14. Модуль (а) и фаза (б) комплексного сопротивления измеренного сопротивления диэлектрика: измеренное значение в сравнении с рассчитанным по схеме замещения (рис. 13)
Fig. 14. Magnitude (a) and phase (b) of dielectric impedance: measured value versus obtained value from equivalent circuit (fig. 13)
В полученной схеме замещения (рис. 13) элементы CC1, RC1 и RC2 определяют ВЧ-резонанс (частоту и добротность резонанса), а коэффициент связи K определяет частоту ВЧ-антирезонанса (рис. 14).
С физической точки зрения наличие трансформатора в схеме замещения дросселя объяснялось наличием магнитных полей в проводе и сердечнике дросселя и их взаимным влиянием (не все линии магнитного поля провода пронизывают сердечник) [17]. Как же тогда объяснить похожий эффект в диэлектрике? Там же нет системы «провод-сердечник» как в реальном дросселе.
На самом деле, похожий эффект (появление двух источников магнитного потока) можно объяснить следующим образом: хотя магнитная проницаемость диэлектрика и близка к магнитной проницаемости воздуха [12], но по торцам диэлектрика нанесена тонкая металлизация из серебра, поэтому возникает граница сред из-за разности магнитной проницаемости, и часть магнитного потока отражается от этой границы и складывается с магнитным потоком диэлектрика. Таким образом возникают два магнитных потока (собственный и отраженный), которые влияют друг на друга, как в случае с трансформатором.
В некоторых диэлектриках описанный выше эффект (подъем / спад / подъем модуля сопротивления) в измеренной области частот (до 500 МГц) может возникать несколько раз (рис. 4, 14). Это может быть связано с тем, что сам диэлектрик неоднороден и состоит из различных блоков, и эти резонансы/антрирезонансы в модуле сопротивления являются следствием отражений магнитного потока от границ этих блоков в самом диэлектрике. Все это попытка объяснения физических явлений, возникающих в диэлектрике, на основании измеренных модуля и фазы комплексного сопротивления реального диэлектрика. Для подтверждения или корректировки данной гипотезы требуются дальнейшие измерения диэлектриков. Кроме понимания физических процессов, протекающих в диэлектрике, подтверждение или корректировка данной гипотезы позволит создавать диэлектрики, а также фильтры, использующие данные диэлектрики, с лучшими характеристиками.
Схема замещения. Таким образом была получена схема замещения диэлектрика (рис. 13), работающая в широкой области частот. В таблице приведены параметры этой схемы замещения для измеренных диэлектриков (рис. 3, 4).
| Н15 31000 | Н20 3256 | Н20 3410 | Н30 3250 | Н50 5200 | Н90 9250 | Н90 16300 | Н90 16350 |
C, нФ | 2,324 | 2,572 | 2,500 | 3,094 | 3,907 | 5,551 | 9,610 | 8,745 |
L, нГн | 1,100 | 1,200 | 1,000 | 0,950 | 1,400 | 1,600 | 1,300 | 2,000 |
RC, мОм | 220 | 870 | 190 | 170 | 200 | 70 | 88 | 390 |
К | 0,410 | 0,420 | 0,400 | 0,400 | 0,420 | 0,420 | 0,410 | 0,380 |
CC1, нФ | 0,180 | 0,210 | 0,220 | 0,260 | 0,225 | 0,470 | 0,960 | 0,620 |
RC1, Ом | 20 | 18 | 100000 | 20 | 18 | 120 | 80 | 100 |
RC2, Ом | 0,250 | 0,250 | 0,450 | 0,160 | 0,250 | 0,060 | 0,060 | 0,080 |
Заключение
В работе предложена новая схема замещения диэлектрика (рис. 13), частотные характеристики которой близки с измеренными частотными характеристиками сопротивления диэлектрика в широкой полосе частот (от 0 до 500 МГц). Это позволяет использовать данную схему замещения диэлектрика при проектировании высокочастотных фильтров радиопомех, а также при исследовании и проектировании электромагнитных помех в импульсных преобразователях напряжения модуляционного типа с ШИМ, ЧИМ и ФИМ.
Дана попытка объяснения физических явлений и факторов, которые влияют на частотные характеристики сопротивления реального диэлектрика. Предложено объяснение наличия индуктивности в схеме замещения диэлектрика и наличия ВЧ-всплесков в модуле комплексного сопротивления диэлектрика, которые не могут быть объяснены с позиции длинных линий из-за малости размера диэлектрика. Данное теоретическое высказывание требует дальнейших экспериментальных подтверждений.
Найдены параметры схемы замещения диэлектрика по измеренным частотным характеристикам сопротивления диэлектрика. Показано, что для построения схемы замещения, а также для нахождения ее параметров, одного модуля сопротивления диэлектрика недостаточно, необходимо учитывать также фазу комплексного сопротивления диэлектрика.
Об авторах
Владимир Федорович Дмитриков
Санкт-Петербургский государственный университет телекоммуникаций имени профессора М.А. Бонч-Бруевича
Email: dmitrikov_vf@mail.ru
доктор технических наук, профессор кафедры теории электрических цепей и связи Санкт-Петербургского государственного университета телекоммуникаций имени профессора М.А. Бонч-Бруевича, заслуженный деятель науки РФ, лауреат премии ОАО «Газпром», академик РАЭН, член-корр. АЭН, член-корр. МАН ВШ, член бюро совета «Научные проблемы систем электропитания» при отделении РАН «Электрофизика, энергетика, электротехника»
Россия, 193232, г. Санкт-Петербург, пр. Большевиков, 22, к. 1Дмитрий Викторович Шушпанов
Санкт-Петербургский государственный университет телекоммуникаций имени профессора М.А. Бонч-Бруевича
Автор, ответственный за переписку.
Email: dimasf@inbox.ru
кандидат технических наук, доцент кафедры теории электрических цепей и связи
Россия, 193232, г. Санкт-Петербург, пр. Большевиков, 22, к. 1Список литературы
- Мелешин В.И. Транзисторная преобразовательная техника. М.: Техносфера, 2005. 632 с.
- Дмитриков В.Ф., Сергеев В.В., Самылин И.Н. Исследование переходных процессов в импульсных регуляторах напряжения с различными фильтрующими цепями // Труды учебных заведений связи. 2001. Вып. 167. С. 72–78.
- Смирнов В.С. Эквивалентные частотные характеристики транзисторных ключевых устройств с отрицательной обратной связью: дис. ... канд. тех. наук. СПб., 2007. 261 c.
- Дмитриков В.Ф., Шушпанов Д.В. Устойчивость и электромагнитная совместимость устройств и систем электропитания. М.: Горячая линия – Телеком, 2018. 540 с.
- Исследование комплексного сопротивления и структурно-параметрический синтез схем замещения конденсаторов / В.Ф. Дмитриков [и др.] // Физика и технические приложения волновых процессов: тезисы и доклады конференции. Самара, 2008. С. 366–368.
- Кобелянский А.Е. Исследование и разработка высокоэффективных импульсных преобразователей напряжения с ШИМ и систем электропитания на их основе: дис. ... канд. тех. наук. СПб., 2010. 217 с.
- Подавление электромагнитных помех в цепях электропитания / Г.С. Векслер [и др.]. Киев: Тэхника, 1990. 167 с.
- Reducing of parasitic inductive couplings effects in EMI filters / L. Taylor [et al.] // 2013 15th European Conference on Power Electronics and Applications (EPE). 2013. P. 1–8. DOI: https://doi.org/10.1109/EPE.2013.6634643
- Cuellar C., Idir N. Reduction of the parasitic couplings in the EMI filters to improve the high frequency insertion loss // IECON 2018 – 44th Annual Conference of the IEEE Industrial Electronics Society. 2018. P. 5766–5771. DOI: https://doi.org/10.1109/IECON.2018.8591234
- Synthesis of equivalent circuits for chokes and capacitors in a wide range of frequencies taking into account dynamic processes in dielectric and magnetic materials / V.F. Dmitrikov [et al.] // 2019 20th International Conference of Young Specialists on Micro/Nanotechnologies and Electron Devices (EDM). 2019. P. 532–540. DOI: https://doi.org/10.1109/EDM.2019.8823489
- Разработка высокочастотных электрических схем замещения конденсаторов и дросселей с учетом частотных свойств диэлектрической и магнитной проницаемости диэлектриков и магнетиков / В.Ф. Дмитриков [и др.] // Физика волновых процессов и радиотехнические системы. 2020. Т. 23, № 2. С. 55–69. DOI: https://doi.org/10.18469/1810-3189.2020.23.2.55-69
- Поплавко Ю.М. Физика диэлектриков. Киев: Вища школа, 1980. 400 с.
- Рез И.С., Поплавко Ю.М. Диэлектрики. Основные свойства и применения в электронике. М.: Радио и связь, 1989. 288 с.
- Гусев Ю.А. Основы диэлектрической спектроскопии. Казань: КГУ, 2008. 112 с.
- Белецкий А.Ф. Теория линейных электрических цепей. СПб.: Лань, 2009. 544 с.
- Калантаров П.Л., Цейтлин Л.А. Расчет индуктивностей. 3-е изд., перераб. и доп. Л.: Энергоатомиздат, 1986. 488 с.
- Дмитриков В.Ф., Шушпанов Д.В. Эквивалентная схема замещения дросселя, намотанного на феррите, в широком диапазоне частот (0 Гц – 500 МГц) // Физика волновых процессов и радиотехнические системы. 2021. Т. 24, №4. С. 25–45. DOI: https://doi.org/10.18469/1810-3189.2021.24.4.25-45
Дополнительные файлы
















