Неравновесное охлаждение и нагревание жидкого кристалла МББА при фазовом переходе первого рода в длинной кювете
- Авторы: Казакевич В.С.1, Клюкач И.Л.1, Мордовин Г.А.1
-
Учреждения:
- Самарский филиал Физического института имени П.Н. Лебедева РАН
- Выпуск: Том 25, № 1 (2022)
- Страницы: 65-70
- Раздел: Статьи
- URL: https://journals.rcsi.science/1810-3189/article/view/143673
- DOI: https://doi.org/10.18469/1810-3189.2022.25.1.65-70
- ID: 143673
Цитировать
Полный текст
Аннотация
Методом критической опалесценции исследован фазовый переход первого рода нематического жидкого кристалла МББА с примесью бензола при большой толщине кюветы. Опалесценция наблюдалась в двух критических точках перехода. По дифракции Фраунгофера определены поперечные пространственные параметры доменов. Предложена гипотеза о равенстве продольного параметра корреляции доменов длине кюветы.
Ключевые слова
Полный текст
Введение
В своей лекции лауреат Нобелевской премии В.Л. Гинзбург писал, что исследование фазовых переходов первого рода является актуальной задачей на начало 21 века [1]. В конце 20 века в фазовых переходах второго рода были обнаружены по две критические точки. Две критические точки наблюдались А.А. Собяниным в кристалле сегнетовой соли [2; 3]. Уникальной особенностью этого сегнетоэлектрика является наличие двух точек Кюри. Это возможно для кристалла лежащего свободно (не зажатого). Других таких материалов в природе не существует. Две критические точки наблюдались также в работах [4–7] при фазовом переходе второго рода в жидком кристалле (ЖК) из нематической фазы в смектическую -фазу при добавлении примеси (6OSB или 8OSB). В работах [4–7] пространственные параметры корреляции были измерены с помощью рентгеновского рассеяния и корреляционные параметры были равны 200 ангстрем. Двойные критические точки обнаружены И.Л. Фабелинским [8] при фазовом переходе второго рода в бинарных растворах, содержащих гваякол и глицерин с добавлением воды. В [8] представлены измерения температурных зависимостей пространственных параметров флуктуации концентрации методом рассеяния Рэлея. Параметры корреляции не превышали 3 мкм. В перечисленных работах критические точки находились в крайних точках фазовых переходов второго рода. В работах [2–8] использовалась приближенная феноменологическая теория Ландау – де Жена [9; 10], в которой все параметры корреляции близки друг другу.
В тонких слоях нематических ЖК обнаружены домены при акустическом сдвиге и при действии электрического поля [11].
Жидкие кристаллы обладают высокой нелинейностью [12–16]. Нелинейность жидких кристаллов равна 1 см2/Вт. Однако в опытах по нелинейной оптике толщина кювет с ЖК не превышала 340 мкм из-за непрозрачности мезофазы [13; 14]. Представляет интерес изучение нелинейных свойств ЖК в длинных кюветах для увеличения нелинейной длины взаимодействия.
Методом критической опалесценции был исследован неравновесный фазовый переход первого рода в нематическом ЖК МББА с примесью в длинной кювете. В ЖК МББА с примесью были найдены две особые и критические температурные точки внутри фазового перехода.
Объектом исследования был нематический жидкий кристалл МББА (n - (4-метоксибензилиден)- 4-бутиланилин). Химическая формула C18H21NO. Молекула МББА представляет собой «стержень» длиной 40 ангстрем с поперечным сечением порядка 5 ангстрем. Кислород слева порождает дипольный момент.
Две молекулы МББА с дипольным моментом создают неполярные структуры с нулевым дипольным моментом. Нематический ЖК МББА представляет собой поликристалл с хаотической ориентацией нитей [17; 18].
Схема эксперимента
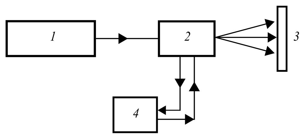
В установке кювета с ЖК длиной 15 мм и диметром 20 мм помещается в трехуровневый термостат. Имеется электронный блок управления температурой внутри термостата. Блок управляет температурой в интервале от 303 K до 311 K, используя положительную обратную связь. Электронный блок задает и контролирует температуру в термостате с точностью 10–3 градусов. Рост температуры от времени при нагреве напоминал график заряда конденсатора. Ручное управление позволяет быстро попадать в заданный интервал температур, а затем медленно двигаться в этом интервале под управлением электронного блока (рис. 1).
Диагностика ЖК МББА осуществлялась по рассеянию на экране. Использовалось излучение одномодового лазера LCM-DJL-319-OJ, длина волны 0,53 мкм, длина импульса 6 нс, диаметр пучка 1,1 мм, расходимость радиан, поляризация линейная (горизонтальная).
Рис. 1. Схема эксперимента по рассеянию в ЖК МББА: 1 – лазер; 2 – термостат; 3 – экран; 4 – электронный блок
Fig. 1. Scheme of the experiment on scattering in LC MBBA: 1 – laser; 2 – thermostat; 3 – screen; 4 – electronic unit
В управлении был использован принцип положительной обратной связи. В эксперименте использовался так же и непрерывный лазер на смеси He и Ne, мощностью 1 мВт, работающий в режиме многих поперечных мод. Рассеиваемое ЖК излучение наблюдалось на экране, расположенном на расстоянии 1 метр от кюветы.
Равновесные процессы состоят из следующих друг за другом состояний равновесия. Параметрами состояния нашей системы являются (давление, температура и концентрация примеси). При охлаждении и нагревании меняется только один параметр – температура. Скорость изменения температуры во времени определяет степень неравновесности. При неравновесном охлаждении скорость приблизительно равна один градус в секунду и зависит от температуры в лаборатории. Максимальная скорость при нагревании один градус в секунду. Такую скорость нагрева удается достичь при использовании ручного управления. Однако использование при охлаждении и нагреве положительной обратной связи позволяет достичь скорости ноль градусов в секунду.
Особые точки фазового перехода
ЖК МББА в нашем эксперименте содержал примесь бензола с концентрацией 2 %. Характерная фазовая диаграмма для равновесного и квазиравновесного перехода смеси (МББА-бензол) представлена в [19].
При квазиравновесном изменении температуры ЖК попадает в узкую область с двумя фазами. Изотропная фаза и мезофаза при равновесном переходе разделяются пространственно. Процесс перехода идет с сохранением концентрации примеси 2 %.
При неравновесном нагреве до температуры T* = 308,11 K ± 0,01 K ЖК МББА будет прозрачен. При неравновесном охлаждении до температуры T** = 303,46 K ± 0,01 K весь ЖК МББА переходит в состояние мезофазы. Ширина фазового перехода равна T* – T** = ΔT = 4,65 K ± 0,01 K. Неравновесное охлаждение и нагревание позволяло наблюдать критическую опалесценцию при температурах Tкр.охл = 304,04 K ± 0,01 K и Tкр.наг = 305,38 K ± 0,01 K. Расстояние между этими точками Tнер. = (Tкр.наг – Tкр.охл) = 1,34 K ± 0,01 K. Критическая опалесценция в начале наблюдается в критической точке охлаждения с температурой Tкр.охл, а затем при нагревании критическая опалесценция наблюдается в точке Tкр.наг. Порядок следования точек изменить нельзя.
Рассеянное доменами излучение состоит из отдельных ярких пятен, известных под названием спеклы (рис. 2, a и б). Спеклы движутся. Вблизи критических точек дрейф спеклов прекращается.
Рис. 2. Неравновесное охлаждение ЖК задолго до критической опалесценции (a). Неравновесное охлаждение вблизи точки T > Tкр.охл (б)
Fig. 2. Nonequilibrium cooling of LC long before critical opalescence (a). Non-equilibrium cooling near the point T > Tcr.cool (b)
При охлаждении вблизи критической точки на экране наблюдается регулярная кольцевая структура, характерная для дифракции Фраунгофера на круглом отверстии (рис. 2, б).
Радиус первого темного кольца при дифракции равен 3,5 см ± 0,1 см. Осевая симметрия говорит о равенстве двух поперечных пространственных параметров корреляции. Формула Фраунгофера для первого темного кольца дает нам поперечные параметры доменов при различных температурах T > Tкр.охл
(1)
где – длина волны излучения, – угол дифракции.
Поперечный пространственный параметр корреляции равен 9,2 мкм ± 0,3 мкм при температуре 304,15 K. Этот параметр поперечной корреляции проявляет себя на рис. 2, б. При достижении температуры Tкр.охл = 304,04 K ± 0,01 K ЖК становится непрозрачным.
При неравновесном нагреве и достижении температуры Tкр.наг = 305,38 K ± 0,01 K наблюдается вторая критическая точка опалесценции. Смесь двух фаз становится прозрачной при выходе из критической точки нагревания.
Неоднородность смеси фаз выше критических точек обусловлена наличием в смеси доменов. Домены здесь имеют меньшую плотность, из-за наличия примеси бензола меньше 2 %. Смесь фаз, окружающая домены, более плотная и содержит процент бензола больше 2 %.
При неравновесном фазовом переходе мы имеем однородную и неоднородную смеси фаз. Однородная смесь двух фаз имеет место при охлаждении и нагревании ниже критических точек. Неоднородная смесь фаз имеет место от точки входа в фазовый переход до критических точек.
Точность измерений температуры гарантирована следующими обстоятельствами: а) измерения каждой температуры выполнено не менее 7 раз; б) когерентное излучение лазера порождает на экране спеклы. Вблизи критических точек движение спеклов скачком замедляется, что связано с достижением наибольшего числа доменов. При приближении к Tкр.охл интенсивность мало углового рассеяния растет согласно феноменологической теории Ландау-де-Жена [9; 10].
Обсуждение результата охлаждения и нагревания
Коэффициенты поверхностного натяжения стекол (0,29–0,35 Дж/м2), а ЖК МББА (0,04 Дж/м2). Боковые стенки кюветы неполированные. Поэтому все домены перпендикулярны окнам кюветы так, как здесь пространственный параметр корреляции в МББА имеет наибольшие значения, а группа симметрии неравновесной смеси доменов соответствует симметрии цилиндра. К нашей работе теория Ландау-де Жена оказалась неприменимой [9; 10], так как длина доменов была много больше поперечных параметров корреляции. Их длина определяет продольный параметр корреляции.
В координатах (y = I/I0, x = kT, где k –постоянная Больцмана) по оси абсцисс отложена энергия, а по оси ординат нормированная интенсивность лазерного излучения. Интенсивность I0 измеряется на входе в кювету при температуре 306 K. Интенсивность I измеряется на выходе из кюветы при изменении температуры согласно графику. Два наложенных графика похожи на петлю гистерезиса. Обход по этой петле подобен обходу по петле гистерезиса при намагничивании ферромагнетика (рис. 3). Площадь петли измеряется энергией ΔЕ = kΔT = Дж. Эта энергия много меньше энергии теплового движения одной молекулы E = kT. В критических точках коэффициенты поверхностного натяжения фаз, составляющих смесь, всегда равны друг другу. В нижней критической точке коэффициент поверхностного натяжения меньше, чем в верхней критической точке. Использованы нейтральные светофильтры серии НС.
Рис. 3. Графики охлаждения (а) и нагревания (б) выделяют некоторую область, напоминающую петлю гистерезиса
Fig. 3. Graphs of cooling (a) and heating (b) highlight a certain area resembling a hysteresis loop
Упорядоченную структуру одного домена можно назвать жидким монокристаллом. В кювете, имеющей пучок из большого количества доменов, мы имеем дело с жидким упорядоченным поликристаллом. ЖК МББА в мезофазе является неупорядоченным поликристаллом [20]. Длина жидкого упорядоченного поликристалла равна длине кюветы 15 мм, из-за большой разницы коэффициентов поверхностного натяжения стекла и ЖК.
Заключение
Методом критической опалесценции изучены особенности фазового перехода первого рода в ЖК МББА с примесью. В эксперименте использовалась кювета длиной 15 мм, что превышает размеры кювет в работах других авторов. В ЖК МББА открыты две критические точки, обладающие рядом уникальных особенностей. Критическая точка охлаждения всегда наблюдается первой при опалесценции. Критическая точка нагревания всегда наблюдается после критической точки охлаждения. Длина кюветы, по нашей оценке, не должна превышать 15–30 мм. Обе критические точки (охлаждения и нагревания) находятся внутри фазового перехода первого рода, что не соответствует расположению критических точек при фазовых переходах второго рода [2–8].
Об авторах
Владимир Станиславович Казакевич
Самарский филиал Физического института имени П.Н. Лебедева РАН
Email: i.klykach@yandex.ru
кандидат физико-математических наук, директор
Россия, СамараИгорь Леонидович Клюкач
Самарский филиал Физического института имени П.Н. Лебедева РАН
Email: i.klykach@yandex.ru
кандидат физико-математических наук
Россия, СамараГеннадий Андреевич Мордовин
Самарский филиал Физического института имени П.Н. Лебедева РАН
Автор, ответственный за переписку.
Email: mordovin.ga@yandex.ru
ведущий инженер
Россия, СамараСписок литературы
- Гинзбург В.Л. О сверхпроводимости и сверхтекучести (что мне удалось сделать, а что не удалось), а также о «физическом минимуме» на начало XXI века // УФН. 2004. Т. 174, № 11. С. 1240–1255. DOI: https://doi.org/10.3367/UFNr.0174.200411g.1240
- Собянин А.А. Общие свойства систем с «двойной» критической точкой // УФН. 1986. Т. 149, № 2. С. 325–328. DOI: https://doi.org/10.3367/UFNr.0149.198606e.0325
- Новое о динамике кристаллов сегнетовой соли (системы с «двойной» критической точкой) / А.А. Волков [и др.] // УФН. 1986. Т. 149, № 2. С. 331–334. DOI: https://doi.org/10.3367/UFNr.0149.198606g.0331
- Guillon D., Cladis P.E., Stamatoff J. X-ray study and microscopic study of the reentrant nematic phase // Phys. Rev. Lett. 1978. Vol. 41, no. 23. P. 1598–1601. DOI: https://doi.org/10.1103/PhysRevLett.41.1598
- Polymorphisme des substances mésogènes a molécules polaires. I. Physico-chimie et structure / F. Hardouin [et al.] // J. Chim. Phys. 1983. Vol. 80. P. 53–64. DOI: https://doi.org/10.1051/jcp/1983800053
- Nematic-smectic A-reentrant nematic transitions in 80CB: 60CB mixtures / A.R. Kortan [et al.] // Journal de Physique. 1984. Vol. 45, № 3. P. 529–538. DOI: https://doi.org/10.1051/jphys:01984004503052900
- High-resolution x-ray-scattering study of the nematic-smectic A-reentrant nematic transitions in 8OCB/6OCB mixtures / A.R. Kortan [et al.] // Phys. Rev. Lett. 1981. Vol. 47, no. 17. P. 1206–1209. DOI: https://doi.org/10.1103/PhysRevLett.47.1206
- Фабелинский И.Л., Кривохижа С.В., Чайков Л.Л. Экспериментальное исследование растворов с «двойной» критической точкой // УФН. 1986. Т. 149, № 2. С. 328–331. DOI: https://doi.org/10.3367/UFNr.0149.198606f.0328
- Зубков Л.А., Романов В.П. Критическая опалесценция // УФН. 1988. Т. 154, № 4. С. 615–659. DOI: https://doi.org/10.3367/UFNr.0154.198804c.0615
- Де Жен П. Физика жидких кристаллов. М.: Мир, 1977. 400 с.
- Денисова О.А. Структурные переходы в жидких кристаллах, индуцируемые акустическими и электрическими полями. Дис. ... докт. физ.-мат. наук. Челябинск, 2014. 294 с.
- Ахманов С.А., Никитин С.Ю. Физическая оптика. М.: МГУ, 2004. 656 с.
- Durbin S.D., Arakelian S.M., Shen Y.R. Laser-induced diffraction rings from a nematic-liquid-crystal film // Optics Letters. 1981. Vol. 6, no. 9. P. 411–413. DOI: https://doi.org/10.1364/ol.6.000411
- Зельдович Б.Я., Табирян Н.В. Ориентационная оптическая нелинейность жидких кристаллов // УФН. 1985. Т. 147, № 4. С. 633–674. DOI: https://doi.org/10.3367/UFNr.0147.198512a.0633
- Бистабильность поля директора нематического жидкого кристалла в низкочастотном электрическом и пространственно ограниченном световом полях / А.С. Золотько [и др.] // Краткие сообщения по физике ФИАН. 2004. № 3. С. 7–15.
- Нелинейно-оптические свойства жидких кристаллов, допированных гребнеобразным полимером с азобензольными мезогенными группами / И.А. Будаговский [и др.] // Жидкие кристаллы и их практическое использование. 2006. Вып. 4 (18). С. 22–39. URL: https://istina.msu.ru/publications/article/27991405/
- Блинов Л.М. Электро- и магнитооптика жидких кристаллов. М.: Наука, 1978. 384 с.
- Блинов Л.М. Жидкие кристаллы: структура и свойства. М.: Книжный дом «Либроком», 2013. 480 с.
- Жидкие кристаллы / под ред. С.И. Жданова. М.: Химия, 1979. 328 с.
- Ландау Л.Д., Ахиезер А.И., Лифшиц Е.М. Курс общей физики. Механика и молекулярная физика. М.: Наука, 1969. 399 с.
Дополнительные файлы





