Influence of oxytocin on the central nervous system by different routes of administration
- Authors: Litvinova M.V.1, Tissen l.Y.1, Lebedev A.A.1, Bychkov E.R.1, Karpova I.V.1, Shabanov P.D.2
-
Affiliations:
- Institute of Experimental Medicine
- Institue of Experimental Medicine
- Issue: Vol 14, No 2 (2023)
- Pages: 139-148
- Section: Original Study Articles
- URL: https://journals.rcsi.science/1606-8181/article/view/258421
- DOI: https://doi.org/10.17816/phbn501752
- ID: 258421
Cite item
Full Text
Abstract
BACKGROUND: One of the unresolved problems in improving the pharmacotherapy of central nervous system diseases is the development and creation of technologies that allow drugs to cross the blood–brain barrier. One way to bypass the blood–brain barrier is the intranasal route of administration. Drug delivery is influenced by the peculiarities of the mechanism of transport of substances.
AIM: To examine the effect of intranasal administration of oxytocin on the behavior of mice and its content in various brain structures.
MATERIALS AND METHODS: The study used 60 outbred mice divided into six groups. Group 1 were healthy and did not receive oxytocin or physiological solution, groups 2 and 3 received single injection of 20 and 300 µL of oxytocin 5 IU intraperitoneally, respectively, group 4 was injected intranasally with 20 µL of oxytocin 5 IU, group 5 received 20 µL of saline intranasally, and group 6 received 300 µL of saline intraperitoneally. Behavioral effects were recorded in the elevated plus maze for 5 min, and the duration of stay in the open arm, number of transitions between the arms, and number of hangings from the arms were assessed. The concentration of oxytocin was measured in the following structures: olfactory bulb, striatum, hypothalamus, and hippocampus using an enzyme immunoassay.
RESULTS: Intranasal administration of oxytocin causes changes in behavior in mice, particularly a decrease in the degree of anxiety (anxiolytic effect). When timing the open arms in the plus maze test, mice administered intranasal oxytocin spent more time in the arms (32.44 ± 4.28 versus the control group with 5.66 ± 1.96 s), the number of transitions between the sleeves increased (1.90 ± 0.10 s versus 1.10 ± 0.10 s in the control group), and number of hangings from the sleeves increased (8.44 ± 1.37 versus 3.77 ± 0.98 in the control group). An increase was noted in one of the indicators — number of hangings from the sleeve after intraperitoneal injection of 300 µL of oxytocin, which may indicate the anxiolytic effect of oxytocin. The remaining groups receiving intranasal saline injection, intraperitoneal saline injection, and intraperitoneal injection of 20 µL of oxytocin did not show significant changes in behavior compared with the control group. In addition, after intranasal administration of oxytocin, its content increased in certain brain structures, i.e., the hypothalamus and hippocampus.
CONCLUSION: The results of this study indicate the potential efficacy of intranasal administration of oxytocin in the treatment of diseases affecting the central nervous system.
Full Text
АКТУАЛЬНОСТЬ
Неврологические расстройства являются основной причиной инвалидности и второй по значимости причиной смерти в мире — на их долю приходится 16,8 % смертей во всем мире. Существует острая потребность в новых препаратах для центральной нервной системы (ЦНС). Их разработка в настоящее время затруднена из-за того, что препараты в терапевтических количествах должны преодолевать гематоэнцефалический барьер (ГЭБ) [1]. Поэтому принципиально важным является совершенствование принципов фармакотерапии и коррекции нарушенных функций ГЭБ при заболеваниях нервной системы. Одним из способов обхода ГЭБ и благодаря этому лечения заболеваний ЦНС является интраназальный путь введения. За последние 10 лет значительно возрос интерес к данному методу введения как способу доставки веществ в ЦНС [2]. Доставка препарата осуществляется благодаря особенностям механизма транспорта веществ при введении — внеклеточному и внутриклеточному путям, которые позволяют миновать ГЭБ. На сегодняшний день существует множество методов для доставки фармакологических агентов через ГЭБ, однако они имеют определенные недостатки [3].
В последние несколько десятилетий острое и хроническое введение интраназального окситоцина широко использовалось в исследованиях как на животных, так и на людях для модуляции различных аспектов социального поведения и лежащих в их основе нейронных механизмов. Действия нейропептида были связаны с эмоциональными, подкрепляющими и внутривидовыми эффектами социального поведения, такие как альтруистическое поведение [4]. Показано, что окситоцин при интраназальном введении обладает большим терапевтическим потенциалом при широко распространенных психических расстройствах, характеризующихся дефицитом социального поведения, мотивации и эмоции, таких как аутизм, тревога, депрессия и шизофрения [5], и воздействует через свои рецепторы на вовлеченные области мозга [6]. Например, в контексте аутизма исследования показали, что интраназальное введение окситоцина повышает внимание к социальным сигналам [7], а также к поведенческим реакциям на социальное вознаграждение [8]. В ряде клинических исследований также выявлено улучшение социальных симптомов после длительного хронического введения окситоцина [9] у детей младшего возраста без серьезных побочных эффектов. Анализ 38 рандомизированных контролируемых исследований с использованием разовых доз интраназального окситоцина, проведенных в период с 1990 по 2010 г., также не обнаружил никаких доказательств наличия серьезных побочных эффектов при его применении [10]. Принципиальная возможность применения интраназального метода доставки была показана в исследовании, в котором вводили 6-гидроксидофамин и моделировали болезнь Паркинсона у мышей, результаты продемонстрировали возможность применения нейротоксина для моделирования болезни при интраназальном введении [11]. В то же время работ о сравнении действия окситоцина при различных путях введения на ЦНС явно недостаточно.
Цель работы — изучить влияние окситоцина при различных путях введения на поведение мышей и определить его содержание в различных структурах мозга.
МАТЕРИАЛЫ И МЕТОДЫ
В работе были использованы 60 беспородных белых мышей-самцов, которым вводили окситоцин интраназально и внутрибрюшинно. Через 15 мин после введения оценивали поведение животных в тесте «крестообразный лабиринт» и определяли количественное содержание белка в отделах мозга методом иммуноферментного анализа (ИФА).
Все животные были разделены на 6 равных по числу животных групп. Первая группа мышей была интактной и не подвергалась введению окситоцина или физиологического раствора. Вторая и третья группы получали единократное введение 20 и 300 мкл окситоцина 5 МЕ внутрибрюшинно соответственно. Четвертая группа подвергалась интраназальному введения окситоцина 5 МЕ в количестве 20 мкл. Пятая группа получала 20 мкл физиологического раствора интраназально, шестая группа — 300 мкл физиологического раствора внутрибрюшинно.
Поведенческий тест «крестообразный лабиринт». Беспородных мышей помещали в центр экспериментальной камеры — крестообразного лабиринта, который состоит из 4 рукавов длиной 30 см и шириной 6 см, соединенных под прямым углом. Два рукава имеют с 2 сторон стенки высотой 30 см, а 2 других открыты и освещены рассеянным искусственным светом. Лабиринт расположен на подставке высотой 40 см над уровнем пола. В течение 5 мин систематически проводили визуальную регистрацию следующих параметров: время нахождения в освещенных рукавах; количество выходов из темных рукавов в освещенные; время, которое мыши проводили на центральной площадке; количество свешиваний с открытых рукавов. Анксиолитический эффект определяли по увеличению времени нахождения в открытых рукавах и по уменьшению количества свешиваний с открытых рукавов.
Иммуноферментный анализ. Для проведения иммуноферментного анализа были выделены следующие структуры мозга: стриатум, обонятельные луковицы, гиппокамп и гипоталамус. Затем выделенные структуры гомогенизировались при помощи вибрационной криомельницы retsch. Концентрации окситоцина в различных областях мозга определяли с использованием готовой тест-системы «Набор высокочувствительного ИФА для определения окситоцина (ОТ)» (Cloud-Clone Corp., США) в полном соответствии с инструкцией производителя. После окончания реакции измеряли оптическую плотность при длине волны 450 нм.
Фармакологические агенты. В работе использовали окситоцин 5 МЕ/мл (Гедеон Рихтер ОАО, Венгрия) для введения группам мышей в следующих объемах: 50 мкл для внутрибрюшинного введения, 300 мкл для внутрибрюшинного введения и 20 мкл для интраназального введения 4-й группе мышей, физиологический раствор («Дальхимфарм») 20 мкл для интраназального введения и 300 мкл для внутрибрюшинного введения.
Статистические методы анализа. Оценку статистической достоверности различий проводили при помощи пакета программ GraphPad Prism 8.4.3 с использованием однофакторного дисперсионного анализа. Для сравнения интактной и экспериментальной групп применяли однофакторный дисперсионный анализ ANOVA. Из непараметрических критериев использовали критерий Краскела – Уоллиса для сравнения групп. Различия считали статистически значимыми при p ≤ 0,05. Для представления полученных данных применяли такие показатели описательной статистики, как среднеарифметическое значение и ошибка среднего.
РЕЗУЛЬТАТЫ
При определении времени проведения в открытых рукавах в тесте «крестообразный лабиринт» было установлено, что мыши, которым вводили окситоцин интраназально, достоверно больше времени проводили в открытых рукавах (32,44 ± 4,28 с), по сравнению с контрольной группой (КГ) мышей (5,66 ± 1,96 с), не получавших окситоцин и физиологический раствор (p ≤ 0,0001), группой, которым внутрибрюшинно вводили 50 мкл (5,50 ± 1,94 с) и 300 мкл окситоцина 5 МЕ (10,50 ± 2,76 с, p ≤ 0,0001), а также по сравнению с ложными интраназальными (4,55 ± 1,09 с, p ≤ 0,0001) и ложными внутрибрюшинными группами (6,40 ± 1,78 с, p ≤ 0,0001), которым вводили физиологический раствор (рис. 1).
Рис. 1. Время проведения в открытых рукавах у групп мышей после введения окситоцина. 1 — интактные мыши; 2 — внутрибрюшинное введение 50 мкл окитоцина 5 МЕ; 3 — внутрибрюшинное введение 300 мкл окситоцина 5 МЕ; 4 — интраназальное введение 20 мкл окситоцина 5 МЕ; 5 — ложное интраназальное введение (интраназальное введение 20 мкл физиологического раствора); 6 — ложное внутрибрюшинное введение (внутрибрюшинное введение 300 мкл физиологического раствора). ****p < 0,0001
Fig. 1. Time spent in open sleeves in groups of mice administered oxytocin. Columns: 1, intact mice; 2, intraperitoneal administration of 50 mL of oxytocin 5 IU; 3, intraperitoneal administration of 300 mL of oxytocin 5 IU; 4, intranasal administration of 20 mL of oxytocin 5 IU; 5, false intranasal administration (intranasal administration of 20 mL of saline solution); 6, false intraperitoneal administration (intraperitoneal administration of 300 mL of saline solution). ****p 0,0001
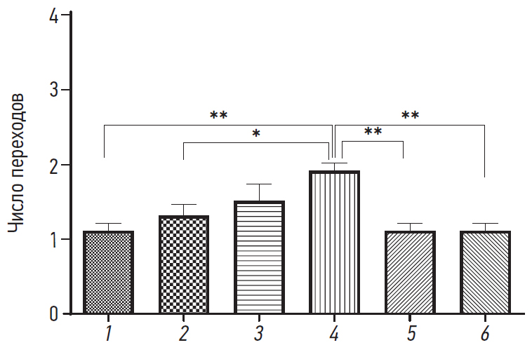
Частота переходов между рукавами у групп мышей после интразанального введения показала увеличение переходов (1,90 ± 0,10 с по сравнению с 1,10 ± 0,10 с у КГ), по сравнению с ложно интраназальным и ложно внутрибрюшинным введениями (1,10 ± 0,10 с, p ≤ 0,01), а также с группой внутрибрюшинного введения 50 мкл (1,30 ± 0,15 с, p ≤ 0,05). Значимых различий не было обнаружено после внутрибрюшинного введения 300 мкл окситоцина (1,50 ± 0,22 с) и интразального (рис. 2).
Рис. 2. Число переходов в рукава крестообразного лабиринта после введения введения окситоцина. 1 — интактные мыши; 2 — внутрибрюшинное введение 50 мкл окитоцина 5 МЕ; 3 — внутрибрюшинное введение 300 мкл окситоцина 5 МЕ; 4 — интраназальное введение 20 мкл окситоцина 5 МЕ; 5 — ложное интраназальное введение (интраназальное введение 20 мкл физиологического раствора); 6 — ложное внутрибрюшинное введение (внутрибрюшинное введение 300 мкл физиологического раствора). *p < 0,05; **p < 0,001
Fig. 2. Number of transitions into the arms of the cruciform labyrinth after oxytocin administration. Columns: 1, intact mice; 2, intraperitoneal administration of 50 mL of oxytocin 5 IU; 3, intraperitoneal administration of 300 mL of oxytocin 5 IU; 4, intranasal administration of 20 mL of oxytocin 5 IU; 5, false intranasal administration (intranasal administration of 20 mL of saline solution); 6, false intraperitoneal administration (intraperitoneal administration of 300 mL of saline solution). *p < 0.05; **p < 0.001
Были выявлены достоверные различия при оценке показателя частоты свешиваний с рукавов (рис. 3). У групп мышей после интраназального (8,44 ± 1,37) и внутрибрюшинного (9,10 ± 0,83) введения 300 мкл окситоцина 5 МЕ количество свешиваний увеличивалось по сравнению с КГ, не получавшей препарат и физиологический раствор (3,77 ± 0,98, p ≤ 0,05).
Рис. 3. Число свешиваний с открытых рукавов после введения окситоцина. 1 — интактные мыши; 2 — внутрибрюшинное введение 50 мкл окитоцина 5 МЕ; 3 — внутрибрюшинное введение 300 мкл окситоцина 5 МЕ; 4 — интраназальное введение 20 мкл окситоцина 5 МЕ; 5 — ложное интраназальное введение (интраназальное введение 20 мкл физиологического раствора); 6 — ложное внутрибрюшинное введение (внутрибрюшинное введение 300 мкл физиологического раствора). *p < 0,05
Fig. 3. Number of overhangs from open sleeves after oxytocin administration. Columns: 1, intact mice; 2, intraperitoneal administration of 50 mL of oxytocin 5 IU; 3, intraperitoneal administration of 300 mL of oxytocin 5 IU; 4, intranasal administration of 20 mL of oxytocin 5 IU; 5, false intranasal administration (intranasal administration of 20 mL of saline solution); 6, false intraperitoneal administration (intraperitoneal administration of 300 mL of saline solution). *p < 0,05
Наибольшее увеличение показателя наблюдалось у мышей после внутрибрюшинного введения 300 мкл окситоцина, наблюдалось достоверное различие с мышами после ложного интраназального введения физиологического раствора (4,60 ± 0,85). У групп мышей после внутрибрюшинного введения 50 мкл окситоцина (4,80 ± 1,17) и ложного внутрибрюшинного введения (5,20 ± 1,03) не наблюдалось значительных изменений в показателе.
Количество переходов после внутрибрюшинного введения 300 мкл окситоцина было достоверно выше по сравнению с группой мышей, получавших физиологический раствор интраназальным введением (p ≤ 0,05). Увеличение данного показателя после интраназального введения может объясняться анксиолитическим эффектом окситоцина и повышением исследовательской активности. Внутрибрюшинное введение окситоцина 5 МЕ в объеме 300 мкл также оказало воздействие на поведение мышей.
При определении содержания содержания окситоцина в различных областях мозга (стриатум, обонятельные луковицы, гиппокамп и гипоталамус) было обнаружено увеличение содержания окситоцина в обонятельных луковицах (11,12 ± 1,05) и гипоталамусе (12,68 ± 2,96), достоверное отличие содержания окситоцина наблюдалось в гиппокампе (12,75 ± 1,06), по сравнению с содержанием в стриатуме (8,03 ± 0,79, p ≤ 0,01) (рис. 4).
Рис. 4. Концентрация окситоцина в различных структурах мозга после интраназального введения окситоцина (пг/мг). **p ≤ 0,001
Fig. 4. Concentration of oxytocin in various brain structures after intranasal administration of oxytocin (pg/mg). **p ≤ 0.001. Abbreviation: Об. луковицы — olfactory bulbs
ОБСУЖДЕНИЕ
При исследовании поведения у животных в тесте «крестообразный лабиринт» было установлено достоверное различие в следующих показателях: время в открытых рукавах; число переходов между рукавами после интраназального введения окситоцина и всеми остальными группами мышей (КГ, группа внутрибрюшинного введения окситоцина (50 и 300 мкл), группы интраназального и внутрибрюшинного введения физиологического раствора). Только после интраназального введения окситоцина наблюдалось увеличение времени проведения в открытых рукавах и числа свешиваний с рукавов. Предпочтение открытых рукавов свидетельствует о том, что интраназально введенный окситоцин обладает анксиолитическим действием. Как правило, грызуны предпочитают темные норы и имеют естественные страхи находиться на открытых площадках и упасть с высоты. В ходе исследования после введения окситоцина мыши предпочитали открытые рукава и имели повышенную исследовательскую активность, что связано с анксиолитическим действием окситоцина. Число свешивания с рукавов увеличивалось только после интраназального (20 мкл) и внутрибрюшинного введения (300 мкл) окситоцина по сравнению со всеми остальными группами, что может быть связано с увеличением исследовательской активности мышей и уменьшением тревожности. Таким образом, увеличение частоты посещения открытых рукавов, активное исследование, свешивание с открытых рукавов позволяют предположить, что окситоцин приводил к снижению уровня тревожности.
При исследовании содержания окситоцина в различных структурах мозга было установлено достоверное повышение содержание окситоцина в гиппокампе, что свидетельствует о доставке окситоцина в мозг после интраназального введения. Определить причину различного содержания окситоцина в гиппокампе, гипоталамусе, обонятельных луковицах и стриатуме после интраназального введения могут только дополнительные исследования. Таким образом, интраназальный метод введения может стать многообещающим способом для доставки веществ в ЦНС. Некоторые вещества, в том числе окситоцин, могут проникать через ГЭБ в разной степени в различные части мозга. Среди возможных причин различий в проницаемости можно назвать наличие отличающихся транспортных механизмов и рецепторов в разных структурах мозга и меньшую плотность экспрессии окситоциновых рецепторов в стриатуме по сравнению с гиппокампом. В данном случае возможно, что интраназальное введение окситоцина значительно повысило его концентрацию в гиппокампе, который имеет большее количество окситоциновых рецепторов по сравнению со стриатумом. Интраназально вводимый грызунам окситоцин накапливается в таких областях мозга, как миндалевидное тело и гиппокамп [12], или увеличивает концентрацию в областях с рецептором окситоцина с использованием методов микродиализа [12]. Показана активация у мышей областей гиппокампа и переднего мозга, характеризующихся высокой плотностью рецепторов окситоцина после интраназального введения [13]. Различное содержание окситоцина в разных структурах мозга связано с различной реакцией, на что могут влиять и моноаминэргические системы [14]. Однако точнее определить причину различного содержания окситоцина после интраназального введения могут только дополнительные исследования.
Механизмы, с помощью которых интраназальное введение окситоцина вызывает функциональный эффект, все еще являются предметом дискуссий, особенно с учетом того, что в дополнение к их прямому действию на мозг появляется все больше данных, предполагающих потенциальное влияние через другие периферически опосредованные пути [15]. Интраназально вводимый окситоцин может вызывать функциональные эффекты путем прямого проникновения в мозг [16] и проникать в периферическое кровообращение через кровеносные сосуды в полости носа. Таким образом, потенциально существует множество путей, посредством которых интраназальное введение нейропептида может вызывать функциональные эффекты. Основные пути интраназального введения окситоцина и центральных его эффектов: 1) прямое проникновение в головной мозг из задней части носа через обонятельный и тройничный нервы; 2) непрямое проникновение в мозг из периферического кровообращения через связывание с рецептором конечных продуктов усиленного гликолиза; 3) непрямая мозговая модуляция периферического окситоцина через блуждающий нерв путем воздействия на рецепторы в периферических органах (сердце и желудочно-кишечный тракт). Интраназальное введение окситоцина может вызывать функциональные эффекты, влияя на активность в обширных стволовых, лимбических и кортикальных областях после периферически опосредованной стимуляции блуждающего нерва и/или вызывая эндогенное высвобождение пептидов в головном мозге [17]. Ваготомия дает возможность причинно изолировать вагус-зависимые эффекты окситоцина. Исследования на животных показали, например, что ингибирующее действие окситоцина, вводимого периферически (внутривенно и внутрибрюшинно), на самостоятельный прием метамфетамина, его восстановление и прием пищи можно предотвратить с помощью ваготомии [18]. Показано, что окситоцин опосредует парасимпатические и симпатические реакции, включая частоту сердечных сокращений и вариабельность сердечного ритма [19].
Дальнейшее косвенное подтверждение периферически опосредованных эффектов окситоцина было получено из растущего числа исследований, сообщающих о функциональных эффектах, когда вещество вводят другими периферическим путями, которые, в отличие от интраназального пути, не допускают прямого проникновения в мозг (т. е. внутривенное, внутрибрюшинное введение). Например, высокие дозы окситоцина при внутрибрюшинном введении меняли социальное поведение мышей, хотя результаты менее последовательны и в некоторых отношениях различаются по сравнению с центральным введением [20]. Показано, что у людей пероральное введение окситоцина повышает внимание к социальным стимулам [21], внутривенное улучшает социальное поведение аутичных людей. Перорально введенный окситоцин может усиливать как возбуждение, так и связанные с ним нейронные реакции в системе вознаграждения и миндалевидном теле в ответ на предъявление фотографии с выражающим эмоцию лицом, при этом усиленные ответы в системе вознаграждения частично опосредованы повышением концентрации окситоцина в крови [22]. Однако эти результаты отличались от эффектов от интраназального введения той же дозы, при которой реакции миндалевидного тела и возбуждение были снижены и никаких эффектов в системе вознаграждения не наблюдалось [23].
Были проведены прямые сравнения стратегий для определения вклада различных путей в функциональные эффекты окситоцина. Выводы на животных моделях несколько противоречивы. У крыс, например, концентрации окситоцина в головном мозге были намного выше после интраназального введения по сравнению с внутривенным введением, при этом больше 95 % окситоцина в головной мозг проникало непосредственно из носовой полости. Напротив, концентрации в крови были намного выше после внутривенного введения по сравнению с интраназальным введением, но только интраназальное введение окситоцина вызывало анксиолитический эффект за счет снижения концентрации кортикостерона [23]. Это говорит о том, что анксиолитический эффект интраназально введенного окситоцина был обусловлен только прямым проникновением в мозг через пути обонятельного и тройничного нервов. С другой стороны, в исследовании, сравнивающем прямое центральное (внутрижелудочковое введение 1–10 мкг) и периферическое (внутрибрюшинное 3–30 мг/кг) введение, были выявлены схожие дозозависимые эффекты окситоцина на увеличение количества пробежек в тесте условного избегания. Кроме того, анксиолитические эффекты введения окситоцина могут быть заблокированы антагонистами рецепторов, действующими на центральном, но не на периферическом уровне, что подтверждает мнение о том, что периферически вводимый окситоцин проникает через ГЭБ и оказывает такое же воздействие на мозг, как и внутрижелудочковое введение. В том же исследовании показано наличие специфических путей воздействия окситоцина на примере изучения приподнятого крестообразного лабиринта (только интрацеребровентрикулярно) [24]. В другом исследовании были выявлены противоположное воздействие интрацеребровентрикулярного и внутрибрюшинного путей введения окситоцина на поведение, связанное со стрессом [20].
ВЫВОДЫ
Таким образом, исследования, изучающие периферический путь введения (внутривенный, внутрибрюшинный и пероральный), в сравнении с центральным или интраназальным демонстрируют как сходные, так и различные функциональные эффекты. Введение вещества (например, интраназальный) вызывает его прямое проникновение в головной мозг и непрямые (за счет увеличения периферических концентраций либо через ГЭБ в мозг, либо через стимуляцию блуждающего нерва) эффекты. В целом на сегодняшний день результаты исследований по сравнению различных путей введения, проводимых как на животных, так и на людях, позволяют предположить, что функциональные эффекты могут быть схожими, но также могут демонстрировать некоторую зависимость от пути и в некоторых случаях даже вызывать противоположные эффекты. Необходимо учитывать это при интерпретации эффектов, вызванных интраназальным введением.
ДОПОЛНИТЕЛЬНАЯ ИНФОРМАЦИЯ
Вклад авторов. Все авторы внесли существенный вклад в разработку концепции, проведение исследования и подготовку статьи, прочли и одобрили финальную версию перед публикацией. Вклад каждого автора: М.В. Литвинова, И.Ю. Тиссен, А.А. Лебедев, Е.Р. Бычков, — написание статьи, анализ данных; П.Д. Шабанов — разработка общей концепции.
Конфликт интересов. Авторы декларируют отсутствие явных и потенциальных конфликтов интересов, связанных с публикацией настоящей статьи.
Источник финансирования. Работа выполнена в рамках государственного задания Минобрнауки России (2022–2025 гг.) FGWG-2022-0004 «Поиск молекулярных мишеней для фармакологического воздействия при аддиктивных и нейроэндокринных нарушениях и создание новых фармакологически активных веществ, действующих на рецепторы ЦНС».
ADDITIONAL INFORMATION
Authors’ contribution. Thereby, all authors made a substantial contribution to the conception of the study, acquisition, analysis, interpretation of data for the work, drafting and revising the article, final approval of the version to be published and agree to be accountable for all aspects of the study. The contribution of each author: M.V. Litvinova, I.Yu. Tissen, A.A. Lebedev, I.V. Karpova, E.R. Bychkov — manuscript drafting, writing and pilot data analyses; P.D. Shabanov — general concept.
Competing interests. The authors declare that they have no competing interests.
Funding source. The work was carried out within the framework of the state task of the Ministry of Education and Science of Russia FGWG-2022-0004 for 2022–2025 “Search of molecular targets for pharmacological action in addictive and neuroendocrine disorders and the creation of new pharmacologically active substances acting on CNS receptors”.
About the authors
Maria V. Litvinova
Institute of Experimental Medicine
Email: litvinova-masha@bk.ru
ORCID iD: 0000-0002-6213-5117
Ph.D. Student at the S.V. Anichkov Department of Neuropharmacology, Laboratory Assistant at the Department of Physiology and Pathology
Russian Federation, 2 Academician Pavlov str. Saint Petersburg, 197022llya Yu. Tissen
Institute of Experimental Medicine
Email: iljatis@gmail.com
ORCID iD: 0000-0002-8710-9580
SPIN-code: 9971-3496
Cand. Sci. Biol. (Pharmacology), Senior Research Associate, Department of Neuropharmacology
Russian Federation, 12 Academician Pavlov str. Saint Petersburg, 197022Andrei A. Lebedev
Institute of Experimental Medicine
Email: aalebedev-iem@rambler.ru
ORCID iD: 0000-0003-0297-0425
SPIN-code: 4998-5204
post-graduate student
Russian Federation, 12 Academician Pavlov str. Saint Petersburg, 197022Evgenii R. Bychkov
Institute of Experimental Medicine
Email: bychkov@mail.ru
ORCID iD: 0000-0002-8911-6805
SPIN-code: 9408-0799
Cand. Sci. (Med.), senior researcher
Russian Federation, 12, Academika Pavlova st., Saint Petersburg, 197376Inessa V. Karpova
Institute of Experimental Medicine
Author for correspondence.
Email: inessa.karpova@gmail.ru
ORCID iD: 0000-0001-8725-8095
SPIN-code: 9874-4082
PhD (Physiology), Senior Researcher, Department of Neuropharmacology named after S.V. Anichkov
Russian Federation, 12 Academician Pavlov str. Saint Petersburg, 197022Petr D. Shabanov
Institue of Experimental Medicine
Email: pdshabanov@mail.ru
ORCID iD: 0000-0003-1464-1127
SPIN-code: 8974-7477
Dr. Sci. (Pharmacology), professor
Russian Federation, 12 Academician Pavlov str. Saint Petersburg, 197022References
- Pardridge WM. A historical review of brain drug delivery. Pharmaceutics. 2022;14(6):1283. doi: 10.3390/pharmaceutics14061283
- Crowe TP, Hsu WH. Evaluation of Recent intranasal drug delivery systems to the central nervous system. Pharmaceutics. 2022;14(3):629. doi: 10.3390/pharmaceutics14030629
- Litvinova MV, Trofimov AN, Shabanov PD, et al. Molecular mechanisms of transport of substances across the blood-brain barrie as targets for pharmacological action. Part 2. Modern methods of delivery of pharmacological agents to the central nervous system. Pharmacy Formulas. 2022;4(3):82–96. (In Russ.) doi: 10.17816/phf120109
- Rae M, Lemos Duarte M, Gomes I, et al. Oxytocin and vasopressin: Signalling, behavioural modulation and potential therapeutic effects. Br J Pharmacol. 2022;179(8):1544–1564. doi: 10.1111/bph.15481
- Kendrick KM, Guastella AJ, Becker B. Overview of human oxytocin research. Hurlemann R, Grinevich V, editors. Behavioral pharmacology of neuropeptides: Oxytocin. current topics in behavioral neurosciences. Vol 35. Springer, Cham. 2017. P. 321–348. doi: 10.1007/7854_2017_19
- Jiang X, Ma X, Geng Y, et al. Intrinsic, dynamic and effective connectivity among large-scale brain networks modulated by oxytocin. Neuroimage. 2021;227:117668. doi: 10.1016/j.neuroimage.2020.117668
- Le J, Kou J, Zhao W, et al. Oxytocin biases eye-gaze to dynamic and static social images and the eyes of fearful faces: associations with trait autism. Transl Psychiatry. 2020;10(1):142. doi: 10.1038/s41398-020-0830-x
- Kruppa JA, Gossen A, Oberwelland Weiß E, et al. Neural modulation of social reinforcement learning by intranasal oxytocin in male adults with high-functioning autism spectrum disorder: a randomized trial. Neuropsychopharmacology. 2019;44(4):749–756. doi: 10.1038/s41386-018-0258-7
- Le J, Zhang L, Zhao W, et al. Infrequent intranasal oxytocin followed by positive social interaction improves symptoms in autistic children: A pilot randomized clinical trial. Psychother Psychosom. 2022;91(5):335–347. doi: 10.1159/000524543
- MacDonald E, Dadds MR, Brennan JL, et al. A review of safety, side-effects and subjective reactions to intranasal oxytocin in human research. Psychoneuroendocrinology. 2011;36(8):1114–1126. doi: 10.1016/j.psyneuen.2011.02.015
- Litvinova MV, Bychkov ER, Lebedev AA, et al. Application of the intranasal road of administration for delivery of drugs to the central nervous system. Reviews on Clinical Pharmacology and Drug Therapy. 2022;20(3):281–288. (In Russ.) doi: 10.17816/RCF203281-288
- Beard R, Singh N, Grundschober C, et al. High-yielding 18F radiosynthesis of a novel oxytocin receptor tracer, a probe for nose-to-brain oxytocin uptake in vivo. Chem Commun (Camb). 2018;54(58):8120–8123. doi: 10.1039/c8cc01400k
- Galbusera A, De Felice A, Girardi S, et al. Intranasal oxytocin and vasopressin modulate divergent brainwide functional substrates. Neuropsychopharmacology. 2017;42(7):1420–1434. doi: 10.1038/npp.2016.283
- Karpova IV, Bychkov ER, Marysheva VV, et al. The effect of oxytocin on the level and monoamines turnover in the brain of isolated mice of highand low-aggressive lines. Reviews on Clinical Pharmacology and Drug Therapy. 2017;15(2):23–30. (In Russ.) doi: 10.17816/RCF15223-30
- Kou J, Lan C, Zhang Y, et al. In the nose or on the tongue? Contrasting motivational effects of oral and intranasal oxytocin on arousal and reward during social processing. Transl Psychiatry. 2021;11(1):94. doi: 10.1038/s41398-021-01241-w
- Bharadwaj VN, Tzabazis AZ, Klukinov M, et al. Intranasal administration for pain: oxytocin and other polypeptides. Pharmaceutics. 2021;13(7):1088. doi: 10.3390/pharmaceutics13071088
- Zhu S, Qing Y, Zhang Y, et al. Transcutaneous auricular vagus nerve stimulation increases eye-gaze on salient facial features and oxytocin release. Psychophysiology. 2022;59(11):e14107. doi: 10.1111/psyp.14107
- Everett NA, Turner AJ, Costa PA, et al. The vagus nerve mediates the suppressing effects of peripherally administered oxytocin on methamphetamine self-administration and seeking in rats. Neuropsychopharmacology. 2021;46(2):297–304. doi: 10.1038/s41386-020-0719-7
- -Martins D, Davies C, De Micheli A, et al. Intranasal oxytocin increases heart-rate variability in men at clinical high risk for psychosis: a proof-of-concept study. Transl Psychiatry. 2020;10(1):227. doi: 10.1038/s41398-020-00890-7
- Sakamoto T, Sugimoto S, Uekita T. Effects of intraperitoneal and intracerebroventricular injections of oxytocin on social and emotional behaviors in pubertal male mice. Physiol Behav. 2019;212:112701. doi: 10.1016/j.physbeh.2019.112701
- Zhuang Q, Zheng X, Yao S, et al. Oral administration of oxytocin, like intranasal administration, decreases top-down social attention. Int J Neuropsychopharmacol. 2022;25(11):912–923. doi: 10.1093/ijnp/pyac059
- Kou J, Zhang Y, Zhou F, et al. A randomized trial shows dose-frequency and genotype may determine the therapeutic efficacy of intranasal oxytocin. Psychol Med. 2022;52(10):1959–1968. doi: 10.1017/S0033291720003803
- Tanaka A, Furubayashi T, Arai M, et al. Delivery of oxytocin to the brain for the treatment of autism spectrum disorder by nasal application. Mol Pharm. 2018;15(3):1105–1111. doi: 10.1021/acs.molpharmaceut.7b00991
- Ring RH, Malberg JE, Potestio L, et al. Anxiolytic-like activity of oxytocin in male mice: behavioral and autonomic evidence, therapeutic implications. Psychopharmacology (Berl). 2006;185(2):218–225. doi: 10.1007/s00213-005-0293-z
Supplementary files






