Time-of-flight neutron reflectometer for compact neutron source DARIA: Monte-Carlo simulations
- Authors: Grigoryeva N.А.1, Kovalenko N.А.2,3, Grigoriev S.V.2,3
-
Affiliations:
- M.N. Mikheev Institute of Metal Physics, Ural Branch of Russian Academy of Sciences
- Saint Petersburg State University
- NRC “Kurchatov Institute”
- Issue: No 12 (2024)
- Pages: 102-117
- Section: Articles
- URL: https://journals.rcsi.science/1028-0960/article/view/286151
- DOI: https://doi.org/10.31857/S1028096024120126
- EDN: https://elibrary.ru/QWHZQU
- ID: 286151
Cite item
Full Text
Abstract
Two types of reflectometers have been simulated for the compact neutron source DARIA (Dedicated for Academical Research and Industrial Application), depending on the type of target assembly with thermal or cryogenic moderators. Modeling and optimization of reflectometers were carried out using McStas software package by Monte–Carlo method with given momentum transfer resolution Δq/q ≤ 5% for reflection angles greater than the θcr critical angle and horizontal divergence of the neutron beam of Δθ ≤ 0.1° for θ < θcr and Δθ ≤ 0.033° for θ > θcr. To reduce losses in neutrons, neutron guides with a supermirror coating have been proposed. A system of choppers makes it possible to create a neutron spectrum of the required width on a sample.
Full Text
ВВЕДЕНИЕ
Для исследования ядерного профиля и магнитных свойств (намагниченность, магнитное упорядочения слоев во внешнем магнитном поле) поверхностей, межслойных границ, многослойных систем и тонких пленок используют нейтронная рефлектометрия –прецизионный и неразрушающий метод [1–4]. Строительство рефлектометров на источниках нейтронов малой и средней мощности на базе импульсных ионных или электронных ускорителей имеет свои особенности, и следует ответственно подходить к выбору и проектированию компонент рефлектометрической станции из-за малых потоков нейтронов. Компактный источник нейтронов изначально уступает на несколько порядков по плотности нейтронного (н) потока на поверхности замедлителя (Φmod = 109 – 1010 н⋅см–2 ⋅ с–1 в сравнении со средними (Φmod = 1012 – 1013 н⋅см–2 ⋅ с–1) и большими (Фmod = 1014 – 1015 н⋅см–2 ⋅ с–1) источниками ускорительного типа. Однако за счет увеличения апертуры захвата и глубокой оптимизации экспериментальных установок, включая адаптацию параметров ускорителя, мишени и замедлителя компактного источника к потребностям каждого нейтронного инструмента, можно получить сравнимое количество нейтронов, падающих на образец, и, соответственно, экспериментальные данные со статистикой не хуже, чем на источнике ускорительного типа средней мощности.
Компактный источник нейтронов DARIA, разрабатываемый в нескольких подразделениях НИЦ “Курчатовский институт” совместно с Институтом физики металлов УрО РАН, Институтом прикладной физики РАН, Объединенным институтом ядерных исследований и Балтийским федеральным университетом, имеет пиковую плотность потока нейтронов на поверхности холодного мезитиленового замедлителя порядка 5×1012 н⋅см–2⋅с–1 для излучения в диапазоне длин волн от 1 до 12 Å с длительностью нейтронного импульса τ = 150 мкс и частотой следования нейтронных импульсов fn = 80 Гц. Эти характеристики были взяты как базовые для моделирования и дальнейшей оптимизации времяпролетных нейтронных рефлектометров. Моделирование проводили методом Монте-Карло в программном пакете McStas [5]. В настоящей работе рассчитаны две модели рефлектометра для двух типов мишенной сборки, отличающихся длиной времяпролетной базы и типом решаемых научных задач. При расчетах целью оптимизации узлов каждого рефлектометра было достижение наибольшего потока нейтронов, падающих на образец, то есть наименьших потерь нейтронов после прохождения каждого элемента установки при заданном разрешении прибора.
РАЗРЕШЕНИЕ РЕФЛЕКТОМЕТРА
Рефлектометр на компактном источнике нейтронов DARIA (Dedicated for Academical Research and Industrial Application) предназначен для измерения зависимости интенсивности отраженного пучка нейтронов с широким спектральным распределением излучения (“белый” пучок) от длины волны времяпролетным методом при фиксированном угле скольжения с возможностью использования как поляризованных, так и неполяризованных нейтронов. Перед началом моделирования необходимо задать относительное разрешение рефлектометра по переданному импульсу Δq/q [6, 7]:
Δq/q = ([ΔL/L]2 + [τ/Tλ]2 + [Δθ/θ]2)1/2, (1)
где L — длина пролетной базы (расстояние от источника (замедлителя) нейтронов до детектора); ΔL — точность измерения базы; τ — длительность нейтронного импульса; Tλ — время пролета нейтронов с длиной волны λ от замедлителя до детектора, Δθ — расходимость пучка; θ — угол падения нейтронов на образец (угол скольжения). Ограничение сверху по разрешению Δq/q и предварительные расчеты параметров, входящих в уравнение (1), задают предельные характеристики для всех элементов рефлектометра, таких как нейтроноводы, прерыватели и коллимационные щели.
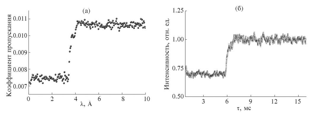
Первое слагаемое в уравнении (1) ΔL/L — это вклад в относительное разрешение при измерении длины времяпролетной базы. Его можно независимо определить с помощью бериллиевого фильтра, помещенного в нейтронный пучок. На рис. 1 приведены отношения спектров (рис. 1а) и временных зависимостей (рис. 1б) прошедшего через бериллиевый фильтр толщиной 0.05 м и исходного пучков нейтронов. “Ступенька” на кривой рис. 1а соответствует скачку трансмиссии прошедшего пучка для нейтронов с длиной волны излучения, превышающей удвоенное наибольшее межплоскостное расстояние d100 для бериллия (равное периоду кристаллической решетки 3.96 Å). Максимальная погрешность, зависящая от длины волны излучения, соответствует относительной ширине этой “ступеньки”, таким образом ΔL/L составляет 1.5%. Отсечка на временной зависимости (рис. 1б) соответствует времени прохождения нейтрона с длиной волны λ расстояния порядка 2d100 бериллия, что позволяет рассчитать длину времяпролетной базы с точностью не хуже 1.5%.
Рис. 1. Коэффициент пропускания нейтронов через бериллиевый фильтр (a) и отношение временных зависимостей интенсивности прошедшего через бериллиевый фильтр и исходного пучков нейтронов (б).
Второе слагаемое уравнения (1) τ/Tλ — это разрешение по времени пролета нейтронов. Длительность импульса τ, сформированного в мишенной сборке, дополнительно корректируют скоростью вращения диска прерывателя и суммой ширины пучка и ширины щели диска прерывателя. В компактном источнике нейтронов DARIA (Dedicated for Academical Research and Industrial Application) импульсный поток протонов с энергией 13 МэВ, попадая на мишенную сборку, создает импульсный поток нейтронов с длительностью импульса τ не менее 100 мкс. При прохождении через холодный замедлитель длительность импульса нейтронов увеличивается до 150 мкс. Максимальная частота нейтронных импульсов fn задается частотой импульсов fp протонного ускорителя и составляет 80 Гц. Оптимальную величину fn определяют из уравнения (2) с учетом планируемой для использования в эксперименте ширины спектра нейтронов δλ:
FN = K/Lδλ, (2)
здесь K = 3958 Å·м/с. При ограниченной сверху частоте нейтронных импульсов fn = 80 Гц, нужно находить баланс между выбираемыми значениями длины пролетной базы L и ширины спектра нейтронов δλ. Спектр каждого нейтронного импульса ограничен в диапазоне от 0.5 до 10 Å, обусловленным экспериментально приемлемым соотношением сигнал/шум на детекторе. Значит, длина пролетной базы L может быть не меньше 5 м для максимально возможной δλ ≈ 9 Å и не больше 25 м для минимально возможной δλ ≈ 2 Å. Большое значение L, с одной стороны, улучшает разрешения рефлектометра, согласно формуле (1). С другой стороны, это приводит к потере нейтронов из-за их рассеяния по пути следования. Из уравнения (2) также следует, что при неизменной времяпролетной базе L, с увеличением ширины δλ выбираемого спектра нейтронов, будет уменьшаться частота следования нейтронных импульсов, что приводит к уменьшению светосилы установки. То есть следует выбирать такое значение δλ, чтобы частота следования нейтронных импульсов была наибольшей из возможных, но спектры от последовательных импульсов не накладывались друг на друга. Суммируя вышесказанное, можно заключить, что при заданной частоте протонного источника fp = 80 Гц, оптимальными для рефлектометра будут: длина пролетной базы L = 14 м, экспериментальный диапазон по длине волны от 0 до 7 Å и две ширины спектра нейтронов δλ = 6 и 3 Å. Уменьшение δλ с 6 до 3 Å, позволит увеличить светосилу рефлектометра в два раза. При таких значениях δλ прерыватель должен задавать частоту нейтронного импульса fn = 80 Гц (δλ = 3 Å) и fn = 40 Гц (δλ = 6 Å), то есть во втором случае вырезать необходимый спектр нейтронов из каждого второго импульса (рис. 2).
Рис. 2. Диаграмма время–расстояние для спектрального диапазона импульса нейтронов от 1 до 10 Å (выделено фигурной скобкой). Показано четыре импульсные последовательности. Горизонтальными линиями отмечены позиции прерывателя при L = 14 (3) и 8 м (3’) и детектора при L = 14 (7) и 8 м (7’). Периодичность следования нейтронных импульсов соответствует T = 1/fp.
При такой конфигурации рефлектометра увеличение светосилы происходит за счет ухудшения разрешения. Если уменьшить длину пролетной базы рефлектометра до L = 8 м светосила увеличится при том же диапазоне излучения по длине волны от 0 до 7 Å и рабочей ширине спектра нейтронов δλ = 6 Å. Можно увеличить разрешение прибора от заданного путем уменьшения δλ с одновременным увеличением длины времяпролетной базы (рис. 2). Таким образом, второе слагаемое в формуле (1) будет наихудшим при λ = 1 Å и равно τ/Tλ = 0.075 при fn = 80 Гц или τ/Tλ = 0.049 при fn = 40 Гц. С увеличением λ разрешение по времени пролета будет улучшаться и при λ = 7 Å станет равным τ/Tλ = 0.01 при f n = 80 Гц или τ/Tλ = 0.006 при fn = 40 Гц.
Третье слагаемое уравнения (1) Δθ/θ — это разрешение по углу. Расходимость пучка Δθ задают шириной коллимационных щелей и расстоянием между ними. Как правило, для времяпролетной техники ширина щелей составляет 1 мм. Однако для малых углов скольжения θ, не превышающих значения критического угла отражения θкр (полного внутреннего отражения) для исследуемого материала, ширину щелей уменьшают до 0.5 или 0.3 мм при том же расстоянии между ними. Поэтому расходимость Δθ при θ < θкр, как правило, не превышает 0.1°, а при θ > θкр не превышает 0.033°. За критический угол полного отражения в данном случае принимали значение для никеля θкр = 0.097° для конкретной длины волны в Å.
В зависимости от научной задачи, величину угла скольжения θ можно менять от десятков минут до единиц градусов: θ ≈ 1.5–6.0 мрад соответствует отражению нейтронов в области до критического угла отражения, θ > 11.5 мрад соответствует отражению нейтронов в области после критического угла. Таким образом, Δθ/θ ≈ 0.12 при θ = 1.5 мрад, Δθ/θ ≈ 0.05 при θ = 4.5 мрад, Δθ/θ не превышает 0.04 при θ > 11.5 мрад.
Из проведенной оценки значений слагаемых в уравнении (1) следует, что наименьший вклад в разрешение рефлектометра по переданному импульсу вносит первое слагаемое (ΔL/L)2 ≈ 1.5×10–4; второе слагаемое (τ/Tλ)2 — разрешение по времени пролета — будет иметь наибольшее значение при λ = 1 Å при fn = 80 Гц, равное 5.5×10–3; наибольший вклад — от третьего слагаемого (Δθ/θ)2 имеет значение 1.9×10–2 при минимальном угле скольжения 1.5 мрад. В табл. 1 представлены данные аналитических расчетов разрешения рефлектометра Δq/q по переданному импульсу для разных значений длины волны нейтрона λ и угла скольжения θ.
Таблица 1. Данные аналитических расчетов разрешения рефлектометра по длине времяпролетной базы ΔL/L, по времени пролета нейтронов τ/Tλ, по горизонтальной расходимости нейтронного пучка Δθ/θ и по переданному импульсу Δq/q; fn — частота нейтронных импульсов
Расходимость | L = 14 м, fn = 40 Гц | L = 8 м, fn = 80 Гц | ||
(ΔL/L)2 | 1.5 × 10–4 | |||
(τ/Tλ)2 | λ = 1 Å | 2.4 × 10–3 | 5.5 × 10–3 | |
λ = 7 Å | 3.65 × 10–5 | 1.1× 10–4 | ||
(Δθ/θ)2 | θ = 1.5 мрад | 1.9×10–2 | ||
θ = 4.5 мрад | 2.0×10–3 | |||
θ > 11.5 мрад | 2.0×10–3 | |||
Δq/q | λ = 1 Å | θ = 1.5 мрад | 0.15 | 0.16 |
θ = 4.5 мрад | 0.07 | 0.09 | ||
θ > 11.5 мрад | 0.07 | 0.09 | ||
λ = 7 Å | θ = 1.5 мрад | 0.14 | 0.14 | |
θ = 4.5 мрад | 0.047 | 0.047 | ||
θ > 11.5 мрад | 0.047 | 0.047 | ||
Зависимость относительного разрешения по переданному импульсу Δq/q от λ при разрешении по длине волны нейтрона, рассчитанном из соотношения Δλ = Kτ/L ≈ 0.05 Å представлена на рис. 3 для пяти значений угла скольжения. Величину Δλ также можно определить экспериментально по размытию отсечки при длине волны 3.96 Å в спектре нейтронного пучка, пропущенного через бериллиевый фильтр (рис. 1a). В этом случае Δλ ≈ 0.1 Å, что выше рассчитанного, потому что в эксперименте величину Δλ определяет не только погрешность определения длины времяпролетной базы L, но и длительность импульса протонного ускорителя τp, время замедления и диффузии нейтронов в замедлителе τmod, время пролета нейтронов с длиной волны λ от замедлителя до детектора Tλ и временнóе разрешение детектора, определяемое его толщиной и ценой деления время-цифрового преобразователя ΔT.
Рис. 3. Зависимость относительного разрешения рефлектометра по переданному импульсу Δq/q от длины волны нейтронов для углов скольжения 1.5 (1); 4.5 (2); 11.5 (3); 17.5 (4); 21 мрад (5).
Таким образом, анализ относительного разрешения рефлектометра по переданному импульсу показывает, что при моделировании рефлектометров методом Монте-Карло в программном пакете McStas Δq/q не будет превышать 5% при угле отражения больше, чем критический угол. Следует отметить, что для достижения такого разрешения в реальном эксперименте, необходимо задавать соответствующие требования к техническим характеристикам всех элементов рефлектометра при его строительстве.
МИШЕННАЯ СБОРКА
В компактном источнике нейтронов DARIA пучок протонов, ускоренный до энергии 13 МэВ, выбивает нейтроны из бериллиевой мишени. Мишень из бериллия имеет выход нейтронов примерно в три раза больший, чем у ванадия при энергии протонов 13 МэВ [8] и сравнимый с литиевой мишенью [9]. Однако, по сравнению с литием, бериллий характеризуется лучшими теплофизическими и теплопроводными свойствами и имеет достаточно высокую температуру плавления. Бериллий химически неактивен при контакте с водой вплоть до температур порядка 973 К и при взаимодействии с протонами с энергией, не превышающей 13 МэВ, в мишени не вырабатывается тритий, что повышает безопасность источника нейтронов (мишенной сборки) и упрощает процедуру его сертификации. В работах [10–13] проведены расчеты геометрии и оптимальных параметров материала мишени: выход нейтронов, тепловыделение и угловое распределение потока нейтронов в зависимости от толщины мишени. Расчеты показали, что наибольший выход нейтронов при энергии протонов 13 МэВ будет у круглой бериллиевой мишени диаметром 0.05 м и толщиной 0.0011 м при максимальном объемном энерговыделении порядка 13 МэВ/см3.
Непосредственно за мишенью устанавливают компактный тепловой предзамедлитель (вода при комнатной температуре объемом 60 см3) и компактный криогенный замедлитель (мезитилен, параводород, метан объемом 80 см3 при температуре 20–150 К) для получения тепловых нейтронов с длиной волны до 2.5 Å (т.е. с энергией E < 0.5 эВ) и холодных нейтронов с λ больше 2.5 Å (Е < 0.025 эВ), соответственно [6, 9]. Мишень с замедлителями помещают в полый цилиндр отражателя из бериллия с толщиной стенок 0.2 м и сквозным конусообразным каналом с начальным диаметром 0.05 м перед мишенью для входа протонного пучка и конечным диаметром 0.1 м для вывода нейтронного пучка.
НЕЙТРОННЫЙ РЕФЛЕКТОМЕТР ДЛЯ МИШЕНИ С ТЕПЛОВЫМ И КРИОГЕННЫМ ЗАМЕДЛИТЕЛЯМИ И ВРЕМЯПРОЛЕТНОЙ БАЗОЙ L = 14 м
Схема нейтронного рефлектометра на мишени с тепловым и криогенным замедлителями, времяпролетной базой L = 14 м для двух опций работы с поляризованными и неполяризованными нейтронами представлена на рис. 4.
Рис. 4. Схема нейтронного рефлектометра для мишени с тепловым и криогенным замедлителями: 1 — источник нейтронов; 2 — изогнутый нейтроновод; 3 — трехдисковый прерыватель пучка; 4 — прямой нейтроновод; 5 — коллимационные щели; 6 — узел образца; 7 — двухкоординатный позиционно-чувствительный детектор; 8 — поляризатор нейтронного пучка; 9 — радиочастотное адиабатическое устройство для переворота спина нейтрона; 10 — веерный многощелевой анализатор. Шкала сверху указывает расстояния от поверхности замедлителя до узлов рефлектометра.
С замедлителя мишенной сборки 1 площадью π × 0.052 м2 вылетает нейтронный импульс длительностью τ = 150 мкс. Нейтронный импульс фокусируется внутри телесного угла, определяемого диаметром замедлителя в мишенной сборке 1 и входным окном изогнутого нейтроновода 2. Спектральная и временная зависимости интенсивности нейтронного импульса представлены на рис. 5.
Рис. 5. Спектральная (вверху) и временная (внизу) зависимости интенсивности нейтронного импульса, вышедшего с криогенного мезитиленового замедлителя диаметром 0.1 м. Усредненный по времени поток нейтронов составляет Φ = 5.86 × 108 н⋅см–2 ⋅ с–1 в диапазоне длин волн от 0.5–10 Å.
Спектр источника нейтронов (рис. 5а) можно описать тремя функциями распределения Максвелла по длине волны в диапазоне λ = 0.5–10 Å с параметрами I1 = 2.5606 × 1011, T1 = 111.69 К, I2 = 1.11×1011, T2 = 323.18 К, I3 = 2.6156 × 1011, T3 = 38.48 К. Интенсивность на рис. 5а представляет собой дифференцированный по длине волны поток нейтронов в импульсе. Средний по времени поток нейтронов Φ нормируют на коэффициент заполнения D — произведение длительности нейтронного импульса τ и частоты fn = 80 Гц, заданной частотой следования протонных импульсов. Очевидно, что для достижения наибольшего потока нейтронов, попадающих на образец, нужно увеличивать коэффициент заполнения импульсного сигнала в источнике протонов, то есть увеличивать частоту следования протонных импульсов, например, до fp = 100 Гц и их длительность до τp = 500 мкс, что увеличит D до 0.05. В этом случае несколько ухудшится разрешение рефлектометра (второе слагаемое в уравнении (1)), что не критично, согласно результатам расчетов, представленных в табл. 1. И важно не нарушить условие рецикличности (перекрытия соседних импульсов). В представленной ниже модели рефлектометра коэффициент заполнения импульсного сигнала в источнике протонов составляет D = 0.012.
На расстоянии 0.5 м от поверхности замедлителя в канал бериллиевого отражателя устанавливают изогнутый нейтроновод 2 (рис. 4) для ухода оптической линии рефлектометра с прямой видимости мишени из Be. Это значительно снижает фон на детекторе за счет отделения пучка тепловых и холодных нейтронов от быстрых нейтронов и γ-квантов, вылетающих из мишенной сборки компактного источника нейтронов DARIA. Расстояние 0.5 м от замедлителя до входного окна нейтроновода выбрано с учетом наименьших потерь нейтронов и наименьшего теплового и радиационного разрушения отражающего покрытия нейтроновода.
Изогнутый нейтроновод длинной 4.8 м состоит из 16 секций по 0.3 м, повернуты на угол θguide = 0.024° относительно друг друга вдоль оси пучка, что задает радиус кривизны нейтроновода Rn = 1152 м. Нейтроновод с прямоугольным внутренним 0.01 × 0.05 м (ширина × высота) и внешним 0.03 × 0.07 м сечениями собран из стекла Borofloat с низкой шероховатостью поверхности не более нескольких Å. На внутреннюю поверхность стекла методом магнетронного распыления напылены никель/титановые суперзеркала. Величина критического угла отражения θC никель/титанового суперзеркала зависит от количества двойных слоев. Например, 62 двойных слоя Ni/Ti соответствуют критическому углу полного отражения в два раза большему (m = 2), чем у природного никеля (θCNi). Здесь и далее использован параметр нейтронного суперзеркала m, равный отношению критического угла этого суперзеркала к критическому углу нейтронного зеркала с покрытием из природного никеля.
Спектральная зависимость интенсивности нейтронного импульса, прошедшего через изогнутый нейтроновод 2 представлена на рис. 6а. Средний поток нейтронов на выходе из нейтроновода с коэффициентом заполнения D = 0.012 дополнительно нормирован на сечение окна нейтроновода 5 см2 и составляет Φ = 3.3 × 106 н⋅см–2⋅с–1. На рис. 6б представлен профиль нейтронного пучка на выходе из изогнутого нейтроновода 2. Видно, что поток нейтронов равномерно распределен по всему сечению пучка 0.01 × 0.05 м.
Рис. 6. Вверху — спектральная зависимость импульса нейтронов, прошедших через изогнутый нейтроновод длиной 4.8 м, радиусом кривизны Rn = 1152 м и внутренним сечением 0.01 × 0.05 м. Усредненный по времени поток нейтронов составляет Φ = 3.3 × 106 н⋅см–2 ⋅ с–1 в диапазоне длин волн от 0.5–10 Å. Внизу — профиль нейтронного пучка на выходе из изогнутого нейтроновода.
По мере движения к детектору 7, отстоящему от замедлителя на расстоянии L нейтронный импульс “размывается” в пространстве вдоль оси пучка (пунктирная линия на рис. 4) – нейтроны с меньшей длинной волны опережают нейтроны с большей длиной волны (рис. 2). На расстоянии 0.1 м от выхода из нейтроновода 2 устанавливают трехдисковый прерыватель нейтронных импульсов 3 (рис. 4). Первый диск на пути нейтронного импульса фильтрует спектр нейтронов до заданного в эксперименте диапазона длин волн и имеет две симметрично расположенные щели высотой 0.1 м с угловой шириной, соответствующей пропусканию спектральной ширины нейтронов δλ = 6 Å. Второй и третий диски задают более четкие границы импульсов и не допускают перекрытия импульсов на детекторе. Третий диск имеет опцию ввода и вывода щели в ось нейтронного пучка с помощью линейного вертикального перемещения. Все диски диаметром 0.5 м вращаются с частотой fпр = 40 Гц (2400 об. /мин), в два раза меньшей, чем частота следования нейтронных импульсов, заданная на источнике. Поверхность дисков покрыта кадмием для поглощения нейтронов с длиной волны не удовлетворяющей заданной спектральной ширине в эксперименте.
При работе только первого диска (второй диск установлен в положение щели “открыто”, диск не вращается, пучок проходит через щель; третий диск выведен из пучка нейтронов) реализуется схема с прохождением через прерыватель всех импульсов, задаваемых на источнике протонов с частотой 80 Гц и спектральной шириной нейтронов δλ = 6 Å. Изменение фазы вращения первого диска позволяет смещать диапазон длин волн от более коротких к более длинным. Из рис. 2 видно, что времяпролетная база L в этом случае не может быть длиннее восьми метров. Такая геометрия рефлектометра позволяет решать задачи, не требующие работы с поляризованным пучком нейтронов, например, определение ядерного профиля в немагнитных пленочных многослойных материалах.
Второй диск вращается в противоположном направлении относительно первого и имеет одну щель высотой 0.1 м с угловой шириной, соответствующей пропусканию спектральной ширины δλ = 6 Å. Щель второго диска синхронизована с одной из щелей первого диска. При одновременной работе первого и второго дисков реализуется схема с прохождением через прерыватель каждого второго импульса от источника протонов, что позволяет получить максимально возможную при L = 14 м спектральную ширину нейтронов δλ = 6 Å и выполнять исследования с разрешением по переданному импульсу Δq/q < 0.05 и хорошей статистикой, включая исследования с поляризованными нейтронами для магнитных образцов.
Спектральная зависимость интенсивности нейтронного пучка и потока нейтронов на выходе с первого и второго дисков прерывателя показана на рис. 7. Величина потока нейтронов Φ на выходе из прерывателя в полтора раза больше для δλ в области наименьших длин волн (рис. 7).
Рис. 7. Спектральная зависимость интенсивности нейтронного пучка, прошедшего через первый и второй диски прерывателя при трех диапазонах длин волн δλ. Пустой кружок — прерыватель 1: δλ = 1Å – – 7Å = 6 Å, заполненный кружок — прерыватель 2: δλ = 1Å — 7Å = 6 Å, усредненный по времени поток нейтронов составляет Φ = 1.35 × 106 н⋅см–2 ⋅ с–1. Пустой квадрат — прерыватель 1: δλ = 4Å — 10Å = 6 Å, заполненный квадрат — прерыватель 2: δλ = 4Å –10 Å = = 6 Å, Φ = 9.0 × 105 н⋅см–2 ⋅ с–1. Пустой треугольник — прерыватель 1: δλ = 2Å — 8 Å = 6 Å, заполненный треугольник — прерыватель 2: δλ = 2Å — 8 Å = 6 Å, Φ = 1.35 × 106 н⋅см–2 ⋅ с–1.
Третий диск в прерывателе вращается в противоположном направлении относительно первого и, как и первый, имеет две симметрично расположенные щели, но их угловая ширина δλ = 3 Å, т.е. в два раза уже угловой ширины щелей первого диска. Позиции щелей третьего и первого дисков по пути нейтронного импульса синхронизованы. При одновременной работе первого и третьего дисков (второй диск установлен в положение щели “открыто”) через прерыватель проходят все нейтронные импульсы от замедлителя со спектральной шириной нейтронов δλ = 3 Å. Возможность регулирования фазы третьего диска позволяет вырезать δλ = 3 Å в диапазоне длин волн нейтронов δλ = 6 Å, заданном на первом диске (рис. 8). Первый диск вырезает из пучка нейтронов спектральную полосу 1–7 Å (пустые символы, рис. 8a), третий диск в пределах спектральной полосы, заданной первым диском, вырезает полосы δλ = 3 Å с λ от 1 до 4 Å (сплошные круги, рис. 8a), от 2 Å до 5 Å (квадраты, рис. 8a), от 4 Å до 7 Å (треугольники, рис. 8a), с потоками нейтронов, прошедших через прерыватель Φ = 1.34 × 106, 1.74 × 106 и 1.24 × × 106 н⋅см–2⋅с–1 соответственно. Аналогичное построение на рис. 8б, где первый диск вырезает из пучка нейтронов спектральную полосу 3–9 Å (пустые символы). Потоки нейтронов, прошедших через прерыватель, составляют, соответственно, Φ = 1.60 × 106, 8.84 × 105 и 6.20 × 105 н⋅см–2⋅с–1 для λ от 3 до 6 Å (сплошные круги, рис. 8б), от 5 до 8 Å (квадраты, рис. 8б) и от 6 до 9 Å (треугольники, рис. 8б). Работа первого и третьего дисков позволяет в два раза увеличить поток нейтронов на выходе из прерывателя по сравнению с режимом одновременной работы первого и второго дисков благодаря использованию всех нейтронных импульсов, идущих от мишени, но с соответствующим сокращением измеряемого диапазона по переданным импульсам (q = 4πsin(θ/2)/λ).
Рис. 8. Спектральные зависимости интенсивности нейтронного пучка, прошедшего через первый (пустые символы) и третий (сплошные символы) диски прерывателя для диапазонов длин волн δλ, заданных первым диском прерывателя, от 1 до 7 Å (a) и от 3 до 9 Å (б). Третий диск вырезает спектральную ширину нейтронов δλ = 3Å. (а) — пустой кружок — прерыватель 1: δλ = 1Å — 7Å = 6 Å, заполненный кружок — прерыватель 3: δλ = 1Å — 4Å = 3 Å, усредненный по времени поток нейтронов составляет Φ = 1.34 × 106 н⋅см–2 ⋅ с–1; заполненный квадрат — прерыватель 3: δλ = 2Å — 5Å = 3 Å, Φ = 1.74 × 106 н⋅см–2 ⋅ с–1; заполненный треугольник — прерыватель 3: δλ = 4Å — 7Å = = 3 Å, Φ = 1.24 × 106 н⋅см–2 ⋅ с–1. (б) — пустой кружок — прерыватель 1: δλ = 3Å — 9Å = 6 Å, заполненный кружок — прерыватель 3: δλ = 3Å — 6Å = 6 Å, Φ = 1.6 × 106 н⋅см–2 ⋅ с–1; заполненный квадрат — прерыватель 3: δλ = 5Å — 8Å = 3 Å, Φ = 8.84 × 105 н⋅см–2 ⋅ с–1; заполненный треугольник — прерыватель 3: δλ = 6Å — 9Å = 3 Å, Φ = 6.2 × 105 н⋅см–2 ⋅ с–1.
За прерывателем 3 следует прямой нейтроновод 4 (рис. 4) с внутренним прямоугольным сечением 0.01 × 0.05 м и длинной 3 м, состоящий из 10 секций по 0.3 м с покрытием из никель/титанового суперзеркала (m = 2). Для улучшения коллимации пучка нейтронов на образце и уменьшения фона на детекторе можно установить нейтроновод с меньшим внутренним сечением 0.005 × 0.05 м, что приводит к увеличению потока нейтронов на выходе из прямого нейтроновода на 10% (рис. 9). Дальнейшие расчеты проводили именно для нейтроновода с сечением 0.005 × 0.05 м.
Рис. 9. Спектральные зависимости интенсивности нейтронного пучка на выходе из прямого нейтроновода для диапазона λ от 1 до 7 Å (a) при сечении нейтроновода 0.01 × 0.05 м — (пустые символы), Φ = 9.45 × 105 н⋅см–2 ⋅ с–1. и 0.005 × 0.05 м (сплошные символы), Φ = 1.06 × 106 н⋅см–2 ⋅ с–1. Для диапазона λ от 4 до 10 Å (б) при сечении нейтроновода 0.01 × 0.05 м — (пустые символы), Φ = 5.5 × 105 н⋅см–2 ⋅ с–1. и 0.005 × 0.05 м (сплошные символы), Φ = 6.06 ×105 н⋅см–2 ⋅ с–1.
Результат оптимизации нейтронного потока в изогнутом и прямом нейтроноводах по параметру покрытия m приведен на рис. 10. Из рис. 10 видно, что с увеличением m от 1 до 5 дает заметный выигрыш в нейтронном потоке для изогнутого нейтроновода, но выигрыш оказывается не столь значительным для второго (прямого) нейтроновода (рис. 9a) и практически нивелируется (рис. 9б) после прохождения нейтронного пучка через коллимирующую систему щелей 5 (рис. 4). После коллимационных щелей увеличение потока нейтронов до 40% происходит при изменении m от 1 до 2, до 20% — при изменении m от 2 до 3 и лишь на 4% — при изменении m от 3 и далее. Для расчета оптимальных параметров рефлектометра был выбран параметр покрытия нейтроновода m = 2, исходя из утилитарных представлений о двукратном увеличении стоимости одного погонного метра нейтроновода с покрытием m = 2 (~20000 евро), по сравнению с покрытием m = 3 (~38000 евро) [14, 15].
Рис. 10. Зависимость величины потока нейтронов на выходе из нейтроновода (а): изогнутого, с сечением 0.01 × 0.05 м (сплошные символы); прямого, с сечением 0.005 × 0.05 м (пустые символы); и после коллимационных щелей размером 0.001 × 0.05 м (б) от параметра нейтроноводных суперзеркал m.
В табл. 2 приведены значения потока нейтронов на выходе из прямого нейтроновода 4 с внутренним сечением 0.005 × 0.05 м, полученные при разных схемах включения прерывателя пучка 3 (рис. 4).
Таблица 2. Значения потока нейтронов на выходе из прямого нейтроновода и на образце, полученные для разных схем включения прерывателя пучка
Спектральная полоса δλ, Å | Поток нейтронов на выходе из прямого нейтроновода, ×106 н⋅см–2 ⋅ с–1 | Поток нейтронов на образце, ×104 н⋅см–2 ⋅ с–1 |
fn = 40 Гц | ||
1–7 | 1.0300 ± 0.0018 | 3.91 ± 0.09 |
2–8 | 1.0100 ± 0.0017 | 3.21 ± 0.08 |
3–9 | 0.7600 ± 0.0013 | 2.26 ± 0.06 |
4–10 | 0.6100 ± 0.0008 | 1.27 ± 0.03 |
f n = 80 Гц | ||
1–4 | 1.0500 ± 0.0032 | 5.66 ± 0.18 |
2–5 | 1.3100 ± 0.0032 | 5.30 ± 0.16 |
3–6 | 1.1300 ± 0.0025 | 3.52 ± 0.11 |
4–7 | 0.7900 ± 0.0015 | 2.02 ± 0.06 |
5–8 | 0.5000 ± 0.0009 | 1.06 ± 0.03 |
6–9 | 0.3100 ± 0.0005 | 1.05 ± 0.02 |
Для измерений магнитных характеристик пленок используют поляризованный пучок нейтронов. В схеме рефлектометра (рис. 4) в этом случае на месте нейтроновода 4 устанавливают поляризатор нейтронного пучка 8, состоящий из двух нейтронных поляризующих суперзеркал из FeCoV/TiZr (m = 2) с поглощающим слоем TiZrGd между подложкой и покрытием [16] и радиочастотное адиабатическое устройство для переворота спина нейтрона (“флиппер”) 9 [17]. Первую из коллимационных щелей 5 передвигают в положение перед поляризатором. От поляризатора до узла образца предусмотрена система ведущего магнитного поля. В узле образца 6 устанавливают магнит.
В случае использования поляризационного анализа нейтронного пучка, прошедшего через образец, в схеме рефлектометра (рис. 4) на месте нейтроновода 4 последовательно устанавливают первую коллимационную щель 5, поляризатор нейтронного пучка 8, радиочастотное адиабатическое устройство для переворота спина нейтрона 9 и вторую коллимационную щель. После образца располагают адиабатическое устройство для переворота спина нейтрона 9 и веерный многощелевой анализатор 10 на суперзеркалах [18]. От поляризатора до узла образца предусмотрена система ведущего магнитного поля. В узле образца 6 устанавливают магнит.
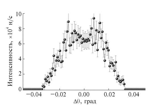
Коллимирующие диафрагмы 5 формируют угловую расходимость нейтронного импульса Δθ, падающего на образец (рис. 4). Для малых углов скольжения θ, не превышающих значения критического угла отражения θкр для исследуемого материала, ширина щелей составляет 0.5 мм при расстоянии между щелями 2.5 м. Для θ > θкр ширина щелей составляет 1 мм при таком же расстоянии между щелями. В такой геометрии расходимость нейтронного пучка на образце не превышает Δθ < 0.033° (рис. 11).
Рис. 11. Горизонтальная расходимость пучка нейтронов на образце в нейтронном рефлектометре для мишени с тепловым и криогенным замедлителями и времяпролетной базой L = 14 м.
Спектральные зависимости интенсивности нейтронного импульса, падающего на образец, в диапазонах по λ: от 1 до 7 Å (сплошные круги), от 1 до 4 Å (пустые круги) и от 4 до 7 Å (пустые треугольники) представлены на рис. 12.
Рис. 12. Спектральные зависимости импульса нейтронов, падающих на образец, для различных конфигураций дисков прерыватели и диапазонов по λ. Сплошные круги — диск 1 + диск 2, δλ = 6 Å (λ от 1 до 7 Å), усредненный по времени поток нейтронов составляет Φ = 3.91 × 104 н⋅см–2 ⋅ с–1; пустые круги — диск 1 + диск 3, δλ = 3 Å (λ от 1 до 4 Å), Φ = 5.66 × × 104 н⋅см–2 ⋅ с–1; пустые треугольники — диск 1 + диск 3, δλ = 3 Å (λ от 4 до 7 Å), Φ = 2.02 × 104 н⋅см–2 ⋅ с–1.
Значения потока нейтронов, падающего на образец, полученные для разных схем включения прерывателя пучка приведены в табл. 2. Из рис. 12 и табл. 2 следует, что при одновременной работе первого и третьего дисков прерывателей на образец падает нейтронный поток в два раза больший, чем при одновременной работе первого и второго дисков. Это улучшает статистику проводимых экспериментов, но измеряемый диапазон по переданным импульсам сокращается в два раза.
Узел образца 6, как правило, состоит из программно-управляемого юстировочного столика, на который можно устанавливать электромагнит и/или криостат. Электромагнит создает в плоскости образца однородное вертикальное магнитное поле с напряженностью H. В качестве детектора 7 (рис. 4) используют двухкоординатный газовый позиционно-чувствительный детектор (ПЧД) [19]. Временной анализатор на детекторе 7 считывает зарегистрированные нейтроны внутри временных каналов с заданной длительностью τch. Если синхронизировать старт нейтронного импульса от замедлителя с моментом запуска временного анализатора, можно получить распределение зарегистрированных нейтронов по времени их попадания в соответствующий канал временного анализатора t, и, следовательно, получить спектральное распределение интенсивности отраженного нейтронного пучка по длинам волн, пересчитав по формуле:
λ = ht/mnL, (3)
где mn — масса нейтрона; h — постоянная Планка.
НЕЙТРОННЫЙ РЕФЛЕКТОМЕТР ДЛЯ МИШЕНИ С ТЕПЛОВЫМ ЗАМЕДЛИТЕЛЕМ И КОРОТКОЙ ВРЕМЯПРОЛЕТНОЙ БАЗОЙ L = 8 м
Схема нейтронного рефлектометра на мишени с тепловым замедлителем и короткой времяпролетной базой L = 8 м при двух режимах работы с поляризованными и неполяризованными нейтронами представлена на рис. 13. Чем меньше времяпролетная база, тем меньше потери нейтронов в пучке при их доставке до образца. Однако, как следует из уравнения (1), с уменьшением L два первых слагаемых могут вносить заметный вклад в относительное разрешение рефлектометра по переданному импульсу Δq/q. Наши расчеты показали (табл. 1, рис. 3), что для L ≥ 8 м, при угле скольжения нейтронного импульса θ > 4.5 мрад и λ больше 1 Å наихудшее разрешение не превышает Δq/q ≤ 0.09 и достаточно быстро уменьшается до 0.05 при увеличении λ нейтрона. Как видно из рис. 2, при частоте следования протонных импульсов fp = 80 Гц максимально возможная экспериментальная спектральная ширина на расстоянии 8 м от поверхности замедлителя составляет δλ = 6 Å (при λ от 1 до 7 Å). Нейтроны одного импульса с λ > 7 Å на детекторе перекрываются с коротковолновыми нейтронами последующего импульса.
Рис. 13. Схема нейтронного рефлектометра для мишени с тепловым замедлителем: 1 –источник нейтронов; 3 — однодисковый прерыватель пучка; 4 — прямой нейтроновод; 5 — коллимационные щели; 6 — узел образца; 7 — двухкоординатный позиционно-чувствительный детектор; 8 — поляризатор нейтронного пучка; 9 — радиочастотное адиабатическое устройство для переворота спина нейтрона. Шкала сверху указывает расстояния от поверхности замедлителя до узлов рефлектометра.
В мишенной сборке 1 (рис. 13) нейтроны термализуются только в тепловом замедлителе. Площадь замедлителя составляет π × 0.052 м2. Начальное направление нейтронного импульса длительностью τ = 150 мкс задано каналом вывода пучка и отклоняется от траектории протонного пучка, бомбардирующего мишень из Be, на угол не менее 10°, чтобы поток быстрых нейтронов и γ-излучения не попадали в окно прямого нейтроновода 3 (рис. 13) и далее на детектор 7. Нейтронный импульс фокусируется внутри телесного угла, определяемого диаметром мишени с замедлителем и входным окном нейтроновода.
Спектральная и временная зависимости интенсивности нейтронного импульса представлены на рис. 14. В отличие от нейтронного импульса, прошедшего через криогенный замедлитель (рис. 5), спектр тепловых нейтронов в 1.5 раза более интенсивный и быстро спадает при увеличении длины волны нейтронов. Спектр источника тепловых нейтронов можно описать тремя функциями распределения Максвелла по длине волны λ = 0.5–10 Å с параметрами I1 = 9.8683 × 1010, T1 = 371.41 К, I2 = 2.4007 × 1010, T2 = 617.64 К, I3 = 2.868 × 1011, T3 = 200.73 К. Суммарный поток нейтронов Φ нормирован на коэффициент заполнения импульсного сигнала D = 0.012 и равен Φ = 3.86×108 н⋅см–2⋅с–1, что в 1.5 раза меньше потока нейтронов, прошедших еще и через криогенный замедлитель (рис. 5).
Рис. 14. Спектральная (вверху) и временная (внизу) зависимости импульса нейтронов, вышедших из теплового (водного) предзамедлителя диаметром 0.1 м. Усредненный по времени поток нейтронов составляет Φ = = 3.86 × 108 н⋅см–2 ⋅ с–1 в диапазоне длин волн от 0.5–10 Å.
В канал бериллиевого отражателя мишенной сборки 1 на расстоянии 0.5 м от поверхности теплового предзамедлителя устанавливают прямой нейтроновод 4 (рис. 13) длинной 2.4 м. Нейтроновод собран из 8 секций по 0.3 м с прямоугольным внутренним сечением 0.01 × 0.05 м (ширина × высота). На внутренней поверхности напылены никель-титановые суперзеркала с m = 2. Спектральная зависимость интенсивности нейтронного импульса, прошедшего через нейтроновод, представлена на рис. 15. Поток нейтронов (н) на выходе из нейтроновода с коэффициентом заполнения D = 0.012 дополнительно нормирован на сечение окна нейтроновода 5 см и составляет Φ = 1.34 × 106 н⋅см–2⋅с–1.
Рис. 15. Спектральная зависимость импульса нейтронов, прошедших через прямой нейтроновод длиной 2.4 м с внутренним сечением 0.01×0.05 м. Усредненный по времени поток нейтронов составляет Φ = 1.34 × 106 н⋅см–2 ⋅ с–1 в диапазоне длин волн от 0.5–10 Å.
Анализ зависимости потока нейтронов, дошедших до образца (прошедших коллимационные щели), от параметра зеркального напыления прямого нейтроновода m продемонстрировал прирост Φ в среднем на 10% с увеличением m на единицу (рис. 16). Поэтому, в отличие от рассмотренного выше рефлектометра, в котором использованы спектром излучения холодных нейтронов и длинная времяпролетная база, в рефлектометрах, в котором применяют излучение тепловых нейтронов, следует выбирать суперзеркальное покрытие нейтроноводов с наибольшим параметром m из возможных, то есть с наибольшим числом двойных слоев Ni/Ti. Необходимо учитывать, что во время производства суперзеркального покрытия при длительном распылении мишени возникает отклонение коэффициента распыления мишени от ее номинального значения, что приводит к значительным отклонениям толщины слоев от последовательности, рассчитанной Хейтером и Муком [20], и, как следствие, к падению отражательной способности суперзеркал, примерно на 10% при больших значениях m [21].
Рис. 16. Зависимость величины потока нейтронов на выходе из прямого нейтроновода сечением 0.01 × 0.05 м (сплошные символы) и после коллимационных щелей размером 0.001 × 0.05 м (пустые символы) от параметра нейтроноводных суперзеркал m.
Однодисковый прерыватель нейтронных импульсов 3 (рис. 13) устанавливают на расстоянии 0.1 м после прямого нейтроновода 4 для фильтрации спектра нейтронов в диапазоне λ от 1 до 7 Å (до спектральной ширины δλ = 6 Å). Диск диаметром 0.5 м покрыт кадмием для поглощения нейтронов с длиной волны, не удовлетворяющей заданной спектральной ширине, имеет две симметрично расположенные щели высотой 0.1 м с угловой шириной, соответствующей пропусканию δλ. Диск вращается с частотой fпр = 40 Гц (2400 об/мин). Поток нейтронов с λ от 1 до 7 Å, прошедших через такой однодисковый прерыватель, равен Φ = 1.17 × 106 н⋅см–2⋅с–1 (рис. 17).
Рис. 17. Спектральная зависимость интенсивности нейтронного пучка, прошедшего через однодисковый прерыватель. Усредненный по времени поток нейтронов составляет Φ = 1.17 × 106 н⋅см–2 ⋅ с–1 в диапазоне длин волн от 0.5–10 Å.
Коллимирующие диафрагмы 5, установленные сразу после прерывателя на расстоянии 2.5 м друг от друга имеют ширину 0.5 мм для углов скольжения θ < θкр и 1 мм для θ > θкр. Угловая расходимость нейтронного импульса Δθ, падающего на образец, не превышает Δθ < 0.033° (рис. 18). Спектральная зависимость интенсивности нейтронного импульса, падающего на образец, представлена на рис. 19. Значение потока нейтронов на образце, полученного для рефлектометра с тепловым предзамедлителем и L = 8 м оказывается на 30% выше, чем для рефлектометра с криогенным замедлителем и L = 14 м (рис. 19), хотя изначально, поток нейтронов после криогенного замедлителя был выше в 1.5 раза (рис. 5), чем поток нейтронов после теплового предзамедлителя (рис. 14).
Рис. 18. Горизонтальная расходимость пучка нейтронов на образце в нейтронном рефлектометре на мишени с тепловым замедлителем и времяпролетной базой L = 8 м.
Рис. 19. Сравнение спектральных зависимостей импульса нейтронов (δλ = 6 Å), падающих на образец, для рефлектометров с криогенным замедлителем и L = 14 м (сплошные символы), Φ = 3.91 × × 104 н⋅см–2 ⋅ с–1; с тепловым предзамедлителем и L = 8м (пустые символы), Φ = 5.13 × 104 н⋅см–2 ⋅ с–1.
В качестве дополнительной опции между щелями 5 (рис. 13) можно установить поляризатор нейтронного пучка 8 для получения поляризованных нейтронов и радиочастотное адиабатическое устройство для переворота спина нейтрона 9, что позволит исследовать магнитные характеристики образцов пленок. Электромагнит и криостат для оснащения узла образца, а также детектор для регистрации отраженных от исследуемого образца нейтронов могут быть такими же, как для нейтронного рефлектометра на мишени с двумя замедлителями — тепловым и криогенным — и длинной времяпролетной базой L = 14 м.
ЗАКЛЮЧЕНИЕ
Для компактного источника нейтронов DARIA предложено два типа рефлектометрических установок, в зависимости от типа мишенной сборки. Мишенные сборки отличаются друг от друга типами замедлителей: только тепловой предзамедлитель для производства преимущественно тепловых нейтронов с длиной волны от 0.5 до 4 Å (Φ = 3.86 × 108 н⋅см–2⋅с–1) и составной (водный предзамедлитель + мезитиленовый криогенный) замедлитель для производства тепловых и холодных нейтронов с λ от 0.5 до 7 Å (Φ = 5.86 × × 108 н⋅см–2⋅с–1). Времяпролетная база установки для теплового замедлителя составляет L = 8 м и для составного замедлителя — L от 8 до 14 м. Для уменьшения потерь нейтронов на пути их пролета до образца использованы нейтроноводы с никель-титановым суперзеркальным покрытием, соответствующим параметру m не меньше двух и прямоугольным внутренним сечением 0.01 × 0.05 м. Предложенная система прерывателей нейтронного пучка позволяет формировать на образце спектр нейтронов заданной ширины. Моделирование рефлектометров проводили методом Монте-Карло в программном пакете McStas с заданным разрешением по переданному импульсу Δq/q ≤ 5 % для углов отражения больших, чем критический угол θкр и горизонтальной расходимостью нейтронного пучка Δθ ≤ 0.1° при θ < θкр и Δθ ≤ 0.033° при θ > θкр. Поток нейтронов на образце составил Φ = 5.13 × 104 н⋅см–2⋅с–1 для рефлектометра с тепловым предзамедлителем (L = 8 м) и Φ = 3.91 × 104 н⋅см–2⋅с–1для рефлектометра с криогенным замедлителем (L = 14 м). Предложенная оптимизация нейтронных рефлектометров для компактного источника нейтронов DARIA позволила достичь расчетных значений потоков на образце, сравнимых с потоками на реальных рефлектометрах “РЕМУР” и “РЕФЛЕКС”, работающих на импульсном источнике нейтронов средней мощности “ИБР-2” (Дубна, Объединенный институт ядерных исследований).
ФИНАНСИРОВАНИЕ РАБОТЫ
Работа выполнена в рамках Федеральной научно-технической программы “Развитие синхротронных и нейтронных исследований и исследовательской инфраструктуры на период до 2030 года и на последующую перспективу”, договор № 075-15-2022-830 (Продление договора № 075-15-2021-1358 от 12 октября 2021 г.). Исследования в Екатеринбурге выполнены в рамках государственного задания Минобрнауки России (тема “Спин”, № 122021000036-3) (The research in Yekaterinburg was carried out within the framework of the state assignment of the Ministry of Education and Science of Russia (theme “Spin” № 122021000036-3)).
КОНФЛИКТ ИНТЕРЕСОВ
Авторы данной работы заявляют, что у них нет конфликта интересов.
About the authors
N. А. Grigoryeva
M.N. Mikheev Institute of Metal Physics, Ural Branch of Russian Academy of Sciences
Author for correspondence.
Email: n.a.grigorieva@yandex.ru
Russian Federation, Ekaterinburg
N. А. Kovalenko
Saint Petersburg State University; NRC “Kurchatov Institute”
Email: n.a.grigorieva@yandex.ru
Petersburg Nuclear Physics Institute named by B.P. Konstantino
Russian Federation, St. Petersburg; GatchinaS. V. Grigoriev
Saint Petersburg State University; NRC “Kurchatov Institute”
Email: n.a.grigorieva@yandex.ru
Petersburg Nuclear Physics Institute named by B.P. Konstantino
Russian Federation, St. Petersburg; GatchinaReferences
- Боднарчук В.И., Булкин А.П., Кравцов Е.А., Плешанов Н.К., Сыромятников В.Г., Ульянов В.А. // Кристаллография. 2022. Т. 67. № 1. C. 57. https://www.doi.org/10.31857/S0023476122010040
- Сыромятников В.Г., Григорьева Н.А., Григорьев С.В. // Поверхность. Рентген., синхротр. нейтрон. исслед. 2023. № 7. C. 93. https://www.doi.org/10.31857/S102809602307018X
- Grigoryeva N.A., Ukleev V., Vorobiev A.A., Stognij A.I., Novitskii N.N., Lutsev L.V., Grigoriev S.V. // Magnetochemistry. 2022. V. 8. P. 167. https://doi.org/10.3390/magnetochemistry8120167
- Кожевников С.В., Жакетов В.Д., Раду Ф. // Журнал экспериментальной и теоретической физики. 2018. Т. 154. Вып. 4 (10). С. 698. https://www.doi.org/10.1134/S0044451018100024
- Lefmann K., Nielsen N.K. // Neutron news. 1999. V. 10. № 3. P. 20. https://doi.org/10.1080/10448639908233684
- Уиндзор К. Рассеяние нейтронов от импульсных источников. М.: Энергоатомиздат, перевод с английского, 1985. 352 с.
- Плешанов Н.К. // Поверхность. Рентген., синхротр. нейтрон. исслед. 2016. № 8. C. 20. https://www.doi.org/10.7868/S0207352816080151
- Gutberlet Th., Rucker U., Zakalek P., Cronert T., Voigt J., Baggemann J., Doege P.-E., Mauerhofer E., Bohm S., Dabruck J., Nabbi R., Butzek M., Klaus M., Lange C., Bruckel T. // Physica B: Condensed Matter. 2019. V. 570. P. 345. https://doi.org/10.1016/j.physb.2018.01.019
- Hawkesworth M.R. // Atomic Energy Rev. 1977. V. 15. P. 169.
- Subbotina V.V., Pavlov K.A., Kovalenko N.A., Konik P.I., Voronin V.V., Grigoriev S.V. // Nucl. Instrum. Methods Phys. Res. A. 2021. V. 1008. P. 165462. https://doi.org/10.1016/j.nima.2021.165462
- Moroz A.R., Kovalenko N.A. // J. Surf. Invest.: X-ray, Synchrotron Neutron Tech. 2023. V. 17. No. 4. P. 799. https://www.doi.org/10.1134/S1027451023040092
- Moroz A.R., Kovalenko N.A., Grigoriev S.V. // J. Neutron Res. 2022. V. 24. P. 299. https://www.doi.org/10.3233/JNR-220025
- Булавин М.В., Мухин К.А., Рогов А.Д. // Атомная Энергия. 2024. Т. 137. № 1–2, в печати.
- Mirrotron Ltd (2024) Hungary. https://mirrotron.com/en
- Neutron Optical Components and Instruments (2024) SwissNeutronics AG, Switzerland. https://www.swissneutronics.ch/products/neutron-supermirrors/
- Плешанов Н.К., Булкин А.П., Сыромятников В.Г. // Физика твердого тела. 2010. Т. 52. № 5. С. 954. https://journals.ioffe.ru/articles/viewPDF/1835
- Grigoriev S.V., Runov V.V., Okorokov A.I. // Nucl. Instrum. Methods Phys. Res. A. 1997. V. 384. № 2–3. P. 451. https://www.doi.org/10.1016/S0168-9002(96)00919-9
- Syromyatnikov V.G., Ulyanov V.A., Lauter V., Pusenkov V.M., Ambaye H., Goyette R., Hoffmann M., Bulkin A.P., Kuznetsov I.N., Medvedev E.N. // J. Phys.: Conf. Ser. 2014. V. 528. № 1. P. 012021. https://www.doi.org/10.1088/1742-6596/528/1/012021
- Кащук А.П., Левицкая О.В. // Журнал технической физики. 2020 Т. 90. № 4. C. 519. https://www.doi.org/10.21883/JTF.2020.04.49074.84-19
- Hayter J.B., Mook H.A. // J. Appl. Cryst. 1989. V. 22. P. 35. https://doi.org/10.1107/S0021889888010003
- Schanzer C., Schneider M., Boni P. // J. Phys.: Conf. Ser. 2016. V. 746. P. 012024. https://www.doi.org/10.1088/1742-6596/746/1/ 012024
Supplementary files





















