Magnetic field-induced quantum phase transitions in a quasi-two-dimensional electron system in GaAs quantum wells of different widths
- Authors: Kapustin А.А.1, Dorozhkin S.I.1, Fedorov I.B.1
-
Affiliations:
- Osipyan Institute of Solid State Physics, Russian Academy of Sciences
- Issue: No 12 (2024)
- Pages: 86-93
- Section: Articles
- URL: https://journals.rcsi.science/1028-0960/article/view/286107
- DOI: https://doi.org/10.31857/S1028096024120101
- EDN: https://elibrary.ru/QWSTXI
- ID: 286107
Cite item
Full Text
Abstract
Using the original magnetocapacitance technique based on simultaneous measurements of magnetocapacitances between a quasi-two-dimensional electron system in a single GaAs quantum well and two gates placed on its opposite sides we have studied magnetic field induced quantum phase transitions between double-layer and single-layer-like states of the system. The measurements have been performed with samples of quantum well width 50 and 60 nm. The double-layer state was composed of layers of two-dimensional electrons confined near the opposite walls of the quantum well. It is characterized by the quantum magneto-oscillations of the compressibility of each of the layers with a frequency determined by the density of electrons in the corresponding layer. In a single-layer-like state, the compressibility minima have been observed only when all electrons occupied one or two spin sublevels of the lowest Landau level (when the total filling factor νtot = 1 and 2), and the ratio of the measured capacitances in this state was characteristic of the case when only one electronic layer existed between the gates. It has been found that the first transition from a double-layer to a single-layer-like state took place when the quantum limit was reached, i.e. when νtot ≈ 2, independent of either the density of electrons in the system or the quantum well width. A different behavior of electronic systems has been found in wells of different widths in the region 1 < νtot < 2. In a 50 nm well, the single-layer-like state existed in the whole studied region of filling factors νtot ≤ 2. In a 60 nm well, a double-layer region has been observed within 1 < νtot < 2 accompanied by an incompressible state of electrons in the layer with the largest density at filling factor unity in this layer. As a result, three magnetic-filed-induced quantum phase transitions have been observed in samples with 60 nm quantum well width, whereas only one quantum phase transition has been observed in a sample with 50 nm quantum well width. Such a dependence of the character of the quantum phase transition on the quantum well width is supposedly caused by the different tunneling strength between the layers. The formation of magnetic-field-induced compressible single-layer-like state in a nominally double-layer electronic system has been discovered.
Full Text
ВВЕДЕНИЕ
Большой интерес к свойствам двухслойных электронных систем (ДсЭС) обусловлен, прежде всего, обнаружением в них необычных свойств электронных состояний целочисленного квантового эффекта Холла, имеющих многочастичную природу и реализующихся при заполнении электронами системы одного [1, 2] или двух [3, 4] спиновых подуровней нижнего уровня Ландау (т.е. на полных факторах заполнения vtot = 1, 2). Другим неожиданным результатом оказалось недавнее наблюдение [5] необычных состояний дробного квантового эффекта Холла в двухслойных электронных системах, по-видимому, связанное с до сих пор не рассмотренными особенностями электрон-электронных корреляций.
Двухслойные электронные системы в полупроводниковых гетероструктурах могут быть созданы и идентифицируются в двойных квантовых ямах (КЯ), где слои разделены искусственным потенциальным барьером [1, 6, 7], а также в одиночных широких КЯ, где разные слои располагаются около противоположных стенок ямы вследствие отталкивания между электронами [3, 5]. Квантовомеханические расчеты таких систем в приближении Хартри имеют своим результатом энергетический спектр, образованный несколькими подзонами размерного квантования. В случае симметричной КЯ волновые функции двух нижних подзон располагаются в обоих слоях даже при очень малых значениях туннельной связи между ними, а центр тяжести волновой функции расположен между слоями. Подобная ситуация возникает в теории квантовохолловского псевдоспинового ферромагнетизма [8], основанной на приближении Хартри–Фока и разработанной для целочисленных факторов заполнения уровней Ландау. Псевдоспин в этом случае характеризует принадлежность электрона к одному из двух электронных слоев. В такой ситуации обменное взаимодействие может обеспечить возникновение основного многочастичного состояния, в котором электрон находится одновременно в обоих слоях даже в случае отсутствия туннелирования между ними (так называемое псевдоспиновое ферромагнитное состояние с легкой плоскостью намагничивания или спонтанное межслоевое когерентное состояние). В таком состоянии возникает энергетическая щель в электронном спектре системы, обеспечивающая реализацию многочастичного состояния квантового эффекта Холла. Существование такого состояния хорошо установлено для двойных КЯ при полном факторе заполнения vtot = 1 [2, 9–11]. Другой тип квантовохолловского псевдоспинового ферромагнетика с легкой осью намагничивания (аналог изингового ферромагнетика), по-видимому, наблюдали в широких КЯ GaAs при факторах заполнения vtot = 2, 4 [3]. Характерной чертой таких состояний считается возникновение доменной структуры с противоположной ориентацией псевдоспина и возникновение гистерезисных эффектов.
Оказывается, однако, что при введении асимметрии потенциала, например, приложением напряжения между двухслойной электронной системой и параллельным ей металлическим электродом (затвором полевого транзистора) изменение заряда происходит практически полностью только в одном слое (ближайшем к затвору в случае полевого транзистора) [12, 13]. В результате в асимметричных (несбалансированных) двойных слоях волновые функции разных подзон имеют ярко выраженные максимумы в различных слоях, в результате чего различные подзоны размерного квантования могут быть ассоциированы с различными слоями.
Разработанная нами емкостная методика [12], основанная на одновременном измерении емкостей между квазидвумерной электронной системой в одиночной КЯ GaAs и двумя затворами, расположенными по разные стороны от нее, позволяет характеризовать сжимаемость каждого из слоев двухслойной электронной системы, основными особенностями которой являются минимумы, возникающие в магнитном поле при заполнении целого числа уровней Ландау электронами данного слоя (в дальнейшем называемые несжимаемыми состояниями). Минимумы сжимаемости проявляются в виде минимумов емкости, измеряемой между двухслойной электронной системой и затвором, соседним с изучаемым слоем. Оказалось [14], что в картине магнетоосцилляций емкостей присутствуют минимумы трех типов. Минимумы первого типа соответствуют несжимаемым состояниям одного из слоев, их можно наблюдать при целочисленных факторах заполнения уровней Ландау электронами данного слоя. Минимумы второго типа возникают при совпадении несжимаемых состояний в обоих слоях. Минимумы третьего типа являются минимумами сжимаемости всей электронной системы, наблюдаемыми при заполнении одного или двух спиновых подуровней нижнего уровня Ландау электронами всей системы. Минимумы первого типа вместе с минимумами второго типа периодичны по обратному магнитному полю с периодами, в общем случае, различными для разных слоев, что позволяет определять плотность электронов в слоях. Положение минимумов третьего типа из такой периодичности выпадает. Очевидно, что существование минимумов двух первых типов является характерным для системы, состоящей из двух слоев электронов, каждый из которых характеризуется своим спектром уровней Ландау, заполняемых электронами этого слоя. Такое состояние мы будем называть двухслойным. Магнетоосцилляции, измеряемые с использованием разных затворов, асинхронны вне состояния баланса между слоями. Однако оказалось, что, независимо от величин плотности электронов в разных слоях, при значениях полных факторов заполнения vtot = 1, 2 вся изучаемая электронная система становится несжимаемой, что проявляется в глубоких (при низких температурах) минимумах, синхронных в обеих емкостях. Феноменологически это означает, что при этих факторах заполнения вся электронная система ведет себя как чисто двумерная, а именно, описывается одним спектром уровней Ландау, заполняемым всеми электронами. Такое состояние мы будем называть “однослойным”. Емкостные измерения позволяют характеризовать распределение плотности электронов перпендикулярно квазидвумерной электронной системе. Оказалось, что наша экспериментальная реализация емкостной методики [12] предоставляет возможность различить случаи, когда между затворами находится один или два электронных слоя [14]. Такую возможность дает сравнение значений магнетоемкостей, измеренных с использованием разных затворов и нормированных на их величины при выбранном значении магнитного поля. В случае одного электронного слоя кривые магнетоемкости, включая квантовые магнетоосцилляции, должны совпадать. Такой критерий был получен на основании теоретического рассмотрения квантовой магнетоемкости при наличии двух затворов [15], и его справедливость была подтверждена экспериментальными данными [14], полученными при комбинациях затворных напряжений, обеспечивающих существование в исследуемой КЯ только одного слоя двумерных электронов.
В нашей работе [14] было обнаружено, что в образцах гетероструктур GaAs/AlGaAs с КЯ шириной 60 нм в изученной системе реализовано несжимаемое “однослойное” состояние при полных факторах заполнения vtot = 1, 2, и система может находиться в двухслойном состоянии вне этих факторов заполнения. В результате при развертке магнитного поля происходит несколько повторяющихся квантовых фазовых переходов между двухслойным и “однослойным” состояниями. В настоящей работе выполнены аналогичные экспериментальные исследования на образцах с КЯ шириной 50 нм и приведено сравнение результатов, полученных на образцах с КЯ различной ширины (50 и 60 нм).
МЕТОДИКА ЭКСПЕРИМЕНТА И ЕГО РЕЗУЛЬТАТЫ
Исследуемые электронные системы создавались в КЯ GaAs, входящих в состав гетероструктур GaAs/AlGaAs, выращенных методом молекулярно-пучковой эпитаксии. Образцы были вытравлены в виде стандартных холловских мостиков. Омические контакты к электронной системе создавали вжиганием сплава NiGeAu, диффундирующего через всю ширину КЯ. Образцы 1 и 2 имели ширину КЯ w = 50 и 60 нм соответственно. Около верхнего края КЯ возникал передний электронный слой (FL) благодаря стеканию туда электронов из слоя легирования, расположенного в слое AlGaAs между поверхностью образца 1 (образца 2) и верхней границей КЯ на расстоянии 91 нм (65 нм) от нее. На поверхность образца 1 (образца 2) на расстоянии 120 нм (140 нм) от верхней границы КЯ напыляли передний затвор (FG, пленка AuCr). Второй, задний, затвор (BG) создавали в процессе роста гетероструктуры с противоположной стороны от КЯ. Задний затвор представлял собой сильнолегированную область GaAs и находился в образце 1 (образце 2) на расстоянии 1000 нм (850 нм) от нижней границы КЯ. В обоих образцах можно было создавать второй слой электронов (BL) около нижней границы КЯ приложением к заднему затвору положительного напряжения. После возникновения второго слоя изменение напряжения на любом из затворов приводит к изменению концентрации электронов почти полностью в слое, ближайшем к этому затвору [12].
Для характеризации отдельных слоев в исследованных образцах нами была развита оригинальная емкостная методика [12], состоящая в одновременном измерении емкостей между двухслойной электронной системой и двумя затворами. Для этого постоянные напряжения на разных затворах модулировали низкочастотными переменными напряжениями разной частоты от двух генераторов, встроенных в анализаторы сигналов (Lock-in Amplifier Stanford Research Systems SR830). Измеряемая емкость была пропорциональна реактивной компоненте переменного тока соответствующей частоты, протекающего между передним (или задним) затвором и двухслойной электронной системой, которая детектировалась соответствующим анализатором. Чтобы уменьшить величину паразитных емкостей, переменное напряжение подавали на передний и задний затворы через коаксиальные кабели. Как следует из введения, один из критериев “однослойности” системы основан на сравнении магнетоемкостей между электронной системой и различными затворами, и, следовательно, требует исключения всех паразитных величин емкостей, включая емкости между задним затвором и областями образцов с легированными контактами, а также областями, не покрытыми верхним затвором. Описание соответствующего способа дано в дополнительном материале к [14]. В настоящей работе нами представлены нормированные значения магнетоемкостей, вычисленные по формулам:
Здесь величина обратного фактора заполнения ; e — заряд электрона; B — индукция магнитного поля; ns — полная концентрация электронов в системе; h — постоянная Планка. CFG,par и CBG,par — паразитные емкости, независящие от величины индукции магнитного поля. Нормирование емкостей осуществляли на значение при факторе заполнения νtot = 3/2, при котором, как будет показано ниже, исследованные электронные системы находятся в “однослойном” сжимаемом состоянии. В настоящей статье все измеренные нами зависимости емкостей Cn,FG и Cn,BG от B приведены как функции величины , пропорциональной магнитному полю B.
Измерения проводили в области температур ниже 4.2 K в криостате с откачкой паров 3He. Образец помещали внутрь сверхпроводящего соленоида так, чтобы магнитное поле B (от 0 до 11 Тл) было направлено перпендикулярно плоскости КЯ. Более подробно методика одновременного измерения двух магнетоемкостей описана в работах [12, 16] (а также в дополнительных материалах к работе [14]).
Как было отмечено, распределение электронной плотности перпендикулярно квантовой яме можно характеризовать на основании сравнения нормированных величин магнетоемкости. Теоретической основой этого утверждения являются результаты расчета магнетоемкости [15] для рассматриваемой системы полевого транзистора с двумя затворами. Полезно привести здесь соответствующие формулы, полученные для модели с двумя слоями электронов, расположенными в двух узких квантовых ямах постоянной формы и находящимися в состоянии равновесия с одинаковым электрохимическим потенциалом:
(1)
Здесь и — термодинамическая плотность состояний, соответственно, в переднем и заднем слое электронов в магнитном поле B, , — химические потенциалы соответствующих слоев; и — плотность электронов в переднем и заднем слоях; — расстояние от заднего (переднего) затвора до ближайшего слоя электронов; d — расстояние между слоями электронов; , где ε и — диэлектрическая проницаемость материала и вакуума соответственно; — площадь переднего (заднего) электронного слоя, находящаяся между двумя затворами.
Из этих формул следует, что особенности в магнетоемкости связаны с особенностями термодинамических плотностей состояний и , которые зависят от факторов заполнения уровней Ландау электронами разных слоев (в общем случае различных). Таким образом, из приведенных формул следуют магнетоосцилляции емкостей по обратному магнитному полю, асинхронные в разных емкостях. Такое поведение наблюдается на всех парах магнетоемкостных кривых, приведенных на рис. 1 и 2, при за исключением пары кривых 1 на рис. 1. Эта пара зависимостей была измерена при комбинации затворных напряжений, когда в образце отсутствовал нижний слой, т. е. между затворами существовал только один электронный слой. В этом случае наблюдается хорошее совпадение нормированных величин магнетоемкости во всем исследованном диапазоне магнитных полей, демонстрирующее выполнение критерия “однослойности” электронной системы. Этот критерий прямо следует из уравнений (1) при DBL = 0, , , :
(2)
Здесь D3/2 — плотность состояний в магнитном поле, соответствующем фактору заполнения νtot = 3⁄2.
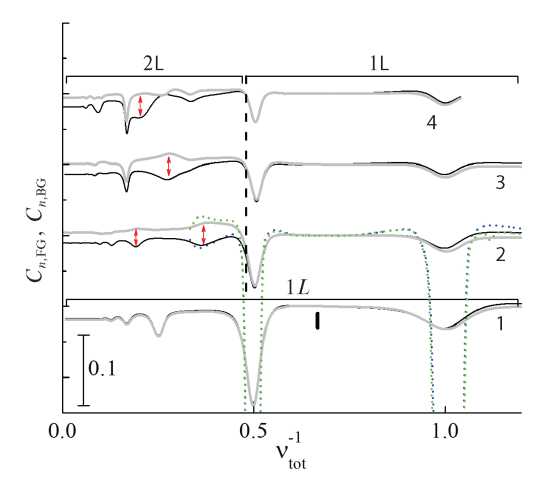
Рис. 1. Нормированные на значение при νtot = 3⁄2 (отмечено вертикальным штрихом) зависимости магнетоемкости, измеренные в КЯ шириной w = 50 нм между электронной системой и передним (Cn,FG, темные линии), задним (Cn,BG, светлые линии) затворами, от обратного фактора заполнения , пропорционального магнитному полю B и соответствующего полной концентрации электронов. Все кривые получены при напряжении на переднем затворе VFG = 0, температуре T = 3 (сплошные кривые) и 0.5 К (пунктирные кривые), напряжении на заднем затворе VBG и соответствующей концентрации электронов в ближайшем слое nBL: VBG = 0.2 В, nBL = 0 (1); VBG = 1.2 В, nBL = 0.22×1011 см–2 (2); VBG = 1.8 В, nBL = 0.74×1011 см–2 (3); VBG = 2.4 В, nBL = 0.90×1011 см–2 (4). Отмечены области, в которых электронная система находится в двухслойном (2L) и “однослойном” (1L) состояниях; вертикальная штриховая линия отмечает границу этих областей вблизи νtot ≈ 2. Стрелками отмечены наиболее выраженные особенности нормированных магнетоемкостей в двухслойном состоянии (минимумы Cn,FG и соответствующие им максимумы Cn,BG).
Рис. 2. Нормированные на значение при νtot = 3⁄2 (отмечено вертикальным штрихом) зависимости магнетоемкости, измеренные в КЯ шириной w = 60 нм между электронной системой и передним (Cn,FG, темные линии), задним (Cn,BG, светлые линии) затворами, от обратного фактора заполнения . Все кривые получены при напряжении на переднем затворе VFG = –0.2 В, температуре T = 1.5 К, напряжении на заднем затворе VBG и соответствующей концентрации электронов в ближайшем слое nBL: VBG = 0.8 В, nBL = 0.56×1011 см–2 (1); VBG = 1 В, nBL = 0.69×1011 см–2 (2). Отмечены области, в которых электронная система находится в двухслойном (2L) и “однослойном” (1L) состояниях; вертикальная штриховая линия отмечает границу этих областей вблизи νtot ≈ 2. Стрелками отмечены наиболее выраженные особенности нормированных магнетоемкостей в двухслойном состоянии (минимумы Cn,FG и соответствующие им максимумы Cn,BG). Треугольниками выделены минимумы, соответствующие несжимаемому состоянию в переднем слое электронов при заполненном подуровне Ландау vFL = 1.
Ключевым наблюдением настоящей работы является существование перехода между двухслойным и “однослойным” состояниями при независимо от ширины квантовой ямы и полной плотности электронов в ней, а также различное поведение электронных систем в ямах различной ширины при νtot < 2. Области двухслойных состояний мы идентифицируем как области с различающимися особенностями на кривых магнетоемкости, измеренных между электронной системой и передним (темные линии), задним (светлые линии) затворами (область 2L на рис. 1 и 2). Наиболее очевидные различия между этими кривыми состоят в экстремумах противоположного знака (отмечены стрелками). Области совпадения нормированных кривых приписываются “однослойным” состояниям (область 1L). Важным отличием последовательности состояний на рис. 1 и 2 является возникновение двухслойного состояния при факторе заполнения переднего слоя νFL = 1 (рис. 2), в котором минимум емкости Cn,FG отражает несжимаемое состояние верхнего слоя и сосуществует с максимумом Cn,BG. Отметим, что отсутствие минимума на зависимости емкости Cn,FG в области 1 < νtot < 2 на рис. 1 не связано со сравнительно высокой (T = 3 К) температурой измерений. Этот минимум отсутствует и при низкой температуре, как это демонстрирует пара кривых 2, измеренных при T = 0.5 К.
Дополнительная информация о характере несжимаемого состояния может быть получена из температурной зависимости амплитуды минимумов емкости. Минимумы магнетоемкости на νtot = 1 и 2 становятся еще глубже при понижении температуры до T = 0.5 К (пунктирные кривые на рис. 1 и 3). Это увеличение глубины минимума сопровождается появлением пиков активной компоненты измеряемого переменного тока и является следствием резистивного эффекта, когда в режиме квантового эффекта Холла диагональная компонента проводимости всей электронной системы становится слишком маленькой, и заряд не успевает растекаться по плоскости электронной системы за время, соответствующее обратной частоте переменного сигнала, подаваемого на затвор [17, 18]. Напротив, минимум магнетоемкости при νFL = 1 практически не углубляется при понижении температуры от 1.5 до 0.5 К. При низкой температуре этот минимум остается гораздо меньше по глубине, чем минимумы емкости на νtot = 1 и 2 (рис. 3). Активная компонента тока в этом случае не появляется. Как и в случае νFL = 1, аналогичным образом ведут себя минимумы магнетоемкости при νFL = 2 и 4. Минимумы, в области которых резистивный эффект не проявляется даже при низкой температуре, отмечены на рис. 3 светлыми треугольниками. В этом случае отсутствие резистивного эффекта обусловлено двухслойностью электронной системы, поскольку несжимаемые состояния, наблюдаемые в одном из слоев, сосуществуют с имеющими высокую проводимость сжимаемыми состояниями в другом слое. В таких условиях изменение заряда в слое, находящемся в несжимаемом состоянии, происходит в основном за счет туннелирования с соседнего слоя. Этот механизм, однако, перестает работать, если оба слоя находятся в несжимаемых состояниях при целочисленных факторах заполнения (т. е. для минимумов емкости второго типа). Указанный механизм изменения заряда слоя, находящегося в несжимаемом состоянии, за счет туннельной связи со слоем с высокой проводимостью, позволяющий избежать возникновения резистивного эффекта, использовали, например, в образцах, исследованных в работах [19, 20]. В нашем случае отсутствие резистивного эффекта при низкой температуре в области минимума магнетоемкости при νFL = 1 подтверждает, что система находится в двухслойном состоянии, а не в “однослойном”, в отличие от областей с глубокими минимумами при νtot = 1 и 2.
Рис. 3. Зависимость магнетоемкостей между электронной системой и передним (CFG, темные линии, слева); и задним (CBG, светлые линии, справа) затворами от обратного фактора заполнения в квантовой яме шириной w = 60 нм при T = 1.5 (сплошные кривые) и 0.5 К (пунктирные кривые). Кривые получены при напряжении на переднем затворе VFG = –0.2 В, напряжении на заднем затворе VBG = 0.8 В. Треугольниками отмечены минимумы CFG, соответствующие целочисленным факторам заполнения в переднем слое электронов vFL = 1; 2; 4 (на графике соответственно).
ОБСУЖДЕНИЕ ЭКСПЕРИМЕНТАЛЬНЫХ РЕЗУЛЬТАТОВ И ЗАКЛЮЧЕНИЕ
Представленная в настоящей работе картина индуцированных магнитным полем квантовых фазовых переходов между двухслойным и “однослойным” состояниями квазидвумерной электронной системы до определенной степени коррелирует с предсказаниями существования несжимаемых квантовохолловских псевдоспиновых ферромагнитных состояний при ряде целочисленных полных факторов заполнения [8], хотя справедливость установленного нами емкостного критерия для таких состояний остается неясной. Основным очевидным отличием наших результатов от существующих предсказаний теории является обнаружение сжимаемых “однослойных” состояний в широкой области полных факторов заполнения (νtot < 2 в образце с КЯ шириной 50 нм).
Подводя итог, в квазидвумерной электронной системе, создаваемой в одиночной КЯ GaAs, мы обнаружили существование квантового фазового перехода между двухслойным и “однослойным” состояниями электронной системы, положение которого определяется полным фактором заполнения уровней Ландау νtot ≈ 2 независимо от плотности электронов и ширины исследованных КЯ. Установлено существование “однослойного” состояния как в несжимаемых состояниях электронной системы при νtot = 1 и 2, так и в сжимаемых состояниях при нецелочисленных значениях νtot < 2. В последнем случае, однако, в КЯ большей ширины (60 нм) наблюдали дополнительную область двухслойного состояния. Мы связываем различие в количестве наблюдаемых областей двухслойности в ямах шириной 50 и 60 нм с более сильной туннельной связью между слоями в КЯ меньшей (50 нм) ширины, препятствующей образованию дополнительного двухслойного состояния. Действительно, с ростом силы туннельной связи между слоями волновая функция любого из электронов все больше проникает в соседний слой и, наконец, при достаточно большой силе туннельной связи, систему приходится описывать в терминах единого “однослойного” спектра уровней Ландау.
ФИНАНСИРОВАНИЕ РАБОТЫ
Работа выполнена при поддержке гранта Российского Научного Фонда № 24-22-00312.
КОНФЛИКТ ИНТЕРЕСОВ
Авторы данной работы заявляют, что у них нет конфликта интересов.
About the authors
А. А. Kapustin
Osipyan Institute of Solid State Physics, Russian Academy of Sciences
Author for correspondence.
Email: kapustin@issp.ac.ru
Russian Federation, Chernogolovka
S. I. Dorozhkin
Osipyan Institute of Solid State Physics, Russian Academy of Sciences
Email: kapustin@issp.ac.ru
Russian Federation, Chernogolovka
I. B. Fedorov
Osipyan Institute of Solid State Physics, Russian Academy of Sciences
Email: kapustin@issp.ac.ru
Russian Federation, Chernogolovka
References
- Champagne A.R., Finck A.D.K., Eisenstein J.P., Pfeiffer L.N., West K.W. // Phys. Rev. B. 2008. V. 78. № 20. P. 205310. https://www.doi.org/10.1103/PhysRevB.78.205310
- Kellogg M., Eisenstein J.P., Pfeiffer L.N., West K.W. // Phys. Rev. Lett. 2004. V. 93. № 3. P. 036801. https://www.doi.org/10.1103/PhysRevLett.93.036801
- Piazza V., Pellegrini V., Beltram F., Wegscheider W., Jungwirth T., MacDonald A.H. // Nature. 1999. V. 402. P. 638. https://www.doi.org/10.1038/45189
- Khrapai V.S., Deviatov E.V., Shashkin A.A., Dolgopolov V.T., Hastreiter F., Wixforth A., Campman K.L., Gossard A.C. // Phys. Rev. Lett. 2000. V. 84. № 4. P. 725. https://www.doi.org/10.1103/PhysRevLett.84.725
- Дорожкин С.И., Капустин А.А., Федоров И.Б., Уманский В., смет Ю.Х. // Письма в ЖЭТФ. 2023. Т. 117. № 1. С. 72. https://www.doi.org/10.31857/S123456782301010X
- Deng H., Liu Y., Jo I., Pfeiffer L.N., West K.W., Baldwin K.W., Shayegan M. // Phys. Rev. B. 2017. V. 96. № 8. P. 081102(R). https://www.doi.org/10.1103/PhysRevB.96.081102
- Zhang D., Schmult S., Venkatachalam V., Dietsche W., Yacoby A., von Klitzing K., Smet J. // Phys. Rev. B. 2013. V. 87. № 20. P. 205304. https://www.doi.org/10.1103/PhysRevB.87.205304
- Jungwirth T., MacDonald A.H. // Phys. Rev. B. 2000. V. 63. № 3. P. 035305. https://www.doi.org/10.1103/PhysRevB.63.035305
- Kellogg M., Spielman I.B., Eisenstein J.P., Pfeiffer L.N., West K.W. // Phys. Rev. Lett. 2002. V. 88. № 12. P. 126804. https://www.doi.org/10.1103/PhysRevLett.88.126804
- Liu X., Watanabe K., Taniguchi T., Halperin B. I., Kim P. // Nature Phys. 2017. V. 13. P. 746. https://www.doi.org/10.1038/NPHYS4116
- Li J.I.A., Taniguchi T., Watanabe K., Hone J., Dean C.R. // Nature Phys. 2017. V. 13. P. 751. https://www.doi.org/10.1038/NPHYS4140
- Dorozhkin S.I., Kapustin A.A., Fedorov I.B., Umansky V., von Klitzing K., Smet J.H. // J. Appl. Phys. 2018. V. 123. № 8. P. 084301. https://www.doi.org/10.1063/1.5019655
- Kozlov D.A., Bauer D., Ziegler J., Fischer R., Savchenko M.L., Kvon Z.D., Mikhailov N.N., Dvoretsky S.A., Weiss D. // Phys. Rev. Lett. 2016. V. 116. № 16. P. 166802. https://www.doi.org/10.1103/PhysRevLett.116.166802
- Dorozhkin S.I., Kapustin A.A., Fedorov I.B., Umansky V., Smet J.H. // Phys. Rev. B. 2020. V. 102. № 23. P. 235307. https://www.doi.org/10.1103/PhysRevB.102.235307
- Федоров И.Б., Дорожкин С.И., Капустин А.А. // Поверхность. Рентген. синхротр. и нейтрон. исслед. 2021. № 11. С. 62. https://www.doi.org/10.31857/S1028096021110078
- Капустин А.А., Дорожкин С.И, Федоров И.Б., Уманский В., смет Ю.Х. // Письма в ЖЭТФ. 2019. Т. 110. № 6. С. 407. https://www.doi.org/10.1134/S0370274X19180103
- Девятов Э.В. Вертикальное и латеральное туннелирование в двумерных электронных системах и структурах на их основе: Дис. канд. ф.-м. наук: 01.04.07. Черноголовка: Институт Физики Твердого Тела РАН, 2000. 94 с.
- Dolgopolov V.T., Shashkin A.A., Deviatov E.V., Hastreiter F., Hartung M., Wixforth A., Campman K.L., Gossard A.C. // Phys. Rev. B. 1999. V. 59. № 20. P. 13235. https://www.doi.org/10.1103/PhysRevB.59.13235
- Долгополов В.Т., Шашкин А.А., Аристов А.В., Шмерек Д., Хансен В., Коттхаус Й.П., Холланд М. // УФН. 1998. Т. 168. № 2. С. 147. https://www.doi.org/10.3367/UFNr.0168.199802j.0147
- Ashoori R.C. The density of states in the two-dimensional electron gas and quantum dots: PhD thesis. Cornell University, 1991. 256 p.
Supplementary files





