Estimation of the coherently scattering domain size in alloys from neutron diffraction data
- Authors: Yerzhanov B.1,2, Bobrikov I.A.3, Balagurov A.M.1,4
-
Affiliations:
- Joint Institute for Nuclear Research
- Kazan (Volga Region) Federal University
- Centre for Cooperative Research on Alternative Energies (CIC energiGUNE), Basque Research and Technology Alliance (BRTA)
- Lomonosov Moscow State University
- Issue: No 9 (2024)
- Pages: 12-24
- Section: Articles
- URL: https://journals.rcsi.science/1028-0960/article/view/276009
- DOI: https://doi.org/10.31857/S1028096024090027
- EDN: https://elibrary.ru/EIPTOI
- ID: 276009
Cite item
Full Text
Abstract
An analysis of the diffraction spectra of the Fe74Al26 alloy was conducted using a high-resolution neutron diffractometer to determine the size distribution of structurally ordered clusters dispersed within the structurally disordered matrix of the alloy. The Scherrer method was generalized for this purpose, based on the analysis of diffraction peak profiles, determining peak widths at heights of 1/5 and 4/5 of the maximum, and assuming the validity of the gamma distribution for cluster sizes (Pielaszek method). A comparison of results obtained using the Scherrer, Williamson–Hall, and Pielaszek methods was carried out, demonstrating good agreement between them. An algorithm for calculating the log-normal distribution function of cluster/particle sizes is proposed. The experimental data were obtained using a time-of-flight neutron diffractometer, and the analysis was performed for two variants of variable scanning: in crystallographic (direct) (d-scale) and reciprocal (H-scale) spaces, with estimates of possible systematic errors. It was concluded that the determined average sizes possess the necessary degree of stability, meaning they weakly depend on the applied variable scanning and the total number of experimental data points.
Full Text
1. ВВЕДЕНИЕ
Физические свойства кристаллических материалов зависят от организации их микроструктуры, под которой в общем случае понимается любое отклонение от идеального дальнего порядка. Для функциональных материалов, находящихся зачастую в метастабильном неоднородном состоянии, особенно интересны такие характеристики микроструктуры, как кристаллографическая текстура, уровень остаточных напряжений в кристаллитах (макро- и микронапряжений), величина мозаичности (для монокристаллов) и характерный размер областей когерентного рассеяния (ОКР). Для упорядочивающихся сплавов важной особенностью микроструктуры является еще и морфология упорядоченных областей, их распределение по размерам и уровень порядка в них, а также характеристики локального упорядочения.
Для анализа микроструктуры кристаллических материалов широко используются оптические и электронные микроскопы, но наиболее полную информацию удается получать с помощью дифракции коротковолновых излучений — электронов, рентгеновских лучей и тепловых нейтронов. Дифракционный анализ основан на выявлении эффектов влияния реальной структуры кристалла на интенсивности, положения и профили отдельных дифракционных пиков и определении их количественных характеристик, которые затем переводятся в параметры микроструктуры. Дифракционные методы анализа микроструктуры рассматриваются в большом числе изданий, в частности, очень полно в сборнике обзорных статей [1], в учебниках (например, [2]) и в учебных пособиях (например, [3, 4]). Подробное изложение методов оценки уровня микронапряжений и размеров ОКР приведено в [5].
Хорошо известными “полуколичественными”, как они характеризуются в [5], приближениями для определения размеров ОКР и микронапряжений являются методы Шеррера (1918 г.) и Стокса–Вильсона (1946 г.) соответственно, а также объединяющее их соотношение Вильямсона–Холла (1953 г.) [3, 4]. Для расчета микроструктурных характеристик используется единственный параметр — ширина дифракционных пиков (интегральная или на половине высоты) и ее функциональная зависимость от переменной, по которой идет развертка дифрактограммы. Как результат, удается получить числа, являющиеся оценками величины микронапряжений ε и размеров ОКР Dcoh.
Очевидным недостатком этих приближений является невозможность что-то сказать о функциях распределений, которым подчиняются ε и Dcoh. Его преодоление возможно, если анализируются профили дифракционных пиков, например, с использованием метода Уоррена–Авербаха (1950 г.), который подробно изложен в [2]. Идея анализа профилей отдельных пиков получила дальнейшее развитие в методах, основанных на фурье-анализе полного профиля дифрактограммы, примерно так, как это делается в методе Ритвельда. В этом подходе, получившем название WPPM (Whole Powder Pattern Modeling), функции распределения рассчитываются на основе предположенной модели микроструктуры, вычисляются их преобразования Фурье и проводится анализ экспериментальных данных. Подробное описание этого метода, включая его реализацию в программном пакете PM2K, дано в работе [6].
Тестирование этих методик на реальных примерах показало, что если эффект размера заметно превышает эффект микронапряжений, то в большинстве случаев получаемые из экспериментальных данных распределения кристаллитов по размерам хорошо аппроксимируются логнормальным L(x) или гамма-распределением G(x). Они оба являются непрерывными распределениями, характеризующимися всего двумя уточняемыми параметрами, позволяющими оценить медиану и дисперсию этих функций. Информативность фурье-анализа профилей дифракционных пиков с использованием методов Уоррена–Авербаха или WPPM, безусловно, заметно выше, чем классических методов Шеррера или Вильямсона–Холла, но повышенная трудоемкость вычислений и необходимость достаточно хорошей статистической точности измерения профилей многих пиков препятствует их широкому применению.
В работе [7] предложен упрощенный подход к решению проблемы определения дисперсии функции распределения по размерам, а именно показано, что измерение двух ширин одного и того же пика на разной высоте (вместо одной, как в методе Шеррера) позволяет, в принципе, оценивать два параметра: средний размер ОКР <D> и разброс размеров σ. Дальнейшее предположение о том, что по размерам кристаллиты распределены в соответствии с гамма-распределением, позволяет получить информацию фактически такую же, как при использовании фурье-анализа профилей многих пиков. Примерами использования метода анализа двух ширин (“метода Пелашека”) являются работы [8] и [9]. В первой из них распределения по размерам получены для нескольких образцов дисперсных магнетитов Fe3O4. Во второй метод Пелашека использовался для контроля размеров наночастиц Zn1–xCoxO, получаемых путем специфического синтеза.
Перечисленные методы определения характеристик микроструктуры кристаллических материалов развивались в предположении их использования при анализе дифрактограмм, полученных на дифрактометрах (рентгеновских или нейтронных) с монохроматическим пучком (λ0-дифрактометрах). Их изложение в указанных литературных ссылках (за исключением [4]) также проведено в предположении монохроматического излучения. В случае проведения экспериментов на дифрактометрах по времени пролета (TOF-дифрактометрах), действующих на импульсных источниках нейтронов, при анализе микроструктуры необходимо учитывать некоторые особенности TOF-метода (тип шкалы, по которой ведется развертка дифрактограммы, и профиль функции разрешения дифрактометра). Они не принципиальны, но могут заметно сказываться на точности получаемых данных.
В настоящей работе метод Пелашека использован для оценки характерного размера и дисперсии распределения по размерам структурно упорядоченных кластеров, случайным образом распределенных в матрице магнитострикционного сплава Fe74Al26, рассматриваемого в качестве кандидата для применения в различных устройствах, использующих магнитомеханические свойства материалов. Проведено сравнение с результатами, полученными классическими методами Шеррера и Вильямсона–Холла. Экспериментальные данные получены на нейтронном дифрактометре по времени пролета; соответственно, предварительно обсужден вопрос представления этих методов оценки параметров микроструктуры в альтернативных экспериментальных шкалах.
В методах Шеррера и Вильямсона–Холла физически обосновано использование интегральных ширин пиков, WS, которые определяются как отношение площади пика к его амплитуде. Однако на практике анализ чаще ведется с полной шириной на половине высоты, W1/2. Для функций Гаусса и Лоренца величины WS и W1/2 связаны друг с другом постоянными коэффициентами (для гауссиана WS = 1.06W1/2, для лоренциана WS = 1.57W1/2), и использование той или иной из них определяется дополнительными соображениями, например, надежностью отделения пика от фоновой подложки. Поскольку в методе Пелашека анализируются профили пиков, для единообразия при вычислении размеров ОКР далее используются W1/2, которые определяются при описании профиля пика с помощью модельных функций.
Следует отметить, что для размеров областей когерентного рассеяния, которые только и могут быть определены из дифракционных данных, зачастую используется оптический термин “размер частиц” (кристаллитов, зерен, кластеров). Понятно, что в общем случае оптический размер может быть больше дифракционного, например, из-за аморфизации внешних слоев кристаллитов или постепенного уменьшения степени дальнего порядка в кластере вдали от его центра, но далее “размер ОКР” и “размер частиц” считаются синонимами.
2. ОБРАЗЦЫ И ЭКСПЕРИМЕНТ
Для тестирования метода Пелашека использованы экспериментальные данные о ширинах дифракционных пиков литого сплава Fe74Al26, информация о структурных состояниях которого опубликована в [10]. Слиток сплава изготовлялся методом дуговой плавки в защитной атмосфере высокочистого аргона с использованием мини-вакуумной печи Arc 200 в виде параллелепипедов, из которых для экспериментов вырезались бруски размером 4 × 4 × 40 мм. Затем он отжигался при 900°C в течение 30 мин и закаливался в воде. Основной особенностью микроструктуры сплава является то, что в исходном состоянии (as-cast) она представляет собой кластеры (с характерным размером ~55 нм) с упорядоченной структурой (обозначаемой как D03), дисперсно распределенные в менее упорядоченной (B2) матрице. После медленного нагрева (2°C/мин) до 900°C сплав переходит в неупорядоченную фазу А2, а после охлаждения (–2°C/мин) до комнатной температуры возвращается в неоднородное состояние (B2 + D03), но средний размер кластеров возрастает до ~145 нм. Структурные данные этих фаз, основанные на базе ОЦК-ячейки, следующие:
A2, кубическая Imm (№ 229), a ≈ 2.897 Å, структура неупорядоченная, атомы Al и Fe находятся в позициях (2а), общее число атомов в элементарной ячейке N = 2.
B2, кубическая Pmm (№ 221), a ≈ 2.898 Å, атомы Al и Fe частично упорядочены в позициях (1a) и (1b), N = 2.
D03, кубическая Fmm (№ 225), a ≈ 2aА2 ≈ 5.795 Å, атомы Al, Fe частично упорядочены в положениях (4a), (4b) и (8c); N = 16.
Сплав находится в частично упорядоченном фазовом состоянии, и на дифрактограммах присутствуют сверхструктурные пики, разрешенные в соответствующих фазах. Для фазы B2 это пики с индексами Миллера h + k + l ≠ 2n (100, 111 и т. д.), для фазы D03 это пики с индексами Миллера h + k + l ≠ 4n (111, 200 и т. д.). Интенсивность сверхструктурных пиков относительно высока, т. е. высоки и доля объема образца, занятого упорядоченной фазой, и степень упорядочения структуры. Сверхструктурные пики отсутствуют в неупорядоченной фазе А2, т. е. остаются только пики с h + k + l = 4n (220, 400 и т. д.).
Измерения нейтронных дифрактограмм выполнены на фурье-дифрактометре высокого разрешения (HRFD) на импульсном реакторе ИБР-2 в ОИЯИ (Дубна). Краткая информация об HRFD приведена в [11], а его подробное описание с объяснением принципа действия и многочисленными примерами можно найти в [12]. HRFD является TOF-дифрактометром с корреляционным методом набора данных и с возможностью переключения между модами высокого разрешения (∆d/d ≈ 0.001 при d = 2 Å) и высокой светосилы — среднего разрешения (∆d/d ≈ 0.015). В режимах высокого и среднего разрешения диапазон одновременно измеряемых dhkl составлял от 0.5 до 4.5 и 6.0 Å соответственно, что позволяло детекторам обратного рассеяния (2θ = 152°) измерять все основные и сверхструктурные пики с малыми индексами Миллера. Границы измеряемых микронапряжений и размеров ОКР составляли ε ~ 0.0005 и больше, Dcoh ~ 300 нм и меньше.
3. ПРОФИЛИ И ШИРИНЫ ДИФРАКЦИОННЫХ ПИКОВ, ИЗМЕРЯЕМЫХ НА HRFD
Для анализа профилей дифракционных пиков от исследуемого кристаллического материала необходимо определить вклад инструмента, на котором проводятся измерения. Для этого проведен анализ профилей дифракционных пиков от стандартных поликристаллов Al2O3 или La11B6 (из серии “NIST standards”, рассматриваемые как идеальные поликристаллы без собственного вклада в ширину дифракционных пиков), который показал, что они достаточно хорошо соответствуют функции Войта, являющейся сверткой гауссиана и лоренциана. Более того, оказалось, что для описания профилей пиков сплавов типа Fe–Ga и Fe–Al функция Войта также может быть использована. Пример такого описания (использовался программный пакет Fityk [13]) приведен на рис. 1, где показана дифрактограмма сплава Fe74Al26. Из профилей пиков извлекались их основные геометрические характеристики: высота, площадь, положение и ширина. Обработка дифрактограмм проводилась для двух вариантов переменной сканирования: в кристаллическом (d-шкала) и обратном (H-шкала) пространствах. Эти варианты являются стандартными для представления данных, полученных на TOF-дифрактометрах, каждый из них имеет свои преимущества и ограничения, и оба будут использоваться далее.
Рис. 1. Нейтронная дифрактограмма сплава Fe74Al26 в шкале d — межплоскостного расстояния (a) и в шкале H = 1/d — длины вектора в обратной решетке (б). Показаны экспериментальные точки, рассчитанный профиль, разностная кривая и индексы Миллера некоторых пиков. Вертикальные штрихи — положения дифракционных пиков для структурной фазы D03 (кубическая, Fmm, a = 5.795 Å).
Расчет ширины дифракционных пиков на половине высоты, которую обычно называют разрешающей способностью, R = ∆d/d = ∆H/H, где d — межплоскостное расстояние, H = 1/d — длина вектора в обратном пространстве, для дифрактометра по времени пролета приводит к выражению:
R = [(∆t0/t)2 + (∆θ/tgθ)2]1/2, (1)
где ∆t0 — ширина нейтронного импульса, t = 252.778 · L λ = 505.556Ld sinθ — полное время пролета [мкс], L — пролетное расстояние от источника нейтронов до детектора [м], λ — длина волны нейтрона [Å], θ — угол Брэгга, ∆θ — величина, включающая все геометрические неопределенности процесса рассеяния. Для фурье-дифрактометра HRFD ∆t0 — константа (не зависит от t), определяемая максимальной частотой модуляции нейтронного пучка фурье-прерывателем. Учитывая, что t ~ d ~ 1/H, уравнение (1) можно переписать в виде:
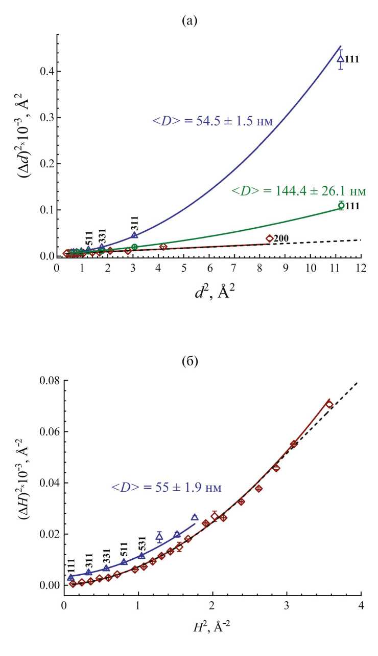
(∆dR)2 = C1 + C2d2 или (∆HR)2 = C1H4 + C2H2, (2)
где ∆d или ∆H — ширина пика в d- или H-шкале, C1 и C2 — константы, связанные с ∆t0 и ∆θ соответственно. Для стандартного TOF-дифрактометра, например HRPD на источнике с коротким импульсом ISIS [14], ширина нейтронного импульса не является постоянной, а изменяется в первом приближении как ∆t0 ~ t, и, соответственно, функция разрешения практически не зависит от t, R ≈ const в широком диапазоне времен пролета. Сравнение поведения ширин дифракционных пиков для TOF-дифрактометров HRFD и HRPD (High Resolution Powder Diffractometer, ISIS) для двух типов переменной сканирования приведено на рис. 2. Для случая H-шкалы показана также ширина дифракционных пиков, измеряемых на λ0-дифрактометре HRPT (High-Resolution Powder Diffractometer for Thermal Neutrons, PSI) [15]. Очевидными особенностями показанных функций являются линейность зависимости (∆d)2 от d2 для TOF-дифрактометров в d-шкале и наличие глубокого минимума на зависимости (∆H)2 от H2 для λ0-дифрактометрa.
Рис. 2. Зависимости, соответствующие формулам (2), для двух вариантов переменной сканирования d (a) и H (б) для TOF-дифрактометров на источниках с коротким (HRPD, ISIS) и длинным (HRFD, ИБР-2) импульсом, а также для дифрактометра с монохроматическим пучком (HRPT, SINQ) на стационарном источнике нейтронов.
Обычным методом определения констант в формулах (2) является дифракционный эксперимент с поликристаллами Al2O3 или La11B6. В случае реального кристалла ширина пиков увеличивается за счет микроструктурных эффектов. Почти всегда это увеличение связано с конечным размером областей когерентного рассеяния и микродеформациями кристаллитов. Иногда приходится учитывать проявления негомогенности состава. Известно, что в общем случае форма узлов обратной решетки является фурье-образом формы ОКР [2]. Для одного из частных случаев Шеррером была получена формула (в российской литературе часто обозначается как формула Селякова–Шеррера), связывающая уширение дифракционного пика с усредненным по объему размером ОКР (условно с размером кристаллитов) в направлении, параллельном вектору рассеяния, которая в d- и H-шкалах может быть записана как [4]:
∆dD = d 2/Dcoh и ∆HD = 1/Dcoh. (3)
Из (3) видно, что в обратном пространстве эффект размера приводит к одинаковому уширению всех узлов обратной решетки независимо от H.
Для учета уширения дифракционных пиков вследствие эффекта микронапряжений в кристаллитах используется соотношение, полученное Стоксом и Вильсоном, для которого в шкалах d и H можно получить [4]:
∆dε = 2εd или ∆Hε = 2εH. (4)
Видно, что этот эффект приводит к линейному увеличению уширения узлов обратной решетки с ростом d или H. Основанием для формулы Стокса–Вильсона служит предположение о том, что при действии на кристаллит сжимающей или растягивающей силы относительное изменение параметра ячейки будет постоянным, т.е. |∆а|/а ~ ε.
Для объединения этих двух эффектов требуется предположение о функции, которой могут быть описаны профили пиков от полидисперсной по размерам ОКР среды при наличии микродеформаций. На уровне ширин дифракционных пиков вопрос сводится к способу суммирования этих эффектов (и вклада функции разрешения) — линейному или квадратичному. Первый или второй способы следует использовать, если оба эффекта приводят к профилю, который можно описать функцией Лоренца или Гаусса соответственно. Хотя реальные профили этими функциями не описываются, наша практика свидетельствует, что квадратичное сложение эффектов в целом соответствует экспериментальным данным, и далее именно оно будет использоваться. Объединяя таким образом (3) и (4), получаем:
(∆ds)2 = (d2/Dcoh)2 + (2εd)2
или (∆Hs)2 = (1/Dcoh)2 + (2εH)2, (5)
что является вкладом образца в ширину дифракционных пиков в зависимости от межплоскостного расстояния или от длины вектора в обратном пространстве соответственно. Объединяя таким же образом инструментальную ширину (2) и вклад образца (5), получаем для зависимости ширин дифракционных пиков реального кристалла от переменных d или H:
(∆d)2 = C1 + (C2 + C3)d2 + C4d4 ,
(∆H)2 = C4 + (C2 + C3)H2 + C1H4, (6)
где C1 и C2 есть константы дифрактометра, С3 = (2ε)2, C4 = (1/Dcoh)2. Видно, что при отсутствии эффекта размера (C4 ≈ 0) в d-шкале зависимость (∆d)2 от d2 будет линейной, а при его наличии — параболической. В H-шкале отсутствие эффекта размера должно приводить к прохождению зависимости (∆H)2 от H2 через начало координат. Строя эти зависимости в достаточно большом интервале d или H, можно определить ε и Dcoh. Формулы (6), далее они будут обозначаться как построение Вильямсона–Холла, позволяют не только получить оценки величин Dcoh и ε, но и выявить наличие (или отсутствие) анизотропии ширин пиков, т.е. их зависимость от конкретного набора индексов Миллера.
С математической точки зрения оба представления формулы (6), в d- или в H-шкале, эквивалентны и при обработке экспериментальных данных должны приводить к одинаковым значениям для ε и Dcoh. Однако это утверждение справедливо только в том случае, если при определении ε и Dcoh с использованием метода наименьших квадратов (МНК) правильно учтены веса точек. Если в этом есть сомнения, или веса точек вообще не учитываются, то анализ (∆d)2 от d2 предпочтительнее, поскольку при определении коэффициентов в (6) основной вклад внесут точки при больших d, которые, как правило, более достоверны, поскольку в этой области меньше случаев перекрытия с другими пиками и разрешение TOF-дифрактометра улучшается с ростом d.
Для определения того, насколько существенны перечисленные факторы, проведено сравнение данных о размерах ОКР, полученных при обработке профилей дифракционных пиков на дифрактограммах, приведенных на рис. 1, на приближениях Шеррера и Вильямсона–Холла. Предварительно была обработана дифрактограмма от стандартного поликристалла La11B6, определены константы C1 и C2 в формулах (2), и получено, таким образом, аналитическое выражение для функции разрешения. По дифрактограммам сплава Fe74Al26 определены ширины нескольких сверхструктурных пиков фазы D03 (от 111 до 531) и основных пиков фазы B2, из которых затем вычитался (квадратично) вклад функции разрешения. Результаты, полученные в приближении Шеррера, показаны на рис. 3. Видно, что почти все величины, извлеченные из ширин пиков, соответствуют среднему значению в пределах одной ошибки, т.е. анизотропия ширин отсутствует. Средние значения, полученные при обработке дифрактограмм в d- и H-шкалах, практически совпадают.
Рис. 3. Размеры ОКР кластеров фазы D03 в сплаве Fe74Al26, полученные по формулам Шеррера (3) из ширин нескольких первых сверхструктурных пиков в дифрактограммах, представленных в шкалах d (a) и H (b). Ошибки точек — статистические, горизонтальные линии соответствуют среднему размеру ОКР, полученному с использованием МНК.
Построения Вильямсона–Холла для ширин основных и сверхструктурных пиков сплава Fe74Al26 показаны на рис. 4. Видно, что значения ширин для основных пиков практически соответствуют величинам, рассчитанным по функции разрешения. Это означает, что размеры ОКР для матрицы, которая представляет собой фазу B2, велики (Dcoh > 300 нм), а уровень микронапряжений мал (ε < 0.0005). Значения ширин для сверхструктурных пиков в пределах ошибок соответствуют расчету по формулам (6). Полученные с использованием МНК оценки Dcoh совпадают (в пределах ошибок) при обработке дифрактограмм в d- и H-шкалах и близки к средним значениям, полученным в приближении Шеррера. Из построения Вильямсона–Холла для ширин сверхструктурных пиков, измеренных после процедуры нагрева—охлаждения образца, следует, что размеры кластеров фазы D03 увеличились почти в три раза, тогда как размеры ОКР матрицы не изменились.
Рис. 4. Построения Вильямсона—Холла для первых основных и сверхструктурных (нечетные индексы Миллера) пиков от сплава Fe74Al26, представленные в шкалах d (a) и H (б). Сплошные линии проведены с использованием МНК, пунктирная линия соответствует функции разрешения HRFD. На графике с d-шкалой дополнительно показаны ширины сверхструктурных пиков, измеренные после нагрева–охлаждения образца с <D> = 145 нм. Ширины основных пиков практически не изменились.
Для оценки систематических ошибок в определении размеров ОКР расчеты методами Шеррера и Вильямсона–Холла были проведены в вариантах с поочередным и совместным исключением крайних экспериментальных точек. Полученные результаты представлены в табл. 1. Видно, что радикальных изменений средних размеров ОКР не наблюдается, т.е. систематические ошибки малы. Наибольшее влияние оказывает точка при dmax (пик 111) при обработке методом Вильямсона–Холла, но средняя величина остается в пределах ошибок.
Таблица 1. Средние размеры кластеров (в нм) фазы D03, рассчитанные методами Шеррера (Sh) и Вильямсона–Холла (WH) для d- и H-шкал в следующих вариантах: 1 — все измеренные точки, 2 — без точки при dmax, 3 — без точки при dmin, 4 — без точeк при dmax и dmin. Ошибки размеров соответствуют величинам, указанным на рис. 3
Метод | 1 | 2 | 3 | 4 |
Sh, d-шкала | 55.2 | 55.2 | 54.7 | 54.6 |
WH, d-шкала | 54.5 | 53.5 | 53.6 | 53.5 |
Sh, H-шкала | 53.0 | 52.4 | 52.9 | 52.4 |
WH, H-шкала | 55.0 | 53.2 | 54.8 | 52.9 |
Построение Вильямсона–Холла помимо размеров ОКР позволяет оценить уровень микронапряжений — коэффициент С3 в формулах (6). Другим простым методом, позволяющим выявить наличие или отсутствие микронапряжений, является сравнение ширин пиков (с вычтенным вкладом функции разрешения), являющихся порядками отражения. Сравнение ширин порядков отражения позволяет избежать влияния анизотропных эффектов, а согласно (4) при наличии микронапряжений ширины пиков, выраженных в H-шкале, должны линейно расти с номером порядка. Проверка для направлений [h00] и [hh0] показала, что в сплаве Fe74Al26 в исходном состоянии рост ширины не наблюдается. Наоборот, после нагрева—охлаждения сплава небольшие микронапряжения присутствуют (ε ≈ 0.0005), что, по-видимому, связано с происходившими в нем структурными фазовыми переходами [10].
4. МЕТОД ПЕЛАШЕКА
В 1941 г. Колмогоровым было доказано [16], что при неограниченном дроблении частиц при перемалывании материала логарифмы размеров подчиняются нормальному распределению и, соответственно, сами размеры подчиняются логарифмически нормальному распределению. Можно предполагать, что процессы формирования кристаллитов (зерен, кластеров, ОКР) имеют аналогичную физическую природу, и их распределение по размерам также является логнормальным. Однако для этого распределения не удается получить аналитическое выражение для профилей дифракционных пиков, но это можно сделать, если предполагать, что размеры кристаллитов подчиняются гамма-распределению, которое близко по форме к логнормальному распределению. В [7] гамма-распределение приведено в форме:
G(x) = R0–(m + 1)xm exp(–x/R0)/Γ(m + 1), (7)
где Гtz–1 exp(-t)dt — гамма-функция Эйлера, x > 0. Среднее значение <R> и дисперсия σ2 распределения G(x) связаны с его параметрами так:
<R> = (m + 1)R0, и обратно:
R0 = σ2/<R>, m = <R>2/σ2 – 1. (8)
Аналитическое выражение для профилей дифракционных пиков в случае гамма-распределения размеров ОКР приведено в [17] и [7] (также [18]). Оно позволяет получить уравнение для вычисления полной ширины дифракционного пика на любом уровне его высоты. В работе [7] предложено определять полные ширины пика на уровнях 1/5 и 4/5 высоты, W(1/5) и W(4/5). Выбор этих уровней произволен и является компромиссом между требованием максимального различия между ширинами и негативного влияния на них фона вблизи основания пика и малого числа точек вблизи его максимума. В [7] показано, что ширины пика могут быть связаны с параметрами (R0, m) распределения G(R) и с физическими переменными <R> и σ так:
<R> = 2BC/W(4/5), σ = 2BC1/2/W(4/5), (9)
A = arcctg(277069 – 105723W(1/5)/W(4/5)),
B = 0.001555 + 0.00884ctg(0.002237 – 2101A),
C = –0.6515 – 463695A.
Для вычисления усредненного по объему размера ОКР в [18] приведена формула, которую в наших обозначениях можно записать (пренебрегая отличием от единицы константы Шеррера) как:
<R>V = (<R>2/σ2 + 3)(σ2/<R>) =
= <R> + 3σ2/<R>. (10)
Если σ заметно меньше, чем <R> (σ ~ <R>/10), то <R>V больше, чем <R> всего на несколько %.
Итак, процедура расчета среднего размера ОКР и функции распределения по размерам включает определение ширин W(1/5) и W(4/5) для выбранных на дифрактограмме пиков (мы используем специально созданный на языке программирования Python программный код с библиотеками Math, SciPy и tkinter), вычитание (квадратично) вкладов функции разрешения дифрактометра на таких же уровнях от высоты пиков, предварительно определенных по данным для La11B6 (NIST-стандарт), вычисление значений <R>, σ и <R>V по формулам (9) и (10), пересчет <R> и σ в R0 и m по (8), расчет G(x) по (7).
В [7] отмечено, что величина <R>2/σ2 = m + 1 является мерой полидисперсности размеров ОКР. Малые значения m (m < 2) соответствуют широкому распределению, т.е. сильно полидисперсной среде. При m > 30 среду можно считать монодисперсной.
5. ПЕРЕХОД К ЛОГНОРМАЛЬНОМУ РАСПРЕДЕЛЕНИЮ
Согласно [16] логнормальное распределение кристаллитов по размерам является более естественным, чем гамма-распределение. Кроме того, расчеты гамма-распределения бывают затруднены из-за необходимости возводить большие числа в большую степень (фактор xm в формуле (7)). Поскольку при малой асимметрии оба распределения близки друг другу по форме, то для визуального представления расчетов можно использовать логнормальное распределение:
L(x) = [1/xα(2π)1/2]exp[–(lnx – μ)2/2α2], (11)
среднее значение и дисперсия которого есть:
<R> = exp(μ + α2/2),
σ2 = [exp(α2) – 1]exp(2μ + α2). (12)
Приравнивая <R> и σ2 в формулах (8) и (12), получаем:
α2 = ln[(m + 2)/(m + 1)],
μ = ln[(m + 1)R0] – α2/2, (13)
где R0 и m — параметры гамма-распределения.
В случае логнормального распределения усредненный по объему размер ОКР согласно [16] вычисляется по формуле:
<R>VL = exp[μ + (7/2)α2]. (14)
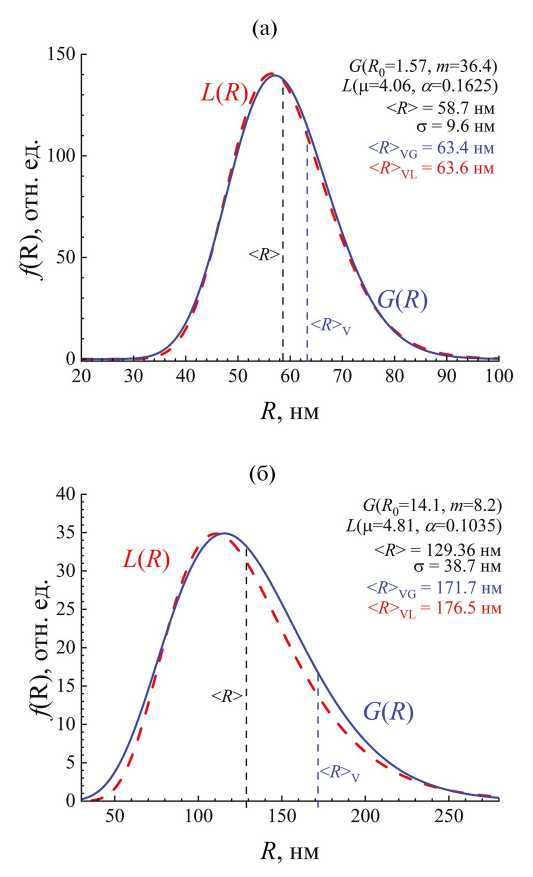
Сравнение обоих распределений с одинаковыми <R> и σ2, рассчитанными по характеристикам пика 111 сплава Fe74Al26 показано на рис. 5. Видно, что, действительно оба распределения практически совпадают.
Рис. 5. Сравнение логнормального (L(R), пунктирная линия) и гамма- (G(R), , сплошная линия) распределений, вычисленных по характеристикам пика 111 от сплава Fe74Al26, после отливки (а) и медленного нагрева и охлаждения (б) и имеющих одинаковые первый и второй моменты.
В табл. 2 приведены средние размеры и дисперсия распределения по размерам упорядоченных кластеров фазы D03 в составе Fe74Al26, рассчитанные по характеристикам нескольких сверхструктурных пиков, и параметры гамма- и логнормального распределений. Рассчитанные по ним логнормальные распределения показаны на рис. 6.
Таблица 2. Дисперсия и математическое ожидание, из которых были рассчитаны параметры и усредненный по объему размер ОКР (<R>V) для гамма- и логнормального распределений, полученные методом Пелашека из ширин нескольких первых сверхструктурных пиков в дифрактограммах сплава Fe74Al26 в двух состояниях. Значения σ, <R>, R0, <R>V приведены в нанометрах
Fe74Al26(после отливки) | ||||||||
Дисперсия и математическое ожидание распределений | Гамма-распределение | Логнормальное распределение | ||||||
hkl | σ | <R> | R0 | m | <R>V | α2 | μ | <R>V |
111 | 9.58 | 58.66 | 1.57 | 36.5 | 63.4 | 0.0263 | 4.06 | 63.5 |
311 | 15.63 | 52.19 | 4.68 | 10.2 | 66.2 | 0.0859 | 3.91 | 67.5 |
331 | 14.47 | 54.05 | 3.87 | 12.96 | 65.7 | 0.0692 | 3.96 | 66.5 |
Fe74Al26(после нагрева и охлаждения) | ||||||||
111 | 42.72 | 129.36 | 14.1 | 8.2 | 171.7 | 0.1035 | 4.81 | 176.5 |
311 | 38.69 | 104.07 | 14.4 | 6.2 | 147.2 | 0.1294 | 4.58 | 153.5 |
331 | 50.87 | 113.30 | 22.8 | 3.96 | 181.8 | 0.1836 | 4.64 | 196.6 |
Рис. 6. Логнормальные распределения, рассчитанные методом Пелашека по характеристикам нескольких сверхструктурных пиков сплава Fe74Al26. Распределения нормированы по амплитуде. Штриховыми линиями показаны средние по объему размеры ОКР.
6. ОБСУЖДЕНИЕ И ВЫВОДЫ
Как следует из построений Вильямсона–Холла для сплава Fe74Al26 (рис. 4), его микроструктура организована в виде кластеров упорядоченной фазы D03, дисперсно встроенных в матрицу фазы B2. Характерные размеры кластеров, определенные методами Шеррера и Вильямсона–Холла, хорошо соответствуют друг другу и составляют ~55 нм. После экспериментов с медленным нагревом до 900°C и последующего охлаждения до комнатной температуры неоднородное состояние сплава сохранилось, но средний размер кластеров возрос почти в три раза. Анализ экспериментальных данных, полученных на нейтронном дифрактометре по времени пролета, был проведен для двух вариантов переменной сканирования: в кристаллическом (d-шкала) и обратном (H-шкала) пространствах. Кроме того, были получены оценки возможных систематических ошибок. Был сделан вывод, что определяемые таким образом средние размеры обладают необходимой степенью устойчивости, т.е. слабо зависят от применяемой переменной сканирования и полного числа экспериментальных точек. Приоритетным должно быть использование построения Вильямсона–Холла как более универсального, чем метод Шеррера.
Общим недостатком этих методов является невозможность получить какую-либо информацию о функциях распределений, которым подчиняются величины микронапряжений ε и размеров ОКР Dcoh. Рассмотренный в разделе 4 метод Пелашека позволил с помощью незначительного усложнения анализа профилей дифракционных пиков получить вполне реалистичную информацию о распределении кластеров фазы D03 по размерам. Рассчитанные по профилям нескольких сверхструктурных пиков гамма-распределения достаточно хорошо соответствуют друг другу. В частности, эффект увеличения размеров кластеров после нагрева–охлаждения сплава проявился вполне четко (рис. 7). Для сплава Fe74Al26 определенные методом Пелашека усредненные по объему размеры кластеров хорошо соответствуют величинам, полученным при использовании методов Шеррера и Вильямсона–Холла. Например, увеличение среднего по объему размера кластеров после нагрева–охлаждения составило 2.6 (по Пелашеку) и 2.7 (по Вильямсону–Холлу) раза.
Рис. 7. Гамма-распределения, рассчитанные методом Пелашека по характеристикам нескольких сверхструктурных пиков сплава Fe74Al26, для исходного состояния (сплошные линии) и после нагрева-охлаждения сплава (пунктирные линии). Распределения нормированы по площади. Вертикальными линиями показаны средние по объему размеры ОКР.
В оригинальной работе [7] в качестве распределения ОКР по размерам из математических соображений выбрано гамма-распределение. Однако физически более обоснованным является логарифмически нормальное распределение, и в настоящей работе предложен простой алгоритм его вычисления по характеристикам, полученным с использованием метода Пелашека. Анализ экспериментальных данных для сплава Fe74Al26 показал, что в этом случае оба распределения практически совпадают.
Важным достоинством метода Пелашека является объемный характер получаемой с его помощью информации, не искаженной поверхностными эффектами. Ограничениями в использовании этого метода могут быть наличие сильных микронапряжений в образце и перекрытие дифракционных пиков из-за низкой симметрии кристалла или недостаточного уровня разрешающей способности дифрактометра. Предложенная методика может быть применена к сплавам любого состава при условии, что уширение дифракционных пиков связано только или преимущественно с эффектом размера.
ФИНАНСИРОВАНИЕ РАБОТЫ
Нейтронные дифракционные эксперименты выполнены на нейтронном источнике ИБР-2 (ОИЯИ, Дубна). Авторы благодарны С.В. Сумникову за помощь в проведении дифракционных экспериментов. Работа выполнена при поддержке Российского научного фонда (проект № 22-42-04404).
КОНФЛИКТ ИНТЕРЕСОВ
Авторы заявляют, что у них нет конфликта интересов.
About the authors
B. Yerzhanov
Joint Institute for Nuclear Research; Kazan (Volga Region) Federal University
Author for correspondence.
Email: bekarys@jinr.ru
Russian Federation, Dubna, 141980; Kazan, 420008
I. A. Bobrikov
Centre for Cooperative Research on Alternative Energies (CIC energiGUNE), Basque Research and Technology Alliance (BRTA)
Email: ibobrikov@cicenergigune.com
Spain, Alava Technology Park, Albert Einstein 48, Vitoria-Gasteiz 01510
A. M. Balagurov
Joint Institute for Nuclear Research; Lomonosov Moscow State University
Email: bala@nf.jinr.ru
Russian Federation, Dubna, 141980; Moscow, 119991
References
- Mittemeijer E.J., Welzel U. (Editors). Modern Diffraction Methods, , Wiley-VCH, Weinheim, 2012. 554p.
- Иверонова В.И., Ревкевич Г.П. // Теория рассеяния рентгеновских лучей. Москва: Изд-во МГУ, 1978. С. 278.
- Цыбуля С.В., Черепанова С.В. // Введение в структурный анализ нанокристаллов. Новосибирск: Изд-во Новосибирский государственный университет, 2008. С. 92.
- Балагуров А.М. Дифракция нейтронов для решения структурных и материаловедческих задач. Москва: Изд-во Физфак МГУ им. М.В. Ломоносова, 2017. С. 305.
- Mittemeijer E.J., Welzel U. // Z. Kristallogr. 2008. V. 223. № 27. P. 552. https://doi.org/10.1524/zkri.2008.1213
- Scardi P., Ortolani M., Leoni M. // Mater. Sci. Forum. 2010. V. 651. P. 155. https://doi.org/10.4028/www.scientific.net/MSF.651.155
- Pielaszek R. // J. Alloys Compd. 2004. V. 382. P. 128. https://doi.org/10.1016/j.jallcom.2004.05.040
- Vorobiev A., Chernyshov D., Gordeev G., Orlova D. // J. Appl. Cryst. 2008. V. 41. P. 831. https://doi.org/10.1107/S002188980802339X
- Wojnarowicz J., Chudoba T., Gierlotka S., Sobczak K., Lojkowski W. // Crystals. 2018. V. 8. № 179. https://doi.org/10.3390/cryst8040179
- Balagurov A.M., Sumnikov S.V., Cifre J., Palacheva V.V., Chubov D.G., Golovin I.S. // J. Alloys and Comp. 2023. V. 932. P. 167663. https://doi.org/https://doi.org/10.1016/j.jallcom.2022. 167663
- Balagurov А.М. // Neutron News. 2005. V. 16. № 3. P. 8. https://doi.org/10.1080/10446830500454346
- Балагуров А.М., Бобриков И.А., Бокучава Г.Д., Журавлев В.В., Симкин В.Г. // ЭЧАЯ. 2015. Т. 46. № 3. С. 453. https://doi.org/10.1134/S1063779615030041
- Wojdyr M. // J. Appl. Crystallogr 2010. V. 43. P. 1126. https://doi.org/https://doi.org/10.1107/S0021889810030499
- Ibberson R.M. // Nucl. Instrum. Methods Phys. Res. A. 2009. V. 600. P. 47. https://doi.org/https://doi.org/10.1016/j.nima. 2008.11.066
- Fischer P., Frey G., Koch M., Konnecke M., Pomjakushin V., Schefer J., Thut R., Schlumpf N., Burge R., Greuter U., Bondt S., Berruyer E. // Physica B. 2000. V. 276–278. P. 146. https://doi.org/https://doi.org/10.1016/S0921-4526(99)01399-X
- Колмогоров А.Н. // Теория вероятностей и математическая статистика. Москва: Наука, 1986. С. 264.
- Scardi P., Leoni M. // Acta Crystallogr. A. 2001. V. 57. № 5. P. 604. https://doi.org/10.1107/S0108767301008881
- Scardi P., Leoni M., Faber J. // Powder Diffraction. 2006. V. 21. № 4. P. 270. https://doi.org/10.1154/1.2358359
Supplementary files









