Rotating Magnetic Gravitational Trap for Storing Ultracold Neutrons
- Authors: Serebrov A.P.1, Fomin A.K.1, Klyushnikov G.N.1, Koptyukhov A.O.1, Murashkin A.N.1
-
Affiliations:
- National Research Centre “Kurchatov Institute” — Petersburg Institute of Nuclear Research
- Issue: No 8 (2024)
- Pages: 42-49
- Section: Articles
- URL: https://journals.rcsi.science/1028-0960/article/view/274324
- DOI: https://doi.org/10.31857/S1028096024080069
- EDN: https://elibrary.ru/ELQSXQ
- ID: 274324
Cite item
Full Text
Abstract
The paper proposes an experiment to measure the neutron lifetime by storing ultracold neutrons in a rotating magnetic trap. The magnetic trap is a set of NdFeB permanent magnets. By rotating the trap around a horizontal axis, it is possible to carry out gravitational capture of ultracold neutrons and their holding. A design option is presented when two traps are located in one installation on the same axis: material and magnetic. The sensitivity of the magnetic trap was assessed in comparison with the material one under equal measurement conditions. One of the factors influencing the systematic error of the experiment will be the process of neutron depolarization in a magnetic field. Therefore, the paper considers the issue of developing a magnetic system that minimizes the probability of neutron depolarization. The so-called turbine effect is also considered, which can manifest itself in a change in the energy of ultracold neutrons during rotation due to interaction with the flat faces of the trap. The proposed gravitational capture of ultracold neutrons in a magnetic trap is a fundamentally new approach that has never been implemented before. The experiment can be carried out on the ultracold neutron source under construction at the PIK reactor.
Keywords
Full Text
ВВЕДЕНИЕ
Проект, в рамках которого выполнена настоящая работа, направлен на прецизионное измерение времени жизни нейтрона, имеющее большое значение для физики элементарных частиц и космологии. Сейчас существует расхождение между различными измерительными методами. Все эксперименты можно разделить на три типа: пучковый, метод магнитного хранения и метод хранения в материальных ловушках. Результаты, полученные пучковым способом, значительно отличаются от результатов применения методов, использующих хранение ультрахолодных нейтронов (УХН), как в магнитных, так и в материальных сосудах [1, 2]. К настоящему моменту с увеличением точности измерений возникло новое расхождение: между измерениями в материальных и магнитных ловушках [3]. Все это указывает на возможность поиска новой области физики за пределами Стандартной модели и необходимость дальнейшего улучшения точности в измерениях времени жизни нейтрона.
Наиболее точный результат измерения времени жизни нейтрона с материальной ловушкой был достигнут в эксперименте с гравитационной ловушкой [4, 5]. Захват и выпуск УХН на детектор происходит путем поворота ловушки вокруг горизонтальной оси. В результате было получено значение времени жизни нейтрона 878.5 ± 0.8 с. Для размерной экстраполяции в нем использовали две сменные ловушки разного размера. Развитием метода с гравитационным захватом УХН стал эксперимент с большой гравитационной ловушкой [6, 7]. В нем использовали одну ловушку, а для размерной экстраполяции была предусмотрена опускаемая вставка.
В дальнейшем, в экспериментах по измерению времени жизни нейтрона, наряду с хранением УХН в материальных ловушках, начало развиваться направление с их хранением в магнитных ловушках: такие эксперименты были проведены в НИЦ “Курчатовский институт” — ПИЯФ [8–11] и в LANL [12–15]. В работе [15] к настоящему моменту получен наиболее точный результат измерения времени жизни нейтрона: 877.75 с со статистической и систематической ошибками соответственно ± 0.28 и +0.22/–0.16 с. В экспериментах [8–11] и [12–15] магнитная ловушка является неподвижной, а захват и выпуск УХН происходил различным образом. В эксперименте [8–11] заполнение ловушки УХН проводили путем применения лифта, осуществляющего вертикальное перемещение нейтронов, а выпуск происходил через магнитный затвор, расположенный на дне ловушки. В эксперименте [12–15] заполнение ловушки УХН осуществляли через магнитный затвор, расположенный на дне ловушки, а регистрацию УХН — при помощи опускаемого в ловушку сцинтилляционного детектора. Также важным обстоятельством является то, что в указанных экспериментах с магнитным хранением использовали разные варианты магнитной системы.
КОНСТРУКЦИЯ УСТАНОВКИ
В проекте предложена разработка универсальной ловушки для хранения УХН. В одной установке расположены сразу две ловушки на одной оси: материальная и магнитная (рис. 1). Материальная ловушка имеет цилиндрическую форму. Она изготовлена из меди и покрыта безводородным маслом Fomblin. Магнитная ловушка представляет собой набор постоянных магнитов NdFeB. Путем поворота системы ловушек вокруг горизонтальной оси можно осуществить гравитационный захват УХН либо в материальную, либо в магнитную ловушку. Таким образом, на одной установке можно сравнить материальное и магнитное хранение УХН в одинаковых условиях. Подобная схема измерений позволит избавиться от ряда систематических неопределенностей при измерениях с разными ловушками и предложена впервые. Описанный в настоящей работе гравитационный захват УХН поворотной магнитной ловушкой является принципиально новым подходом, который до этого никогда не осуществляли.
Рис. 1. Принципиальная схема универсальной ловушки для хранения УХН.
Новая магнитная ловушка УХН представляет собой совокупность пяти магнитных граней в виде усеченной пирамиды и магнита, создающего ведущее магнитное поле (рис. 2). Дно ловушки является горизонтальной плоскостью размерами 880 × 1290 мм. Четыре стенки наклонены к горизонтальной плоскости под углом 60° каждая. Высота ловушки 312 мм. Грани составлены из вплотную прилегающих друг к другу малых магнитов размерами 4 × 3 × 2 см. Магнитный момент каждого магнита перпендикулярен плоскости грани, в которой он лежит. Пусть ось y направлена по оси установки, ось z — вверх, начало координат совпадает с геометрическим центром нижней магнитной плоскости ловушки. На горизонтальной грани полярность магнитного момента меняется вместе с координатой y (магнитный момент коллинеарен оси z) и не меняется для фиксированного значения y при изменении x. Магнитные моменты магнитов боковых граней ориентированы согласованно с моментами магнитов горизонтальной грани. Период магнитной структуры вдоль y на боковых гранях увеличен в два раза по сравнению с периодом магнитной структуры в горизонтальной плоскости, равным 6 см.
Рис. 2. Схема установки с универсальной ловушкой УХН. Сверху и снизу дополнительно показаны материальная и магнитная ловушки, вынесенные за пределы установки.
Магнит, создающий ведущее поле, представляет собой равномерно намагниченный в направлении оси x прямоугольный параллелепипед размером 700 × 1700 мм. Он расположен на высоте 450 мм от дна ловушки. Ведущий магнит введен для увеличения абсолютного минимума поля в объеме ловушки и уменьшения пространственной неоднородности магнитного поля.
Одним из факторов, влияющих на систематическую погрешность эксперимента по измерению времени жизни нейтрона, будет процесс деполяризации нейтронов в магнитном поле. Поэтому важной проблемой, которую необходимо решить в рамках настоящей работы, является разработка магнитной системы, которая минимизирует вероятность деполяризации нейтрона. Также важно рассмотреть так называемый турбинный эффект, который может проявляться в изменении энергии УХН при повороте из-за взаимодействия с плоскими гранями ловушки.
РАСЧЕТ ХАРАКТЕРИСТИК МАГНИТНЫХ ПОЛЕЙ
Для изготовления магнитной ловушки были выбраны магниты NdFeB с максимальной намагниченностью 1.2 Тл.
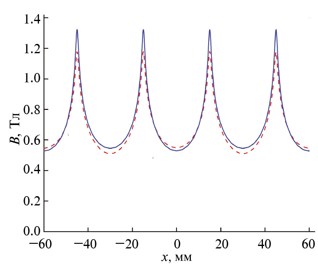
На рис. 3 показаны фрагменты сборки Хальбаха и сборки с реверсивным расположением магнитных моментов в вертикальной плоскости. Также проведен сравнительный анализ величины полей и их градиентов для оценки более перспективного варианта магнитной сборки для изготовления магнитной ловушки. На рис. 4 представлена зависимость модуля магнитной индукции в зависимости от координаты на высоте h = 0.5 мм от поверхности магнитов. Размер магнитов составляет 4 × 3 × 2 см. Из рис. 4 видно, что величины индукции полей для магнитов данных размеров одинаковы, то есть в обеих сборках (рис. 3) может быть использован один и тот же спектр УХН.
Рис. 3. Сравнение двух схем магнитной сборки: магнитная схема Хальбаха (сверху) и с реверсивным расположением магнитов (снизу). Стрелками показано направление намагниченности.
Рис. 4. Индукция магнитного поля на высоте h = 0.5 мм от поверхности магнитов в магнитной схеме Хальбаха (пунктиром) и с реверсивным расположением магнитов (сплошная).
Для минимизации деполяризации УХН при их движении в неоднородных магнитных полях должно выполняться условие адиабатичности:
где = 1.83 × 108 с–1Тл–1 — гиромагнитное отношение для нейтрона, v — скорость нейтрона.
На рис. 5 показано отношение градиента индукции поля к величине индукции поля по модулю на высоте h= 0.5 мм от поверхности магнитов. Из рис. 5 видно, что это отношение практически одинаково для сборки Хальбаха и реверсивной сборки. Если взять характерные величины скоростей УХН v = 6 м/с, полей ~ 1 Тл и отношение ~ 0.2 м–1, то нетрудно видеть, что условие адиабатичности очень хорошо выполняется для нашего случая.
Рис. 5. Отношение градиента индукции поля к величине индукции поля на высоте h = 0.5 мм от поверхности магнитов магнитов в магнитной схеме Хальбаха (пунктиром) и с реверсивным расположением магнитов (сплошная).
В реверсивной сборке соседние магниты с противоположным направлением магнитных моментов притягиваются и, кроме того, все они притягиваются к стальной подложке. В сборке Хальбаха соседние магниты будут отталкиваться, что потребует для них специального крепежа. С учетом того, что реверсивная схема требует меньше усилий при сборке выбор при изготовлении магнитной ловушки падает на нее.
ЧУВСТВИТЕЛЬНОСТЬ ЭКСПЕРИМЕНТА
Установка разработана для проведения измерений либо с материальной, либо с магнитной ловушкой. В первом случае будет использована только энергетическая экстраполяция, так как место опускаемой вставки [6, 7] заняла магнитная ловушка. При моделировании измерений с материальной ловушкой в эксперименте с большой гравитационной ловушкой [16] были получены следующие значения относительной точности измерения времени жизни нейтрона: 0.54 с — при измерениях без вставки; 0.32 с — при измерениях со вставкой; 0.10 с — при совместной экстраполяции. Точность измерений увеличивается пропорционально увеличению базы экстраполяции. Таким образом, если мы используем только энергетическую экстраполяцию, то измерения со вставкой дают более высокую точность. Возникает вопрос о технологии нанесения покрытия из безводородного масла Fomblin на поверхности ловушки и вставки, но эта проблема существует и для варианта ловушки без вставки в связи с новой конструкцией установки.
Рассмотрена возможность дальнейшего увеличения базы экстраполяции за счет увеличения количества вставок. Новые вставки размещены аналогично первой вставке, но с уменьшением радиуса на 10 см для каждой последующей. Полученные значения точности измерения времени жизни нейтрона в результате энергетической экстраполяции в зависимости от количества вставок показаны на рис. 6. Также на графике показана точность измерения времени жизни нейтрона с использованием магнитной ловушки при тех же условиях. Магнитная ловушка захватывает меньшее по сравнению с материальной количество нейтронов из-за меньшего объема и возможности захвата только одной компоненты поляризации. Но с помощью магнитной ловушки можно измерить прямое время хранения, а при использовании материальной — нужно строить экстраполяцию, точность которой существенно меньше, чем точности используемых в ней времен хранения нейтронов. Таким образом, точность измерения времени жизни нейтрона с магнитной ловушкой лучше, чем с материальной при одинаковых условиях (одинаковая, если в материальной ловушке использовать 3 вставки).
Рис. 6. Относительная точность измерения времени жизни нейтрона с применением материальной ловушки в зависимости от количества вставок. Пунктирной линией показана точность измерения с магнитной ловушкой при аналогичных условиях.
ТУРБИННЫЙ ЭФФЕКТ
При взаимодействии УХН с движущимися поверхностями может происходить изменение их энергии (так называемый турбинный эффект). Следует отметить, что возможно как увеличение, так и уменьшение энергии нейтронов. В предыдущих экспериментах [4–7] с захватом УХН гравитационной ловушкой при помощи ее поворота ловушка была изготовлена так, чтобы иметь форму тела вращения, что необходимо для избежания турбинного эффекта. В работах [4, 5] использовали две сменные ловушки УХН разных размеров. Первая ловушка — квазисферическая, состоящая из цилиндра, который увенчан двумя усеченными конусами, вторая ловушка — цилиндрическая. В работах [6, 7] применяли одну цилиндрическую ловушку, в которую опускали путем поворота цилиндрическую вставку, имеющую ту же ось вращения, что и ловушка.
Поскольку поверхность предлагаемой в настоящей работе магнитной ловушки не имеет форму тела вращения, при ее поворотах будет возникать турбинный эффект. Методом Монте-Карло проведено моделирование данного эффекта на разных стадиях эксперимента. Вычислена трансформация нейтронного спектра с течением времени в зависимости от скорости поворота ловушки. Получено, что при захвате нейтронов ловушкой происходит, преимущественно, нагрев УХН, а при выпуске нейтронов на детектор — преимущественно, их охлаждение. Следствием нагрева нейтронов при захвате ловушкой может явиться возникновение эффекта “неполного наблюдения”, который состоит в том, что после короткого времени удержания из ловушки частично не успевают выйти нейтроны с энергией выше гравитационного барьера удержания. Для оценки величины данного эффекта проведена серия расчетов и получено, что систематическая ошибка отсутствует при угле детектирования больше 7.5°.
ДЕПОЛЯРИЗАЦИЯ УХН
В работе [17] приведены обоснование использования и примеры применения трех методик оценки вероятности деполяризации нейтронов при хранении в магнитной ловушке: классической, квантовомеханической и приближенной методики, основанной на вычислении отношения частот. Классическая методика заключается в численном решении системы дифференциальных уравнений Блоха для различных начальных данных и вычислении среднего значения величины , где — угол между средним значением спина нейтрона и индукцией магнитного поля. Квантовомеханическая методика основана на поиске собственных функций оператора Гамильтона взаимодействия магнитного момента нейтрона с магнитным полем. Эта методика заключается в вычислении вероятности деполяризации нейтрона в области ловушки, где магнитное поле удовлетворяет определенным требованиям. Приближенная методика состоит в расчете отношения частоты поворота магнитного поля к ларморовой частоте прецессии спина нейтрона в каждой точке шестимерного фазового пространства, усреднении этого отношения и последующем вычислении половины его квадрата.
На рис. 7 представлены результаты сравнения трех разработанных методик (частично описанных в [17]) в применении к траектории ультрахолодного нейтрона с начальными данными x0 = 4 мм, y0 = –4 мм, z0 = 160 мм, vx0 = 0.2 м/с, vy0 = 0 м/с, vz0 = –3 м/с. Выбор начальной точки был обусловлен необходимостью выполнения в ней требований, накладываемых на магнитное поле для возможности квантовомеханической оценки вероятности деполяризации аналитической функцией , модуль начальной скорости был взят близким к максимальной скорости УХН.
Рис. 7. Вероятность деполяризации УХН в зависимости от времени, вычисленная с помощью классической (1), квантовомеханической (2) и приближенной (3) методик.
Отметим, что, как показано в [17], число нейтронов, теряющихся в результате деполяризации, может быть оценено только после усреднения локальных значений по всему объему фазового пространства. Тем не менее представленный на рис. 7 пример служит доказательством того, что близкими друг к другу могут быть вероятности деполяризации, вычисленные вдоль выбранной траектории, а не только средние значения вероятностей.
Оценка вероятности деполяризации, выполненная по приближенной методике для всего объема хранения предлагаемой магнитной ловушки УХН, дала значение 7.2 × 10–10, что обеспечивает относительную ошибку измерения времени жизни нейтрона менее 10–4. Из этого следует, что применение новой ловушки в эксперименте по определению времени жизни нейтрона является принципиально возможным.
РЕАКТОРНЫЙ КОМПЛЕКС “ПИК”
Эксперимент с предлагаемой установкой планируется провести на строящемся источнике УХН на реакторе “ПИК” (Гатчина). Нейтронный исследовательский реактор “ПИК” мощностью 100 МВт призван стать современным крупномасштабным пользовательским центром на базе самого мощного в мире стационарного источника нейтронов непрерывного действия, способного удовлетворить национальный и мировой спрос на исследования с помощью нейтронных пучков в ближайшие десятилетия [18]. Источник УХН представляют из себя камеру со сверхтекучим гелием, расположенную на выведенном пучке канала “ГЭК-4” в условиях низкой тепловой нагрузки. При потоке холодных нейтронов с длиной волны λ = 9 Å, Ф = 1 × 109 см–2с–1Å–1 скорость производства УХН в сверхтекучем гелии составляет 100 см–3с–1. При такой производительности источника плотность УХН в экспериментальном объеме может достичь 200 см–3 [19]. На источнике запланирована программа исследования фундаментальных взаимодействий, включающая в себя измерение времени жизни нейтрона.
ЗАКЛЮЧЕНИЕ
Исследования, связанные с измерением времени жизни нейтрона при помощи хранения УХН в магнитных ловушках, в настоящее время активно развивают [20–23]. В настоящей работе предложена конструкция универсальной ловушки УХН. Проведение эксперимента по измерению времени жизни нейтрона в этом случае возможно при размещении в одной установке сразу двух ловушек нейтронов на одной оси — материальной и магнитной. В результате поворота системы измерения можно проводить в разных ловушках при одинаковых условиях. Предлагаемый в проекте гравитационный захват УХН поворотной магнитной ловушкой является принципиально новым подходом, который до этого никогда не осуществляли. Моделирование эксперимента с учетом турбинного эффекта и деполяризации УХН показало принципиальную возможность использования новой магнитной ловушки. Измерения с установкой запланированы на строящемся источнике УХН на реакторе ПИК.
ФИНАНСИРОВАНИЕ РАБОТЫ
Исследование выполнено при поддержке Российского научного фонда (грант № 23-22-00169, https://rscf.ru/project/23-22-00169/).
КОНФЛИКТ ИНТЕРЕСОВ
Авторы данной работы заявляют, что у них нет конфликта интересов.
About the authors
A. P. Serebrov
National Research Centre “Kurchatov Institute” — Petersburg Institute of Nuclear Research
Author for correspondence.
Email: serebrov_ap@pnpi.nrcki.ru
Russian Federation, Gatchina, 188300
A. K. Fomin
National Research Centre “Kurchatov Institute” — Petersburg Institute of Nuclear Research
Email: serebrov_ap@pnpi.nrcki.ru
Russian Federation, Gatchina, 188300
G. N. Klyushnikov
National Research Centre “Kurchatov Institute” — Petersburg Institute of Nuclear Research
Email: serebrov_ap@pnpi.nrcki.ru
Russian Federation, Gatchina, 188300
A. O. Koptyukhov
National Research Centre “Kurchatov Institute” — Petersburg Institute of Nuclear Research
Email: serebrov_ap@pnpi.nrcki.ru
Russian Federation, Gatchina, 188300
A. N. Murashkin
National Research Centre “Kurchatov Institute” — Petersburg Institute of Nuclear Research
Email: serebrov_ap@pnpi.nrcki.ru
Russian Federation, Gatchina, 188300
References
- Serebrov A.P., Fomin A.K. // Physics Procedia. 2011. V. 17. P. 199. https://doi.org/10.1016/j.phpro.2011.06.037
- Serebrov A.P. // Physics-Uspekhi. 2019. V. 62. P. 596. https://doi.org/10.3367/UFNe.2018.11.038475
- Workman R.L., Burkert V.D., Crede V., Klempt E., Thoma U., Tiator L., Agashe K., Aielli G., Allanach B.C., Amsler C., Antonelli M., Aschenauer E.C., Asner D.M., Baer H., Banerjee S., Barnett R.M., Baudis L., Bauer C.W., Beatty J.J., Belousov V.I., Beringer J., Bettini A., Biebel O. et al // Prog. Theor. Exp. Phys. 2022. V. 2022. P. 083C01. https://doi.org/10.1093/ptep/ptac097
- Serebrov A., Varlamov V., Kharitonov A., Fomin A., Pokotilovski Yu., Geltenbort P., Butterworth J., Krasnoschekova I., Lasakov M., Tal’daev R., Vassiljev A., Zherebtsov O. // Phys. Lett. B. 2005. V. 605. P. 72. https://doi.org/10.1016/j.physletb.2004.11.013
- Serebrov A.P., Varlamov V.E., Kharitonov A.G., Fomin A.K., Pokotilovski Yu.N., Geltenbort P., Krasnoschekova I.A., Lasakov M.S., Taldaev R.R., Vassiljev A.V., Zherebtsov O.M. // Phys. Rev. C. 2008. V. 78. P. 035505. https://doi.org/10.1103/PhysRevC.78.035505
- Serebrov A.P., Kolomensky E.A., Fomin A.K., Krasnoshchekova I.A., Vassiljev A.V., Prudnikov D.M., Shoka I.V., Chechkin A.V., Chaikovskiy M.E., Varlamov V.E., Ivanov S.N., Pirozhkov A.N., Geltenbort P., Zimmer O., Jenke T., Van der Grinten M., Tucker M. // JETP Lett. 2017. V. 106. P. 623. https://doi.org/10.1134/S0021364017220143
- Serebrov A.P., Kolomensky E.A., Fomin A.K., Krasnoshchekova I.A., Vassiljev A.V., Prudnikov D.M., Shoka I.V., Chechkin A.V., Chaikovskiy M.E., Varlamov V.E., Ivanov S.N., Pirozhkov A.N., Geltenbort P., Zimmer O., Jenke T., Van der Grinten M., Tucker M. // Phys. Rev. C. 2018. V. 97. P. 055503. https://doi.org/10.1103/PhysRevC.97.055503
- Ezhov V.F., Bazarov B.A., Geltenbort P., Kovrizhnykh N.A., Krygin G.B., Ryabov V.L., Serebrov A.P. // Tech. Phys. Lett. 2001. V. 27. P. 1055. https://doi.org/10.1134/1.1432348
- Ezhov V.F., Andreev A.Z., Glushkov A.A., Glushkov A.G., Groshev M.N., Knyazkov V.A., Krygin G.B., Ryabov V.L., Serebrov A.P., Bazarov B.A., Geltenbort P., Hartman F.J., Paul S., Picker R., Zimmer O., Kovrizhnykh N.A. // J. Res. Natl. Inst. Stand. Technol. 2005. V. 110. P. 345. https://doi.org/10.6028/jres.110.051
- Ezhov V.F., Andreev A.Z., Ban G., Bazarov B.A., Geltenbort P., Hartman F.J., Glushkov A.G., Groshev M.G., Knyazkov V.A., Kovrizhnykh N.A., Naviliat-Cuncic O., Krygin G.B., Mueller A., Paul S., Picker R., Ryabov V.L., Serebrov A., Zimmer O. // Nucl. Instrum. Methods Phys. Res. A. 2009. V. 611. P. 167. https://doi.org/10.1016/j.nima.2009.07.071
- Ezhov V.F., Andreev A.Z., Ban G., Bazarov B.A., Geltenbort P., Glushkov A.G., Knyazkov V.A., Kovrizhnykh N.A., Krygin G.B., Naviliat-Cuncic O., Ryabov V.L. // JETP Lett. 2018. V. 107. P. 671. https://doi.org/10.1134/S0021364018110024
- Walstrom P.L., Bowman J.D., Penttila S.I., Morris C., Saunders A. // Nucl. Instrum. Methods Phys. Res. A. 2009. V. 599. P. 82. https://doi.org/10.1016/j.nima.2008.11.010
- Salvat D.J., Adamek E.R., Barlow D., Bowman J.D., Broussard L.J., Callahan N.B., Clayton S.M., Cude-Woods C., Currie S., Dees E.B., Fox W., Geltenbort P., Hickerson K.P., Holley A.T., Liu C.-Y., Makela M., Medina J., Morley D.J., Morris C.L., Penttila S.I., Ramsey J., Saunders A., Seestrom S.J., Sharapov E.I., Sjue S.K.L., Slaughter B.A., Vanderwerp J., VornDick B., Walstrom P.L., Wang Z., Womack T.L., Young A.R. // Phys. Rev. C. 2014. V. 89. P. 052501. https://doi.org/10.1103/PhysRevC.89.052501
- Pattie R.W., Callahan N.B., Cude-Woods C., Adamek E.R., Broussard L.J., Clayton S.M., Currie S.A., Dees E.B., Ding X., Engel E.M., Fellers D.E., Fox W., Geltenbort P., Hickerson K.P., Hoffbauer M.A., Holley A.T., Komives A., Liu C.-Y., MacDonald S.W.T., Makela M., Morris C.L., Ortiz J.D., Ramsey J., Salvat D.J., Saunders A., Seestrom S.J., Sharapov E.I., Sjue S.K., Tang Z., Vanderwerp J., Vogelaar B., Walstrom P.L., Wang Z., Wei W., Weaver H.L., Wexler J.W., Womack T.L., Young A.R., Zeck B.A. // Science. 2018. V. 360. P. 627. https://doi.org/10.1126/science.aan8895
- Gonzalez F.M., Fries E.M., Cude-Woods C., Bailey T., Blatnik M., Broussard L.J., Callahan N.B., Choi J.H., Clayton S.M., Currie S.A., Dawid M., Dees E.B., Filippone B.W., Fox W., Geltenbort P., George E., Hayen L., Hickerson K.P., Hoffbauer M.A., Hoffman K., Holley A.T., Ito T.M., Komives A., Liu C.-Y., Makela M., Morris C.L., Musedinovic R., O’Shaughnessy C., Pattie R.W., Jr., Ramsey J., Salvat D.J., Saunders V, Sharapov E.I., Slutsky S., Su V., Sun X., Swank C., Tang Z., Uhrich W., Vanderwerp J., Walstrom P., Wang Z., Wei W., Young A.R. // Phys. Rev. Lett. 2021. V. 127. P. 162501. https://doi.org/10.1103/PhysRevLett.127.162501
- Serebrov A.P., Fomin A.K., Kharitonov A.G., Varlamov V.E., Chechkin A.V. // Tech. Phys. 2013. V. 58. P. 1681. https://doi.org/10.1134/S1063784213110224
- Klyushnikov G.N., Serebrov A.P. // JETP. 2023. V. 137. P. 316. https://doi.org/10.1134/S1063776123090054
- Kovalchuk M.V., Voronin V.V., Grigoriev S.V., Serebrov A.P. // Cryst. Rep. 2021. V. 66. P. 195. https://doi.org/10.1134/S1063774521020061
- Fomin A.K., Serebrov A.P. // J. Surf. Invest.: X-ray, Synchrotron Neutron Tech. 2022. V. 16. P. 1012. https://doi.org/10.1134/S1027451022060088
- Materne S., Picker R., Altarev I., Angerer H., Franke B., Gutsmiedl E., Hartmann F.J., Müller A.R., Paul S., Stoepler R. // Nucl. Instrum. Methods. Phys. Res. A. 2009. V. 611. P. 176. https://doi.org/10.1016/j.nima.2009.07.055
- Leung K.K.H., Geltenbort P., Ivanov S., Rosenau F., Zimmer O. // Phys. Rev. C. 2016. V. 94. P. 045502. https://doi.org/10.1103/PhysRevC.94.045502
- Bazarov B.A., Ezhov V.F., Kovrizhnykh N.A., Ryabov V.L., Andreev A.Z., Glushkov A.G., Knyaz’kov V.A., Krygin G.B. // Tech. Phys. Lett. 2016. V. 42. P. 663. https://doi.org/10.1134/S1063785016070038
- Roß K.U., Towards a High Precision Measurement of the Free Neutron Lifetime with tauSPECT. Ph.D. thesis, Mainz: Johannes Gutenberg Universität. 2021. http://doi.org/10.25358/openscience-6540
Supplementary files









