Fractal properties of the Nd100–xFex alloys surface in the fractal thermodynamics model
- Authors: Mikheev S.A.1, Semenova E.M.1, Pastushenkov Y.G.1, Tsvetkov V.P.1, Tsvetkov I.V.1
-
Affiliations:
- Tver State University
- Issue: No 3 (2024)
- Pages: 105-112
- Section: Articles
- URL: https://journals.rcsi.science/1028-0960/article/view/259430
- DOI: https://doi.org/10.31857/S1028096024030157
- EDN: https://elibrary.ru/hdhpbd
- ID: 259430
Cite item
Full Text
Abstract
The study of the fractal properties of the surface of Nd100–xFex alloys in a wide range of concentrations х (х = 20–90) was carried out in the framework of the fractal thermodynamics model. To this end, we performed an analysis of images obtained by (scanning electron?) microscopy of the surfaces of a series of Nd100–xFex alloys synthesized by induction melting. A high degree of proximity of the surface structure of all the studied samples, both before and after etching, to fractals is shown. The values of the parameter δ characterizing the relative deviation of the studied samples from the fractal are in the range of 0.017–0.029. Three-dimensional diagrams of the fractal parameters Sf , Tf , Ef , x and two-dimensional diagrams of the same parameters: Sf , Tf , Ef , x, reflecting the nature of the state of the surfaces of Nd100–xFex alloy samples before and after etching, are constructed. For all investigated samples of alloys, the values of the parameters of the fractal equations of state arecalculated. The correlation of the maximum value of the coercive force Hc = 4.8 kE with the values of fractal entropy Sf = 39.86, fractal temperature Tf = 529, and fractal dimension D = 2.6530 of the Nd100–xFex alloys at x = 20 has been established.
Full Text
ВВЕДЕНИЕ
Бинарные сплавы редкоземельных металлов с железом вызывают значительный интерес исследователей как с научной, так и с практической точек зрения. Исследования фазового состава и магнитных свойств сплавов системы Nd–Fe в различных структурных состояниях позволяют более глубоко понять природу коэрцитивной силы, способствуют формированию банка данных интерметаллических соединений и построению общих моделей, описывающих свойства редкоземельных сплавов. Сплавы Nd–Fe можно рассматривать как модельные системы, их изучение дает возможность глубже понять механизмы формирования структуры и высококоэрцитивного состояния в материалах, для которых они являются базовыми, например, в постоянных магнитах Nd–Fe–B. Кроме того, применение специальных методов, например, быстрой закалки, дает возможность реализовать в сплавах Nd–Fe высокие значения коэрцитивной силы, что позволяет рассматривать их как перспективные функциональные материалы [1–6].
В последние годы фракталам находят широкое применение для анализа изображений морфологии и доменной структуры магнитных материалов [6–12]. В связи с этим целью настоящей работы являлось исследование фрактальных свойств поверхности сплавов Nd100–xFex в широком интервале концентраций (х = 90, 80, 70, 60, 50, 40, 30, 25, 20) в рамках модели фрактальной термодинамики [10–18]. Для этого нами проведен анализ изображений, полученных методом растровой электронной микроскопии, поверхностей серий поликристаллических сплавов Nd100–xFex, синтезированных методом индукционной плавки.
Фрактальная термодинамика – это направление изучения фрактальных систем, являющееся примером более общей концепции применения методов тропической математики к проблемам термодинамики различных динамических систем, предложенной и развиваемой В.П. Масловым [19].
Элементарные сведения из теории фракталов и определение фрактальной размерности поверхностей сплавов Nd100–xFex
Для выработки критерия отклонения исследуемой поверхности от фракталов сформулируем конструктивное определение фрактальных множеств (фракталов), которое базируется на основных свойствах фракталов. Фракталы – это множества, которые, будучи вложенными в n-мерное евклидово пространство, могут быть покрыты элементарными фигурами этого пространства со степенной зависимостью их числа N от размеров сторон h этих фигур.
Отсюда следуют два соотношения:
N(h) = Γh–D. (1а)
или
logN(h) = logΓ – Dlogh. (1б)
где D – фрактальная размерность фрактального множества; Γ – его D-мерный (фрактальный) объем. Это следует из соотношения (1а), которое можно представить в виде:
Γ = N(h)hD. (2)
Исследуемое множество считается фракталом, если выполнено условие D < n, то есть фрактальная размерность строго меньше топологической.
Соотношения (1а) и (1б) применены нами в программе Gwyddion для расчета фрактальных параметров D, Γ поверхности серии сплавов Nd100–xFex. Сплавы Nd100–xFex были получены методом индукционной плавки в Научно-исследовательской лаборатории магнитных материалов Центра коллективного пользования научной аппаратурой и оборудованием Тверского государственного университета [2]. В образцах данной группы морфологию можно было наблюдать на полированных шлифах. Это связано с тем, что сами структурные составляющие образцов имеют характерный цвет, кроме того, в процессе полировки алмазными пастами и при промывке в этиловом спирте происходит процесс травления. В необходимых случаях для получения более контрастной картины морфологии применяли метод химического или электролитического травления.
Поскольку поверхности сплавов Nd100–xFex обладают трехмерными свойствами (свидетельством чего является существенное превышение фрактальной размерности значения 2), то в этой программе метод подсчета числа фигур N напрямую следует из определения фрактальной размерности (1a) и (1б), основанной на подсчете числа кубиков, покрывающих исследуемую поверхность. В основе алгоритма программы лежат следующие шаги: кубическая решетка с постоянной решетки h накладывается на поверхность. Изначально h задается равной L/2 (где L – длина края поверхности), в результате получается решетка из 2 × 2 × 2 = 8 кубов. Тогда N(h) это число всех кубов, содержащих хотя бы один пиксель изображения. Постоянная решетки h на каждом шаге уменьшается в два раза, и процесс повторяется до тех пор, пока h не станет равной расстоянию между двумя соседними пикселями. Наклон графика зависимости log(N(h)) от log(h) напрямую дает фрактальную размерность D.
На рис. 1–3 представлены изображения морфологии поверхности серии сплавов Nd100–xFex до и после кислотного травления.
Рис. 1. Образец Nd10Fe90 до (а) и после (б) травления.
Рис. 2. Образец Nd30Fe70 до (а) и после (б) травления.
Рис. 3. Образец Nd70Fe30 до (а) и после (б) травления.
Определение фрактальной размерности производили при помощи программы Gwyddion – модульной программы анализа данных, изначально предназначенной для обработки данных сканирующей зондовой микроскопии [20]. В первую очередь она предназначена для анализа высоты рельефа, полученной различными техниками сканирующей зондовой микроскопии, но в общем случае ее можно использовать для анализа любых высот или изображений. Gwyddion является свободным программным обеспечением с открытым исходным кодом, выпущенным под лицензией GNU General Public License (GNU GPL).
Соотношения (1а) и (1б) позволяют составить следующий алгоритм вычисления фрактальной размерности исследуемых множеств.
Возьмем последовательность значений hk, k = (1…K) и построим множество элементарных кубиков со сторонами hk, покрывающими исследуемое множество. Значения hk представим в единицах разрешения рисунка. В программе Gwyddion нами использована последовательность hk = 100.693147k (k = 0…9). Число полученных кубиков обозначим как Nk. Аппроксимируя зависимость Nk от hk степенной функцией (1a) N(h) найдем значения фрактальных параметров D, Γ. В дважды логарифмических координатах logN(h) и logh для близких к фрактальным объектам степенная функция будет линейной.
Степень относительного отклонения δ поверхности серии сплавов Nd100–xFex от фрактала может быть оценена по формуле:
(3)
Подробные оценки и графические иллюстрации величины δ поверхности образца Nd70Fe30 после травления приведены на рис. 4. На рис. 5 приведен график зависимости степени относительного отклонения поверхности δ серии сплавов Nd100–xFex от фрактала. Из графика на рис. 6 следует, что все значения δ исследуемых образцов заключены в интервале 0.017–0.029. Из этой оценки следует высокая степень близости структуры поверхности образцов Nd100–xFex, как до травления, так и после, к фракталам.
Рис. 4. Функция N(h) в дважды логарифмических координатах для снимка образца Nd70Fe30 после травления.
Рис. 5. График зависимости δ(x) образцов до (1) и после (2) травления.
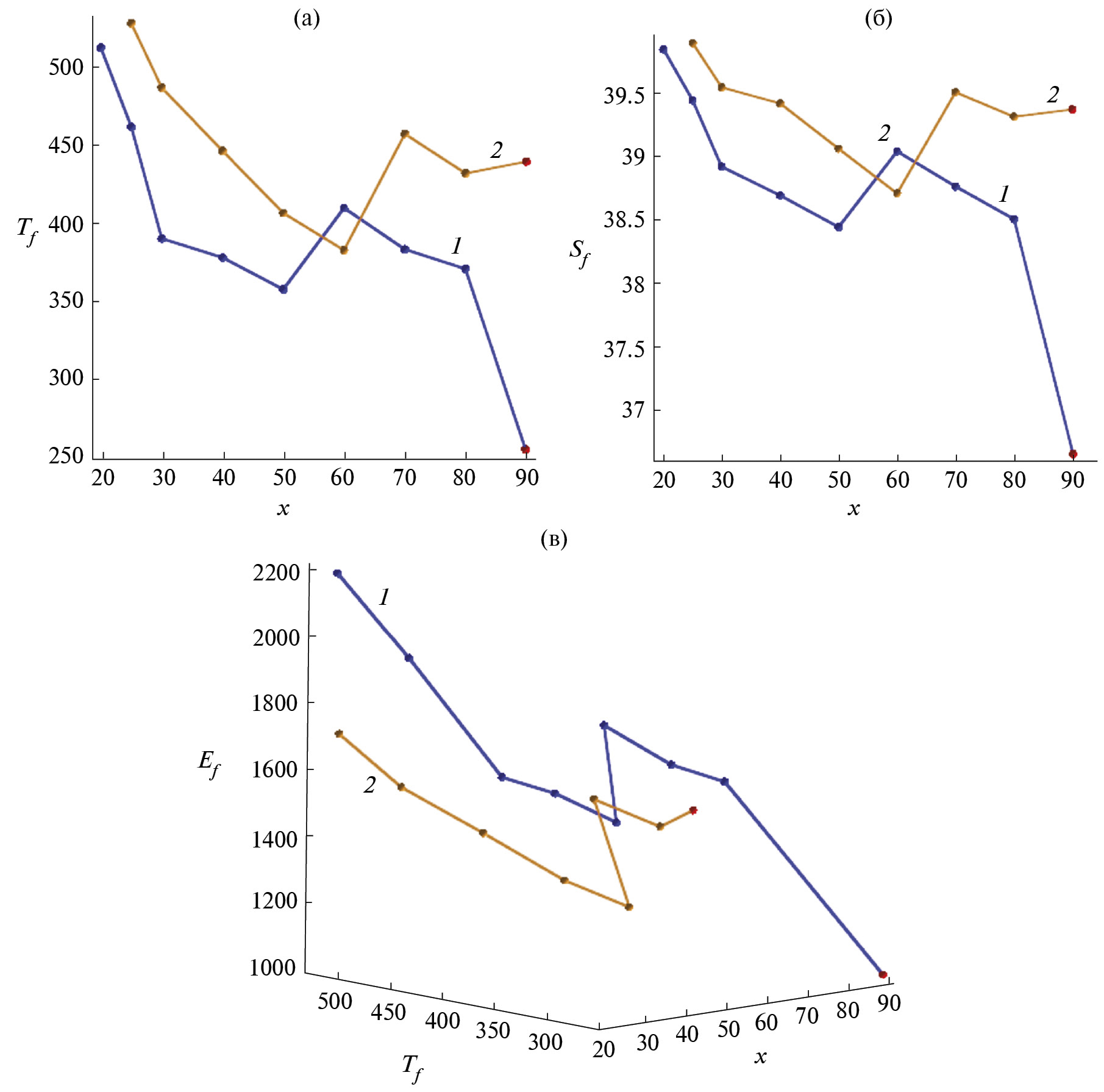
Рис. 6. Трехмерная диаграмма состояния Sf, Tf, x образцов до (1) и после (2) травления.
В дальнейшем мы вместо фрактального объема Γ мы будем использовать по аналогии со статистической физикой фрактальную энтропию Sf = lnΓ [15, 16, 18]. Для вычисления фрактальных параметров D и Sf поверхности образцов Nd100–xFex в среде компьютерной алгебры Maple [21] нами были разработаны и реализованы программы. Результаты вычислений представлены в табл. 1.
Таблица 1. Результат вычисления фрактальных параметров для образцов Nd100–xFex до и после травления
x | До травления | После травления | ||||
D | Tf | Sf | D | Tf | Sf | |
90 | 2.3616 | 255.2320 | 36.6525 | 2.5928 | 439.3049 | 39.3806 |
80 | 2.5294 | 370.8395 | 38.5095 | 2.5866 | 431.7835 | 39.3224 |
70 | 2.5424 | 383.3608 | 38.7687 | 2.6064 | 456.9652 | 39.5171 |
60 | 2.5676 | 409.7354 | 39.0474 | 2.5418 | 382.8000 | 38.7139 |
50 | 2.5150 | 357.7809 | 38.4473 | 2.5647 | 406.5059 | 39.0681 |
40 | 2.5370 | 378.0639 | 38.6980 | 2.5982 | 446.2008 | 39.4282 |
30 | 2.5492 | 390.2306 | 38.9256 | 2.6274 | 486.5354 | 39.5560 |
25 | 2.6098 | 461.4703 | 39.4546 | 2.6530 | 527.5177 | 39.9085 |
20 | 2.6437 | 511.9386 | 39.8597 | – | – | – |
Из данных табл. 1 следует, что фрактальная размерность D поверхности кристаллов образцов Nd100–xFex, до травления, составила 2.3616 ≤ D ≤ 2.64371, и после травления 2.5418 ≤ D ≤ 2.6653. Эти значения значительно отличаются от фрактальной размерности гладкой поверхности равной 2, что указывает на появление заметно выраженных трехмерных свойств у поверхностей образцов, как до травления, так и после.
Значения фрактальной энтропии образцов Sf заключены в пределах 36.6525 ≤ Sf ≤ 39.8597 до травления и 38.7139 ≤ Sf ≤ 39.9085 после травления.
Из приведенных оценок можно сделать вывод, что процесс травления приводит к увеличению как нижнего, так и верхнего пределов фрактальной размерности и фрактальной энтропии образцов.
ФРАКТАЛЬНАЯ ТЕРМОДИНАМИКА СОСТОЯНИЙ ПОВЕРХНОСТИ ОБРАЗЦОВ Nd100-xFex
Анализ динамики фрактальной структуры поверхности образцов Nd100–xFex (х = 90, 80, 70, 60, 50, 40, 30, 25, 20) проведен на основе модели фрактальной термодинамики.
Кратко изложим ее основные методы и подходы.
Наряду с фрактальной энтропией Sf введем в рассмотрение фрактальную температуру Tf [17], являющуюся функцией фрактальной размерности D:
, (4)
где a – показатель масштаба фрактальной температуры.
Из (4) следует, что при D = 0 значение Tf = 0. Соответствие между параметрами Tf и D представлены в табл. 1. Параметры Sf и Tf представляют собой фрактальные параметры состояния поверхности образцов. Поскольку фрактальные параметры Γ и D связаны соотношением (1), то между фрактальной энтропией Sf, и фрактальной температурой Tf должна быть функциональная зависимость, отражающая структуру динамической системы, описываемой данным фракталом. Характер этой зависимости и определяет фрактальное уравнение состояния (ФУС) поверхности образцов. В связи с тем, что Sf = 0 при Tf = 0, то конкретный вид ФУС выберем в виде степенной функции:
Sf = ATfγ. (5)
Показатель степени γ будем называть индексом ФУС.
Наряду с Sf и Tf представляет интерес ввести фрактальный параметр состояния Ef – фрактальную энергию, которая характеризует фрактальные свойства изучаемой системы на основе соотношения:
dEf = Tf–1dSf. (6)
Подставляя (5) в (6) и интегрируя полученное выражение, имеем:
(7)
Коэффициент a в формуле расчета фрактальной температуры Tf (4) нами взят равным 207 из соображений приведения в соответствие фрактальной и абсолютной шкал температур. Используя данные табл. 1 и формулу (4), получаем зависимость фрактальных термодинамических параметров Tf и Sf для всех снимков, приведенных на рис. 6. Результаты представлены в табл. 2.
Из данных табл. 2 следует, что индексы ФУС γ после травления образцов уменьшаются в 1.38 раза. Предстепенные коэффициенты A для всех образцов отличаются от их среднего значения = 18.8484 до травления не более чем на 0.079, а после травления 0.039. Проведенные нами оценки параметров ФУС A и γ показали, что степенной характер зависимости фрактальных параметров состояния поверхности образцов Nd100–xFex Sf и Tf выполняется с высокой степенью точности, порядка 10–3.
Таблица 2. Индексы ФУС γ и коэффициенты A для образцов Nd100–xFex до и после травления
x | До травления | После травления | ||
A | γ | A | γ | |
90 | 18.7608 | 0.1208 | 23.1010 | 0.08766 |
80 | 18.8412 | 23.1018 | ||
70 | 18.8921 | 23.1011 | ||
60 | 18.8755 | 22.9856 | ||
50 | 18.8924 | 23.0741 | ||
40 | 18.8893 | 23.0974 | ||
30 | 18.9278 | 22.9971 | ||
25 | 18.8002 | 23.0381 | ||
20 | 18.7566 | – | – | |
Все это дает основание для успешного применения фрактальной термодинамики при анализе структуры поверхностей образцов Nd100–xFex.
ВИЗУАЛИЗАЦИЯ ЗАВИСИМОСТЕЙ ФРАКТАЛЬНЫХ ТЕРМОДИНАМИЧЕСКИХ ПАРАМЕТРОВ Sf И Tf
Наглядно фрактальные свойства поверхности образцов Nd100–xFex (x = 90, 80, 70, 60, 50, 40, 30, 25, 20) наглядно представлены в виде диаграмм состояния, приведенной на рис. 7–9. Трехмерная диаграмма состояния (Sf, Tf, X) поверхности образцов Nd100–xFex в зависимости от состава до и после травления представлена на рис. 7. Проекции этой трехмерной диаграммы состояния Sf, Tf дают двумерные диаграммы состояния. Трехмерная диаграмма состояния Ef, Tf , x представлена на рис. 8. Проекции этой трехмерной диаграммы состояния Ef, Tf, x дают двумерные диаграммы состояния Ef, Tf (рис. 9).
Рис. 7. Диаграммы состояния Sf, Tf образцов до (1) и после (2) травления в разных масштабах.
Рис. 8. Диаграммы состояния Tf (а) Sf (б), трехмерная диаграмма состояния Ef, Tf, x (в) образцов до (1) и после (2) травления.
Рис. 9. Диаграммы состояния Ef (Tf) образцов до (1) и после (2) травления.
Морфология, фазовый состав и магнитные свойства литых и быстрозакаленных сплавов Nd–Fe, использованных в данной работе, ранее были подробно изучены в работе [2].
Представляет несомненный интерес сравнить полученные нами результаты по исследованию фрактальных свойств поверхностей сплавов Nd100–xFex с результатами по изучению коэрцитивной силы Hc этих сплавов, приведенными в [2]. Они представлены на рис. 10.
Рис. 10. Концентрационная зависимость коэрцитивной силы быстрозакаленных сплавов Nd100-xFexx, полученных методом разлива расплава на медную плиту
Рисунки 8–10 показывают, что максимальные значения коэрцитивной силы Hc = 4.8 кЭ, фрактальной энтропии Sf = 39.86, фрактальной температуры Tf = 529, фрактальной размерности D = 2.6530 сплавов Nd100–xFex достигаются при значении x = 20. Что говорит о тесной связи содержания неодима в сплаве, сложности поверхности образца и его коэрцитивной силы.
ЗАКЛЮЧЕНИЕ
Проведенное нами исследование изображений поверхностей сплавов с различным составом до и после кислотного травления позволяет сформулировать следующие основные результаты.
Показана высокая степень близости структуры поверхности всех исследованных образцов как до травления, так и после, к фракталам. Значения параметра δ, характеризующего относительное уклонение исследуемых образцов от фрактала заключены в интервале 0.017–0.029.
Было установлено, что уклонение поверхностей сплавов Nd100–xFex от фракталов составляет величину не более 3 × 10–2. Разработанное одними из авторов настоящей статьи новое направление в исследовании свойств фракталов – “фрактальная термодинамика” [14] – позволяет выявлять принципиально новые закономерности структуры поверхностей серии сплавов Nd100–xFex.
В рамках концепции фрактальной термодинамики построены трехмерные и двумерные диаграммы, отображающие характер состояния поверхностей образцов Nd100–xFex, до травления и после травления.
Установлена корреляция максимального значения коэрцитивной силы Hc = 4.8 кЭ со значениями фрактальной энтропии Sf = 39.86, фрактальной температуры Tf = 529 и фрактальной размерности D = 2.6530 сплавов Nd100–xFex при x = 20.
ФИНАНСИРОВАНИЕ РАБОТЫ
Авторы выражают глубокую благодарность В.П. Маслову за поддержку как разработки теоретических основ модели фрактальная термодинамика, так и ее применения для исследования фрактальных свойств конкретных физических систем. Исследования выполнены при поддержке Минобрнауки РФ в рамках выполнения государственного задания в сфере научной деятельности (проект № 0817-2023-0006) на оборудовании ЦКП ТвГУ.
Конфликт интересов. Авторы данной статьи заявляют, что у них нет конфликта интересов.
About the authors
S. A. Mikheev
Tver State University
Email: mancu@mail.ru
Russian Federation, 170100, Tver
E. M. Semenova
Tver State University
Email: mancu@mail.ru
Russian Federation, 170100, Tver
Yu. G. Pastushenkov
Tver State University
Email: mancu@mail.ru
Russian Federation, 170100, Tver
V. P. Tsvetkov
Tver State University
Email: mancu@mail.ru
Russian Federation, 170100, Tver
I. V. Tsvetkov
Tver State University
Author for correspondence.
Email: mancu@mail.ru
Russian Federation, 170100, Tver
References
- Llamazares S., Calderon F., Bolzoni F., Leccabue F., Hua X.R., Nozieres J.P. // J. Magn. Magn. Mat. 1990. V. 86. P. 307.
- Karpenkov A.Y., Skokov K.P., Dunaeva G.G., Semeno-va E.M., Lyakhova M.B., Pastushenkov Yu.G. // J. Phys. D: Appl. Phys. 2022. V. 55. Iss. 45. P. 455002. https://doi.org/10.1088/1361-6463/ac90d2
- Zhdanova O.V., Lyakhova M.B., Pastushenkov Yu.G. // Phys. Metals Metallography. 2011. V. 112. Iss. 3. P. 224. https://doi.org/10.1134/S0031918X11030306
- Van Ende M.A., Jung I.H. // J. Alloys Compd. 2013. V. 548. P. 133. https://doi.org/10.1016/j.jallcom.2012.08.127
- Menushenkov V.P., Andersen S.J., Hoeier R. Electron-microscopy investigations of microstructure in Fe-Nd alloys // Magnetic Anisotropy and Coercivity in Rare-Earth Transition Metal Alloys. Proceedings. P. 97.
- Landgraf F.J.G., Schneider G.S., Villas-Boas V., Missell F.P. // J. Less Common Metals. 1990. V. 163. Iss. 1. P. 209. https://doi.org/10.1016/0022-5088(90)90101-O
- Kim D.-H., Cho Y.-Ch., Choe S.-B., Shin S.-Ch. // Appl. Phys. Lett. 2003. V. 82. P. 3698.
- Bathany C., Romancer M.L., Armstrong J.N., Chop- ra H.D. // Phys. Rev. B. 2010. V. 82. P. 184411. https://doi.org/10.1103/PhysRevB.82.184411
- Catalan G., Béa H., Fusil S., Bibes M., Paruch P., Barthélémy A., Scott J.F. // Phys. Rev. Lett. 2008. V. 100. P. 027602. https://doi.org/10.1103/PhysRevLett.100.027602
- Картузов В.В., Дмитришина Я.Ю. // Электронная обработка материалов. 2015. Т. 51. № 2. С. 31.
- Bucher J.P. // European J. Phys. 1991. V. 12. № 3.
- Lisovskii F.V., Lukashenko L.I., Mansvetova E.G. // JETP Lett. 2004. V. 79. P. 352. https://doi.org/10.1134/1.1765181
- Семенова Е.М., Иванов Д.В., Ляхова М.Б. и др. // Известия РАН: Сер. Физ. 2021. Т. 85. № 9. С. 1245.
- Mikheev S.A., Paramonova E.K., Tsvetkov V.P., Tsvet kov I.V. // Russ. J. Mathematical Phys. 2021. V. 28. P. 251.
- Tsvetkov V.P., Mikheyev S.A., Tsvetkov I.V. // Chaos, Solitons & Fractals. 2018. V.108. P. 71.
- Paramonova E., Kudinov A., Mikheev S., Tsvetkov V., Tsvetkov I. Fractal thermodynamics, big data and its 3D visualization // CEUR Workshop Proc. 2021. V. 3041. P. 38.
- Tsvetkov V.P., Mikheev S.A., Tsvetkov I.V., Derbov V.L., Gusev A.A., Vinitsky S.I. // Chaos, Solitons & Fractals. 2022. V. 161. P. 112301.
- Мейсурова А.Ф., Цветков В.П., Цветков И.В., Нотов А.А. // Вестник Тверского государственного университета. Серия: Биология и экология. 2022. № 1. Вып. 65. С. 180.
- Maslov V.P. // J. Math. Phys. 2016. V. 23. Iss. 2. P. 278.
- Gwyddion – Free SPM (AFM, SNOM/NSOM, STM, MFM) data analysis software (2021) Department of Nanometrology, Czech Metrology Institute. http://gwyddion.net
- Maple: эффективный инструмент для решения математических задач (2023) Waterloo Maple Inc., Canada. https://www.maplesoft.com/demo/streaming/Maple 15Russian.aspx
Supplementary files












