Ядерные тормозные способности для DFT-потенциалов с притягивающей ямой
- Авторы: Бабенко П.Ю.1, Зиновьев А.Н.1
-
Учреждения:
- Физико-технический институт им. А.Ф. Иоффе РАН
- Выпуск: № 11 (2023)
- Страницы: 101-106
- Раздел: Статьи
- URL: https://journals.rcsi.science/1028-0960/article/view/232228
- DOI: https://doi.org/10.31857/S1028096023110055
- EDN: https://elibrary.ru/LXSTNO
- ID: 232228
Цитировать
Полный текст
Аннотация
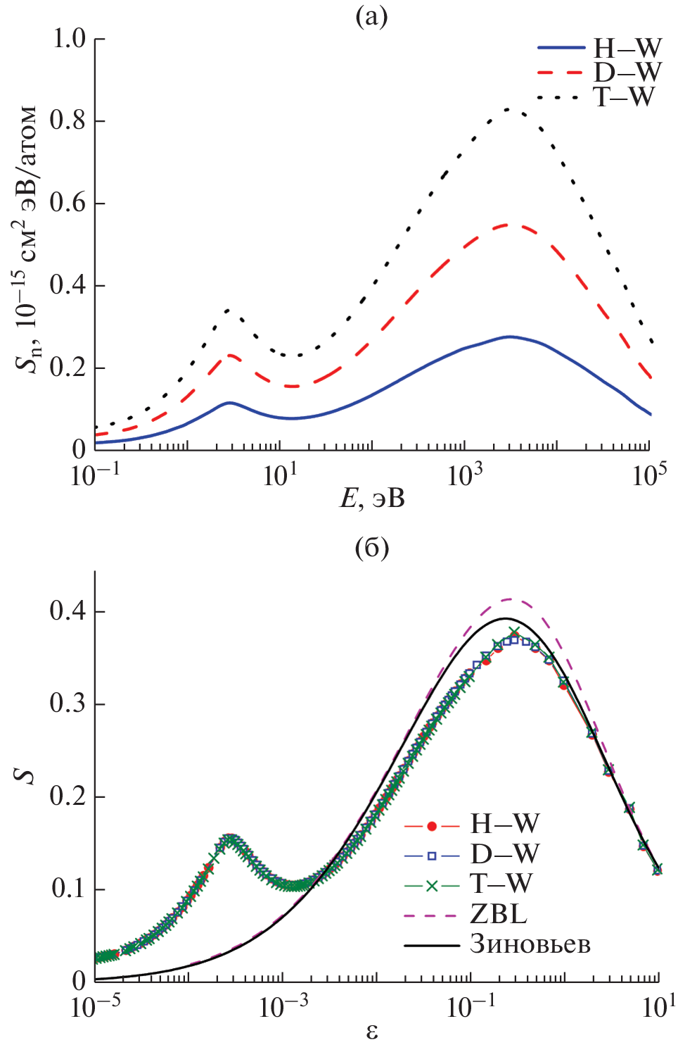
С использованием потенциалов взаимодействия, полученных в рамках теории функционала плотности, рассчитаны ядерные тормозные способности для систем H, D, T–Be, C, W, необходимые для расчета взаимодействия плазма–стенка в термоядерных исследованиях, а также для систем Kr–Si, Kr–Ge, O–Si, применяемых при ионной имплантации в полупроводники. В диапазоне значений энергии столкновения 10–1000 эВ полученные данные отличаются от данных SRIM на 15–70%. Наличие потенциальной ямы приводит к появлению дополнительного пика на зависимости сечения ядерного торможения при низких энергиях. Сравнение классических расчетов транспортного сечения с квазиклассическими показало их идентичность при энергии до 0.3 эВ.
Об авторах
П. Ю. Бабенко
Физико-технический институт им. А.Ф. Иоффе РАН
Email: zinoviev@inprof.ioffe.ru
Россия, 194021, Санкт-Петербург
А. Н. Зиновьев
Физико-технический институт им. А.Ф. Иоффе РАН
Автор, ответственный за переписку.
Email: zinoviev@inprof.ioffe.ru
Россия, 194021, Санкт-Петербург
Список литературы
- Lindhard J., Scharff M., Schiott H.E. // Mat. Fys. Medd. Dan. Vid. Selsk. 1963. V. 33. P. 1.
- Improvement of the Reliability and Accuracy of Heavy Ion Beam Analysis. Technical Reports Series. № 485 / Ed. A. Simon. Vienna: IAEA, 2019. 198 p.
- Zinoviev A.N. // Nucl. Instrum. Methods Phys. Res. B. 2011. V. 269. P. 829. https://doi.org/10.1016/j.nimb.2010.11.074
- Zinoviev A.N., Nordlund K. // Nucl. Instrum. Methods Phys. Res. B. 2017. V. 406. P. 511. https://doi.org/10.1016/j.nimb.2017.03.047
- Naqvi S.R., Possnert G., Primetzhofer D. // Nucl. Instrum. Methods Phys. Res. B. 2016. V. 371. P. 76. https://doi.org/10.1016/j.nimb.2015.09.048
- Grahmann H., Kalbitzer S. // Nucl. Instrum. Methods Phys. Res. 1976. V. 132. P. 119. https://doi.org/10.1016/0029-554X(76)90720-5
- Jedrejcic D., Greife U. // Nucl. Instrum. Methods Phys. Res. B. 2018. V. 428. P. 1. https://doi.org/10.1016/j.nimb.2018.04.039
- Shnidman R., Tapphorn R.M., Geller K.N. // Appl. Phys. Lett. 1973. V. 22. P. 551. https://doi.org/10.1063/1.1654504
- Glazov L.G., Sigmund P. // Nucl. Instrum. Methods Phys. Res. B. 2003. V. 207. P. 240. https://doi.org/10.1016/S0168-583X(03)00461-0
- Krist Th., Mertens P., Biersack J.P. // Nucl. Instrum. Methods Phys. Res. B. 1984. V. 2. P. 177. https://doi.org/10.1016/0168-583X(84)90183-6
- Krstic P.S., Schultz D.R. // Phys. Plasmas. 2006. V. 13. P. 053 501. https://doi.org/10.1063/1.2199808
- Schultz D.R., Krstic P.S. // Phys. Plasmas. 2002. V. 9. P. 64. https://doi.org/10.1063/1.1419056
- Риссел Х., Руге И. Ионная имплантация. М.: Наука, 1983. 359 с.
- Ландау Л.Д., Лифшиц Е.М. Квантовая механика. М.: Наука, 1989. 767 с.
- Мотт Н., Месси Г. Теория атомных столкновений. М.: Мир, 1969. 756 с.
- Zinoviev A.N. // Tech. Phys. 2008. V. 53. P. 13. https://doi.org/10.1134/S1063784208010039
- DMol Software, 1997 Version. DMol is a Trademark of AccelRys. Inc.
- Meluzova D.S., Babenko P.Yu., Shergin A.P., Nordlund K., Zinoviev A.N. // Nucl. Instrum. Methods Phys. Res. B. 2019. V. 460. P. 4. https://doi.org/10.1016/j.nimb.2019.03.037
- Zinoviev A.N., Babenko P.Yu., Nordlund K. // Nucl. Instrum. Methods Phys. Res. B. 2021. V. 508. P. 10. https://doi.org/10.1016/j.nimb.2021.10.001
- Luo Y.R. Comprehensive Handbook of Chemical Bond Energies. Boca Raton: CRC Press, 2007. 1688 p. https://doi.org/10.1201/9781420007282
- Darwent B. Bond Dissociation Energies in Simple Molecules. NSRDS-NBS. 31. 1970.
- Радциг А.А., Смирнов Б.М. Справочник по атомной и молекулярной физике. М.: Атомиздат, 1980. 240 с.
- Никольский Б.П. Справочник химика. Т. 1. Л.: Химия, 1966. 1072 с.
- NIST Data Base. https://webbook.nist.gov/chemistry/
- Ziegler J.F., Biersack J.P., Littmark U. The Stopping and Range of Ions in Solids, The Stopping and Range of Ions in Matter. V. 1. New York: Pergamon, 1985. 321p.
- Ziegler J.F., Biersack J.P. SRIM. http://www.srim.org
- Бабенко П.Ю., Зиновьев А.Н. // ЖТФ. 2021. Т. 91. С. 1901. https://doi.org/10.21883/JTF.2021.12.51754.199-21
- Firsov O.B. // Sov. Phys. JETP. 1958. V. 7. P. 308.
Дополнительные файлы







