Нейтронная рефлектометрия в сверхрешетках с сильно поглощающими редкоземельными металлами (Gd, Dy)
- Авторы: Антропов Н.О.1, Кравцов Е.А.1,2
-
Учреждения:
- Институт физики металлов им. М.Н. Михеева УрО РАН
- Уральский федеральный университет
- Выпуск: № 8 (2023)
- Страницы: 11-15
- Раздел: Статьи
- URL: https://journals.rcsi.science/1028-0960/article/view/137791
- DOI: https://doi.org/10.31857/S1028096023070038
- EDN: https://elibrary.ru/TBULYL
- ID: 137791
Цитировать
Полный текст
Аннотация
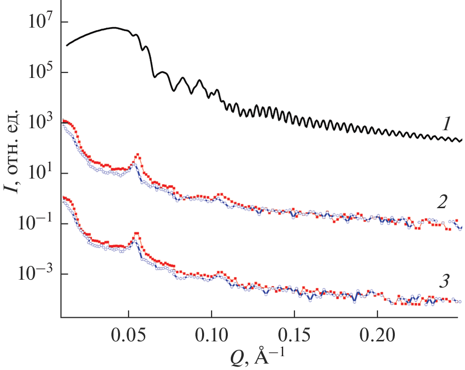
Методом рефлектометрии поляризованных нейтронов проведено исследование сверхрешеток Dy/Gd с различным соотношением толщин слоев Dy и Gd: 1 : 1, 2 : 1, 3 : 1. Экспериментально показано, что формирование геликоидального магнитного упорядочения в слоях Dy с периодом, не соизмеримым с периодом сверхрешетки, проявляется в возникновении магнитного сверхрешеточного рефлекса, который запрещен из-за равенства толщин чередующихся слоев Dy и Gd с соотношением 1 : 1. В остальном формирование геликоидального магнитного упорядочения мало сказывается на форме нейтронных рефлектометрических кривых. Таким образом, оптимизация структуры редкоземельных сверхрешеток для нейтронного рефлектометрического эксперимента позволяет детектировать в сверхрешетках геликоидальное магнитное упорядочение с периодом, не соизмеримым со структурным сверхрешеточным упорядочением.
Об авторах
Н. О. Антропов
Институт физики металлов им. М.Н. Михеева УрО РАН
Автор, ответственный за переписку.
Email: nikolayantropovekb@gmail.com
Россия, 620990, Екатеринбург
Е. А. Кравцов
Институт физики металлов им. М.Н. Михеева УрО РАН; Уральский федеральный университет
Автор, ответственный за переписку.
Email: kravtsov@imp.uran.ru
Россия, 620990, Екатеринбург; Россия, 620002, Екатеринбург
Список литературы
- Rhyne J.J., Erwin R.W. Magnetism in Artificial Metallic Superlattices of Rare Earth Metals // Handbook of Magnetic Materials. V. 8. / Ed. Buschow K.H.J. Elsevier, 1995.
- Salamon M.B., Sinha Sh., Rhyne J.J., Cunningham J.E., Erwin R.W., Borchers J., Flynn C.P. // 1986. Phys. Rev. Lett. V. 56. P. 259. https://doi.org/10.1103/PhysRevLett.56.259
- Majkrzak C.F., Kwo J., Yjng M., Yafet Y., Gibbs D., Chen C.L., Bohr J. // Adv. Phys. 1991. V. 40. P. 99. https://doi.org/10.1080/00018739100101482
- Majkrzak C.F. // Physica B. 1996. V. 221. P. 342. https://doi.org/10.1016/09214526(95)00948-5
- Dosch H. // Physica B. 1993. V. 192. P. 163. https://doi.org/10.1016/0921-4526(93)90117-O
- Девятериков Д.И., Кравцов Е.А., Проглядо В.В., Жакетов В.Д., Никитенко Ю.В. // Поверхность. Рентген., синхротр. и нейтрон. исслед. 2021. № 6. С. 3. https://doi.org/10.31857/S1028096021060054
- Fritzsche H., Van Bael V.J., Temst K. // Langmuir. 2003. V. 19. P. 7789. https://doi.org/10.1063/1.2130666
- Leiner V., Westerholt K., Blixt A.M., Zabel H., Hjorvarsson B. // 2003. Phys. Rev. Lett. 2003. V. 91. P. 037202. https://doi.org/10.1103/PhysRevLett.91.037202
- Majkrzak C.F., Cable J.W., Kwo J., Yjng M., McWhan D.B., Yafet Y., Waszczak J.V., Vettier C. // 1986. Phys. Rev. Lett. V. 56. P. 2700. https://doi.org/10.1103/PhysRevLett.56.2700
- Camley R.E., Kwo J., Hong M., Chien C.L. // Phys. Rev. Lett. 1990. V. 64. P. 2703. https://doi.org/10.1103/PhysRevLett.64.2703
- Lynn J.F., Seeger P.A. // Atomic Data Nucl. Data Tables. 1990. V. 44. P. 191. https://doi.org/10.1016/0092-640X(90)90013-A
- Elliott R.J. Magnetic Properties of Rare Earth Metal / Ed. Elliott R.J. N.Y.: Plenum, 1972.
- Антропов Н.О., Кравцов Е.А., Хайдуков Ю.Н., Рябухина М.В., Проглядо В.В., Вешке О., Устинов В.В. // Письма в ЖЭТФ. 2018. Т. 108. С. 361. https://doi.org/10.1134/S0370274X18170113
Дополнительные файлы





