Hybrid Quadrupole Lens for the Focusing Channel of the DARIA Complex
- Authors: Kilmetova I.V.1, Kozlov A.V.1, Kropachev G.N.1,2, Kulevoy T.V.1, Liakin D.A.1, Sergeeva O.S.1, Skachkov V.S.1, Stasevich Y.B.1
-
Affiliations:
- NRC “Kurchatov institute”
- Joint Institute for Nuclear Research
- Issue: No 7 (2023)
- Pages: 40-46
- Section: Articles
- URL: https://journals.rcsi.science/1028-0960/article/view/137780
- DOI: https://doi.org/10.31857/S1028096023070063
- EDN: https://elibrary.ru/TDOAMS
- ID: 137780
Cite item
Full Text
Abstract
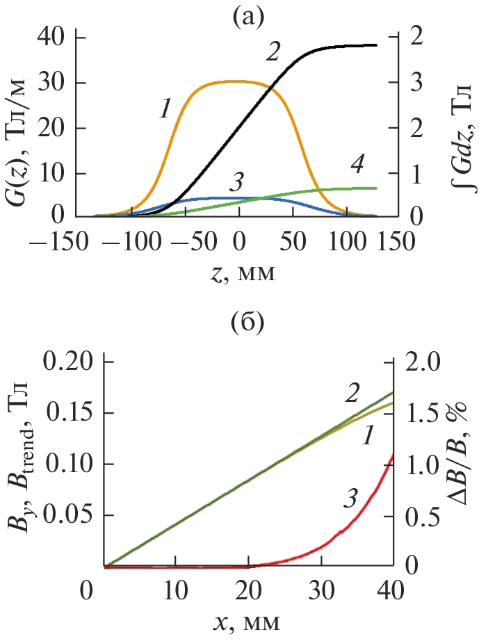
The results of synthesis and electromagnetic calculation of a hybrid quadrupole lens for a proton linear accelerator of a compact neutron source DARIA are presented. The lens includes a permanent magnet quadrupole with a fixed magnetic field gradient and an auxiliary electromagnetic quadrupole excited by a pulsed current. The permanent magnet quadrupole is made of radiation-resistant rare-earth magnet, and the electromagnetic quadrupole is designed to compensate for permanent magnet magnetization losses resulting from radiation degradation as neutron fluence accumulates during accelerator operation. A hybrid quadrupole lens can be applied for fast adjustment of the focusing channel when accelerating ion beams with different ion mass-to-charge ratios.
About the authors
I. V. Kilmetova
NRC “Kurchatov institute”
Author for correspondence.
Email: irina.kilmetova@itep.ru
Russia, 123182, Moscow
A. V. Kozlov
NRC “Kurchatov institute”
Email: irina.kilmetova@itep.ru
Russia, 123182, Moscow
G. N. Kropachev
NRC “Kurchatov institute”; Joint Institute for Nuclear Research
Email: irina.kilmetova@itep.ru
Russia, 123182, Moscow; Dubna, 141980, Moscow
T. V. Kulevoy
NRC “Kurchatov institute”
Email: irina.kilmetova@itep.ru
Russia, 123182, Moscow
D. A. Liakin
NRC “Kurchatov institute”
Email: irina.kilmetova@itep.ru
Russia, 123182, Moscow
O. S. Sergeeva
NRC “Kurchatov institute”
Email: irina.kilmetova@itep.ru
Russia, 123182, Moscow
V. S. Skachkov
NRC “Kurchatov institute”
Email: irina.kilmetova@itep.ru
Russia, 123182, Moscow
Yu. B. Stasevich
NRC “Kurchatov institute”
Email: irina.kilmetova@itep.ru
Russia, 123182, Moscow
References
- Pavlov K.A. Konik P.I., Kovalenko N.A., Subbotina V.V., Pavlova A.E., Grigorev S.V., Kulevoy T.V., Serebrennikov D.A. // Crystallogr. Rep. 2022. V. 67. Iss. 1. P. 3. https://doi.org/10.1134/S1063774522010096
- Капчинский И.М. // Приборы и техника эксперимента. 1977. Вып. 4. С. 23.
- Kropachev G., Kulevoy T., Sitnikov A. // J. Surf. Invest.: X-Ray, Synchrotron, Neutron Tech. 2019. V. 13. Iss. 6. P. 1126. https://doi.org/10.1134/S1027451019060399
- Герберг А.Н., Мухо С.Б., Рабинович Я.Д., Скачков В.С. // Приборы и техника эксперимента. 1980. Вып. 1. С. 49.
- Kapchinskiy I.M., Skachkov V.S., Kozodaev A.M., Kurakin V.V., Kuybida R.P., Lazarev N.V., Levashova E.A., Preobragenskij A.P., Selin A.V., Vengrov R.M., Zuev V.L. Drift Tubes for a Focusing Channel of Ion Linear Accelerator // Proc. Conf. EPAC-1989. Chicago, 1989. V. 2. P. 1073.
- Альтман А.Б., Герберг А.Н., Гладышев П.А. и др. Постоянные магниты. Справочник / Ред. Пятин Ю.М. М.: Энергия, 1980. 488 с.
- Blackmore E.W. // IEEE Trans. Nucl. Sci. 1985. V. NS-32. № 5. P. 3669.
- Cost J.R., Brown R.D. Sm-Co Permanent Magnets: Effects of Fast Neutron Irradiation. Preprint LA-UR-88-4263. Los Alamos, 1988.
- Drozdovsky A.A. Induced Radioactivity Decrease Method in High Intensity Linacs // Proc. Conf. EPAC 96. Barcelona, 1996. V. 2. P. 2621.
- A.с. 662979 (СССР). Многополюсный магнит / ПЯ Р-6927. Рабинович Я.Д. // Б.И. 1979. № 18.
- Halbach K. // IEEE Trans. Nucl. Sci. 1979. V. NS-26. № 3. P. 3882.
- Скачков В.С. Магнитнотвердые мультипольные линзы с неявно выраженными полюсами. Препринт № 76. М.: ИТЭФ, 1979. 34 с.
- Kantsyrev A., Golubev A., Bogdanov A., Semennikov A., Skachkov Vl., Skachkov Vic., Sergeeva O., Panyushkin V., Varentsov D., Weyrich K., Lang P., Shestov L., Udrea S., Rodionova M., Hoffmann D.H.H. Development of PMQ Lenses for PRIOR // 4th Int. Workshop on High Energy Proton Microscopy. Darmstadt, 2013. http://www-aix.gsi.de/conferences/HEPM2013/talks/ Jul16-1215_Kantsyrev.pdf
- Skachkov Vl., Kozlov A., Kropachev G., Kulevoy T., Liakin D., Sergeeva O., Skachkov Vic., Stasevich Yu., Quadrupole Focusing Lenses for Heavy Ion Linac // Proc. Conf. IPAC-2021. Campinas, 2021. P. 4359. https://doi.org/10.18429/JACoW-IPAC2021-THPAB286
- Плотников В.К. // Приборы и техника эксперимента. 1962. Вып. 2. С. 29.
- Бадалян Г.В. // Журн. технической физики. 1963. Т. 33. Вып. 3. С. 345.
- Скачков С.В. // Приборы и техника эксперимента. 1973. Вып. 5. С. 31.
- Скачков С.В. // Приборы и техника эксперимента. 1974. Вып. 6. С. 32
- Скачков В.С. Неявнополюсные мультипольные линзы с гармоническим распределением плотности тока в обмотке. Препринт № 178. М.: ИТЭФ, 1984. 41 с.
- Skachkov V.S. // J. Nucl. Instrum. Methods Phys. Res. A. 2003. V. 500. Iss. 1–3. P. 43. https://doi.org/10.1016/S0168-9002(02)01991-5
- Skachkov V.S., Ermakov A.N., Shvedunov V.I. // J. Nucl. Instrum. Methods Phys. Res. A. 2004. V. 240. Iss. 1–3. P. 39. https://doi.org/10.1016/j.nima.2004.01.051
- Skachkov V.S., Novikov G.A. // J. Nucl. Instrum. Methods Phys. Res. A. 2003. V. 526. Iss. 3. P. 199. https://doi.org/10.1016/j.nima.2004.02.019
Supplementary files







