Substitution in the Structure of Hydroxyapatite Doped by Iron Cations at Mechanochemical Synthesis
- Авторлар: Isaev D.D.1,2,3, Kriventsov V.V.4, Petrov S.A.1, Bystrov V.S.3, Bulina N.V.1,3
-
Мекемелер:
- Institute of Solid State Chemistry and Mechanochemistry, SB RAS
- Novosibirsk State University
- Institute of Mathematical Problems of Biology, RAS – Keldysh Institute of Applied Mathematics, Federal Research Center, RAS
- Boreskov Institute of Catalysis, Federal Research Center, SB RAS
- Шығарылым: № 6 (2023)
- Беттер: 67-73
- Бөлім: Articles
- URL: https://journals.rcsi.science/1028-0960/article/view/137770
- DOI: https://doi.org/10.31857/S1028096023060092
- EDN: https://elibrary.ru/DKDVWS
- ID: 137770
Дәйексөз келтіру
Толық мәтін
Аннотация
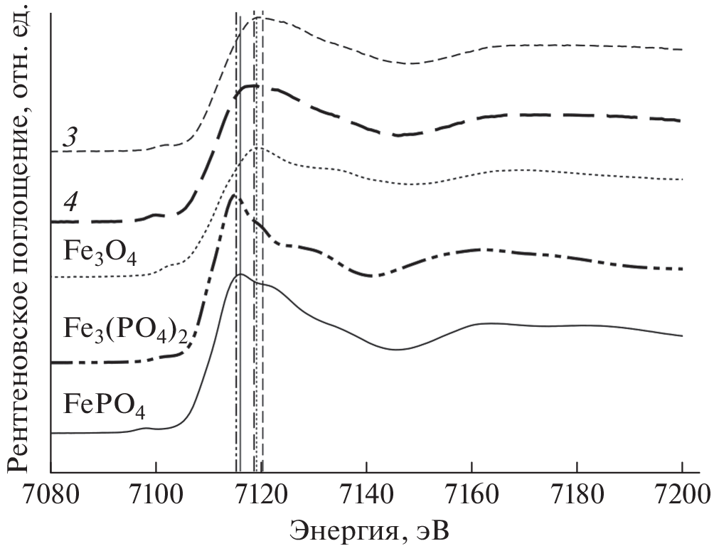
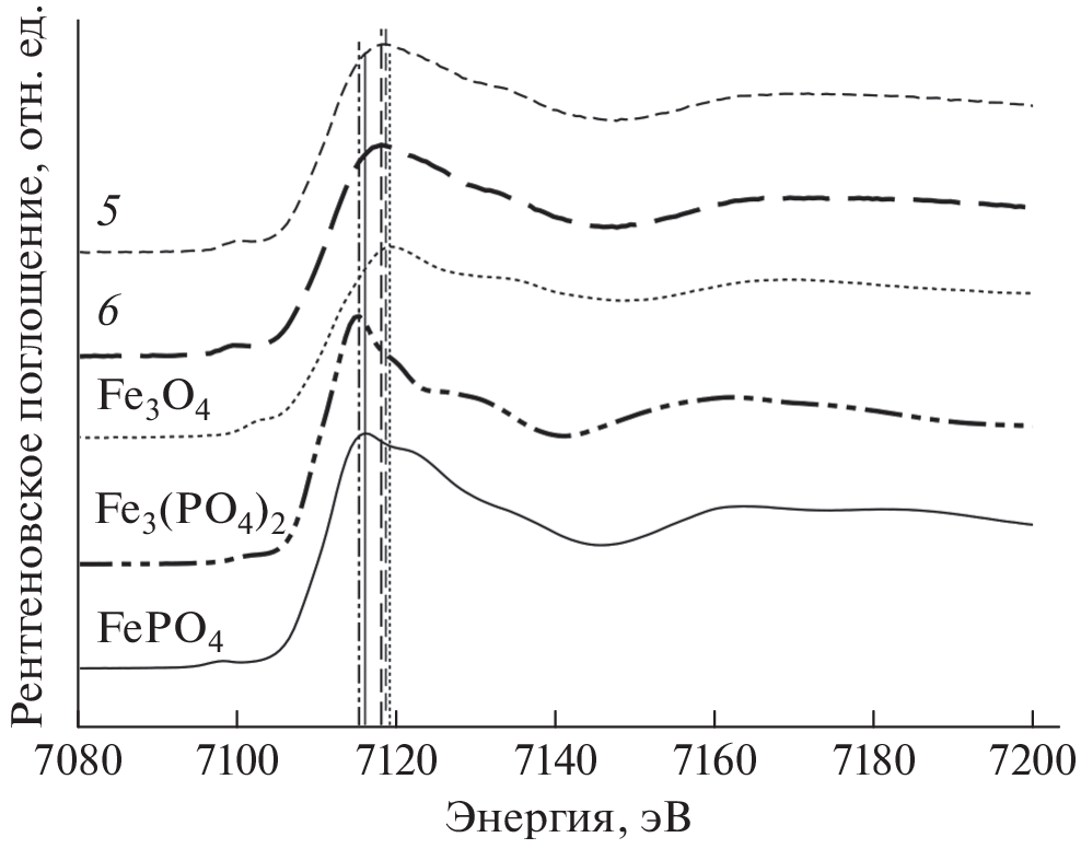
Hydroxyapatite, a mineral of the apatite group, has an important and useful property – the propensity for various kinds of substitutions, which allows to modify its properties and expand the possibilities of using the synthetic material. The properties of the synthesised substance depend on the way it is produced, as the synthesis conditions influence the structural and morphological characteristics of the particles being formed. This paper shows that at mechanochemical synthesis with the introduction of iron cations as a dopant the structure of hydroxyapatite, in which the dopant occupies the position of the calcium cation, is formed. This type of substitution is accompanied by a decrease in the lattice parameters of the hydroxyapatite. It is shown that iron cations have predominantly a 3+ charge, which is independent of the charge of the initial reagent containing the iron cation. It was also found that in the process of mechanochemical synthesis under certain conditions, simultaneous partial replasement of calcium cations with iron cations and phosphate group with carbonate group can be realized. The powders obtained by mechanochemical synthesis were characterized by powder diffraction, infrared spectroscopy, near-edge X-ray absorption fine structure spectroscopy and Mössbauer spectroscopy.
Авторлар туралы
D. Isaev
Institute of Solid State Chemistry and Mechanochemistry, SB RAS; Novosibirsk State University; Institute of Mathematical Problems of Biology, RAS – Keldysh Institute of Applied Mathematics, Federal Research Center, RAS
Хат алмасуға жауапты Автор.
Email: isaev@solid.nsc.ru
Russia, 630090, Novosibirsk; Russia, 630090, Novosibirsk; Russia, 142290, Pushchino
V. Kriventsov
Boreskov Institute of Catalysis, Federal Research Center, SB RAS
Email: bulina@solid.nsc.ru
Russia, 630090, Novosibirsk
S. Petrov
Institute of Solid State Chemistry and Mechanochemistry, SB RAS
Email: bulina@solid.nsc.ru
Russia, 630090, Novosibirsk
V. Bystrov
Institute of Mathematical Problems of Biology, RAS – Keldysh Institute of Applied Mathematics, Federal Research Center, RAS
Email: bulina@solid.nsc.ru
Russia, 142290, Pushchino
N. Bulina
Institute of Solid State Chemistry and Mechanochemistry, SB RAS; Institute of Mathematical Problems of Biology, RAS – Keldysh Institute of Applied Mathematics, Federal Research Center, RAS
Хат алмасуға жауапты Автор.
Email: bulina@solid.nsc.ru
Russia, 630090, Novosibirsk; Russia, 142290, Pushchino
Әдебиет тізімі
- Hughes J.M., Structure and Chemistry of the Apatites and Other Calcium Orthophosphates, Chapter 3: Hydroxyapatite and Nonstoichiometric Apatites / Ed. Elliot J.C. Studies in Inorganic Chemistry: Elsevier, 1994. V. 18. P. 111. https://www.doi.org/10.1016/B978-0-444-81582-8.50008-0
- Šupová M. // Ceram. Int. 2015. V. 41. № 8. P. 9203. https://www.doi.org/10.1016/j.ceramint.2015.03.316
- Tite T., Popa A.C., Balescu L.M., Bogdan I.M., Pasuk I., Ferreira J.M., Stan G.E. // Materials. 2018. V. 11. № 11. P. 2081. https://www.doi.org/10.3390/ma11112081
- Kolmas J., Groszyk E., Kwiatkowska-Różycka D. // BioMed Res. Int. 2014. V. 2014. P. 178123. https://www.doi.org/10.1155/2014/178123
- Hadagalli K., Shenoy S., Shakya K.R., Tarafder K., Mandal S., Basu B. // Int. J. Appl. Ceram. Technol. 2021. V. 18. № 2. P. 332. https://www.doi.org/10.1111/ijac.13674
- Figueroa-Rosales E.X., Martínez-Juárez J., García-Díaz E., Hernández-Cruz D., Sabinas-Hernández S.A., Robles-Águila M.J. // Crystals. 2021. V. 11. № 7. P. 832. https://www.doi.org/10.3390/cryst11070832
- Bystrov V.S., Piccirillo C., Tobaldi D.M., Castro P.M.L., Coutinho J., Kopyl S., Pullar R.C. // Appl. Catal. B: Environmental. 2016. V. 196. P. 100. https://www.doi.org/10.1016/j.apcatb.2016.05.014
- Ho C.M.B., Ng S.H., Yoon Y.J. // Int. J. Precision Engineer. Manufacturing. 2015. V. 16. № 5. P. 1035. https://www.doi.org/10.1007/s12541-015-0134-x
- Chen Z., Li Z., Li J., Liu C., Lao C., Fu Y., Liu C., Li Y., Wang P., He Y. // J. Europ. Ceram. Soc. 2019. V. 39. № 4. P. 661. https://www.doi.org/10.1016/j.jeurceramsoc.2018.11.013
- Zafar M.J., Zhu D., Zhang Z. // Materials. 2019. V. 12. № 20. P. 3361. https://www.doi.org/10.3390/ma12203361
- Sadat-Shojai M., Khorasani M.T., Dinpanah-Khoshdargi E., Jamshidi A. // Acta Biomaterialia. 2013. V. 9. № 8. P. 7591. https://www.doi.org/10.1016/j.actbio.2013.04.012
- Suchanek W., Yoshimura M. // J. Mater. Res. 1998. V. 13. № 1. P. 94. https://www.doi.org/10.1557/JMR.1998.0015
- Fathi M.H., Zahrani E.M. // J. Crystal Growth. 2009. V. 311. № 5. P. 1392. https://www.doi.org/10.1016/j.jcrysgro.2008.11.100
- Yeong B., Junmin X., Wang J. // J. Am. Ceram. Soc. 2001. V. 84. № 2. P. 465. https://www.doi.org/10.1111/j.1151-2916.2001.tb00681.x
- Bulina N.V., Baev S.G., Makarova S.V., Vorobyev A.M., Titkov A.I., Bessmeltsev V. P., Lyakhov N.Z. // Materials. 2021. V. 14. № 18. P. 5425. https://www.doi.org/10.3390/ma14185425
- Tampieri A., D’Alessandro T., Sandri M., Sprio S., Landi E., Bertinetti L., Panseri S., Pepponi G., Goettlicher J., Bañobre-López M., Rivas J. // Acta Biomaterialia. 2012. V. 8. № 2. P. 843. https://www.doi.org/10.1016/j.actbio.2011.09.032
- Laranjeira M.S., Moço A., Ferreira J., Coimbra S., Costa E., Santos-Silva A., Ferreira P.J., Monteiro F.J. // Colloids Surf. B: Biointerfaces. 2016. V. 146. P. 363. https://www.doi.org/10.1016/j.colsurfb.2016.06.042
- Kandori K., Oda S., Tsuyama S. // The J. Physical Chemistry B. 2008. V. 112. № 8. P. 2542. https://www.doi.org/10.1021/jp076421l
- Renaudin G., Gome S., Nedelec J.M. // Materials. 2017. V. 10. № 1. P. 92. https://www.doi.org/10.3390/ma10010092
- Avakyan L., Paramonova E., Bystrov V., Coutinho J., Gomes S., Renaudin G. // Nanomaterials. 2021. V. 11. № 11. P. 2978. https://www.doi.org/10.3390/nano11112978
- Powder Diffraction File, PDF-4+ (2011) International Centre for Diffraction Data. https://www.icdd.com
- Coelho A.A. // J. Appl. Cryst. 2018. V. 51. P. 210. https://www.doi.org/10.1107/S1600576718000183
- Piminov P.A., Baranov G.N., Bogomyagkov A.V., Berkaev D.E., Borin V.M., Dorokhov V.L., Karnaev S.E., Kiselev V.A., Levichev E.B., Meshkov O.I., Mishnev S.I. // Phys. Procedia. 2011. V. 84. P. 19. https://www.doi.org/10.1016/j.phpro.2016.11.005
- Klementev K.V. // Nucl. Instrum. Methods Phys. Res. A. 2000. V. 448. №1–2. P. 299. https://www.doi.org/10.1016/S0168-9002(99)00710-X
- Sheikh L., Sinha S., Singhababu Y.N., Verma V., Tripathy S., Nayar S. // RSC Advances. 2018. V. 8. № 35. P. 19389. https://www.doi.org/10.1039/C8RA01539B
- Antonakos A., Liarokapis E., Leventouri T. // Biomaterials. 2007. V. 28. № 19. P. 3043. https://www.doi.org/10.1016/j.biomaterials.2007.02.028
- Bulina N.V., Makarova S.V., Baev S.G., Matvienko A.A., Gerasimov K.B., Logutenko O.A., Bystrov V.S. // Minerals. 2021. V. 11. № 12. P. 1310. https://www.doi.org/10.3390/min11121310
- Gomes S., Kaur A., Greneche J.M., Nedelec J.M., Renaudin G. // Acta Biomaterialia. 2017. V. 50. P. 78. https://www.doi.org/10.1016/j.actbio.2016.12.011
- Bazin T., Duttine M., Julien I., Champion E., Demourgues A., Gaudon M. // Inorg. Chem. 2022. V. 61. № 36. P. 14377. https://www.doi.org/10.1021/acs.inorgchem.2c02212
- Makshakova O.N., Shurtakov D.V., Vakhin A.V., Grishin P.O., Gafurov M.R. // Crystals. 2021. V. 11. № 10. P. 1219. https://www.doi.org/10.3390/cryst11101219
Қосымша файлдар








