Modern Scanning Electron Microscopy. 1. Secondary Electron Emission
- Autores: Novikov Y.A.1
-
Afiliações:
- Prokhorov General Physics Institute of the Russian Academy of Sciences
- Edição: Nº 5 (2023)
- Páginas: 80-94
- Seção: Articles
- URL: https://journals.rcsi.science/1028-0960/article/view/137758
- DOI: https://doi.org/10.31857/S102809602305014X
- EDN: https://elibrary.ru/AMQMFC
- ID: 137758
Citar
Texto integral
Resumo
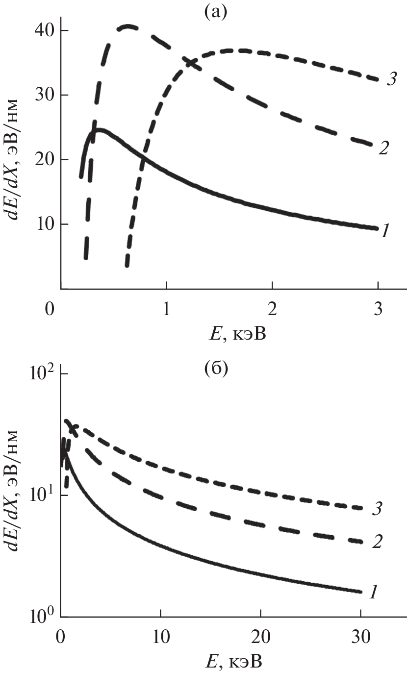
The development of modern technologies, including nanotechnology, is based on application of diagnostic methods of objects used in technologies processes. For this purpose most perspective are methods realized in a scanning electron microscope. Thus one of basic methods is the measurement of linear sizes of relief structures of micrometer and nanometer ranges used in micro- and nanoelectronic. In a basis of a scanning electron microscope job the secondary electronic issue of firm body lays. However, practically all researches were spent on surfaces, which relief was neglected. The review of theoretical and experimental materials to researches of a secondary electron emission is given. Practically all known laws are checked up in experiments and have received the physical explanation. However, the application of a secondary electronic emission in a scanning electron microscopy, used in micro- both nanoelectronic and nanotechnology, requires knowledge of laws, which are shown on relief surfaces. Is demonstrated, what laws can be applied in a scanning electron microscope to measurement of linear sizes of relief structures. Is judged necessity of an influence study of a surface relief on a secondary electron emission.
Sobre autores
Yu. Novikov
Prokhorov General Physics Institute of the Russian Academy of Sciences
Autor responsável pela correspondência
Email: nya@kapella.gpi.ru
Russia, 119991, Moscow, 38, Vavilov Street
Bibliografia
- Reimer L. Scanning Electron Microscopy: Physics of Image Formation and Microanalysis. Springer Berlin, Heidelberg, 1998. https://doi.org/10.1007/978-3-540-38967-5
- Практическая растровая электронная микроскопия / Ред. Гоулдстейн Дж., Яковиц Х. Пер. с англ. М.: Мир, 1978. 656 с.
- Гоулдстейн Дж., Ньюбери Д., Эчлин П., Джой Д., Фиори Ч., Лифшин Э. Растровая электронная микроскопия и рентгеновский микроанализ / Пер. с англ. М.: Мир, 1984. 303 с.
- Микроанализ и растровая электронная микроскопия / Ред. Морис Ф. и др. Пер. с фр. М.: Металлургия, 1985. 392 с.
- Криштал М.М., Ясников И.С., Полунин В.И., Филатов А.М., Ульяненков А.Г. Сканирующая электронная микроскопия и рентгеноспектральный микроанализ в примерах практического применения. М.: Техносфера, 2009. 208 с.
- Растровая электронная микроскопия для нанотехнологий. Методы и применение. / Ред. Жу У., Уанг Ж.Л. Пер. с англ. М.: БИНОМ. Лаборатория знаний, 2013. 582 с.
- International Technology Roadmap for Semiconductors. 2013 Edition. Metrology. 2013. 42 p.
- Hatsuzawa T., Toyoda K., Tanimura Y. // Rev. Sci. Instrum. 1990. V. 61. № 3. P. 975.
- Marchman H.M., Griffith J.E., Guo J.Z.Y., Frackoviak J., Celler G.K. // J. Vacuum Sci. Technol. 1994. V. B12. № 6. P. 3585.
- Новиков Ю.А., Раков А.В. // Измерительная техника. 1999. № 1. С. 14.
- Postek M.T., Vladar A.E. Critical dimension metrology and the scanning electron microscope / Handbook of Silicon Semiconductor Metrology. Ed. Diebold A.C. Marcel Dekker Inc. New York – Basel, 2001. P. 295.
- Postek M.T. // Proc. SPIE. 2002. V. 4608. P. 84.
- Постек М. // Вестник технического регулирования. 2007. № 7. С. 8.
- Гавриленко В., Новиков Ю., Раков А., Тодуа П. // Наноиндустрия. 2009. № 4. С. 36.
- Gavrilenko V.P., Novikov Yu.A., Rakov A.V., Todua P.A. // Proc. SPIE. 2009. V. 7405. P. 740504. https://doi.org/10.1117/12.826164
- Тодуа П.А., Быков В.А., Волк Ч.П., Горнев Е.С., Желкобаев Ж., Зыкин Л.М., Ишанов А.Б., Календин В.В., Новиков Ю.А., Озерин Ю.В., Плотников Ю.И., Прохоров А.М., Раков А.В., Саунин С.А., Черняков В.Н. // Микросистемная техника. 2004. № 3. С. 25.
- Gavrilenko V.P., Kalnov V.A., Novikov Yu.A., Orlikovsky A.A., Rakov A.V., Todua P.A., Valiev K.A., Zhikharev E.N. // Proc. SPIE. 2009. V. 7272. P. 727227. https://doi.org/10.1117/12.814062
- Gavrilenko V.P., Novikov Yu.A., Rakov A.V., Todua P.A., Volk Ch.P. // Proc. SPIE. 2009. V. 7272. P. 72720Z. https://doi.org/10.1117/12.813514
- Новиков Ю.А. // Микроэлектроника. 2017. Т. 46. № 1. С. 61. https://doi.org/10.7868/S0544126917010070
- Новиков Ю.А., Раков А.В. // Труды ИОФАН. 1998. Т. 55. С. 3.
- Бронштейн И.М., Фрайман Б.С. Вторичная электронная эмиссия. М.: Наука, 1969. 407 с.
- Шульман А.З., Фридрихов С.А. Вторично-эмиссионные методы исследования твердого тела. М.: Наука, 1977. 551 с.
- Модинос А. Авто-, термо и вторично-электронная эмиссионная спектроскопия. М.: Наука, 1990. 320 с.
- Герус В.Л. Физические основы электронно-лучевых приборов. М.: Наука, 1993. 352 с.
- Корнюшкин Ю.Д. // Поверхность. Рентген., синхротр. и нейтрон. исслед. 1992. № 9. С. 27.
- Каничева И.Р., Павлова А.А. // Физика твердого тела. 1966. Т. 8. № 5. С. 1641.
- Лорикян М.П., Ковалов З.Д., Трофимчук Н.Н. // Радиотехника и электроника. 1969. Т. 14. № 5. С. 935.
- Бушкевич В.Г., Бутслов М.М. // Радиотехника и электроника. 1958. Т. 3. № 3. С. 355.
- Каничева И.Р., Бурцев В.А. // Физика твердого тела. 1959. Т. 1. № 8. С. 1250.
- Вятский А.Я., Трунев В.В. // Радиотехника и электроника. 1967. Т. 12. № 9. С. 1636.
- Гомоюнова М.В., Алиев Б.З. // Физика твердого тела. 1969. Т. 11. № 12. С. 3619.
- Шульман А.Р., Кораблев В.В., Морозов Ю.А. // Физика твердого тела. 1970. Т. 12. № 2. С. 666.
- Шульман А.Р., Кораблев В.В., Морозов Ю.А. // Физика твердого тела. 1970. Т. 12. № 3. С. 758.
- Морозов Ю.А., Осарков Е.Б. // Физика твердого тела. 1971. Т. 13. № 7. С. 2051.
- Бронштейн И.М., Броздниченко А.Н. // Радиотехника и электроника. 1969. Т. 14. № 2. С. 1528.
- Афонина А.Ф., Воробьева О.Б., Климин А.И., Стучинский Г.Б. // Радиотехника и электроника. 1969. Т. 14. № 12. С. 2237.
- Бронштейн И.М., Проценко А.И. // Радиотехника и электроника. 1970. Т. 15. № 9. С. 805.
- Бронштейн И.М., Броздниченко А.Н. // Радиотехника и электроника. 1970. Т. 15. № 8. С. 1721.
- Рашковский С.Ф. // Радиотехника и электроника. 1958. Т. 3. № 3. С. 371.
- Бронштейн И.М., Сегаль Р.Б. // Физика твердого тела. 1959. Т. 1. № 8. С. 1247.
- Рогаля Л.М. // Радиотехника и электроника. 1967. Т. 12. № 9. С. 1680.
- Бронштейн И.М., Сегаль Р.Б. // Радиотехника и электроника. 1960. Т. 5. № 10. С. 1741.
- Лепешинская В.Н., Борисов В.Л., Перчанак Т.М. // Радиотехника и электроника. 1960. Т. 5. № 10. С. 1636.
- Шульман А.Р., Закирова И.Р., Морозов Ю.А., Фридрихов С.А. // Радиотехника и электроника. 1958. Т. 3. № 3. С. 329.
- Фридрихов С.А., Шульман А.Р. // Физика твердого тела. 1959. Т. 1. № 8. С. 1259.
- Фридрихов С.А., Шульман А.Р. // Физика твердого тела. 1959. Т. 1. № 8. С. 1268.
- Зорин И.Е., Коган В.М., Абрамова Н.Н. // Радиотехника и электроника. 1981. Т. 26. № 4. С. 889.
- Harrower G.A. // Physical Review. 1956. V. 104. № 1. P. 52.
- Бронштейн И.М., Рощин В.В. // Журн. технической физики. 1958. Т. 28. № 10. С. 2200.
- Бронштейн И.М., Рощин В.В. // Журн. технической физики. 1958. Т. 28. № 11. С. 2476.
- Шульман А.Р., Ганичев Д.А. // Физика твердого тела. 1962. Т. 4. № 3. С. 745.
- Шульман А.Р., Ганичев Д.А. // Физика твердого тела. 1960. Т. 2. № 3. С. 530.
- Крылова И.В. // Поверхность. Рентген., синхротр. и нейтрон. исслед. 1988. № 1. С. 5.
- Фридрихов С.А. // Физика твердого тела. 1960. Т. 2. № 1. С. 171.
- Фридрихов С.А., Горячева С.Н. // Известия АН СССР. Сер. физ. 1958. Т. 22. № 5. С. 486.
- Вавилов В.С., Киселев В.Ф., Мукашев Б.Н. Дефекты в кремнии и на его поверхности. М.: Наука, 1990. 216 с.
- Ковалев В.П. Вторичные электроны. М.: Энергоиздат, 1987. 177 с.
- Броудай И., Мерей Дж. Физические основы микротехнологии. Пер. с англ. М.: Мир, 1985. 496 с.
- Бета- и гамма-спектроскопия / Ред. Зигбан К. Пер. с англ. М.: Государственное издательство физико-математической литературы, 1959.
- Валиев К.А. Физика субмикронной литографии. М.: Наука, 1990. 528 с.
- Методы анализа поверхностей. / Ред. Зандерна А. Пер. с англ. М.: Мир, 1979. 582 с.
- Новиков Ю.А., Прохоров А.М., Раков А.В. // Поверхность. Физика, химия, механика. 1993. № 3. С. 22.
- Новиков Ю.А., Раков А.В. // Поверхность. Рентген., синхротр. и нейтрон. исслед. 1999. № 8. С. 24.
- Nosker R.W. // J. Appl. Phys. 1969. V. 40. P. 1872.
- Bethe H.A., Rose M.E., Smith H.I. // Proc. Am. Philosophical Soc. 1938. V. 78. P. 573.
- Махов А.Ф. // Физика твердого тела. 1960. Т. 2. № 9. С. 2172.
- Валиев К.А., Кириллов А.Н., Ковтун Б.Н., Махвиладзе Т.М., Мкртчян М.М. // Труды ИОФАН. 1987. Т. 8. С. 5.
- Reimer L. // Scanning Electron Microscopy. 1979. № 2. P. 111.
- Ермаков С.М., Михайлов Г.А. Курс статистического моделирования. М.: Наука, 1976. 319 с.
- Newbury D.E., Yakowitz H. // Proc. Workshop Held at the NBS. Gaithersburg: NBS. 1976. P. 15.
- Хейфец А.С. // Журнал экспериментальной и теоретической физики. 1985. Т. 89. № 2. Вып. 8. С. 459.
- Гайтлер В. Квантовая теория излучения. Пер. с англ. М.: Иностранная литература, 1956.
- Шпольский Э.В. Атомная физика. Т. 1. М.: Наука, 1974. 575 с.
- Аристов В.В., Дремова Н.Н., Рау Э.И. // Журн. технической физики. 1996. Т. 66. № 10. С. 78.
- Новиков Ю.А. // Микроэлектроника. 2014. Т. 43. № 5. С. 373. https://doi.org/10.7868/S0544126914050068
- Postek M.T., Keery W.J., Frederick N.V. // Rev. Sci. Instrum. 1990. V. 61. № 6. P. 1648.
- Kanter H. // Annals of Physics. 1957. V. 20. P. 144.
- Hachenberg O., Brauer W. // Adv. Electronics Electron Phys. 1959. V. 11. P. 413.
- Борисов В.Л., Перчанок Т.М., Лепешинская В.Н. // Радиотехника и электроника. 1960. Т. 5. № 10. С. 1643.
- Сотников В.М. // Поверхность. Рентген., синхротр. и нейтрон. исслед. 1988. № 1. С. 59.
- Берестецкий B.Б., Лифшиц Е.М., Питаевский Л.П. Квантовая электродинамика. 4-е изд. М.: Физматлит, 2002. 720 с.
- Жигарев А.А., Шамаева Г.Т. Электронно-лучевые и фотоэлектронные приборы. М.: Высшая школа, 1982. 463 с.
- Батушев В.А. Электронные приборы. М.: Высшая школа, 1969. 608 с.
- Новиков Ю.А. // Поверхность. Физика, химия, механика. 1995. № 10. С. 58.
- Епифанов Г.И. Физические основы микроэлектроники. М.: Советское радио, 1971. 376 с.
- Van der Ziel A. // Phys. Rev. 1953. V. 92. № 1. P. 35.
- Томашпольский Ю.Я., Севостьянов М.А., Садовская Н.В., Колганова Н.В. // Журн. технической физики. 1990. Т. 60. № 6. С. 103.
- Коханчик Л.С. // Заводская лаборатория. 1994. № 7. С. 21.
- Спивак Г.В., Рау Э.И., Карелин Н.М., Назаров М.В. // Микроэлектроника. 1978. Т. 7. № 3. С. 212.
- Дюков В.Г. // Поверхность. Рентген., синхротр. и нейтрон. исслед. 1982. № 11. С. 1.
- Дюков В.Г., Непийко С.А., Седов Н.Н. Электронная микроскопия локальных потенциалов. Киев: Наукова думка, 1991. 200 с.
Arquivos suplementares













