Modeling of the Potential Energy of Interaction of Two Atoms by Solving a System of Nonlinear Equations
- Authors: Koshcheev V.P.1, Shtanov Y.N.2
- 
							Affiliations: 
							- Moscow Aviation Institute (National Research University), Strela Branch
- Industrial University of Tyumen, Surgut Branch
 
- Issue: No 3 (2023)
- Pages: 69-73
- Section: Articles
- URL: https://journals.rcsi.science/1028-0960/article/view/137725
- DOI: https://doi.org/10.31857/S1028096023020048
- EDN: https://elibrary.ru/GKSDEG
- ID: 137725
Cite item
Full Text
Abstract
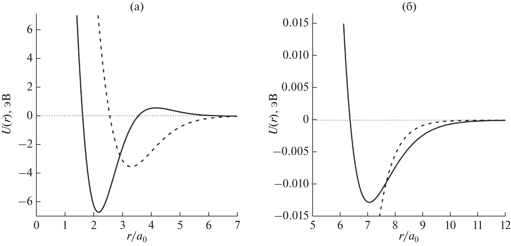
In the first order of perturbation theory, it is shown that the potential energy of interaction between two atoms can be calculated by solving a system of nonlinear equations. The system of equations has been constructed both with and without regard to the Pauli principle, and the atomic form factor has been calculated using wave functions that approximate the solution of the Hartree–Fock equation for isolated nitrogen atoms. The graph of the potential energy of the interaction of two nitrogen atoms satisfactorily agrees with the known results when the Pauli principle is taken into account. It is shown that without taking into account the Pauli principle and collective oscillations of the electrons of atoms, it is not possible to obtain agreement with experiment. It is shown that the total energy of a diatomic molecule is a functional that depends on the electron density of isolated atoms.
About the authors
V. P. Koshcheev
Moscow Aviation Institute (National Research University), Strela Branch
							Author for correspondence.
							Email: koshcheev1@yandex.ru
				                					                																			                												                								Russia, 140180, Moscow oblast, Zhukovskii						
Yu. N. Shtanov
Industrial University of Tyumen, Surgut Branch
							Author for correspondence.
							Email: yuran1987@mail.ru
				                					                																			                												                								Russia, 628404, Surgut						
References
- Кощеев В.П., Штанов Ю.Н. // Письма в ЖТФ. 2018. Т. 44. Вып. 13. С. 28. https://doi.org/10.21883/PJTF.2018.13.46324.17133
- Кощеев В.П., Штанов Ю.Н. // Поверхность. Рентген., синхротр. и нейтрон. исслед. 2019. № 8. С. 53. https://doi.org/10.1134/S0207352819080079
- Кощеев В.П., Штанов Ю.Н. // Поверхность. Рентген., синхротр. и нейтрон. исслед. 2020. № 8. С. 97. https://doi.org/10.31857/S1028096020080105
- Кощеев В.П., Штанов Ю.Н. // Поверхность. Рентген., синхротр. и нейтрон. исслед. 2022. № 2. С. 109. https://doi.org/10.31857/S1028096022020066
- Кощеев В.П., Штанов Ю.Н. // Письма в ЖТФ. 2022. Т. 48. Вып. 10. С. 28. https://doi.org/10.21883/PJTF.2022.10.52553.19148
- Дирак П.А.М. Принципы квантовой механики. М.: Наука, 1979. 479 с.
- Ландау Л.Д., Лифшиц Е.М. Квантовая механика (нерелятивистская теория). М.: Наука, 1974. 752 с.
- Бете Г. Квантовая механика. М.: Мир, 1965. 333 с.
- Лифшиц Е.М., Питаевский Л.П. Физическая кинетика. М.: Физматлит, 2007. 536 с.
- Сарры А.М., Сарры М.Ф. // ФТТ. 2012. Т. 54. Вып. 6. С. 1237. https://www.elibrary.ru/rcsqrj
- Clementi E., Roetti C. // Atomic Data and Nuclear Data Tables. 1974. V. 14. № 3. P. 177. https://doi.org/10.1016/S0092-640X(74)80016-1
- А.с. 2 020 617 054 (РФ). Программа для моделирования потенциальной энергии взаимодействия атомов с водородоподобными волновыми функциями / Роспатент. Штанов Ю.Н., Кощеев В.П. // Б.И. 2020. С. 1.
- Штанов Ю.Н., Кощеев В.П., Моргун Д.А. Библиотека программ “JINRLIB”. URL: http://wwwinfo.jinr.ru/programs/jinrlib/tropics/index.html [Электронный ресурс] (дата обращения: 20.05.2022).
- Seunghoon L., Huanchen Z., Sandeep S., Umrigar C. J., Kin-Lic Chan G. // J. Chem. Theory Comput. 2021. V. 17. № 6. P. 3414. https://doi.org/10.1021/acs.jctc.1c00205
- Bhattacharya D., Shamasundar K.R., Emmanouilidou A. // J. Phys. Chem. A. 2021. V. 125. № 36. P. 7778. https://doi.org/10.1021/acs.jpca.1c04613
- Xiangzhu Li, Paldus J. // J. Chem. Phys. 2008. V. 129. P. 054104. https://doi.org/10.1063/1.2961033
Supplementary files
 
				
			 
					 
						 
						 
						 
						 
				
 
  
  
  Email this article
			Email this article 



