Reflection of Light Ions from a Solid Surface: Analytical Model and Computer Simulation
- Authors: Afanas’ev V.P.1, Lobanova L.G.1, Shulga V.I.2
-
Affiliations:
- National Research University “MPEI”
- Moscow State University, Skobeltsyn Institute of Nuclear Physics
- Issue: No 1 (2023)
- Pages: 86-91
- Section: Articles
- URL: https://journals.rcsi.science/1028-0960/article/view/137664
- DOI: https://doi.org/10.31857/S102809602301003X
- EDN: https://elibrary.ru/BKNAPH
- ID: 137664
Cite item
Full Text
Abstract
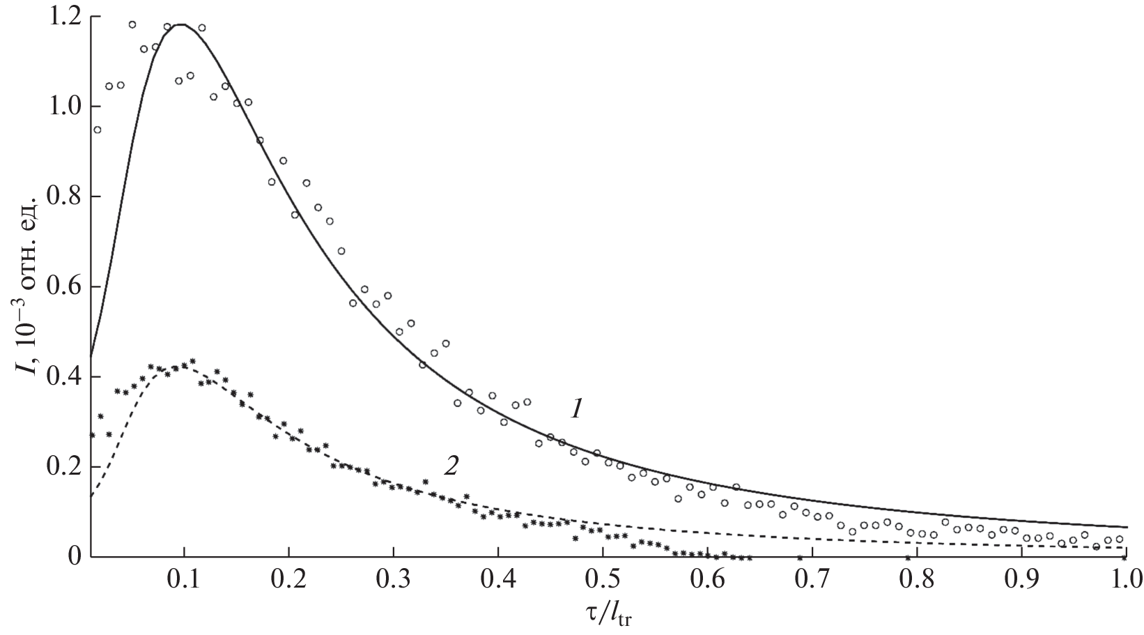
An analytical solution of the equation for the distribution of the flux density of reflected light ions over the path length and energy losses in the target is obtained. It is based on the solution of boundary problems for the transport equation using the invariant imbedding method in the small-angle approximation. In the case of proton reflection from copper and tungsten targets, the analytical results are compared with computer simulation data obtained using the OKSANA program, as well as with experimental data. The possibility of verifying the stopping power of the target material based on the created methodology is noted.
About the authors
V. P. Afanas’ev
National Research University “MPEI”
Author for correspondence.
Email: v.af@mail.ru
Russia, 111250, Moscow
L. G. Lobanova
National Research University “MPEI”
Author for correspondence.
Email: lida.lobanova.2017@mail.ru
Russia, 111250, Moscow
V. I. Shulga
Moscow State University, Skobeltsyn Institute of Nuclear Physics
Author for correspondence.
Email: vish008@yandex.ru
Russia, 119991, Moscow
References
- Машкова Е.С., Молчанов В.А. Рассеяние ионов средних энергий поверхностями твердых тел. М.: Атомиздат, 1980. 256 с.
- Курнаев В.А., Машкова Е.С., Молчанов В.А. Отражение легких ионов от поверхности твердого тела. М.: Энергоатомиздат, 1985. 192 с.
- Mashkova E.S., Molchanov V.A. Medium Energy Ion Reflection from Solids. Amsterdam: North-Holland, 1985. 444 p.
- Рязанов М.И., Тилинин И.С. Исследование поверхности по обратному рассеянию частиц. М.: Энергоатомиздат, 1985. 150 с.
- Ziegler J.F., Biersack J.P., Littmark U. The Stopping and Range of Ions in Solids. N.Y.: Pergamon, 1985. 321 p.
- Экштайн В. Компьютерное моделирование взаимодействия частиц с поверхностью твердого тела. М.: Мир, 1995. 319 с.
- Булгадарян Д.Г. Рассеяние протонов кэвных энергий как инструмент анализа тонких слоев на поверхности материалов: Дис. … канд. физ.-мат. наук: 01.04.08. Москва: МИФИ, 2020. 116 с.
- Tougaard S., Kraaer J. // Phys. Rev. B. 1991. V. 43. № 2. P. 1651. https://doi.org./10.1103/PhysRevB.43.1651
- Afanas’ev V.P., Lubenchenko A.V., Gubkin M.K. // Eur. Phys. J. B. 2004. V. 37. № 1. P. 117. https://doi.org/10.1140/epjb/e2004-0036-x
- Werner W.S.M. // Surf. Sci. 2005. V. 588. № 1–3. P. 26. https://doi.org./10.1016/j.susc.2005.05.023
- Werner W.S.M. // Surf. Sci. 2007. V. 601. № 10. P. 2125. https://doi.org/10.1016/j.susc.2007.03.001
- Oswald R., Kasper E., Gaukler K.H. // J. Electron. Spectrosc. Relat. Phenom. 1993. V. 61. № 3–4. P. 251. https://doi.org/10.1016/0368-2048(93)80019-i
- Salvat-Pujol F., Werner W.S.M. // Phys. Rev. B. 2011. V. 83. № 19. P. 195416. https://doi.org./10.1103/PhysRevB. 83.195416
- Bronshtein I.M., Pronin V.P. // Sov. Phys. Solid State. 1975. V. 17. № 8. P. 2502.
- Pronin V.P. Elastic and Inelastic Interaction of Medium Energy Electrons with Surface of Solids. Thesis for the Degree of Doctor of Science. Saint-Petersburg: Herzen State Pedagogical University, 2014.
- Powell C.J., Jablonski A. // J. Electron. Spectrosc. Relat. Phenom. 2010. V. 178–179. № 3–4. P. 331. https://doi.org/10.1016/j.elspec.2009.05.004
- Афанасьев В.П. // Элементарные процессы и кинетика высокотемпературной неравновесной плазмы. М.: Изд-во МЭИ, 1988. С. 82.
- Afanas’ev V.P., Naujoks D. // Phys. Stat. Sol. 1991. V. 164. № 1. P. 133. https://doi.org/10.1002/pssb.2221640113
- Afanas’ev V.P., Efremenko D.S., Kaplya P.S. // J. Electron. Spectrosc. Relat. Phenom. 2016. V. 210. P. 16. https://doi.org/10.1016/j.elspec.2016.04.006
- Salvat-Pujol F., Jablonski A., Powell C.J. // Comput. Phys. Commun. 2005. V. 165. № 2. P. 157. https://doi.org/10.1016/j.cpc.2004.09.006
- Werner W.S.M. // Surf. Interface Anal. 2005. V. 37. № 11. P. 846. https://doi.org/10.1002/sia.2103
- Afanas’ev V.P., Kaplya P.S. // J. Surf. Invest.: X-Ray, Synchrotron Neutron Tech. 2015. V. 9. № 4. P. 715. https://doi.org/10.1134/s1027451015020238
- Afanas’ev V.P., Naujoks D. // Z. Phys. B. 1991. V. 84. № 3. P. 397. https://doi.org./10.1007/bf01314014
- Zemek J., Jiricek P., Werner W.S.M., Lesiak B., Jablonski A. // Surf. Interface Anal. 2006. V. 38. № 4. P. 615. https://doi.org./10.1002/sia.2147
- Jablonski A., Hansen H.S., Jansson C., Tougaard S. // Phys. Rev. B. 1992. V. 45. № 7. P. 3694.https://doi.org/10.1103/PhysRevB.45.3694
- Tougaard S., Chorkendorff I. // Phys. Rev. B. 1987. V. 35. № 13. P. 6570. https://doi.org/10.1103/physrevb.35.6570
- Dashen R.F. // Phys. Rev. B. 1964. V. 134. № 4A. P. A1025. https://doi.org/10.1103/PhysRev.134.A1025
- Ambartsumian V.A. // J. Phys. 1941. V. 5. № 1. P. 93.
- Ambartsumian V.A. // Izv. AN SSSR. 1942. V. 3. P. 97.
- Ambartsumian V.A. // J. Phys. 1944. V. 8. № 2. P. 65.
- Sobolev V.V. Light Scattering in Planetary Atmospheres. N.Y.: Pergamon Press, 1975. 256 p.
- Thomson J.J. // Phil. Mag. 1912. V. 23. № 136. P. 449.
- Bethe H. // Z. Phys. B. 1930. V. 397. № 3. P. 325. https://doi.org/10.1002/andp.19303970303
- Shulga V.I., Schinner A., Sigmund P. // Nucl. Instrum. Methods Phys. Res. B. 2020. V. 467. P. 91. https://doi.org/10.1016/j.nimb.2020.01.029
- Robinson M.T., Torrens I.M. // Phys. Rev. B. 1974. V. 9. № 12. P. 5008. https://doi.org/10.1103/PhysRevB.9.5008
- Morita K., Akimune H., Suita T. // Jpn. J. Appl. Phys. 1968. V. 7. № 8. P. 916. https://doi.org/10.1143/JJAP.7.916
- Булгадарян Д.Г., Синельников Д.Н., Ефимов Н.Е., Курнаев В.А. // Изв. РАН. Сер. Физ. 2020. Т. 84. № 6. С. 903. https://doi.org./10.31857/S036767652006006X
- Firsov O.B. // JETP. 1959. V. 9. № 5. P. 1076.
Supplementary files





