Investigation of the Possibilities of Analysis of the Vesicular Structure of PTNS-Based Nanodrugs Using the Small-Angle Neutron Scattering Data
- Authors: Kiselev M.A.1,2, Zemlyanaya E.V.1,2, Zhabitskaya E.I.1,2, Bashashin M.1,2, Ivankov O.I.1,3,4
-
Affiliations:
- Joint Institute for Nuclear Research
- State Univesity “Dubna”
- Institute for Safety Problems of Nuclear Power Plants, NAS Ukraine
- Taras Shevchenko National University of Kyiv
- Issue: No 1 (2023)
- Pages: 3-8
- Section: Articles
- URL: https://journals.rcsi.science/1028-0960/article/view/137652
- DOI: https://doi.org/10.31857/S1028096023010119
- EDN: https://elibrary.ru/BLDRAL
- ID: 137652
Cite item
Full Text
Abstract
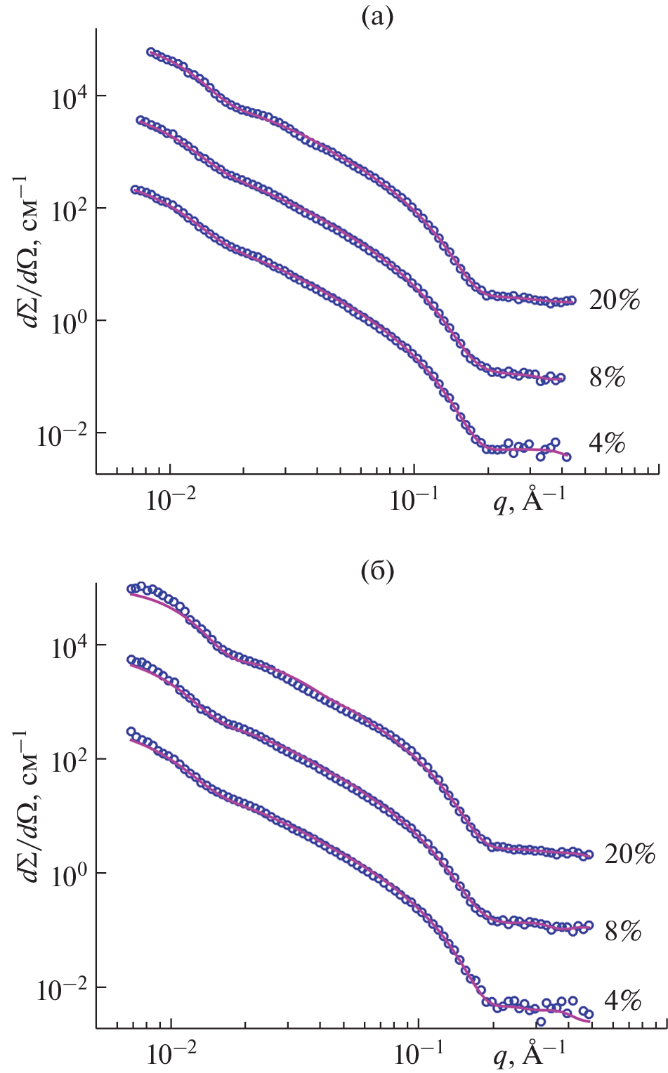
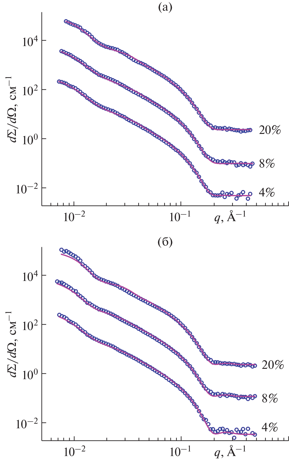
The small-angle neutron scattering spectra of polydispersed populations of unilamellar vesicles were analyzed depending on the concentration of maltose in a heavy water solution. The spectra were measured on a YuMO small-angle spectrometer at the Dzhelepov Laboratory of Neutron Physics of the Joint Institute for Nuclear Research (Dubna). Two types of nanosystems developed at the Orekhovich Institute of Biomedical Chemistry. This is a phospholipid transport nanosystem, as well as the Indolip nanodrug based on a phospholipid transport nanosystem. The possibilities of obtaining information on the vesicular structure of nanodrugs based on a phospholipid transport nanosystem using the small-angle neutron scattering data are discussed. Computer analysis of small-angle scattering spectra is based on the application of the separated form factors method. The values of the basic structural parameters of these vesicular systems (the average radius of vesicles in the population, the thickness of the bilayer across the membrane, the polydispersity coefficient, etc.) obtained on this basis are generally consistent with the corresponding results of similar processing of small-angle X-ray scattering data. However, compared with small-angle X-ray scattering, the method of small-angle neutron scattering turns out to be less sensitive to the detailed consideration of structural features of the vesicle shell bilayer.
About the authors
M. A. Kiselev
Joint Institute for Nuclear Research; State Univesity “Dubna”
Author for correspondence.
Email: kiselev@jinr.ru
Russia, 141980, Dubna; Russia, 141980, Dubna
E. V. Zemlyanaya
Joint Institute for Nuclear Research; State Univesity “Dubna”
Email: kiselev@jinr.ru
Russia, 141980, Dubna; Russia, 141980, Dubna
E. I. Zhabitskaya
Joint Institute for Nuclear Research; State Univesity “Dubna”
Email: kiselev@jinr.ru
Russia, 141980, Dubna; Russia, 141980, Dubna
M.V. Bashashin
Joint Institute for Nuclear Research; State Univesity “Dubna”
Email: kiselev@jinr.ru
Russia, 141980, Dubna; Russia, 141980, Dubna
O. I. Ivankov
Joint Institute for Nuclear Research; Institute for Safety Problems of Nuclear Power Plants, NAS Ukraine; Taras Shevchenko National University of Kyiv
Email: kiselev@jinr.ru
Russia, 141980, Dubna; Ukraine, 07270, Chornobyl; Ukraine, 01601, Kyiv
References
- Das S., Chaudhury A. // AAPS Pharm. Sci. Tech. 2011. V. 12. P. 62. https://www.doi.org/10.1208/s12249-010-9563-0
- Martins S., Sarmento B., Ferreira D.C. et al. // Int. J. Nanomedicine. 2007. V. 2. P. 595.
- Стрекалова О.С. Фосфолипидные наночастицы: получение, характеристика, использование для транспорта лекарств в организме: Автореферат дисс. канд. биологических наук: 03.01.04. М.: ИБМХ РАМН, 2010. 27 с.
- Киселев М.А. // Физика элементарных частиц и атомного ядра. 2011. Т. 42. С. 578.
- Свергун Д.И., Фейгин Л.А. Рентгеновское и нейтронное малоугловое рассеяние. М.: Наука, 1986. 276 с.
- Kucerka N., Mu-Ping Nieh, John Katsaras J. // Advances in Planar Lipid Bilayers and Liposomes. Elsevier; Burlington: Academic Press, 2010. V. 12. P. 201.
- Kiselev M.A., Lombardo D. // Biochim. Biophys. Acta. 2017. V. 1861. P. 3700. https://www.doi.org/10.1016/j.bbagen.2016.04.022
- Kiselev M.A., Lesieur P., Kisselev F.M. et al. // J. Appl. Phys. A. 2002. V. 74. P. S1654. https://www.doi.org/10.1007/s003390201837
- Kiselev M.A., Zemlyanaya E.V., Aswal V.K., Neubert R. // Eur. Biophys. J. 2006. V. 35. P. 477. https://www.doi.org/10.1007/s00249-006-0055-9
- Киселев М.А., Земляная Е.В. // Кристаллография. 2017. Т. 62. С. 795. https://www.doi.org/10.7868/S0023476117050113
- Zemlyanaya E.V., Kiselev M.A., Zbytovska J. et al. // Crystallogr. Rep. 2006. V. 51. P. 22. https://www.doi.org/10.1134/S1063774506070054
- Земляная Е.В., Киселев М.А., Нойберт Р. и др. // Поверхность. Рентген., синхротр. и нейтрон. исслед. 2008. № 11. С. 14.
- Kiselev M.A., Zemlyanaya E.V., Ryabova N.Y. et al. // Appl. Phys. A. 2014. V. 116. P. 319. https://www.doi.org/10.1007/s00339-013-8123-3
- Киселев М.А., Земляная Е.В., Жабицкая Е.И., Аксенов В.Л. // Кристаллография. 2015. Т. 60. С. 140. https://www.doi.org/10.7868/S0023476115010117
- Киселев М.А., Земляная Е.В., Грузинов А.Ю. и др. // Поверхность. рентген., синхротр. и нейтрон. исслед. 2019. № 2. С. 49. https://www.doi.org/10.1134/S0207352819020057
- Патент 2 463 057 (Российская Федерация). Наноформа фосфолипидного препарата для перорального применения и способ ее получения / Научно-исследовательский институт биомедицинской химии им. В.Н. Ореховича РАМН(ИБМХРАМН). Арчаков А.И., Гусева М.К., Учайкин В.Ф. и др. // МПК A61K 31/685 A61K 9/127 A61K 1/16 B82B 1/00.
- Ipatova O.M., Torkhovskaya T.I., Medvedeva N.V. et al. // Biomed. Chem. 2010. V. 4. P. 82.
- Kiselev M.A., Zemlyanaya E.V., Ipatova O.M. et al. // J. Pharmaceutical Biomed. Analysis 2015 V. 114. P. 288. https://www.doi.org/10.1016/j.jpba.2015.05.034
- Kuklin A.I., Ivankov O.I., Rogachev A.V. et al. // Crystallography Reports. 2021. V. 66. № 2. P. 230. https://www.doi.org/10.1134/S1063774521020085
- Soloviev A.G., Solovjeva T.M., Ivankov O.I. et al. // J. Phys.: Conference Series. 2017. V. 848. P. 012020. https://www.doi.org/10.1088/1742-6596/848/1/012010
- Kiselev M.A., Lesieur P., Kisselev A.M., et al. // Nuclr. Instrum. Methods Phys. Res. A. 2001. V. 470. P. 409. https://www.doi.org/10.1016/S0168-9002(01)01087-7
- Библиотека компьютерных программ JINRLIB (2016) ОИЯИ, Дубна. http://www.jinr.ru/programs/jinrlib
- Dymov S.N., Kurbatov V.S., Silin I.N., Yaschenko S.V. // Nucl. Instrum. Methods Phys. Res. A. 2000. V. 440. P. 431. https://www.doi.org/10.1016/S0168-9002(99)00758-5
- Zhabitskaya E.I., Zhabitsky M.V. // Lecture Notes in Computer Science. Springer, 2012. V. 7125. P. 328.
- Жабицкая Е.И., Жабицкий M.В. // Математическое моделирование. 2012. Т. 24. № 12. С. 33.
- Земляная Е.В., Киселев М.А., Лукьянов К.В. и др. // Системный анализ в науке и образовании. 2017. № 4. С. 1.
Supplementary files





