Changes in the Concentration of Catecholamines in the Blood as a Risk Factor for the Development of Atherosclerotic Vascular Damage in Children with Family Hypercholesterolemia
- Authors: Nigmatullina R.R.1, Sadykova D.I.1, Salakhova K.R.1, Slastnikova E.S.1,2, Khusnutdinova L.R.1
-
Affiliations:
- Kazan State Medical University
- Children’s Republican Clinical Hospital
- Issue: Vol 41, No 4 (2024)
- Pages: 410-420
- Section: Articles
- URL: https://journals.rcsi.science/1027-8133/article/view/273907
- DOI: https://doi.org/10.31857/S1027813324040124
- EDN: https://elibrary.ru/EGFFAK
- ID: 273907
Cite item
Full Text
Abstract
Catecholamines are a class of chemical neurotransmitters and hormones that occupy key positions in the regulation of various physiological processes in the human body, as well as those involved in the development of neurological, psychiatric, and endocrine diseases. Today, of particular interest is the study of the participation of catecholamines in the formation and progression of cardiovascular diseases of atherosclerotic origin. A promising model for research in this area may be familial hypercholesterolemia, which is characterized by the early development of CVD at a young age due to prolonged exposure to elevated concentrations of atherogenic lipoproteins on the wall of arterial vessels. As part of this work, a cross-sectional study was conducted with the participation of two pediatric groups, which included patients diagnosed with familial hypercholesterolemia and apparently healthy children without cardiovascular diseases. Plasma concentrations of L-3,4-dihydroxyphenylalanine and dihydroxyphenylacetic acid were higher in children with familial hypercholesterolemia than in the control group. Concentrations of adrenaline in blood plasma in the main group compared to healthy people were 10% lower. Positive correlations were revealed between the level of L-3,4-dihydroxyphenylalanine, dihydroxyphenylacetic acid and indicators of arterial vascular stiffness, as well as total cholesterol. The results of our study confirm that catecholamines are involved in the pathogenesis of cardiovascular diseases of atherosclerotic origin and their biosynthesis is altered in children with familial hypercholesterolemia.
Full Text
ВВЕДЕНИЕ
Катехоламины – химические соединения с двумя соседними гидроксильными группами в бензольном кольце [1]. В плазме крови человека содержится шесть основных катехолов. L-3,4-дигидроксифенилаланин (ДОФА) – предшественник катехоламинов, непосредственно сами катехоламины (дофамин (ДА), норадреналин (НА), адреналин (А)) и два их метаболита: дигидроксифенилуксусная кислота (ДОФУК) — метаболит ДА и дигидроксифенилгликоль (ДГПГ) - основной метаболит НА [1, 2].
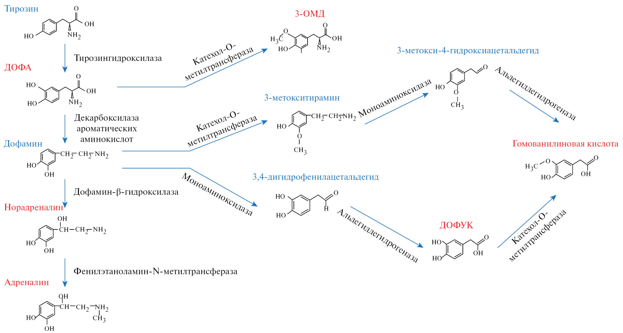
Синтез катехоламинов начинается в центральных, периферических нейронах и в мозговом веществе надпочечников с аминокислоты тирозина. Под действием фермента тирозингидроксилазы (ТГ) тирозин последовательно превращается в ДОФА. На следующем этапе при воздействии декарбоксилазы ароматических аминокислот (AADC) из ДОФА образуется ДА. В норадренергических нейронах симпатической нервной системы, в стволе мозга и хромаффинных клетках надпочечников ДА превращается в НА с помощью дофамин-β-гидроксилазы (DBH). Адреналин синтезируется из НА под действием фенилэтаноламин-N-метилтрансферазы, присутствующей в адренергических клетках мозгового вещества надпочечников и в нейронах нижних отделов ствола мозга [3]. Подробный путь биосинтеза и деградации катехоламинов представлен на рис. 1.
Рис. 1. Путь биосинтеза и деградации катехоламинов. Красным цветом выделены катехоламины и их метаболиты, которые были оценены в настоящем исследовании. ДОФА – L-3,4-дигидроксифенилаланин, 3-ОМД – 3-метокитирозин, ДОФУК – дигидроксифенилуксусная кислота
ДОФА – предшественник ДА, НА, А и “ключевой игрок” в функционировании всех эффекторныхсистем, использующих катехоламины [2]. Концентрации ДОФА в плазме крови превышают уровни НА примерно в 10 раз вследствие более быстрого выведения последнего из плазмы. Определение концентрации ДОФА может отражать биосинтез всех катехоламиновв организме [4].
ДОФУК – продукт окисления дигидроксифенилацетальдегида. Уровни ДОФУК в плазме крови приблизительно в 50 раз выше, чем ДА, из-за гораздо более медленного выведения ДОФУК из кровообращения. Часть ДОФУК в плазме образуется в результате метаболизма ДА в цитоплазме симпатических нейронов, другая – в результате преобразования ДА в ненейрональных клетках желудочно-кишечного тракта [2].
Плазменный НА синтезируется в сети симпатических нейронов, которые оплетают кровеносные сосуды, преимущественно артериолы и проникают в различные органы человека, например в сердце и почки. В сердце симпатические нервы образуют решетчатую сеть вокруг клеток миокарда. В кровоток поступает лишь малая часть неизмененного НА, синтезированного в симпатических нейронах, так как большая его часть метаболизируется еще до попадания катехоламина в интерстициальную жидкость или плазму. Концентрация НА в плазме крови зависит от двух составляющих: скорость высвобождения катехоламина в кровоток и скорость его выведения. В плазму НА может попадать и пассивно, просачиваясь в цитоплазму из везикулярных запасов, однако быстро рециркулируется при помощи везикулярного переносчика моноаминов. Небольшая часть НА в цитоплазме подвергается ферментативному окислительному дезаминированию, катализируемому под воздействием моноаминоксидазы (МАО) с образованием 3,4-дигидрофенилацетальдегида.
Адреналин синтезируется в клетках мозгового вещества надпочечников и попадает непосредственно в кровоток. Концентрация А в плазме крови, как правило, ниже, чем НА. В отличие от НА, уровень А в плазме крови заметно увеличивается в ответ на патологические изменения в организме, такие как гипотензия или гипогликемия. Это, по-видимому, отражает относительно большую активацию адреномедуллярной гормональной, чем симпатической норадренергической системы [2].
Катехоламины играют важную роль в физиологической регуляции сердечно-сосудистой, дыхательной, метаболической и иммунной систем [8]. Изменения концентрации катехоламинов и их функций определяются при различных заболеваниях: феохромоцитоме, болезни Паркинсона, шизофрении, синдроме дефицита внимания с гиперактивностью, гемолитико-уремическом синдроме [6–8].
Особенный интерес представляет изучение участия катехоламинов в развитии и прогрессировании сердечно-сосудистых заболеваний (ССЗ) атеросклеротического генеза. Еще во второй половине XX века появились первые сведения о том, что развитие атеросклеротического процесса в сосудах связано с изменениями уровня катехоламинов в плазме крови [9]. Например, H.J. Bauch с соавт. обнаружили, что у пациентов с ишемический болезнью сердца концентрация НА и А более чем в два раза превышали таковые в группе контроля. А, НА, ДА и некоторые их метаболиты стимулируют пролиферацию гладкомышечных клеток и клеток эндотелия, приводя к образованию атеросклеротических бляшек [10]. На моделях животных было показано, что инфузии А и НА приводят не только к прогрессирующему атеросклерозу аорты и коронарных артерий, но и к развитию инфаркта миокарда [11, 12]. Значимая роль катехоламинов в патогенезе атеросклеротического поражения сосудов в настоящее время подтверждается результатами, полученными на взрослой популяции [13]. Доказано, что у людей, подверженных факторам риска развития ССЗ (курение, стрессовые ситуации, высокое артериальное давление), пациентов с ишемической болезнью определяются более высокие значения уровня катехоламинов в плазме крови [10, 13]. В специализированной научной литературе встречаются единичные исследования, посвященные изучению концентрации катехоламинов у детей с гиперхолестеринемией. Например, у маленьких детей с феохромоцитомой были описаны случаи генерализованного атеросклероза и инфаркта миокарда [13].
Перспективной моделью для изучения роли катехоламинов в патогенезе развития атеросклероза может стать семейная гиперхолестеринемия.
Семейная гиперхолестеринемия — распространенное моногенное заболевание, протекающее с высокими концентрациями общего холестерина (ОХ) и липопротеидов низкой плотности (ЛПНП) в плазме крови [14]. Длительное воздействие повышенных концентраций атерогенных липопротеидов на стенку артериальных сосудов приводит к преждевременному развитию ССЗ в молодом возрасте [15]. По последним данным у 1 из 313 обследованных регистрируется гетерозиготная форма семейной гиперхолестеринемии [16]. Учитывая результаты многочисленных исследований, можно предположить, что количество пациентов с семейной гиперхолестеринемией в мире может составлять около 35 млн. человек, в том числе 6–8 млн.— это дети до 18 лет [17]. Известно, что в течение первых десятилетий жизни, гетерозиготная форма семейной гиперхолестеринемии, как правило, протекает бессимптомно, соответственно клинические проявления заболевания отсутствуют. Манифестация симптомов чаще всего приходится на возраст старше тридцати лет, при этом качество жизни значительно ухудшается, а ее продолжительность сокращается в среднем на 25 лет [15].
Гиперхолестеринемия приводит к структурно-морфологическим изменениям сосудистой стенки, которые проявляются потерей эластичности и повышенной ригидностью артерий. Данные нарушения вызывают увеличение скорости пульсовых волн, поскольку они движутся быстрее в жестких артериях. Функциональные изменения в сосудах происходят задолго до первых клинических симптомов, поэтому изменение скорости пульсовой волны (СПВ) является ранним маркером субклинического атеросклероза [18]. Определение толщины комплекса “интима – медиа” сонных артерий (ТКИМ) также относят к основным методам ранней диагностики атеросклероза у детей с семейной гиперхолестеринемией. Методика информативна еще до появления клинической картины ишемической болезни сердца (ИБС) [19].
Цель исследования – оценить изменение концентрации катехоламинов в плазме крови у детей с семейной гиперхолестеринемией – как фактор риска развития атеросклеротического поражения сосудов.
Понимание механизмов, лежащих в основе развития атеросклеротического поражения сосудов у детей, позволит в будущем разработать новые биомаркеры ранней диагностики атеросклероза, а также новые классы лекарственных препаратов.
МЕТОДЫ ИССЛЕДОВАНИЯ
Кросс-секционное исследование с участием двух педиатрических групп проходило на базе республиканского центра липидологии для детей ГАУЗ “Детская республиканская клиническая больница” Министерства здравоохранения Республики Татарстан. Дети были включены в исследование и разделены на группы в соответствии с критериями включения и исключения. Критериями включения в основную группу были: 1) возраст детей от 5 до 17 лет включительно; 2) генетически подтвержденный диагноз гетерозиготной формы семейной гиперхолестеринемии. Критерии исключения: 1) установленный диагноз гомозиготной формы семейной гиперхолестеринемии; 2) применение гиполипидемических препаратов; 3) назначение препаратов, которые изменяют или взаимодействуют с моноаминергической системой; 4) противопоказания к суточному мониторированию артериального давления. В состав контрольной группы вошли условно здоровые дети в возрасте от 5 до 17 лет без ССЗ и с уровнем ОХ<4.4 ммоль/л. Всем участникам исследования и их законным представителям были предоставлены подробные сведения о целях, процедурах, преимуществах и потенциальных рисках исследования. Информированное согласие было подписано всеми участниками исследования или их законными представителями и все они предоставили свое письменное информированное согласие до начала участия. Исследование одобрено комитетом по этике научных исследований Казанского государственного медицинского университета (протокол № 11 от 19 декабря 2023 г.). Настоящая работа была проведена в соответствии с Кодексом этики Всемирной медицинской ассоциации (Хельсинкская декларация) для экспериментов с участием людей.
Всем детям был рассчитан индекс массы тела (ИМТ) по формуле “масса/рост в квадрате” (кг/м2).
В исследуемых группах было проведено суточное мониторирование артериального давления с последующей оценкой ригидности сосудистой стенки при помощи программно-аппаратного комплекса Vasotens® (Петр Телегин, Нижний Новгород, Россия). С данной целью устанавливалась пневматическая манжета на плечо ребёнка, на пояс крепился аппарат BPLab®. Аппарат предварительно настраивался при помощи программы с помощью персонального компьютера. Измерения проводились в течении 24 часов, после чего аппарат снимался и собранные данные загружались на персональный компьютер. Показатели артериальной жёсткости рассчитывались при помощи программного обеспечения Vasotens® (Версия 06.02.01.15410).
Всем детям было проведено измерение толщины комплекса “интима – медиа” общей сонной артерии с обеих сторон при помощи ультразвукового сканера HD11XE (Philips, США) с использованием линейного (3–12МГц) датчика.
Показатели липидного профиля и биохимического анализа крови определяли в сыворотке крови с использованием набора реагентов F. Hoffman La Roche (Базель, Швейцария) на автоматическом анализаторе Cobas 6000 (Roche, Базель, Швейцария).
Концентрации катехоламинов и их метаболитов в плазме крови определялись методом высокоэффективной жидкостной хроматографии (ВЭЖХ) с электрохимической детекцией.
Забор крови пациентам исследуемых групп проводился в утренние часы после ночного голодания. Для проведения лабораторных исследований использовалась венозная кровь, собранная в пробирки с этилендиаминуксусной кислотой в объеме 2 мл. Полученные образцы крови в течение 1 ч доставляли в лабораторию Детской республиканской клинической больницы для последующего центрифугирования и подготовки образцов.
Для определения концентрации катехоламинов и их метаболитов в плазме крови венозную кровь, полученную от участников исследования центрифугировали 20 минут при температуре +4°C со скоростью 1500 g. Затем отделяли плазму от форменных элементов, переносили в отдельный эппендорф и хранили при температуре –80°C до проведения анализа. Содержание катехоламинов определяли методом ВЭЖХ с электрохимической детекцией на хроматографе LC - 304 Т (BAS, США).
Статистическую обработку данных проводили с использованием программы STATISICA 6.0. Нормальное распределение признака констатировали при р > 0.05 (тест Шапиро-Уилка). Непараметрические методы статистического анализа использовали в ином случае. При нормальном распределении признака рассчитывали среднюю арифметическую (М, Мean) и 95% доверительный интервал (ДИ), при распределении признака, отличном от нормального, из мер центральной тенденции определяли медиану (Меdian, Ме), из мер рассеяния – межквартильный размах (МКР значения 25-го и 75-го процентилей). Относительные частоты признаков представляли в процентах (%), рядом указывали полученные абсолютные значения и общее количество пациентов в группе (n/N). Достоверность различий между группами рассчитывали с использованием t-критерия Стьюдента, критерия хи-квадрат, точного критерия Фишера (в группах с малым числом участников), U-критерия Манна-Уитни в зависимости от ситуации. Анализ связи двух признаков проводили с помощью ранговой корреляции по Спирмену.
РЕЗУЛЬТАТЫ ИССЛЕДОВАНИЯ
В кросс-секционном исследовании приняли участие 64 ребенка в возрасте от 5 до 17 лет. В состав основной группы вошли 32 пациента с генетически подтвержденным диагнозом гетерозиготной формы семейной гиперхолестеринемии, в группу контроля – 32 ребенка без ССЗ. Группы не имели статистически значимых различий по возрасту и полу. Средний возраст детей с семейной гиперхолестеринемией составил 10 лет 4 месяца (ДИ 2.9–17.7), у их здоровых сверстников – 10 лет 7 месяцев (ДИ 2.4–18.9). В основную группу вошли 53% мальчиков (17/32), в контрольную – 59% (19/32). Всем участникам исследования была проведена оценка индекса массы тела (ИМТ) с учетом их пола и возраста с использованием критериев Z-score по рекомендациям ВОЗ [20]. Более половины детей в основной группе имели нормальные значения ИМТ– 75% (24/32), 18.75% (6/32) пациентов с наследственной дислипидемией – белково-энергетическую недостаточность (БЭН) легкой степени, а у 6.25% (2/32) была выявлена избыточная масса тела. При анализе ИМТ детей из группы контроля были получены схожие данные. ИМТ в диапазоне нормальных значений был зарегистрирован у 68.75% (22/32) детей, 21.8% (7/32) детей были отнесены к БЭН легкой степени, а 9.3% (3/32) имели избыточную массу тела. Основные характеристики исследуемых групп представлены в таблице 1.
Таблица 1. Основные характеристики исследуемых групп
Основная группа | Группа контроля | p1 | |||
М2 | ДИ | М | ДИ | ||
Возраст, лет | 10.4 | 2.2–18.6 | 10.7 | 3.3–18.1 | 0.536 |
Рост, см | 143 | 97.4–188.6 | 143.7 | 92.2–189.3 | 0.912 |
Ме3 | МКР | Ме | МКР | ||
Вес, кг | 34.5 | 25.5–51.5 | 33 | 23.5–60.5 | 0.497 |
1p – уровень статистической значимости различий.
2М – среднее арифметическое, ДИ– стандартное отклонение.
3Ме – медиана, МКР – межквартильный размах.
Всем детям был проведен общеклинический анализ крови, анализ липидного профиля, биохимический анализ крови и стандартная коагулограмма. Не было обнаружено статистически значимой разницы между двумя группами, кроме показателей липидограммы. Концентрация общего холестерина у детей с семейной гиперхолестеринемией была в 2 раза выше, чем у детей в контроле, а ЛПНП – в 2.5 раза выше, p<0.05. Средний уровень липопротеидов высокой плотности (ЛПВП) был ниже у детей в основной группе по сравнению с их здоровыми сверстниками, р<0.05. Результаты липидограммы представлены в таблице 2.
Таблица 2. Результаты липидограммы
Основная группа | Группа контроля | p1 | |||
М | ДИ | М | ДИ | ||
ОХ2, ммоль/л | 7.6 | 5.75–9.45 | 3.8 | 2.64–4.96 | <0.001 |
ЛПВП, ммоль/л | 1.3 | 0.74–2.86 | 1.6 | 0.91–2.29 | 0.016 |
ЛПНП, ммоль/л | 5.4 | 3.7–7.1 | 2.2 | 1.27–3.13 | <0.001 |
ТГ, ммоль/л | 0.8 | 0.15–1.45 | 0.6 | 0.21–0.99 | 0.003 |
1p – уровень статистической значимости различий.
2ОХ – общий холестерин, ЛПВП – липопротеиды высокой плотности, ЛПНП – липопротеиды низкой плотности, ТГ – триглицериды.
Исследуемым пациентам было проведено суточное мониторирование артериального давления с оценкой артериальной ригидности сосудов с измерением следующих параметров: скорость пульсовой волны (СПВ), индекс аугментации (AIx) и амбулаторный индекс ригидности артерий (AASI). При сравнении полученных значений минимальной скорости пульсовой волны (СПВмин), средней скорости пульсовой волны (СПВср) и максимальной скорости пульсовой волны (СПВмакс) были обнаружены статистически значимые различия между двумя группами (p<0.001).У детей с семейной гиперхолестеринемией было выявлено существенное увеличение СПВ: минимальной в 1.3 раза, средней более чем в 1.5 раза и максимальной в 1.4 раза. В соответствии с полученными результатами в исследуемых группах не было обнаружено статистически значимых различий минимального AIx (AIxмин) (p = 0.387) и максимального AIx (AIxмакс) (p = 0.723). В то же время у пациентов с семейной гиперхолестеринемией по сравнению с их здоровыми сверстниками была выявлена статистически значимая разница среднего AIx (AIxср) (Ме -41 [ДИ –(77–67.5)] и Ме -74 [ДИ –(78.5–68.6)], p < 0.001).У детей из основной группы AASI был выше в 1,2 раза, p = 0.017.
Результаты суточного мониторирования артериального давления с последующей оценкой ригидности сосудистой стенки при помощи программно-аппаратного комплекса Vasotens® представлены в таблице 3.
Таблица 3. Результаты суточного мониторирования артериального давления с последующей оценкой ригидности сосудистой стенки
Показатель | Основная группа | Группа контроля | р1 | ||
Ме | МКР | Ме | МКР | ||
СПВмин2, м/с | 4.4 | 3.6–5.8 | 3.4 | 2.8–3.9 | <0.001 |
СПВср, м/с | 7 | 5.8–8.1 | 4.3 | 3.7–5.1 | <0.001 |
СПВмакс, м/с | 8.8 | 7.4–11.4 | 6.5 | 5.5–7.4 | <0.001 |
AIxмин, % | –72.5 | –(77 – 67.5) | –74 | –(78.5 – 68.5) | 0.387 |
AIxср, % | –41 | –(48 – 34) | –52.3 | –(61 – 45) | <0.001 |
AIxмакс, % | 13.6 | 4–35 | 20.2 | 2–40.5 | 0.723 |
AASI | 0.54 | 0.44–0.64 | 0.46 | 0.35–0.55 | 0.017 |
1р – уровень статистической значимости различий.
2СПВ – скорость пульсовой волны, AIx – индекс аугментации, AASI – амбулаторный индекс ригидности.
В дополнении к суточному мониторированию артериального давления всем детям также проводилось измерение ТКИМ общей сонной артерии, которое, является “золотым стандартом” в диагностике субклинического атеросклероза у пациентов с семейной гиперхолестеринемией. Было установлено статистически значимое увеличение ТКИМ общей сонной артерии у детей с cемейной гиперхолестеринемией (Ме 0.45 [МКР 0.41–0.48] мм) по сравнению с контрольной группой (Ме 0.4 [МКР 0.35–0.41] мм), p < 0.001.
В ходе нашего исследования были оценены следующие катехоламины и их метаболиты: ДОФА, 3-метокситирозин (3-ОМД), ДОФУК, гомованилиновая кислота(ГВК), НА и А. Основные результаты исследования и их сравнение представлены в таблице 4.
Таблица 4. Значения показателей катехоламинов, их метаболитов у детей с семейной гиперхолестеринемией
Показатели | Основная группа | Группа контроля | p1 | ||
Ме | МКР | Ме | МКР | ||
ДОФУК2 (пмоль/мл) | 3.8 | 2.8–5.5 | 2.1 | 1.4–2.9 | 0.007 |
ГВК (пмоль/мл) | 55.9 | 42.7–57.3 | 51 | 41.4–66.5 | 0.261 |
НА (пмоль/мл) | 1.56 | 1.32–1.91 | 1.96 | 1.41–2.34 | 0.116 |
А (пмоль/мл) | 0.9 | 0.7–1 | 1 | 0.8–1.5 | 0.028 |
М | ДИ | М | ДИ | ||
ДОФА (пмоль/мл) | 5.5 | 3.7–7.3 | 4.5 | 3.1–5.8 | <0.001 |
3-ОМД (пмоль/мл) | 73.3 | 42.7–103.9 | 70 | 33.7–106.2 | 0.441 |
1p – уровень статистической значимости различий.
2ДОФУК – дигидроксифенилуксусная кислота, ГВК – гомованилиновая кислота, НА – норадреналин, А – адреналин, ДОФА – L-3,4-дигидроксифенилаланин, 3-ОМД – 3-метокситирозин.
При сравнении показателей концентрации ДОФА в плазме крови у детей основной и контрольной групп было выявлено, что у пациентов с семейной гиперхолестеринемией определяются более высокие значения предшественника катехоламинов. Уровень ДОФА у детей первичной дислипидемией был в 1.2 раза выше по сравнению со здоровыми сверстниками, p < 0.001.
У пациентов с семейной гиперхолестеринемией медиана 3-ОМД, продукта метилирования ДОФА, была выше, чем у группы контроля, однако не была статистически значима, p = 0.441.
Статистически значимые различия были получены и при сравнении концентрации ДОФУК, который является одним из ключевых метаболитов ДА. Концентрация ДОФУК в плазме крови у детей с семейной гиперхолестеринемией в 1.8 раз превышали значения в группе контроля, p = 0.007.
Медиана концентрации ГВК, основного продукта обмена ДА, на 10% была выше у пациентов с наследственной дислипидемией, однако уровня статистической разницы по сравнению со здоровыми детьми не достигала, p = 0.261.
У пациентов основной группы концентрации НА и А в плазме крови были ниже, чем у группы контроля на 20% и 10% соответственно, тем не менее статистически значимые различия между группами были выявлены только в отношении А, p = 0.028.
В процессе корреляционного анализа были выявлены отрицательные связи между концентрацией ДОФА в плазме крови и возрастом, весом и ростом детей (табл. 5) и положительные корреляции с ОХ и с такими инструментальными маркерами артериальной ригидности, как СПВср, AIxСр, ТКИМ (табл. 6). Отрицательная связь также была обнаружена между концентрацией 3-ОМД и возрастом, весом, ростом (табл. 5) и AASI (ρ = –0.3, p = 0.015).
Таблица 5. Корреляция между ДОФА, 3-ОМД и возрастом, весом, ростом детей с семейной гиперхолестеринемией
Возраст | Вес | Рост | ||||
ρ1 | p | ρ | p | ρ | p | |
ДОФА2 | –0.3 | 0.024 | –0.3 | 0.033 | –0.3 | 0.034 |
3-ОМД | –0.5 | <0.001 | –0.5 | <0.001 | –0.5 | <0.001 |
1ρ – коэффициент корреляции Спирмена, p – уровень статистической значимости различий.
2ДОФА – L-3,4-дигидроксифенилаланин, 3-ОМД – 3-метокситирозин.
Наше исследование позволило выявить положительные корреляции между концентрацией ДОФУК в плазме крови и ОХ, ТКИМ, AIxСр (табл. 6). Кроме того, между уровнем ГВК и ТКИМ была определена отрицательная связь (ρ = –0.3, p = 0.033). Была обнаружена отрицательная корреляция между НА и ОХ (ρ = –0.3, p = 0.010), а также положительная корреляция между А и ЛПВП (ρ = 0.4, p = 0.017).
Таблица 6. Корреляция между ДОФА, ДОФУК и инструментальными маркерами артериальной жесткости и общим холестерином у детей с семейной гиперхолестеринемией
ТКИМ1 | СПВср | AIxСр | ОХ | |||||
ρ2 | p | ρ | p | ρ | p | ρ | p | |
ДОФА3 | 0.3 | 0.005 | 0.3 | 0.042 | 0.4 | 0.002 | 0.5 | <0.001 |
ДОФУК | 0.3 | 0.011 | 0.3 | 0.010 | 0.4 | <0.001 | ||
1ТКИМ – толщина комплекса интима-медиа общей сонной артерии, СПВ – скорость пульсовой волны, AIxСр – индекс аугментации, ОХ – общий холестерин.
2ρ – коэффициент корреляции Спирмена, p – уровень статистической значимости различий.
3ДОФА – L-3,4-дигидроксифенилаланин, ДОФУК – дигидроксифенилуксусная кислота.
ОБСУЖДЕНИЕ РЕЗУЛЬТАТОВ
Результаты нашего исследования показали наличие связи между уровнем катехоламинов, их метаболитов и атеросклеротическими изменениями сосудистой стенки.
ДОФА – предшественник эндогенных катехоламинов. На сегодняшний день его источник и значения в организме человека неизвестны [21]. Настоящее исследование показало, что уровни ДОФА в плазме крови у пациентов с семейной гиперхолестеринемией были выше, чем у здоровых детей, что коррелировало с концентрацией общего холестерина в плазме и инструментальными маркерами атеросклеротических изменений сосудистой стенки. В экспериментальных работах с участием лабораторных животных было показано, что ДОФА обладает гиполипидемическим эффектом, ингибируя окисление липопротеидов низкой плотности [22]. Интраперитонеальное введение ДОФА приводило к снижению уровня общего холестерина в плазме крови, а также к уменьшению атеросклеротических изменений в аорте кроликов [23]. В другом исследовании ДОФА использовался в комплексной терапии пациентов с ишемической болезнью сердца в течение четырех недель. Результаты исследования продемонстрировали снижение концентрации атерогенных липопротеидов в плазме крови. При использовании ДОФА у больных, перенесших инфаркт миокарда, улучшались гемодинамические показатели и клиническое течение ишемической болезни сердца [24]. В ходе исследования была выявлена отрицательная связь между уровнем ДОФА и возрастом детей. Эти результаты согласуются с данными о наличии связи между ДОФА и соматотропином [25]. G. Eisenhofer с соавт. на основании результатов своей работы предположили, что ДОФА в плазме крови отражает активность тирозингидроксилазы [21]. В одном из европейских исследований, посвященных метаболомической характеристике артериальной ригидности у пациентов мужского пола с заболеванием периферических артерий было выявлено, что у людей с атеросклерозом уровни тирозина были выше по сравнению с группой контроля. Была обнаружена положительная корреляция между концентрацией тирозина и уровнем оксЛПНП и СПВ [26]. Мы предполагаем, что у детей с семейной гиперхолестеринемией также будут определяться повышенные концентрации тирозина. Выявленные корреляции между метаболитом ДОФА и AASI, который является одним из инструментальных маркеров ремоделирования сосудов, подтверждают нашу гипотезу о вовлечении катехоламинов в патогенез сердечно-сосудистых заболеваний атеросклеротического генеза.
3-ОМД является одним из двух метаболитов ДОФА, который образуется под воздействием фермента CОМТ. В настоящий момент его физиологическая роль до конца не изучена. Известно, что у пациентов с болезнью Паркинсона концентрация 3-ОМД в крови превышает физиологический уровень [27]. Однако исследования в области сердечно-сосудистых заболеваний и 3-ОМД ранее не проводились. В ходе нашей работы мы не обнаружили статистически значимых различий концентрации 3-ОМД в плазме крови у детей с семейной гиперхолестеринемией и их здоровых сверстников.
ДОФУК – основной метаболит ДА. Образование ДОФУК отражает действие двух последовательных ферментов: МАО и альдегиддегидрогеназы (ALDH). Его предшествующий промежуточный метаболит, 3,4-дигидроксифенилацетальдегид, высокотоксичен и находится в центре внимания “гипотезы катехолальдегида” о гибели катехоламиновых нейронов при болезни Паркинсона [28]. Исследований по изучению ДОФУК и его участие в патогенезе атеросклероза до этого не проводилось.
ДОФА – предшественник ДА, а ДОФУК – его основный метаболит. В ходе нашего исследования мы выявили, что эти показатели были статистически значимо выше у детей основной группы. Это косвенно позволяет предположить увеличение концентрации самого ДА в плазме крови у пациентов с семейной гиперхолестеринемией. У человека не менее 95% ДА в плазме циркулирует в сульфоконъюгированной форме. На долю ДА в организме человека приходится лишь 2–4% от всего количества катехоламинов, высвобождаемых при симпатической стимуляции. Везикулы, подвергающиеся экзоцитозу из симпатических нервов, содержат НА примерно в 25–50 раз больше, чем ДА [2]. В последние десятилетия активно начали изучаться противовоспалительные эффекты периферического дофамина [29]. Через рецепторы D1R, D2R, D4R и D5R ДА опосредует свое воздействие на сердечно-сосудистую систему. Цзяо Лю с соавт. в своем исследовании показали, что передача сигналов D1R подавляла воспаление NLRP3 в кардиомиоцитах, обработанных доксорубицином, уменьшала повреждение сердца и фиброз у мышей, получавших доксорубицин [30]. В свою очередь доказано, что внеклеточное и внутриклеточное накопление холестерина провоцирует NLRP3-зависимое воспаление при атеросклерозе [31]. В культурах желудочковых миоцитов новорожденных крыс стимуляция D2-подобных рецепторов бромокриптином ингибировала индуцированную ангиотензином II гипертрофию желудочковых миоцитов новорожденных крыс и уменьшала апоптоз в миоцитах, подвергнутых ишемии/реперфузионному повреждению [32, 33]. Показано, что воспалительные цитокины, например, IL- 1β, который играет важную роль вразвитии атеросклероза, способствуют дифференцировке мезэнцефалических клеток-предшественников в дофаминергические нейроны [34, 35].
ГВК в плазме крови образуется в результате O-метилирования ДОФУК в ненейрональных клетках. Ингибирование ферментакатехол-О-метилтрансферазы (COMT) увеличивает уровень ДОФУК при одновременном снижении концентрации ГВК [2]. ГВК выводится с мочой и в некоторых случаях используется для диагностики дефицита моноаминовых нейротрансмиттеров [3]. В нашем исследовании у детей с семейной гиперхолестеринемией концентрация ГВК в плазме крови была на 10% выше по сравнению со здоровыми детьми.
Большинство исследований, посвященных изучению участия катехоламинов в развитии сердечно-сосудистых заболеваний, сосредоточены на двух соединениях – НА и А. В исследованиях доказано [2], что уровни А в плазме крови, как правило, ниже, чем НА, что согласуется с нашими данными. Физиологические реакции на активацию симпатической нервной системы и мозгового слоя надпочечников опосредуются действием эндогенных катехоламинов НА и А на адренергические рецепторы. Эндогенные катехоламины выполняют в организме широкий спектр функций благодаря большому разнообразию рецепторов [36]. Существует два типа адренорецепторов: альфа (α) и бета (β). К α-адренорецепторам относятся α1 и α2, а к β-адренорецепторам – β1, β2 и β3 [37, 38]. Адренергические рецепторы относятся к суперсемейству рецепторов, связанных с G-белком (GPCR) [39]. Несмотря на то, что норадреналин оказывает более сильное влияние на α-адренорецепторы, он может стимулировать как α-, так и β-адренорецепторы. Способ влияния симпатической активации на эффекторные клетки зависит от относительного количества α- и β-адренорецепторов в клеточной мембране того или иного органа. Все пять типов адренорецепторов экспрессируются в сосудистой сети. α1-адренорецепторы преимущественно встречаются в периферических артериальных кровеносных сосудах, β1-адренорецепторы распределены в грудной аорте, сонных, бедренных и легочных артериях, β2-адренорецепторы расположены в аорте и сонных артерияхи β3-адренорецепторы – в кровеносных сосудах кожи [37].
Тромбоциты участвуют в патогенезе поражения сосудов как при атеросклерозе, так и при артериальной гипертензии. На их реактивность in vivo влияют различные факторы, включая активацию симпатоадреналовой системы, уровень атерогенных липопротеинов в плазме. При повреждении эндотелия в сосудах происходит адгезия тромбоцитов в субэндотелиальном слое, из тромбоцитов высвобождаются хемоаттрактанты, митогенные факторы, например серотонин. В последствии это вызывает миграцию лейкоцитов из кровотока и пролиферацию гладкомышечных клеток сосудов. В зависимости от целости эндотелия сосудов молекулы, высвобождаемые из тромбоцитов, могут быть вазорелаксантами при эндотелиальной целостности и вазоконстрикторами в присутствии эндотелиального повреждения, из-за их прямого влияния на клетки гладкой мышцы сосудов [40].
На мембране тромбоцитов преобладают α2-адренорецепторы. На сегодняшний день участие α2-адренорецепторов в развитии атеросклероза остается неясным [37]. В недавнем исследовании было показано, что введение агониста α2-адренорецепторов моксонидина уменьшало образование атеросклероза в дуге аорты и левой общей сонной артерии у экспериментальных мышей [41]. Катехоламины посредством своей стимуляции при низких концентрациях усиливают действие других агонистов (например, АДФ, коллагена и тромбина), а в более высоких – инициируют реакции тромбоцитов, включая агрегацию и секрецию [36, 40]. Физиологические и патологические состояния, вызывающие активацию симпатоадреналовой системы, такие как инфаркт миокарда или сердечная недостаточность, изменяют популяцию циркулирующих тромбоцитов и модулируют их реактивность за счет увеличения циркулирующих катехоламинов [40]. Н.Г. Ардли с соавт. в своем исследовании обнаружили, что эндогенные катехоламины при минимальных концентрациях в присутствии серотонина усиливают агрегацию тромбоцитов [42]. В нашей предыдущей работе [43] мы выявили, что у пациентов с семейной гиперхолестеринемией уровень серотонина в плазме крови и тромбоцитах выше, чем у здоровых детей. В настоящем исследовании у детей с первичной дислипидемией А были ниже, чем у группы контроля, однако, мы предполагаем, что при взаимодействии с серотонином этих концентраций достаточно для активации тромбоцитов. Также при низких концентрациях катехоламины стимулируют синтез коллагена, пролиферация которого в последующем приводит к повышению жесткости сосудов [36, 44]. Результаты нашего исследования показывают, что основные показатели, характеризующие артериальную жесткость (скорость пульсовой волны, индекс аугментации и индекс амбулаторной жесткости), достоверно различались в сравниваемых группах.
ЗАКЛЮЧЕНИЕ
Представленные данные подтверждают, что катехоламины участвуют в патогенезе сердечно-сосудистых заболеваний атеросклеротического генеза и их биосинтез изменен у детей с семейной гиперхолестеринемией. В результате нашего исследования мы выявили различные уровни катехоламинов и их метаболитов у детей с семейной гиперхолестеринемией в сравнении с группой условно-здоровых детей.
ИСТОЧНИК ФИНАНСИРОВАНИЯ
Исследование выполнено за счет гранта Российского научного фонда № 23-15-00417, https://rscf.ru/project/23-15-00417/.
СОБЛЮДЕНИЕ ЭТИЧЕСКИХ НОРМ
Конфликт интересов. Авторы заявляют, что у них нет конфликта интересов.
Этическое одобрение. Все процедуры, выполненные в исследовании с участием людей, соответствуют этическим стандартам институционального и/или национального комитета по исследовательской этике и Хельсинкской декларации 1964 года и ее последующим изменениям или сопоставимым нормам этики.
Информированное согласие. От каждого из включенных в исследование участников было получено информированное добровольное согласие.
About the authors
R. R. Nigmatullina
Kazan State Medical University
Email: karina.salakh@mail.ru
Russian Federation, Kazan
D. I. Sadykova
Kazan State Medical University
Email: karina.salakh@mail.ru
Russian Federation, Kazan
K. R. Salakhova
Kazan State Medical University
Author for correspondence.
Email: karina.salakh@mail.ru
Russian Federation, Kazan
E. S. Slastnikova
Kazan State Medical University; Children’s Republican Clinical Hospital
Email: karina.salakh@mail.ru
Russian Federation, Kazan; Kazan
L. R. Khusnutdinova
Kazan State Medical University
Email: karina.salakh@mail.ru
Russian Federation, Kazan
References
- Goldstein D., Eisenhofer G., Kopin I. // Pharmacol Exp Ther. 2003. V. 305. №3. P. 800–811.
- Goldstein D. // Clin Auton Res. 2010. V. 20. № 6. P. 331–352.
- Rios M., Habecker B., Sasaoka T., Eisenhofer G., Tian H., Landis S., Chikaraishi D., Roffler-Tarlov S. // J Neurosci. 1999. V. 19. № 9. P. 3519–3526.
- Goldstein D., Eisenhofer G., Garty M., Folio C., Stull R., Brush J., Sax F., Keiser H., Kopin I. // Am J Hypertens. 1989. V. 2. № 3. P. 133–139.
- Gubbi S., Nazari M., Taieb D., Klubo-Gwiezdzinska J., Pacak K. //Lancet Diabetes Endocrinol. 2020. V. 8. № 12. P. 978–986.
- Stanford S., Heal D. // Brain Neurosci Adv. 2019. V. 3. P. 1–11.
- Nigmatullina R., Fedoseeva T., Zemskova S., Degtyareva E., Pronina T., Khakimova G., Ugrumov M., Kudrin V. // Catecholamine Research in the 21st Century: Abstracts and Graphical Abstracts, 10th International Catecholamine Symposium, 2012, 2013. P. 139.
- Макарова Т.П., Нигматуллина Р.Р., Кудрин В.С., Давлиева Л.А., Мельникова Ю.С., Марапов Д.И., Хуснутдинова Д.Р. // Практическая медицина. 2022. Т. 20. № 2. С. 92–97.
- Kones R. // Angiology. 1979. V. 30. № 5. P. 327–336.
- Bauch H., Grünwald J., Vischer P., Gerlach U., Hauss W.// Exp Pathol. 1987. V. 31. № 4. P. 193–204.
- Kukreja R., Datta B., Chakravarti R.// Atherosclerosis. 1981. V. 40. P. 291–298.
- Bhattacharya S., Chakravarti R., Wahi P. // Atherosclerosis. 1974. V. 20. № 2. P. 241–252.
- Bauch H., Hauss W. // Wurzburg Chromatography Colloquium. 1989. V. 28. P. 69–77.
- Садыкова Д.И., Салахова К.Р., Галимова Л.Ф., Сластникова Е.С., Халиуллина Ч.Д. // Вопросы современной педиатрии. 2023. Т. 22. № 3. С. 231–240.
- Ежов М.В., Бажан С.С., Ершова А.И., Мешков А.Н., Соколов А.А., Кухарчук В.В., Гуревич В.С., Воевода М.И., Сергиенко И.В., Шахтшнейдер Е.В., Покровский С.Н., Коновалов Г.А., Леонтьева И.В., Константинов В.О., Щербакова М.Ю., Захарова И.Н., Балахонова Т.В., Филиппов А.Е., Ахмеджанов Н.М., Александрова О.Ю., Липовецкий Б.М. // Атеросклероз. 2019. Т. 15. № 1. С. 58–98.
- Beheshti S., Madsen C., Varbo A., Nordestgaard B. // J Am Coll Cardiol. 2020. V. 75. № 20. P. 2553–2566.
- Mainieri F., Tagi V., Chiarelli F. // Biomedicines. 2022. V. 10. №5. P. 1043.
- Галимова Л.Ф., Садыкова Д.И., Сластникова Е.С., Марапов Д.И., Гусева Н.Э., Халиуллина Ч.Д. // Педиатрия им. Г.Н. Сперанского. 2022. Т. 101. № 2. С. 44–49.
- Садыкова Д.И., Галимова Л.Ф., Леонтьева И.В., Сластникова Е.С. // Российский вестник перинатологии и педиатрии. 2018. Т. 63. № 5. С. 152–154.
- ВОЗ. Ожирение и избыточная масса тела. Доступно онлайн: https://www.who.int/ru/news-room/fact-sheets/detail/obesity-and-overweight (дата обращения: 07.06.2024)
- Eisenhofer G., Brush J., Cannon R., Stull R., Kopin I., Goldstein D. // J Clin Endocrinol Metab. 1989. V. 68. №2. P. 247–255.
- Exner M., Hermann M., Hofbauer R., Kapiotis S., Gmeiner B. // Free Radical Research. 2003. V. 37. № 11. P. 1147–1156.
- Mosina I., Ryzhenkov V. // Bulletin of Experimental Biology and Medicine. 1981. V. 91. P. 268–270.
- Okunevich I. J Pharmaceutics and Pharmacology Research. 2021. V. 4. № 1. P. 1–3.
- Hayek A., Crawford J.// J Clin Endocrinol Metab. 1972.V. 34. № 5. P. 764-766.
- Zagura M., Kals J., Kilk K., Serg M., Kampus P., Eha J., Soomets U., Zilmer M. // Hypertens Res. 2015. V. 38. № 12. P. 840–846.
- Onzawa Y., Kimura Y., Uzuhashi K., Shirasuna M., Hirosawa T., Taogoshi T., Kihira K. // Biol Pharm Bull. 2012. V. 35. № 8. P. 1244–1248.
- Goldstein D., Kopin I., Sharabi Y. // PharmacolTher. 2014. V. 144. № 3. P. 268–282.
- Moore S., Vaz de Castro P., Yaqub D., Jose P., Armando I. // Int J Mol Sci. 2023. V. 24. № 18. P. 13816.
- Liu J., Jin Y., Wang B., Wang Y., Zuo S., Zhang J. // BiochemBiophys Res Commun. 2021. V. 561. P. 7–13.
- Bäck M., Yurdagul A., Tabas I., Öörni K., Kovanen P. // Nat Rev Cardiol. 2019. V. 16. № 7. P. 389–406.
- Li H., Shi S., Sun Y., Zhao Y., Li Q., Li H., Wang R., Xu C. // Clin Exp Pharmacol Physiol. 2009. V. 36. № 3. P. 312–318.
- Li H., Guo J., Gao J., Han L., Jiang C., Li H., Bai S., Zhang W., Li G., Wang L., Li H., Zhao Y., Lin Y., Tian Y., Yang G., Wang R., Wu L., Yang B., Xu C. // J Biomed Sci. 2011. V. 18. № 1. P. 18.
- Mai W., Liao Y. // Front Immunol. 2020. V. 11. P. 589654.
- Ling Z., Potter E., Lipton J., Carvey P. // Exp Neurol. 1998. V. 149. №2. P. 411–423.
- Amadio P., Zarà M., Sandrini L., Ieraci A., Barbieri S. // Int J Mol Sci. 2020. V. 21. № 20. P. 7560.
- Wang Y., Anesi J., Maier M., Myers M., Oqueli E., Sobey C., Drummond G., Denton K. // Int J Mol Sci. 2023. V. 24. № 17. P. 13132.
- Нигматуллина Р.Р., Земскова С.Н., Зефиров А.Л., Смирнов А.В. // Клеточно-молекулярные механизмы функционирования и регуляции сердца.Казань: Б. и., 2004. 100 с.
- Motiejunaite J., Amar L., Vidal-Petiot E. // Ann Endocrinol (Paris). 2021. V. 82. P. 193–197.
- Anfossi G., Trovati M. // Eur J Clin Invest. 1996. V. 26. № 5. P. 353–370.
- Wang Y., Nguyen D., Anesi J., Alramahi A., Witting P., Chai Z., Khan A., Kelly J., Denton K., Golledge J. // Int J Mol Sci. 2023. V. 24. № 4. P. 3857.
- Ardlie N., McGuiness J., Garrett J. // Atherosclerosis. 1985. V. 58. P. 251–259.
- Sadykova D., Nigmatullina R., Salakhova K., Slastnikova E., Galimova L., Khaliullina Ch., Valeeva I. // Int J Mol Sci. 2024. V. 25. № 2. P. 767.
- Ecobici M., Stoicescu C. // Maedica (Bucur). 2017. V. 12. № 3. P. 184–190.
Supplementary files



