Создание и исследование механизма действия соединений нового класса положительных модуляторов АМРА-рецепторов – производных 3,7-диазабицикло[3.3.1]нонанов
- Авторы: Григорьев В.В.1, Лавров М.И.2, Палюлин В.А.2, Гарибова Т.Л.3, Анохин К.В.4, Бачурин С.О.1
-
Учреждения:
- Институт физиологически активных веществ Федерального государственного бюджетного учреждение науки Федерального исследовательского центра проблем химической физики и медицинской химии РАН
- Химический факультет Московский государственный университет им. М.В. Ломоносова
- Федеральное государственное бюджетное научное учреждение “Научно-исследовательский институт фармакологии имени В.В. Закусова” РАН
- Федеральное государственное бюджетное научное учреждение Научно-исследовательский институт нормальной физиологии имени П.К. Анохина РАН
- Выпуск: Том 40, № 2 (2023)
- Страницы: 108-120
- Раздел: Обзоры
- URL: https://journals.rcsi.science/1027-8133/article/view/142200
- DOI: https://doi.org/10.31857/S1027813323020073
- EDN: https://elibrary.ru/UCLORH
- ID: 142200
Цитировать
Полный текст
Аннотация
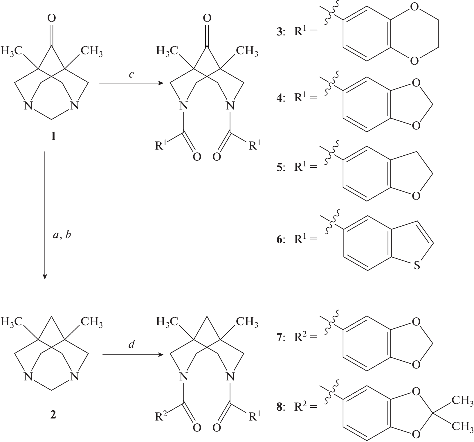
В обзоре представлены результаты последовательных научных исследований нового класса положительных аллостерических модуляторов АМРА-рецепторов класса производных 3,7-диазабицикло[3.3.1]нонанов, начиная от теоретического предсказания структур соединений, их синтеза, изучения их влияния на токи АМРА-рецепторов как доказательства отнесения их к классу ПАМ, изучения их активности и эффективности в поведенческих экспериментах, моделирующих как различные острые нарушения памяти и когнитивных функций, так и в хронических экспериментах, моделирующих патологию болезни Альцгеймера, изучение их молекулярного механизма взаимодействия с АМРА-рецептором методами компьютерного 3D моделирования, радиолигандного исследования меченого соединения 5 с фракциями синаптических мембран гиппокампа мозга с целью определения “посадочных мест” этого ПАМ в мозге крыс. Все вышеописанное характеризует новые соединения этого класса как наиболее активные среди известных ПАМ в мире, обладающие выраженным когнитивно-стимулирующим действием как у нормальных животных, так и в различных моделях патологического расстройства памяти, что указывает на их большой терапевтический потенциал.
Об авторах
В. В. Григорьев
Институт физиологически активных веществ Федерального государственного бюджетного учреждение науки Федерального исследовательского центра проблем химической физики и медицинской химии РАН
Email: nchjournal@gmail.com
Россия, Московская обл., Черноголовка
М. И. Лавров
Химический факультет Московский государственный университет им. М.В. Ломоносова
Email: nchjournal@gmail.com
Россия, Москва
В. А. Палюлин
Химический факультет Московский государственный университет им. М.В. Ломоносова
Email: nchjournal@gmail.com
Россия, Москва
Т. Л. Гарибова
Федеральное государственное бюджетное научное учреждение“Научно-исследовательский институт фармакологии имени В.В. Закусова” РАН
Email: nchjournal@gmail.com
Россия, Москва
К. В. Анохин
Федеральное государственное бюджетное научное учреждение Научно-исследовательский институтнормальной физиологии имени П.К. Анохина РАН
Email: nchjournal@gmail.com
Россия, Москва
С. О. Бачурин
Институт физиологически активных веществ Федерального государственного бюджетного учреждение науки Федерального исследовательского центра проблем химической физики и медицинской химии РАН
Email: nchjournal@gmail.com
Россия, Московская обл., Черноголовка
Список литературы
- Hansen K.B., Wollmuth L.P., Bowie D., Furukawa H., Menniti F.S., Sobolevsky A.I., Swanson G.T., Swanger S.A., Greger I.H., Nakagawa T. et al. // Pharmacol. Rev. 2021. V. 73. P. 298–487. https://doi.org/10.1124/pharmrev.120.000131
- Palmer C.L., Cotton L., Henley J.M. // Pharmacol. Rev. 2005. V. 57. P. 253–277. https://doi.org/10.1124/pr.57.2.7
- Greger I.H., Esteban J.A. // Curr. Opin. Neurobiol. 2007. V. 17. P. 289–297. doi: 10. 1016/j.conb.2007.04.007
- Lynch G. Curr. Opin. Pharmacol // 2004. V. 4. P. 4–11. https://doi.org/10.1016/j.coph.2003.09.009
- Francotte P., de Tullio P., Fraikin P., Counerotte S., Goffin E., Pirotte B. // Recent Pat. CNS Drug Discov. 2006. V. 1. P. 239–246.
- O’Neill M.J., Dix S. // IDrugs. 2007. V. 10. P. 185–192.
- Григорьев В.В., Прошин А.Н., Кинзирский А.С., Бачурин С.О. // Успехи химии. 2009. Т. 78. № 5. С. 520–534.
- Adler L.A., Kroon R.A., Stein M., Shahid M., Tarazi F.I., Szegedi A., Schipper J., Cazorla P. // Biol. Psychiatry. 2012. V. 72. P. 971–977. https://doi.org/10.1016/j.biopsych.2012.05.012
- O’Neill M.J., Bleakman D., Zimmerman D.M., Nisenbaum E.S. // Curr. Drug Targets CNS Neurol. Disord. 2004. V. 3. P. 181–194.
- Goff D.C., Leahy L., Berman I., Posever T., Herz L., Leon A.C., Johnson S.A., Lynch G. // J. Clin. Psychopharmacol. 2001. V. 21. № 5. P. 484–487.
- Alt A., Nisenbaum E.S., Bleakman D., Witkin J.M. // Biochem. Pharmacol. 2006. V 71. № 9. P. 1273–1288. https://doi.org/10.1016/j.bcp.2005.12.022
- Xiaoyu Hu, Xuebi Tian, Xiao Guo, Ying He, Haijun Chen, Jia Zhou, Zaijie Jim Wang // Neuropharmacology. 2018. V.137. P. 50–58. https://doi.org/10.1016/j.neuropharm.2018.04.020
- Lauterborn J.C., Pineda E., Chen L.Y., Ramirez E.A., Lynch G., Gall C.M. // Neuroscience. 2009. V. 159. № 1. P. 283–295. https://doi.org/10.1016/j.neuroscience.2008.12.018
- Lauterborn J.C., Palmer L.C., Jia Y., Pham D.T., Hou B., Wang W., Trieu B.H., Cox C.D. et al. // J. Neurosci. 2016. V. 36. № 5. P. 1636–1646.https://doi.org/10.1523/JNEUROSCI.3157-15.2016
- Тихонова И.Г., Лавров М.И., Палюлин В.А., Зефиров Н.С. // ДАН. 2004. Т. 399. № 2. С. 268–270.
- Jin R., Clark S., Weeks A.M., Dudman J.T., Gouaux E., Partin K.M. // J. Neurosci. 2005. V. 25. P. 9027–9036.
- Harms J.E., Benveniste M., Maclean J.K., Partin K.M., Jamieson C. // Neuropharmacology. 2013. V. 64. P. 45–52. https://doi.org/10.1016/j.neuropharm.2012.06.008
- Лавров М.И., Григорьев В.В., Бачурин С.О., Палюлин В.А., Зефиров Н.С. // Доклады Академии наук. 2015. Т. 464. № 5. С. 626–628. https://doi.org/10.7868/S0869565215290265
- Бачурин С.О., Григорьев В.В., Зефиров Н.С., Лавров М.И., Лаптева В.Л., Палюлин В.А. Патент РФ RU № 2333211. Опубликовано: 10.09.2008, Бюл. № 25.
- Лавров М.И., Лаптева В.Л., Григорьев В.В. Палюлин В.А., Бачурин С.О., Зефиров Н.С. // Хим. фарм. журн. 2012. Т. 46. № 2. С. 27–30.
- Кузнецов А.И., Басаргин Е.Б., Московкин А.С., Ба М.Х., Мирошниченко И.В., Ботников М.Я., Унковский Б.В. // Химия гетероциклических соединений. 1985. № 12. С. 1679–1685.
- Lavrov M.I., Karlov D.S., Voronina T.A., Grigoriev V.V., Ustyugov A.A., Bachurin S.O., Palyulin V.A. // Molecular Neurobiology. 2020. V. 57. P. 191–199. https://doi.org/10.1007/s12035-019-01768-6
- Григорьев В.В., Лавров М.И., Замойский В.Л., Гарибова Т.Л., Палюлин В.А., Бачурин С.О. // Доклады Академии наук. 2019. Т. 488. № 2. С. 217–220.
- Vignisse J., Steinbusch H.W., Grigoriev V., Bolkunov A., Proshin A., Bettendorff L., Bachurin S., Strekalova T. // Eur. Neuropsychopharmacol. 2014. V. 24. № 2. P. 309–320. https://doi.org/10.1016/j.euroneuro.2013.06.010
- Hamill O.P., Marty A., Neher E., Sakmann B., Sigworth F.J. // Pflugers Arch. 1981. V. 391. № 2. P. 85–100.
- Воронина Т.А., Островская Р.У., Гарибова Т.Л. // Руководство по проведению доклинических исследований лекарственных средств. Ч. 1. М.: изд. ФГБУ “НЦЭМСП” Минздравсоцразвития России, 2012. С. 276–297.
- Анохин К.В., Бачурин С.О., Григорьев В.В., Зефиров Н.С., Комиссарова Н.В., Лавров М.И., Палюлин В.А., Тиунова А.А. Патент РФ RU № 2417082. Опубликовано: 27.04.2011. Бюл. № 12.
- Nagaev I.Yu., Shevchenko K.V., Shevchenko V.P., Myasoedov N.F., Grigoriev V.V., Lavrov M.I., Bondarenko E.V., Kalashnikova E.E. // Mendeleev Commun. 2018. V. 28. P. 64–65.
- Мясоедов Н.Ф., Нагаев И.Ю., Шевченко К.В., Шевченко В.П., Григорьев В.В., Лавров М.И. Бондаренко Е.В., Калашникова Е.Е. Патент РФ RU № 2668982. Опубликовано: 05.10.2018. Бюл. № 28.
- Vyunova T.V., Andreeva L.A., Shevchenko K.V., Grigoriev V.V., Palyulin V.A., Lavrov M.I., Bondarenko E.V., Kalashnikova E.E., Myasoedov. // Current Molecular Pharmacology. 2020. V. 13. P. 216–223. https://doi.org/10.2174/1874467213666200303140834
Дополнительные файлы










