Peculiarities of tree root system development in post-agricultural forest communities
- Authors: Karpechko A.Y.1, Tuyunen A.V.1, Genikova N.V.1, Dubrovina I.A.1, Medvedeva M.V.1, Moshkina E.V.1, Mamay A.V.1
-
Affiliations:
- Karelian Research Centre of the Russian Academy of Sciences
- Issue: No 3 (2024)
- Pages: 404-415
- Section: ECOLOGY
- URL: https://journals.rcsi.science/1026-3470/article/view/266071
- DOI: https://doi.org/10.31857/S1026347024030118
- EDN: https://elibrary.ru/UZVOUG
- ID: 266071
Cite item
Full Text
Abstract
The article studies the mass of fine (up to 2 mm in diameter) roots of woody species and the patterns of their distribution across the soil profile in post-agricultural forest communities in the middle taiga of Karelia, Russia. Forest site characteristics were determined in sampling plots established following conventional procedures. The root mass was determined by the soil monolith method. Analysis showed that young communities developed a greater mass of fine roots compared to older stands. The total root occupation of the top mineral layer of soil was higher than in the forest floor. In most cases, both coniferous and deciduous roots prevailed in mineral soil layer. The relationship between fine root mass and basal area was identified.
Full Text
Корневая система играет ключевую роль в жизнедеятельности растений. Она выполняет механическую роль, являясь опорой дереву; снабжает растение водой и элементами минерального питания (Pregitzer, 2002; Brunner, Godbold, 2007). Недолговечность тонких корней и в связи с этим их быстрый оборот обеспечивают большой вклад биомассы, содержащей углерод и минеральные вещества, в почву (Brunner, Godbold, 2007).
Конкурентные взаимоотношения между древесными породами определяют модель размещения корней по почвенной толще, сказываются на распределении питательных веществ, влияя, таким образом, на продуктивность насаждений (Schmid, 2002; Brassard et al., 2013; Шанин и др., 2015; Mekontchou et al., 2020). Совместное произрастание нескольких пород может приводить к угнетению корней одной из них (Schmid, 2002). В то же время древостои с несколькими породами в составе более производительны по сравнению с чистыми (Kelty, 1992; Шанин и др., 2015; Mekontchou et al., 2020). С одной стороны, это связывается с тем, что в смешанных древостоях эффективнее используется солнечная радиация (Sterba et al., 2002). Однако отмечается и влияние распределения корневых систем древесных пород по разным нишам, что снижает конкуренцию за элементы минерального питания (Brassard et al., 2011; Шанин и др., 2015; Mekontchou et al., 2020). Процесс разложения лиственного опада может ускорять круговорот питательных веществ, обуславливая сохранение или увеличение продуктивности древостоя (Légaré et al., 2005). Видовые особенности ольхи, часто представленной в постаграрных лесных сообществах, способствуют улучшению химических свойств почвы (Nikodemus et al., 2020), в том числе благодаря ее способности к фиксации атмосферного азота (Дегтева, Ипатов, 1987; Aosaar et al., 2013).
Согласно работам (Schmid, 2002; Brassard et al., 2013; Шанин и др., 2015) для смешанных древостоев характерна большая масса корней по сравнению с чистыми. Размещение корней в почве и их масса зависят от видовой принадлежности древесных пород, которые произрастают вместе (Шанин и др., 2015; Mekontchou et al., 2020). Авторами (Шанин и др., 2015; Bolte, Villanueva, 2006; Mekontchou et al., 2020) при проведении исследований в смешанных сообществах лесной зоны были выявлены видоспецифичные особенности вертикального распределения корней растений по профилю почвы. Если корни разных пород приурочены к одним почвенным горизонтам, это приводит к конкуренции и снижению подземной биомассы (Kalliokoski, 2011). Совместное произрастание разных древесных пород в одном местообитании и проистекающие из этого взаимоотношения вызывают интерес у многих исследователей, что подчеркивает актуальность темы. В то же время многообразие и варьирование почвенных условий, вероятно, оказывают влияние на отношения между древесными породами, поэтому изучение особенностей их произрастания в разных экологических условиях остается актуальным.
Известно, что почвенные характеристики оказывают прямое влияние на массу тонких корней лесных сообществ: более плодородные почвы в меньшей степени насыщены корнями по сравнению с менее плодородными (Helmisaari et al., 2007, 2009; Karpechko et al., 2022). Кислотность почвы также может отражаться на корненасыщенности почвы: на кислых почвах масса корней уменьшается из-за снижения микробиологической активности, с увеличением pH почв масса тонких корней возрастает (Haynes, 1982; Francis, 1986; Leuschner, Hertel, 2003; Helmisaari et al., 2009; Lawrence et al., 2012). В то же время были получены данные, согласно которым внутри древостоя тонкие корни распределяются по объему почвы неравномерно, стремясь занять пространства, где содержится больше элементов минерального питания, на что влияет в том числе фитогенное поле дерева (Карпечко и др., 2022).
Связь характеристик подземной части древостоя с его таксационными показателями вызывает интерес у многих исследователей. Влияние возраста древостоя на массу тонких корней рассмотрено в работах (Vanninen, Mäkelä, 1999; Børja et al., 2008; Yuan, Chen, 2010 Jagodzinski, Kałucka, 2011). С изменением возраста древостоя могут меняться его потребности в элементах минерального питания, что сказывается и на массе тонких корней. Согласно некоторым работам, масса корней возрастает до определенного возраста и далее снижается. В работе (Jagodzinski, Kałucka, 2011) приводятся данные, согласно которым наибольший прирост биомассы тонких корней наблюдается в древостоях в возрасте между 6 и 10 годами и до 47 лет остается примерно на одинаковом уровне. Yuan, Chen (2010) показали, что в хвойных древостоях, как правило, увеличение биомассы тонких корней идет до 90 лет, а затем она снижается. Есть ряд работ, указывающих на связь массы тонких корней с базальной площадью (Helmisaari et al., 2007; Lehtonen et al., 2016). В работах (Helmisaari et al., 2007; Karpechko et al., 2022) масса тонких корней связывается с массой листвы.
Леса, возобновляющиеся на постаграрных землях, являются эффективным поглотителем углерода. Согласно работам (Третьяков и др., 2017; Грибов и др., 2020; Brubaker, Cosentino, 2020) эти сообщества высокопродуктивные, с почвами, богатыми элементами минерального питания. В настоящее время в связи с важностью углеродной повестки и необходимостью выполнения обязательств Парижского соглашения, в том числе с имеющимися перспективами учета углероддепонирующих свойств лесов на бывших аграрных землях, изучение особенностей роста и развития спонтанно восстанавливающихся лесов весьма актуально. Ранее в работе (Карпечко и др., 2021) авторы изложили результаты, полученные при изучении специфики распределения в почве тонких корней древесных растений и динамики их массы в лесных фитоценозах, находящихся в условиях постагрогенной трансформации среды. Расширенные данные, приведенные в настоящей статье, получены на большем количестве участков на разных почвах. Они уточняют и дополняют сведения о динамике тонких корней как компонента, активно участвующего в цикле углерода в почвах лесных сообществ. Это необходимо для более точной оценки потоков углерода и лучшего понимания роли постагрогенных экосистем в глобальных климатических процессах. Таким образом, целью работы были анализ массы корней и изучение особенностей распределения корней древесных пород в верхнем почвенном слое в древостоях естественного происхождения, спонтанно восстановившихся и развивающихся на вышедших из сельхозиспользования землях.
МАТЕРИАЛЫ И МЕТОДЫ
Исследования проводились в среднетаежной подзоне Республики Карелия, для которой характерен континентальный климат с чертами морского (Научно-прикладной…, 1988). Среднегодовая температура воздуха по многолетним наблюдениям составляет около +2.5°C, средняя температура января –9°C, июля +17°C. Сумма осадков по многолетним исследованиям составляет 578—618 мм в год (Назарова, 2014, 2015).
Пробные площади (ПП) закладывались в районах, где имеются вышедшие из сельхозиспользования участки с различной давностью забрасывания, с восстановившимся к настоящему времени лесным покровом. Таким образом, были отобраны районы, располагающиеся в окрестностях Петрозаводска (ПП 1a, 1b, 1с) на подзолистых почвах (Retisols), в южном Сямозерье (вблизи н/п Эссойла) (ПП 2a, 2b, 2с) на альфегумусовых почвах (Podzols) и на Заонежском полуострове (вблизи н/п Толвуя) на органо-аккумулятивных почвах (Umbrisols) (ПП 3a, 3b, 3с) (рис. 1). При наличии, для предварительного отбора участков использовались имеющиеся фондовые и архивные материалы, ретроспективно характеризующие аграрное освоение территории (аэрофото- и спутниковые снимки, межевые планы и др.).
Рис. 1. Расположение района исследований и пробных площадей
Измерения параметров деревьев проводились на ПП прямоугольной формы, для разбивки границ которых на местности использовались мерная лента и оптический теодолит УОМЗ T30 или буссоль Suunto KB-14. Закладка ПП выполнялась в соответствии с ОСТ 56-69-83 «Площади пробные лесоустроительные. Методы закладки». С использованием мерной вилки Haglof Mantax Black в пределах пробной площади производилось измерение диаметров на высоте груди живых деревьев и сухостоя по породам по 2-сантиметровым ступеням толщины (для древостоев 65—130 лет). Высота деревьев измерялась лазерным высотомером-дальномером LTI TruPulse 200 в каждой ступени толщины. Для определения возраста из области корневой шейки с использованием возрастного бурава отбирались керны диаметром 5 мм. В лабораторных условиях выполнялся пересчет годичных колец.
В молодых древостоях (15—20 лет) в пределах выделенной пробной площади случайным образом закладывались круговые площадки (площадь 10 м2, радиус 1.78 м). Число площадок определялось с таким расчетом, чтобы их общая площадь составляла 15 % от площади пробы. На круговых площадках измерялись диаметры живых деревьев и сухостоя по породам на высоте груди по 1-сантиметровым ступеням толщины, а также высоты деревьев в каждой ступени толщины. Так же как в древостоях старших возрастов, определялся возраст. Таксационная характеристика участков приведена в табл. 1.
Таблица 1. Таксационная характеристика древостоев
ПП | Площадь, га | Возраст, лет | Древесная порода | Запас, м3/га | Число стволов на 1 га | Средний диаметр, см | Средняя высота, м | Сумма площадей сечений, м2/га | Класс бонитета |
ПЕТРОЗАВОДСК | |||||||||
1а | 0.1 | 20 | Ива | 77 | 11167 | 4.4 | 6.4 | 16.6 | I |
Береза | 56.1 | 8750 | 3.9 | 8.1 | 10.2 | ||||
Ольха | 15.6 | 667 | 7.7 | 8.9 | 3.05 | ||||
1b | 0.1 | 65 | Ель | 193 | 1444 | 14.6 | 13.9 | 24.1 | II |
Ольха | 37.7 | 222 | 17.6 | 14.8 | 5.42 | ||||
Осина | 29.2 | 44 | 31.4 | 18.3 | 3.44 | ||||
Береза | 15.6 | 44 | 23.7 | 17.2 | 1.96 | ||||
Рябина | 9.3 | 267 | 8.6 | 10.4 | 1.6 | ||||
Ива | 4.1 | 44 | 13.8 | 13.5 | 0.62 | ||||
1c | 0.28 | 110 | Ель | 459 | 575 | 28.5 | 27.3 | 36.8 | II |
Береза | 17.5 | 71 | 17.3 | 23.3 | 1.69 | ||||
Осина | 3.27 | 4 | 31.9 | 25.0 | 0.29 | ||||
ЮЖНОЕ СЯМОЗЕРЬЕ | |||||||||
2a | 0.2 | 15 | Ольха | 154.7 | 6400 | 7.3 | 10.4 | 26.5 | I |
Береза | 21.2 | 2200 | 4.8 | 8.1 | 3.92 | ||||
Ива | 7.5 | 2700 | 2.7 | 5.7 | 1.52 | ||||
Сосна | 0.5 | 20 | 3.0 | 3.8 | 0.16 | ||||
2b | 0.1 | 65 | Сосна | 143.3 | 250 | 26.5 | 21.0 | 13.8 | II |
Ольха | 51.1 | 1510 | 8.9 | 8.0 | 9.42 | ||||
Рябина | 41.7 | 870 | 9.5 | 8.4 | 6.2 | ||||
2c | 0.23 | 130 | Сосна | 230.3 | 738 | 21.0 | 17.9 | 25.6 | IV |
Ель | 59.5 | 1155 | 8.8 | 9.8 | 7.04 | ||||
Береза | 19.8 | 307 | 10.3 | 12.6 | 2.54 | ||||
ЗАОНЕЖСКИЙ ПОЛУОСТРОВ | |||||||||
3а | 0.1 | 17 | Ольха | 63.1 | 6333 | 5.2 | 7.7 | 13.6 | I |
Сосна | 49.3 | 2833 | 7.1 | 7.0 | 11.2 | ||||
Береза | 6.5 | 1417 | 3.4 | 7.0 | 1.3 | ||||
Ель | 1.2 | 250 | 4.2 | 4.0 | 0.4 | ||||
Ива | 0.2 | 500 | 1.4 | 2.0 | 0.1 | ||||
3b | 0.3 | 70 | Сосна | 205.3 | 420 | 25.2 | 21.6 | 21.0 | II |
Ель | 39.1 | 97 | 22.8 | 19.5 | 3.9 | ||||
Береза | 10.8 | 43 | 18.7 | 20.6 | 1.2 | ||||
Рябина | 2.5 | 203 | 5.8 | 8.4 | 0.5 | ||||
Ольха | 1 | 10 | 13.0 | 9.9 | 0.13 | ||||
Ива | 0.4 | 13 | 8.9 | 8.5 | 0.1 | ||||
3c | 0.28 | 70 | Сосна | 280 | 692 | 24.2 | 18.1 | 31.8 | III |
На каждой ПП выполнялись геоботанические описания с оценкой общего проективного покрытия напочвенного покрова, проективного покрытия травяно-кустарничкового, мохово-лишайникового ярусов, опада и каждого вида растений. Названия видов сосудистых растений приведены по Конспекту флоры Карелии (Кравченко, 2007), названия видов мохообразных — по работе Ignatov et al., 2006.
Для морфологического описания почв и определения их классификационной принадлежности (Шишов и др., 2004; Anjos et al., 2015) на ПП закладывали полнопрофильные разрезы. Из верхних минеральных горизонтов извлекались образцы для последующих анализов. В почвенных образцах определяли обменную кислотность (рНKCl) потенциометрически; содержание органического углерода (Сорг) методом высокотемпературного каталитического сжигания; содержание общего азота (Nобщ) по Кьельдалю; содержание подвижного фосфора (P2O5) и калия (К2О) по Кирсанову. В табл. 2 указаны показатели почвенного плодородия.
Таблица 2. Показатели почвенного плодородия в верхних минеральных горизонтах почв (n = 6)
ПП | Почва | Горизонт, глубина, см | рН KCl | Nобщ,% | P2O5, мг/кг | К2О, мг/кг | Сорг,% |
ПЕТРОЗАВОДСК | |||||||
1а | Агродерново-подзолистая типичная | P, 5—15 | 4.05±0.06* | 0.26±0.01 | 103.0±4.0 | 44.5±4.5 | 3.08±0.18 |
1b | Дерново-подзолистая постагрогенная | AY, 5—15 | 3.67±0.08 | 0.29±0.03 | 14.0±1.2 | 39.8±6.5 | 4.56±0.48 |
1c | Подзолистая типичная | EL, 6—16 | 3.23±0.01 | 0.09±0.01 | 3.5±0.01 | 13.3±0.5 | 2.16±0.02 |
ЮЖНОЕ СЯМОЗЕРЬЕ | |||||||
2а | Агрозем альфегумусовый иллювиально-железистый | Р, 5—15 | 4.90±0.11 | 0.13±0.01 | 1478.8±33.9 | 216.3±6.2 | 1.78±0.17 |
2b | Дерново-подбур оподзоленный | AY, 7—17 | 3.89±0.06 | 0.17±0.01 | 144.5±8.4 | 17.3±1.2 | 3.88±0.38 |
2c | Подзол иллювиально-железистый | E, 7—12 | 3.43±0.03 | 0.03±0.01 | 14.5±3.2 | 10.8±0.9 | 0.79±0.06 |
ЗАОНЕЖСКИЙ ПОЛУОСТРОВ | |||||||
3а | Литозем серогумусовый темнопрофильный | AY,4—14 | 5.61±0.20 | 0.18±0.02 | 14.5±2.1 | 179.1±28.4 | 1.59±0.18 |
3b | Серогумусовая темнопрофильная постагрогенная | AY,5—15 | 5.66±0.11 | 0.44±0.07 | 14.5±1.2 | 293.1±35.3 | 6.28±1.01 |
3c | Серогумусовая темнопрофильная | AY,10—20 | 3.74±0.16 | 0.43±0.07 | 34.3±1.0 | 84.4±4.1 | 6.41±0.98 |
Примечание. Приведены средние значения ± ошибка среднего.
Массу тонких корней определяли методом монолитов. На ПП отбиралось до 15 монолитов, размер которых составлял 10х10х20 см. Из образцов извлекались корни древесных пород диаметром до 2 мм. Затем корни были разделены на 2 группы: корни хвойных и лиственных пород. Корни отделялись от почвы, промывались, высушивались до абсолютно сухого состояния при температуре 105°C и взвешивались на аналитических весах OHAUS PX224. Общая подземная биомасса определялась с использованием конверсионных коэффициентов, характеризующих известные соотношения между запасом стволовой древесины/надземной биомассы/подземной биомассы. Использовались данные, приведенные в (Казимиров, Морозова, 1973; Казимиров и др., 1979; Зябченко, 1984). При выборе конверсионных коэффициентов учитывались породный состав, тип леса и возраст лесных сообществ.
Древостои ПП 1а, 2а, 3а представляют собой молодые (15—20 лет) смешанные мелколиственные (1а, 2а) и лиственно-хвойное (3а) сообщества. Показатель общего проективного покрытия напочвенного покрова в молодых сообществах составляет 20—40 %. Доминантами являются злаки и виды разнотравья. Всего на пробных площадях молодняков отмечено от 21 до 35 видов сосудистых растений. Моховой покров слабо развит и имеет проективное покрытие до 10 %. На ПП 1а агродерново-подзолистая почва претерпевает частичную постагрогенную трансформацию профиля, в верхней части текстурного горизонта наблюдается возобновление элювиально-иллювиального процесса. В напочвенном покрове преобладают Calamagrostis phragmitoides C. Hartm. (30 %) и Filipendula ulmaria (L.) Maxim. (5 %). На ПП 2а в результате агрогенной трансформации типичного подзола сформирован агрозем альфегумусовый иллювиально-железистый. Доминантами травяно-кустарничкового яруса являются Calamagrostis arundinacea (L.) Roth, Dactylis glomerata L. и Orthilia secunda (L.) House). ПП 3а (как и все участки серии 3) представлена азональной почвой, развитой на шунгитовой морене и элювии шунгитовых сланцев. Она не подвергалась значительному освоению и диагностирована как литозем серогумусовый темнопрофильный. В напочвенном покрове доминируют Deschampsia cespitosa (L.) P. Beauv., Fragaria vesca L.ПП 1b, 2b, 3b — это постагрогенные древостои возрастом 65—70 лет, где преобладающее положение по запасу стволовой древесины принадлежит хвойным породам. В составе сообществ представлены также лиственные породы (ольха, береза, рябина). ПП 1b заложена на дерново-подзолистой постагрогенной почве, которая близка к зональным аналогам, имеет отчетливо выраженный элювиальный горизонт и постагрогенную трансформацию серогумусового горизонта. Для данной ПП характерна высокая сомкнутость древесного полога и, следовательно, слабое развитие напочвенного покрова (общее проективное покрытие 20 %), покрытие опада достигает 95 %. В напочвенном покрове преобладают Oxalis acetosella L. (15 %) и Dryopteris carthusiana (Vill.) H. P. Fuchs (10 %). На ПП 2b представлен дерново-подбур оподзоленный с признаками постагрогенной трансформации профиля в виде преобразования агрогумусового горизонта в серогумусовый и оподзоливания его в нижней части. Здесь напочвенный покров состоит преимущественно из Vaccinium myrtillus L. (25 %), Avenella flexuosa (L.) Drejer (20 %), Pteridium aquilinum var. latiusculum (Desv.) Underw. ex A. Heller (20 %) и D. carthusiana (15 %). Моховой покров практически отсутствует (1 %). На ПП 3b представлена серогумусовая темнопрофильная почва с незначительными признаками постагрогенной трансформации. Доминантами травяно-кустарничкового яруса являлись D. glomerata (20 %), Rubus idaeus L. (15 %), Geranium sylvaticum L. (10 %). Покрытие мохового покрова составляло 30 % (Rhytidiadelphus triquetrus (Hedw.) Warnst., Hylocomium splendens (Hedw.) Bruch et al., Pleurozium schreberi (Willd. ex Brid.) Mitt.).
ПП 1c, 2с, 3с — это участки, которые не вовлекались в прошлом в многолетнее сельхозпроизводство. ПП 1c, 2c заложены в сообществах возрастом 110, 130 лет соответственно, 3c представлена 70-летним сообществом. 70-летний возраст ПП 3с связан с тем, что изученная часть Заонежского полуострова чрезвычайно интенсивно осваивалась, таким образом лесных участков на автоморфных почвах с более высоким возрастом в ходе обследования не найдено. На ПП 1с развита типичная подзолистая почва с текстурной дифференциацией профиля. Напочвенный покров на ПП 1c отличается высоким проективным покрытием V. myrtillus (40 %) и O. acetosella (15 %). В моховом ярусе преобладают P. schreberi (20 %) и Sphagnum girgensohnii Russow (15 %). ПП 2с представлена зональной почвой — подзолом иллювиально-железистым. В составе напочвенного покрова ПП 2с обнаружено всего 5 видов сосудистых растений, из которых преобладают V. myrtillus и Vaccinium vitis-idaea L. Проективное покрытие травяно-кустарничкового яруса составляет 60 %, мохово-лишайникового — 80 %. ПП 3с заложена на серогумусовой темнопрофильной почве. Доминантами напочвенного покрова являются V. myrtillus (25 %), Convallaria majalis L. (15 %), Avenella flexuosa (15 %). Мохово-лишайниковый ярус отсутствует.
Статистическая обработка результатов выполнялась в программе Statsoft Statistica. Сравнение групп на значимость различий проводилось с использованием методов непараметрической статистики (критериев Манна—Уитни и Краскелла—Уоллиса).
РЕЗУЛЬТАТЫ ИССЛЕДОВАНИЯ
Масса тонких корней
Масса тонких корней в древостоях разных возрастов статистически достоверно отличается (табл. 3) (участки в окрестностях Петрозаводска (p=0.0032), в южном Сямозерье (p=0.0004)). В молодых сообществах, расположенных в окрестностях Петрозаводска и южном Сямозерье, масса тонких корней выше, чем в древостоях старших возрастов. Значимая разница в массе тонких корней наблюдается между молодыми и средневозрастными древостоями. Так, на ПП 1а и 2а масса тонких древесных корней больше, чем на ПП 1b и 2b на 45 %. В то же время анализ показал, что на участках, заложенных на Заонежском полуострове (ПП 3a, 3b, 3c), разница в массе корней незначима (p=0.1514).
Таблица 3. Масса и доля тонких корней древесных пород в верхнем слое почвы
ПП | Общая подземная фитомасса, т/га | Корни диаметром до 2 мм | |
масса, т/га | % от общей подземной фитомассы | ||
ПЕТРОЗАВОДСК | |||
1a | 12.60 | 3.21±0.37 a* | 25.5 |
1b | 31.28 | 1.78±0.17 b | 5.7 |
1c | 59.40 | 2.59±0.21 a | 4.3 |
ЮЖНОЕ СЯМОЗЕРЬЕ | |||
2a | 15.08 | 2.49±0.32 a | 16.5 |
2b | 27.24 | 1.39±0.19 b | 5.1 |
2c | 31.60 | 2.72±0.20 a | 8.6 |
ЗАОНЕЖСКИЙ ПОЛУОСТРОВ | |||
3a | 13.16 | 1.19±0.17 a | 9.0 |
3b | 25.40 | 1.18±0.16 a | 4.6 |
3c | 22.24 | 0.81±0.13 a | 3.6 |
Примечание. Разными буквами показаны статистически значимые различия (p < 0.05).
Доля тонких корней от общей подземной фитомассы в молодых сообществах (1а, 2а и 3а) колеблется в достаточно широком диапазоне и составляет 25.5, 16.5 и 9.0 % соответственно (табл. 3). Полученные значения доли тонких корней в молодняках превышают значения этого показателя в старших сообществах.
При разделении тонких корней на хвойные и лиственные получено, что в 17-летнем древостое (ПП 3а) масса тонких корней лиственных пород больше по сравнению с хвойными (p=0.03) (рис. 2).
Рис. 2. Масса тонких корней по породам в 17-летнем древостое ПП 3а
В 65—70-летних сообществах, несмотря на преобладание по запасу хвойных пород над лиственными, масса тонких корней лиственных пород больше. Для ПП 1b разница составляет 41 % (p=0.01). Для ПП 2b и ПП 3b тенденция остается, однако различия между значениями незначимы (рис. 3).
Рис. 3. Масса тонких корней по породам в древостоях 65—70 лет
В древостоях 1c и 2c с возрастом 110, 130 лет соответственно тенденция меняется на обратную: большую массу развивают корни хвойных пород, преобладающих по запасу стволовой древесины (различия статистически значимы) (рис. 4).
Рис. 4. Масса тонких корней по породам в контрольных древостоях (110 и 130 лет)
Распределение тонких корней по горизонтам
Анализ распределения корней по слоям почвы в древостоях 1a и 2a (возраст 20, 15 лет) выполнить не представлялось возможным вследствие недифференцированности почвенного профиля. В других древостоях в большинстве случаев тонких корней хвойных пород больше в минеральном слое почвы по сравнению с лесной подстилкой (табл. 4). В ельнике 110 лет (ПП 1c) корни хвойных преобладают в лесной подстилке, однако различие здесь незначимо. Корни лиственных пород также в большей степени находятся в минеральном слое почвы. Однако различия значимы только на ПП 1c.
Таблица 4. Масса тонких корней по слоям почвы, т/га
ПП | Масса корней хвойных пород | Масса корней лиственных пород | ||
Лесная подстилка | Минеральный слой почвы | Лесная подстилка | Минеральный слой почвы | |
3а | 0.11±0.03 a * | 0.34±0.12 b | 0.37±0.1 a | 0.37±0.08 a |
1b | 0.21±0.06 a | 0.44±0.07 b | 0.42±0.06 a | 0.71±0.14 a |
2b | 0.14±0.03 a | 0.44±0.11 b | 0.25±0.05 a | 0.56±0.13 a |
3b | 0.11±0.04 a | 0.41±0.12 b | 0.23±0.10 a | 0.43±0.18 a |
1c | 1.32±0.16 a | 1.08±0.14 a | 0.03±0.01 a | 0.16±0.03 b |
2c | 0.64±0.1 a | 1.05±0.13 a | 0.50±0.08 a | 0.53±0.09 a |
3c | 0.11±0.03 a | 0.70±0.13 b | -** | - |
Примечание. * — разными буквами показаны статистически значимые различия (p < 0.05); ** — корни лиственных пород отсутствуют.
Связь тонких корней и надземной части древостоя
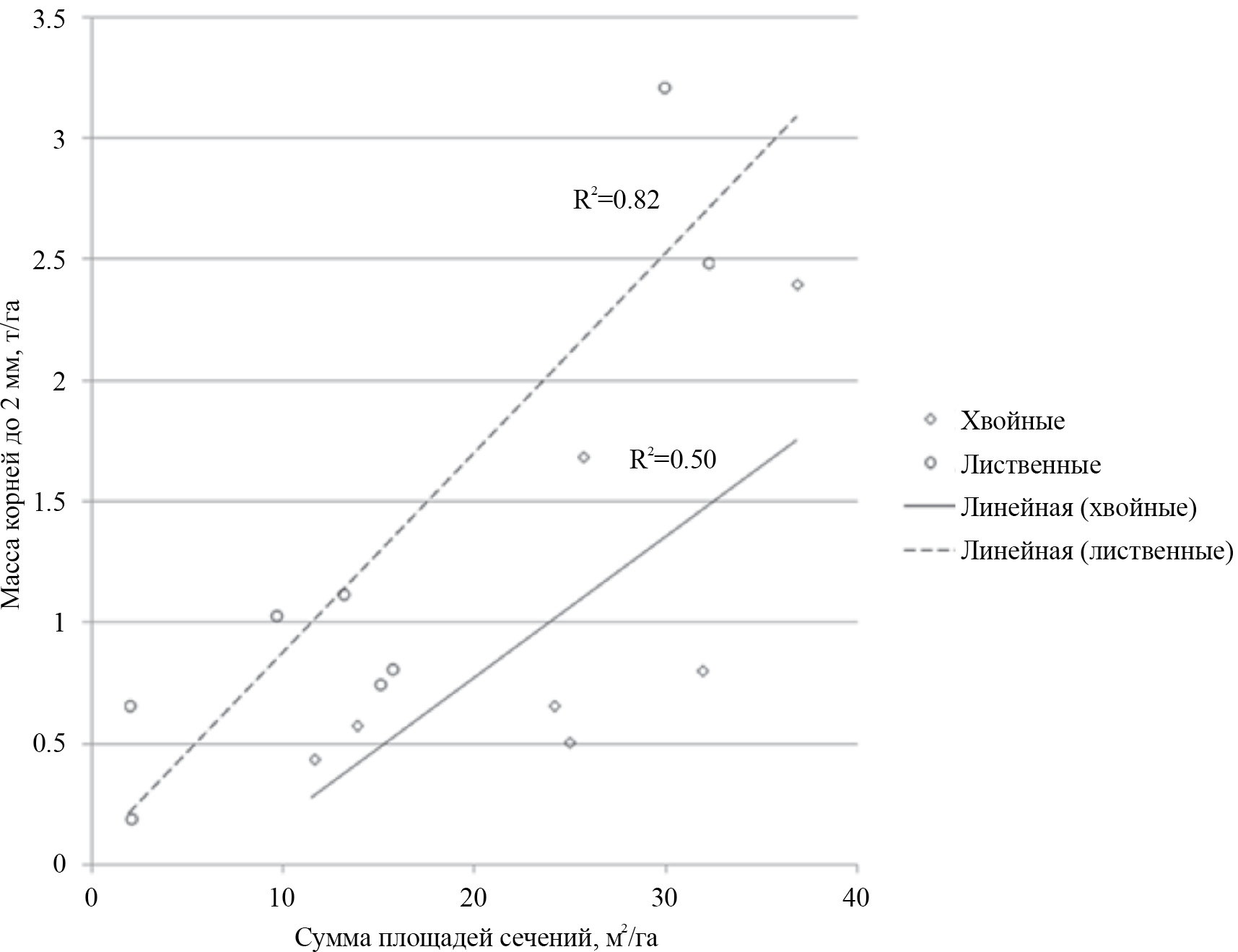
При изучении связи подземной части древостоя с надземной рассматривали, будет ли изменяться масса тонких корней с увеличением суммы площадей сечений. Была получена тенденция увеличения массы корней с ростом суммы площадей сечений (рис. 5). Следует отметить, что для лиственных пород коэффициент детерминации значительно выше (0.82), чем для хвойных (0.50). В то же время в связи с ограниченным набором данных зависимость носит предварительный характер.
Рис. 5. Связь суммы площадей сечений с массой тонких корней
ОБСУЖДЕНИЕ РЕЗУЛЬТАТОВ
Обычно постагрогенные леса рассматриваются как высокопроизводительные (Третьяков и др., 2017; Грибов и др., 2020; Brubaker, Cosentino, 2020). Характеристики постаграрных древостоев в изучаемых условиях, близких к северной границе земледелия, отличаются от не затронутых сельхозиспользованием и являются нетипичными для зональных лесных сообществ. Ключевыми различиями выступают видовой состав лесных сообществ и их производительность. Лиственные древесные породы, входящие в состав древостоев (включая рябину и иву козью, что не характерно для бореальных лесов), могут рассматриваться как эдификатор, так как оказывают влияние на условия среды, при этом являясь также успешным конкурентом за свет и питательные вещества для хвойных пород при совместном произрастании.
Высокая масса тонких корней в молодых сообществах, которая обсуждалась ранее авторами в работе (Карпечко и др., 2021), подтверждается расширенным собранным материалом. В молодых сообществах активно аккумулируется фитомасса, показатели почвенного плодородия в данных древостоях также отличаются от сообществ старших возрастов. В то же время на участках Заонежского полуострова (ПП 3a, 3b, 3c) разница в массе тонких корней между участками незначительна. ПП 3а заложена в древостое, где почва представлена сильнокаменистым мелкопрофильным литоземом. Данный факт, по-видимому, ограничивает развитие корневой системы здесь. Также отсутствие различий в массе корней может объясняться более слабым последействием агрогенной трансформации почвы на пробной площади 3a, связанной с менее интенсивным использованием участка в сельхозпроизводстве (внесением меньшего количества органических удобрений или использованием в качестве луга, сенокоса).
Доля тонких корней в общей массе корней в молодых сообществах, как правило, выше, чем в старших сообществах (табл. 3). Такая закономерность связана с тем, что молодые древостои активно аккумулируют фитомассу. Для этого требуется большое количество элементов минерального питания, содержание которых в почве достаточно велико (табл. 2), что является следствием сельхозиспользования участка. Это стимулирует активный рост и развитие тонких корней здесь.
Для начальных стадий зарастания древесными породами (после смыкания крон) характерна высокая внутри- и межвидовая конкуренция (Larocque et al., 2012) за элементы минерального питания, что, в свою очередь, также способствует развитию высокой массы тонких корней (Wang et al., 2002). Кроме того, корни лиственных пород, в том числе березы, ольхи, которые входят в состав молодых сообществ, обладают большей энергией роста по сравнению с хвойными породами (Дегтева, Ипатов, 1987; Зарубина, Коновалов, 2014). Доминирование тонких корней лиственных пород в 65—70-летних древостоях, несмотря на преобладание по запасу хвойных пород над лиственными, также доказывает большую скорость роста корней лиственных пород по сравнению с хвойными и более высокую конкурентоспособность корней лиственных пород (Schmid, 2002).
Следствием конкуренции являются интенсивное изреживание и элиминация отдельных пород из состава древостоя. Наличие на ПП 2a сухостоя и небольшого количества живых экземпляров сосны, которые приурочены исключительно к опушечной части, подтверждает это. Деревья сосны, находящиеся внутри лиственного массива, отстали в росте и погибли, не выдержав конкуренции за свет с лиственными породами, которые обладают более высокой скоростью роста, особенно ольха (Дегтева, Ипатов, 1987).
Размещение большей массы тонких корней древесных пород в одной почвенной нише, в нашем случае в верхнем минеральном слое почвы (табл. 4), указывает на конкурентные отношения между подземными органами древостоя. Для корней всех древесных пород в изучаемых условиях верхний минеральный слой почвы является более благоприятным местом для роста. Однако в большинстве случаев разница между массой корней лиственных пород в верхнем минеральном слое почвы и лесной подстилке незначима (табл. 4). Таким образом, корни лиственных пород, являясь более конкурентоспособными (Schmid, 2002; Зарубина, Коновалов, 2014), активнее занимают весь изучаемый слой почвы. В то же время наблюдается тенденция насыщения корнями в большей степени верхнего минерального слоя почвы по сравнению с подстилкой. В литературе встречается много данных о том, что корни каждой отдельной породы занимают свою, определенную нишу (Bolte, Villanueva, 2006; Шанин и др., 2015; Mekontchou et al., 2020). В работе (Mekontchou et al., 2020) указывается на то, что осина при совместном произрастании с елью создает последней благоприятные условия, улучшая почву, тем самым корневая конкуренция снижается. В наших условиях почвы характеризуются достаточно ограниченным объемом благоприятного для роста и развития корневых систем слоя почвы, что обуславливает активное освоение корнями древесных пород этой экологической ниши и высокую напряженность корневой конкуренции. Данная закономерность уже отмечалась в предыдущих работах (Карпечко, 2007).
Рост подземной части древостоя связан с надземной. В работе (Lehtonen et al., 2016) указывается на тесную связь массы тонких корней с суммой площадей сечений для лесных сообществ, произрастающих на не затронутых сельскохозяйственным производством в прошлом землях. Полученные данные подтвердили эту связь для постаграрных лесных участков. Однако в то же время существуют исследования, где отмечалось отсутствие статистически значимой зависимости между количеством тонких корней и суммой площадей сечений древостоя (Карпечко, 2009; Sun et al., 2015). Таким образом, таксационные характеристики лесного сообщества, безусловно, оказывают влияние на массу тонких корней, но, по-видимому, это влияние в некоторой степени уникально для каждого древостоя и отчасти обусловлено условиями произрастания. С учетом ограниченного набора данных для анализа полученные зависимости носят предварительный характер и нуждаются в дальнейшем изучении.
ЗАКЛЮЧЕНИЕ
Постаграрные лесные сообщества отличаются от зональных по комплексу показателей. Ключевыми отличиями для надземной части древостоев являются породный состав и производительность древостоев, произрастающих на бывших сельхозземлях.
Исследования показали, что в молодых сообществах (15—20 лет) масса тонких корней больше по сравнению с сообществами старших возрастов (65—70 лет). Это связано с тем, что в молодняках идет наиболее активный рост и накопление фитомассы. В случае совместного произрастания на начальных этапах восстановительной сукцессии лиственные породы имеют преимущество над хвойными, являясь сильным конкурентом за элементы минерального питания и свет. Рост и развитие подземной части древостоя связан с надземной: масса тонких корней увеличивается с ростом суммы площадей сечений.
ФИНАНСИРОВАНИЕ РАБОТЫ
Работа выполнена из средств федерального бюджета на выполнение государственного задания КарНЦ РАН (Институт леса КарНЦ РАН, Институт биологии КарНЦ РАН).
СОБЛЮДЕНИЕ ЭТИЧЕСКИХ СТАНДАРТОВ
В данной работе отсутствуют исследования человека или животных.
КОНФЛИКТ ИНТЕРЕСОВ
Авторы данной работы заявляют, что у них нет конфликта интересов.
About the authors
A. Yu. Karpechko
Karelian Research Centre of the Russian Academy of Sciences
Author for correspondence.
Email: anna.karpechko@gmail.com
Russian Federation, Petrozavodsk
A. V. Tuyunen
Karelian Research Centre of the Russian Academy of Sciences
Email: anna.karpechko@gmail.com
Russian Federation, Petrozavodsk
N. V. Genikova
Karelian Research Centre of the Russian Academy of Sciences
Email: anna.karpechko@gmail.com
Russian Federation, Petrozavodsk
I. A. Dubrovina
Karelian Research Centre of the Russian Academy of Sciences
Email: anna.karpechko@gmail.com
Russian Federation, Petrozavodsk
M. V. Medvedeva
Karelian Research Centre of the Russian Academy of Sciences
Email: anna.karpechko@gmail.com
Russian Federation, Petrozavodsk
E. V. Moshkina
Karelian Research Centre of the Russian Academy of Sciences
Email: anna.karpechko@gmail.com
Russian Federation, Petrozavodsk
A. V. Mamay
Karelian Research Centre of the Russian Academy of Sciences
Email: anna.karpechko@gmail.com
Russian Federation, Petrozavodsk
References
- Грибов С.Е., Корчагов С.А., Хамитов Р.С., Евдокимов И.В. Производительность древостоев, сформировавшихся на землях сельскохозяйственного назначения // Лесной вестник. 2020. Т. 24, № 6. C. 19—25. https://doi.org/10.18698/ 2542-1468-2020-6-19-25
- Дегтева С.В., Ипатов В.С. Сероольшаники Северо-запада РСФСР. Л.: ЛГУ, 1987. 252 с.
- Зарубина Л.В., Коновалов В.Н. Эколого-физиологические особенности ели в березняках черничных. Архангельск: САФУ, 2014. 378 с.
- Зябченко С.С. Сосновые леса Европейского Севера. Л.: Наука, 1984. 244 с.
- Казимиров Н.И., Морозова Р.М. Биологический круговорот веществ в ельниках Карелии. Л.: Наука, 1973. 175 с.
- Казимиров Н.И., Морозова Р.М., Куликова В.К. Органическая масса и потоки веществ в березняках средней тайги. Л.: Наука, 1979. 216 с.
- Карпечко А.Ю. Особенности формирования корней в еловых и смешанных насаждениях после рубок ухода в Южной Карелии // Актуальные проблемы лесного комплекса: Cб. научных трудов по итогам международной научно-технической конференции. Вып. 17. Брянск: БГИТА, 2007. С. 160—163.
- Карпечко А.Ю. Влияние разреживания на корненасыщенность почвы еловых древостоев Южной Карелии // Изв. ВУЗов. Лесн. журн. 2009. № 3. C. 19—25.
- Карпечко А.Ю., Туюнен А.В., Медведева М.В., Мошкина Е.В., Дубровина И.А., Геникова Н.В., Сидорова В.А., Мамай А.В., Толстогузов О.В., Кулакова Л.М. Масса тонких корней в почвах лесных сообществ на постагрогенных землях в условиях средней тайги (на примере Республики Карелия) // Растительные ресурсы. 2021. T. 57. № 2. C. 145—157. https://doi.org/10.31857/S0033994621010088
- Карпечко А.Ю., Мошкина Е.В., Медведева М.В., Туюнен А.В. Особенности пространственного распределения тонких корней Pinus sylvestris L. (на примере среднетаежного сосняка брусничного) // Сибирский экологический журнал. 2022. Т. 29. № 2. С. 162—175. https://doi.org/10.15372/SEJ20220204
- Кравченко А.В. Конспект флоры Карелии. Петрозаводск: КарНЦ РАН, 2007. 403 с.
- Назарова Л.Е. Изменчивость средних многолетних значений температуры воздуха в Карелии // Известия Русского географического общества. 2014. Т. 146. № 4. С 27—33.
- Назарова Л.Е. Атмосферные осадки в Карелии // Труды Карельского научного центра РАН. 2015. № 9. 114—120. https://doi.org/10.17076/lim56
- Научно-прикладной справочник по климату СССР. Серия 3. Многолетние данные. Вып. 3. Л.: Гидрометеоиздат, 1988. 693 с.
- Третьяков С.В., Коптев С.В., Богданов А.П., Ильинцев А.С., Демиденко С.А., Тимофеева А.В. Лесотаксационные нормативы для определения объемов стволов ольхи серой Alnus incana L. по разрядам высот // Сибирский лесной журнал. 2017. № 3. C. 81—86. https://doi.org/10.15372/SJFS20170308
- Шанин В.Н., Рочева Л.К., Шашков М.П., Иванова Н.В., Москаленко С.В., Бурнашева Э.Р. Особенности пространственного распределения биомассы корней некоторых древесных видов (Picea abies, Pinus sylvestris, Betula sp.) // Изв. РАН. Сер. биол. 2015. № 3. С. 316—325. https://doi.org/10.7868/S000233291503011X
- Шишов Л.Л., Тонконогов В.Д., Лебедева И.И., Герасимова М.И. Классификация и диагностика почв России. Смоленск: Ойкумена, 2004. 342 с.
- Anjos L., Gaistardo C., Deckers J., Dondeyne S., Eberhardt E., Gerasimova M., Harms B., Jones A., Krasilnikov P., Reinsch T., Vargas R., Zhang G., authors. Schad P., Van Huyssteen C., Micheli E., editors. World reference base for soil resources 2014 International soil classification system for naming soils and creating legends for soil maps. Rome: FAO, 2015. JRC91947
- Aosaar J., Varik M., Lõhmus K., Ostonen I., Becker H., Uri V. Long-term study of above- and below-ground biomass production in relation to nitrogen and carbon accumulation dynamics in a grey alder (Alnus incana (L.) Moench) plantation on former agricultural land // Eur. J. For. Res. 2013. V. 132. P. 737—749. https://doi.org/10.1007/s10342-013-0706-1
- Bolte A., Villanueva I. Interspecific competition impacts on the morphology and distribution of fine roots in European beech (Fagus sylvatica L.) and Norway spruce (Picea abies (L.) Karst.) // Eur. J. For. Res. 2006. V. 125. P. 15—26. https://doi.org/10.1007/s10342-005-0075-5
- Børja I., De Wit H.A., Steffenrem A., Majdi H. Stand age and fine root biomass, distribution and morphology in a Norway spruce chronosequence in southeast Norway // Tree Physiol. 2008. V. 28. P. 773—784. https://doi.org/10.1093/treephys/28.5.773
- Brassard B.W., Chen Han Y.H., Bergeron Y., Pare D. Differences in fine root productivity between mixed- and single-species stands // Funct. Ecol. 2011. V. 25. P. 238—246. https://doi.org/10.1111/j.1365-2435.2010.01769.x
- Brassard B.W., Chen H.Y.H., Cavard X., Laganière J., Reich P.B., Bergeron Y., Paré D., Yuan Z. Tree species diversity increases fine root productivity through increased soil volume filling // J. Ecol. 2013. V. 101. P. 210—219. https://doi.org/10.1111/1365-2745.12023
- Brubaker K., Cosentino B. Forest structure and biomass in post-agricultural forests: Lessons learned with new spatial tools // Appl. Veg. Sci. 2020. 24: e12552. https://doi.org/10.1111/avsc.12552
- Brunner I., Godbold D. Tree roots in a changing world // J. For. Res. 2007. V. 12. P. 78—82. https://doi.org/10.1007/s10310-006-0261-4
- Francis A.G. The ecological effects of acid deposition. II. acid-rain effects on soil and aquatic microbial processes // Experientia. 1986. V. 42. P. 455—465. https://doi.org/10.1007/BF01946683
- Haynes R.J. Effects of liming on phosphate availability in acid soils — a critical review // Plant Soil. 1982. V. 68. P. 289—308. https://doi.org/10.1007/BF02197935
- Helmisaari H.S., Derome J., Nöjd P., Kukkola M. Fine root biomass in relation to site and stand characteristics in Norway spruce and Scots pine stands // Tree Physiol. 2007. V. 27. P. 1493—1504. https://doi.org/10.1093/treephys/27.10.1493
- Helmisaari H.S., Saarsalmi A., Kukkola M. Effects of wood ash and nitrogen fertilization on fine root biomass and soil and foliage nutrients in a Norway spruce stand in Finland // Plant Soil. 2009. V. 314. P. 121—132. https://doi.org/10.1007/s11104-008-9711-4
- Ignatov M.S., Afonina O.M., Ignatova E.A. Check-list of mosses of East Europe and North Asia // Arctoa. 2006. V. 15. P. 1—130.https://doi.org/ 10.15298/arctoa.15.01
- Jagodzinski A.M., Kałucka I. Fine root biomass and morphology in an age-sequence of post-agricultural Pinus sylvestris L. stands // Dendrobiology. 2011. V. 66. P. 71—84.
- Kalliokoski T. Root system traits of Norway spruce, Scots pine, and silver birch in mixed boreal forests: an analysis of root architecture, morphology, and anatomy. Dissertationes Forestales. 2011. V. 121. P. 1—67.
- Karpechko Y., Karpechko A., Tuyunen A. The effect of growth conditions on the relationship between fine root and foliage biomass // J. For. Res. 2022. V. 33. P. 1585—1591. https://doi.org/10.1007/s11676-021-01444-3
- Kelty M. J. Comparative productivity of monocultures and mixed-species stands. In: Kelty MJ, Larson BC, Oliver CD (eds) The ecology and silviculture of mixed-species forests. Kluwer, Dordrecht, 1992. P. 125—141.
- Larocque G. R., Luckai N., Adhikary S. N., Groot A., Bell F. W., Sharma M. Competition theory — science and application in mixed forest stands: review of experimental and modelling methods and suggestions for future research // Environ. Rev. 2012. V. 21(2). P. 71—84. https://doi.org/10.1139/er-2012—0033
- Lawrence D.J., Luckai N., Meyer W.L., Shahi C., Fazekas A.J., Kesanakurti P., Newmaster S. Distribution of white spruce lateral fine roots as affected by the presence of trembling aspen: root mapping using simple sequence repeat DNA profiling // Can. J. For. Res. 2012. V. 42(8). P. 1566—1576. https://doi.org/10.1139/x2012-082
- Légaré S., Paré D., Bergeron Y. Influence of Aspen on Forest Floor Properties in Black Spruce-dominated Stands // Plant Soil. 2005. V. 275. P. 207—220. https://doi.org/10.1007/s11104-005-1482-6
- Lehtonen A., Palviainen M., Ojanen P., Kalliokoski T., Nöjd P., Kukkola M., Penttilä T., Mäkipää R., Leppälammi-Kujansuu J., Helmisaari H.S. Modelling fine root biomass of boreal tree stands using site and stand variables // For. Ecol. Manag. 2016. V. 359. P. 361—369. https://doi.org/10.1016/j.foreco.2015.06.023
- Leuschner C., Hertel D. Fine root biomass of temperate forests in relation to soil acidity and fertility, climate, age and species. In: Progress in Botany. Springer-Verlag, Berlin Heidelberg. 2003. P. 405—438. https://doi.org/10.1007/978-3-642-55819-1_16
- Mekontchou C.G., Houle D., Bergeron Y., Drobyshev I. Contrasting Root System Structure and Belowground Interactions between Black Spruce and Trembling Aspen in Boreal Mixed woods of Eastern Canada // Forests. 2020. V. 11(2): 127. https://doi.org/10.3390/f11020127
- Nikodemus O., Kaupe D., Kukuļs I., Brūmelis G., Kasparinskis R., Dauškane I., Treimane A. Effects of afforestation of agricultural land with grey alder (Alnus incana (L.) Moench) on soil chemical properties, comparing two contrasting soil groups // For. Ecosyst. 2020. V. 7(1): 38. https://doi.org/10.1186/s40663-020-00253-0
- Pregitzer K.S. Fine roots of trees — a new perspective // New Phytol. 2002. V. 154. P. 267—270. https://doi.org/ 10.1046/j.1469-8137.2002.00413_1.x
- Schmid I. The influence of soil type and interspecific competition on the fine root system of Norway spruce and European beech // Basic Appl. Ecol. 2002. V. 3(4). P. 339—346. https://doi.org/10.1078/1439-1791-00116
- Sterba H., Blab A., Katzensteiner K. Adapting as individual tree growth model for Norway spruce (Picea abies L. Karst.) in pure and mixed species stands // For. Ecol. Manag. 2002. V. 59. P. 101—110. https://doi.org/10.1016/S0378-1127(01)00713-7
- Sun T., Dong L. L., Mao Z. J., Li Y. Y. Fine root dynamics of trees and understory vegetation in a chronosequence of Betula platyphylla stands // For. Ecol. Manag. 2015. V. 346. P. 1—9. https://doi.org/10.1016/j.foreco.2015.02.035
- Vanninen P., Mäkelä A. Fine root biomass of Scots pine stands differing in age and soil fertility in southern Finland // Tree Physiol. 1999. V. 19. P. 823—830. https://doi.org/10.1093/treephys/19.12.823
- Wang X. L., Klinka K., Chen H. Y.H., de Montigny L. Root structure of western hemlock and western red cedar in single- and mixed-species stands // Can. J. For. Res. 2002. V. 32(6). P. 997—1004. https://doi.org/10.1139/x02-026
- Yuan Z. Y., Chen Y. H. Fine root biomass, production, turnover rates, and nutrient contents in boreal forest ecosystems in relation to species, climate, fertility, and stand age: literature review and meta-analyses // Crit. Rev. Plant Sci. 2010. V. 29. P. 204—221. https://doi.org/10.1080/07352689.2010.483579
Supplementary files







