The blood leukocytes and platelets of little ground squirrels (Spermophilus pygmaeus Pall.) during hibernation and arousal
- Authors: Dzhafarova A.M.1, Chalabov S.I.1,2, Klichkhanov N.K.1
-
Affiliations:
- Dagestan State University
- I.M. Sechenov Institute of Evolutionary Physiology and Biochemistry, Russian Academy of Sciences
- Issue: No 3 (2024)
- Pages: 358-374
- Section: ФИЗИОЛОГИЯ ЖИВОТНЫХ И ЧЕЛОВЕКА
- URL: https://journals.rcsi.science/1026-3470/article/view/266067
- DOI: https://doi.org/10.31857/S1026347024030073
- EDN: https://elibrary.ru/VAROZB
- ID: 266067
Cite item
Full Text
Abstract
During hibernation, mammals periodically go through cold (torpor) and warm (awakening) phases. Previously, a sharp decrease in the levels of leukocytes and blood platelets in the torpid state was found, but the dynamics of their changes during arousal remains unknown. We have studied the content and composition of the circulating cells of the little ground squirrel during arousal. The number of all types of leukocytes and platelets in the torpid state is significantly reduced. Restoration of the level of leukocytes in the blood during arousal occurs in two phases: fast (Tb 10—20°C) and slow (Tb 20—37°C). Unlike other cell types, the content of neutrophils remains below euthermal condition after body temperature recovery. During arousal in the Tb range of 10—30°C, the level of platelets increases linearly, while the normalization of the P-LCR parameter does not occur.
Keywords
Full Text
Зимняя спячка (гибернация) — это форма адаптации, характерная для широкого филогенетического ряда млекопитающих, позволяющая им выжить в условиях дефицита пищи, низкой температуры окружающей среды и сокращения светлого периода суток. Гибернация является энергосберегающей стратегией адаптации за счет значительного снижения температуры тела и метаболизма. Во время глубокой зимней спячки, именуемой торпидным состоянием, у таких небольших млекопитающих, как суслики и хомяки, потребление кислорода падает >90 % и может упасть до ~ 1 %, что приводит к снижению температура тела (Tb) почти до температуры окружающей среды (до 1—5°C) (Tøien et al., 2001; Geiser, 2004). Гибернирующие суслики с Tb 5°C, имеют частоту сердечных сокращений 5—10 уд/мин по сравнению с 350—400 в эутермном состоянии (Frerichs et al., 1994), а скорость перфузии органов снижается до <10 % от нормы (McCarron et al., 2001). Скорость дыхания падает от 100—150 вдохов/мин до 1—2 вдохов/мин c длительными периодами апноэ (McArthur, Milsom, 1991). Артериальное давление может упасть с 130/80 до 90/30 мм рт.ст., а сердечный выброс — до 1/60 эутермного уровня (Geiser, 2004).
Торпидное состояние не сохраняется постоянно в течение сезона спячки. Через каждые 1—2 недели животные спонтанно пробуждаются, бодрствуют в течение нескольких часов (12—24 часов), а затем снова входят в спячку (Carey et al., 2003a; Nelson et al., 2010). Пробуждение животных сопровождается быстрым восстановлением многих физиологических функций, в том числе Tb (35—38°C), потребление кислорода, скорость метаболизма и кровотока (Carey et al., 2003a). Например, во время пробуждения 13-полосных сусликов (Ictidomys tridecemlineatus) при повышении Tb с 3°C до 31°C (в течение 2 ч) потребление кислорода увеличивалось в 3 раза по сравнению с активным состоянием и в 36 раз по сравнению с торпидным состоянием (Muleme et al., 2006). Эти данные свидетельствуют о том, что в торпидном состоянии животные испытывают длительные ишемически-подобные низкие уровни кровотока и реперфузионно-подобное его восстановление во время пробуждения. Следовательно, каждое межбаутное пробуждение можно рассматривать как ишемическую реперфузию, поскольку гипоксические ткани реоксигенируются и нагреваются (Kurtz et al., 2006; Bogren et al., 2014; Otis et al., 2017).
Первичным патомеханизмом ишемии и реперфузионного повреждения является привлечение иммунных клеток, таких как лейкоциты, и образование цитотоксических активных форм кислорода (Thiele et al., 2018). Предполагается, что изменения иммунной системы при гибернации направлены на ограничение повреждений при повторяющихся переходах от спячки к пробуждению (Bouma et al., 2010a). Обнаружено, что иммунная система является одним из жизненно важных физиологических компонентов, на которую серьезно влияют экстремальные изменения физиологических состояний во время цикла оцепенение — пробуждение (Bouma et al., 2010a; Bouma et al., 2011). У всех мелких млекопитающих, изученных к настоящему времени, при гибернации количество лейкоцитов падает, в частности у европейского суслика примерно на 90 %, и быстро возрастает после выхода из нее (Bouma et al., 2010b). Кроме того, в период торпора уменьшается содержание белков системы комплемента, снижается фагоцитарная активность, ответ на липополисахариды, а также скорость пролиферации лимфоцитов и продукции цитокинов и антител (Bouma et al., 2010a).
Среди множества адаптивных изменений физиологических функций у гибернирующих животных в цикле спячка-пробуждение особого внимания заслуживает не только иммунный статус, но и изменения в системе гемостаза. Торпор является потенциально прокоагулянтным состоянием, поскольку включает в себя множество факторов рисков тромбоза, таких как низкая скорость кровотока (Bullard, Funkhouser, 1962), повышенная вязкость крови (Saunders et al., 2000; Miglis et al., 2002: Hu et al., 2017), неподвижность, хроническая гипоксия и низкая температура тела (Carey et al., 2003), ожирение перед входом в спячку (Martin, 2008). Известно, что низкая температура приводит к активации и агрегации тромбоцитов у млекопитающих (Straub et al., 2011). Помимо агрегации, активация тромбоцитов также приводит к воспалительным реакциям и потенциальному повреждению органов, например через образование комплекса тромбоцитов с лейкоцитами (Ghasemzadeh, Hosseini, 2013). Агрегация тромбоцитов обычно приводит к образованию тромба, однако у гибернирующих животных в период оцепенения каких-либо повреждений органов в результате тромботических осложнений не наблюдается. Оказалось, что гибернация связана с существенными изменениями в системе гемостаза во время оцепенения, способствующими снижению риска тромбоза, в том числе за счет снижения количества тромбоцитов более чем на 90 % и уменьшения содержания факторов свертывания крови (Cooper et al., 2012; de Vrij et al., 2014). При этом у гибернирующих сусликов (Lechler, Penick, 1963; Pivorun, Sinnamon, 1981) и хомяков (de Vrij et al., 2014) количество тромбоцитов в течение 2 часов после пробуждения быстро восстанавливается, что предотвращает риски кровотечения.
Несмотря на то, что изменение содержания лейкоцитов и тромбоцитов в торпидном состоянии и после пробуждения изучено достаточно подробно, данные об изменении их содержания в крови в процессе пробуждения почти отсутствуют. Для более детального анализа и глубокого понимания механизмов существенных периодических изменений содержания клеточных факторов крови, отвечающих за реализацию ее важнейших функций (защитной и гемостатической), мы исследовали в крови у малых сусликов (Spermophilus pygmaeus) в торпидном состоянии и в ходе пробуждения, когда непрерывно изменяется температура тела и скорость кровотока, (1) количество и популяционный состава лейкоцитов и (2) количество тромбоцитов и их параметры. Поскольку случайное и терапевтическое переохлаждение у людей также связано с тромбоцитопенией (Jacobs et al., 2013; Mallet, 2002; Wang et al., 2015), знание закономерностей, лежащих в основе этого механизма, может помочь в гемостатическом лечении гипотермии.
МАТЕРИАЛЫ И МЕТОДЫ
Объекты исследования. Исследования были выполнены на малых сусликах Spermophilus pygmaeus Pall. с массой тела животных 250—300 г, отловленных в Буйнакском районе Республики Дагестан (Северо-восточный склон горы Кукуртбаш, 200 м южнее кутана «Чечлибин» — 42°55'S, 47°20'W; 320 м). Животных содержали в стандартных условиях вивария со свободным доступом к воде и пище. При выполнении настоящего исследования были соблюдены все нормы и правила проведения экспериментальных работ с использованием лабораторных животных (Директива 2010/63/EU Совета Европейского Сообщества по защите животных, используемых в экспериментальных и других научных целях).
Моделирование зимней спячки и пробуждения. Животные были случайным образом распределены на 7 групп (по 6 особей в каждой). Первую группа составляли бодрствующие в летний период животные (контроль), вторую — животные, находящиеся в состоянии глубокой зимней спячки, третью — седьмую — животные, находящиеся на различных этапах индуцированного пробуждения. В летний период животных содержали в условиях вивария в индивидуальных клетках (60×40×40 см), каждая из которых была оборудована одним гнездом, подстилкой и гнездовым материалом. Эти клетки устанавливали в помещении при естественном фотопериоде, при постоянной температуре 25°C и свободном доступе к пище и воде. Животные получали гранулированный корм для грызунов (“Лабораторкорм”, Россия), в который дополнительно включали неочищенные семечки, свежую капусту, морковь и зелень. Для индукции зимней спячки в конце октября сусликов пересаживали в индивидуальные стандартные лабораторные клетки (36×20×14 см), каждая из которых была снабжена индивидуальным гнездом для полноценной спячки, и содержали при температуре 4°C в постоянной темноте, без еды и воды. Через несколько дней животные впадали в спячку с понижением температуры тела (Tb) до 3.8 ± 0.4°C. После двух месяцев гибернации средняя длительность баута составляла 14 ± 0.5 сут. Для экспериментов по индуцированному пробуждению животных брали в торпидном состоянии в середине баута (7 сут от начала повторного впадения в спячку). Для запуска процесса пробуждения животных переносили в помещение с температурой 20°C. Полное пробуждение животных и подъем температуры тела до 37°C происходили примерно за 2.4 ± 0.2 ч. По достижении Tb 10°C, 20°C, 25°C, 30°C, 37°C у животных производили забор биоматериала. Температуру тела (ректальную) измеряли перед забоем животного с помощью термометра MS6501 (Mastech, Гонконг).
Исследование клеток крови. Нормотермических и пробуждающихся животных с Tb выше 20°C анестезировали внутрибрюшинной инъекцией пентобарбитала натрия (50 мг/кг). Образцы крови брали из яремной вены с помощью шприца, содержащего антикоагулянт (К3-ЭДТА, 1.5 мг/мл). Анализ содержания клеток крови проводили на автоматическом гематологическом анализаторе Sismex KX-21N (Sysmex Corporation, Japan) со стандартной калибровкой в соответствии с инструкциями производителя. Предыдущие исследования показали успешный анализ крови мелких млекопитающих с использованием системы Sysmex (Lilliehöök, Tvedten, 2009; Hu et al., 2017). Измерены следующие параметры лейкоцитов: общее количество лейкоцитов в 1 л крови (WBC), абсолютное число лимфоцитов в 1 л крови (LYM), абсолютное суммарное содержание базофилов, эозинофилов и моноцитов в 1 л крови (MXD), абсолютное число нейтрофилов в 1 л крови (NEUT). Кроме общего количества тромбоцитов (PLT×103/мкл) для этих клеток определяли значения следующих параметров: тромбокрит (РСТ,%), средний объем тромбоцита (MPV, fL), относительный диапазон распределения по объему (PDW, fl), доля клеток с объемом, превышающим 12 fl (P-LCR,%). Исследование тромбоцитарных параметров осуществлялось не позднее 2 ч от момента взятия крови для исключения влияния коагулянта на состояние тромбоцитов.
Проверка автоматизированного подсчета клеток и дополнительная морфологическая идентификации подтипов лейкоцитов были произведены в мазках крови, окрашенные по Романовскому—Гимзе.
Статистическая обработка. Обработка данных произведена с использованием пакетов прикладных программ Statistica 8.0 (StatSoft, Inc., США) и SPSS Statistics 22 (IBM, США). Нормальность распределения определяли критерием Шапиро—Уилка. Равенство дисперсий экспериментальных данных оценивали с помощью критериев Левеня и Уэлча. Для множественных сравнений независимых групп использовали непараметрический дисперсионный анализ и критерий Краскела—Уоллиса (H-test). При обнаружении статистически значимых различий между группами проводили апостериорные сравнения с помощью критерия Манна—Уитни с новым критическим уровнем значимости, учитывающим количество сравниваемых групп. Данные на рисунках представлены в виде блочных диаграмм с указанием медианы, нижнего и верхнего квартилей — Me [Q1: Q3], а также минимального и максимального значений выборки. Для оценки зависимости некоторых параметров от температуры тела животного использовали регрессионный анализ, а для определения силы и характера взаимосвязи — корреляционный анализ Спирмена.
РЕЗУЛЬТАТЫ
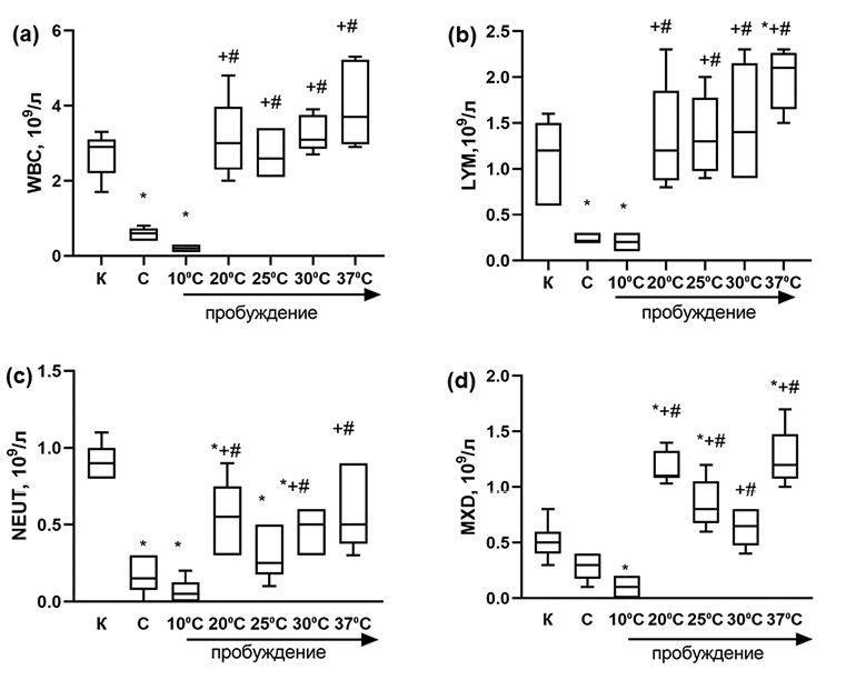
Лейкоциты крови в цикле спячка—пробуждение. У контрольных животных количество WBC в крови составляет 2.9 [2.2:3.1]×109/л. У спящих сусликов происходит резкое падение уровня WBC (рис. 1a). В торпидном состоянии в крови сусликов остается менее 20.7 % WBC от их уровня у контрольных животных (рис. 1a), что примерно в 2 раза выше, чем у других видов сусликов в торпидном состоянии (Bouma et al., 2010а). Перенос спящих животных в помещение с температурой 20°C на начальных этапах за счет пассивного согревания приводит к повышению температуры тела сусликов. У пробуждающихся сусликов с Tb 10°C происходит дальнейшее снижение количества WBC в крови относительно торпидного состояния (0.6[0.4:0.72]×109/л в торпидном состоянии, 0.2 [0.1:0.3]×109/л при Tb 10°C). Согревание животных до Tb 20°C резко увеличивает уровень WBC в крови. Их количество достигает уровня контроля и становится в 15 раз выше уровня лейкоцитов у животных с Tb 10°C (р<0.05). При Tb 25°C рост количества WBC прекращается, но при последующем согревании количество WBC снова начинает расти, достигая после полного пробуждения значений, на 27.9 % превышающих уровни контрольных животных. Результаты регрессионного свидетельствуют о существенном влиянии температуры тела сусликов на WBC (r2=0.59, p<0.0001) (рис. 2).
Рис. 1. Динамика изменения WBC (а), LYM (b), NEUT (c) и MXD (d) в крови сусликов при зимней спячке и индуцированном пробуждении (Me [Q1: Q3]), минимальное и максимальное значение выборки; р<0.05 относительно: * — контроля, + — спячки, # — начальных этапов пробуждения Тb10°C). К — контроль, С — торпидное состояние. Стрелкой указана температура тела во время пробуждения
Рис. 2. Регрессионный анализ влияния температуры тела сусликов на WBC крови
У контрольных животных количество лимфоцитов (LYM) составляет 1.2 [0.6:1.5]×109/л. В торпидном состоянии количество LYM в крови снижается на 83.4 % относительно контроля (рис. 1b). Согревание до Tb 10°C не влияет на уровень LYM в крови относительно торпидного состояния. Однако при достижении Tb 20°C наблюдается резкое повышение уровня LYM относительно торпидного состояния. Причем содержание лимфоцитов возрастает до контрольного уровня. При Tb 25°C число LYM остается на уровне предыдущего этапа согревания, однако в диапазоне Tb 30—37°C снова наблюдается быстрый рост количества LYM, достигающий при полном разогреве животных уровня, на 75 % (р<0.05) превышающего контрольные значения. Между LYM и температурой тела сусликов обнаружена положительная корреляция (r = 0.71, р<0.05).
У контрольных животных количество нейтрофилов (NEUT) составляет 0.9 [0.8:1.0]×109/л (рис. 1c). В торпидном состоянии количество NEUT в крови уменьшается до менее 16.6 % от их уровня у контрольных животных. Во время согревания при Tb 10°C содержание NEUT в крови продолжает снижаться, достигая у некоторых животных нулевого уровня. Согревание до Tb 20°C увеличивает число NEUT в крови в 3.7 раз относительно торпидного состояния, но их уровень остается значительно ниже значений контроля (0.55 [0.30:0.75]×109/л при Tb 20°C, 0.9 [0.8:1.0]×109/л контроль). Дальнейший рост температуры тела сначала (Tb 25°C) способствует уменьшению количества NEUT, а затем (Tb 35—37°C) — увеличению их количества. Однако после полного согревания животных количество NEUT не восстанавливается до контрольного уровня, оставаясь на 44.4 % (р<0.05) ниже его. Между NEUT и температурой тела сусликов обнаружена положительная корреляция (r = 0.73, р<0.05).
Расчет отношения нейтрофилов к лимфоцитам (NEUT/LYM) показал, что у контрольных сусликов оно равно 0.83 [0.66:0.92]. Спячка мало влияет на это соотношение, незначительно снижая его до 0.75 [0.50:0.84]. Начальный этап согревания (Tb 10°C) способствует снижению NEUT/LYM относительно контрольных животных на 69.8 % (NEUT/LYM = 0.25 [0.18:0.33], р<0.05). Согревание до Tb 20°C значительно (на 80 %, р<0.05) увеличивает этот показатель относительно сусликов с Tb 10°C — он становится равным 0.45 [0.39:0. 56]. Однако дальнейший разогрев животного снова снижает отношение NEUT/LYM так, что даже после полной нормализации температуры тела оно остается на очень низком по сравнению с контролем и спячкой уровне (при Tb 25°C — 0.19[0.14:0.25], Tb 30°C — 0.35 [0.29:0.42], Tb 37°C — 0.23 [0.17:0.28]).
У контрольных животных параметр MXD, отражающий абсолютное суммарное количество моноцитов, эозинофилов и базофилы в крови, составляет 0.5 [0.45:0.6]×109/л. (рис. 1d). Спячка способствует существенному (на 40 %, р<0.05) снижению MXD в крови. Учитывая то, что содержание эозинофилов и базофилов в крови грызунов очень низкое (Barker, Boonstra, 2005; Bouma et al., 2010b), основной вклад в изменение значение параметра MXD вносят моноциты. Согревание животных до Tb 10°C индуцирует дальнейшее падение уровня MXD (на 80 %). При Tb 20°C происходит его значительный рост не только относительно спячки (в 3.6 раза), но и относительно контроля (в 2.2 раза). Дальнейшее согревание снижает уровень MXD по сравнению с Tb 20°C. Однако при Tb 37°C снова наблюдается значительный прирост клеток средних размеров и их количество становятся равным таковому у сусликов с температурой тела 20°C. Между MXD и температурой тела сусликов обнаружена положительная корреляция (r = 0.53, р<0.05).
Тромбоциты крови в цикле спячка—пробуждение. У активных в летний период животных количество тромбоцитов (PLT) в крови составляет 110 [98:130]×109/л (рис. 3a). Переход в торпидное состояние резко снижает количество PLT в крови. У спящих сусликов в крови остаются около 10 % тромбоцитов от их уровня у контрольных животных (11.5[6.7:15.5]×109/л), что согласуется с данными других исследователей. Запуск процесса пробуждения с повышением Tb до 10°C не изменяет количество PLT относительно торпидного состояния. В диапазоне Tb 20—30°C обнаружен почти линейный рост PLT, достигающего уровня контроля, и после нормализации Tb их количество существенно не изменяется. Результаты регрессионного анализа свидетельствуют о существенном влиянии температуры тела сусликов на PLT (r2=0.82, p<0.0001) (рис. 4).
Рис. 3. Динамика изменения PLT (a), MPV (b), PCT (c) и P-LCR (d) в крови сусликов при зимней спячке и индуцированном пробуждении (на диаграммах — Me [Q1: Q3], минимальное и максимальное значения выборки; на графиках — Me [Q1: Q3]; р<0.05 относительно * — контроля, + — спячки, # — начальных этапов пробуждения Тb10°C). К — контроль, С — торпидное состояние. Стрелкой указана температура тела во время пробуждения
Рис. 4. Регрессионный анализ влияния температуры тела сусликов на PLT крови
У летних контрольных животных средний объем тромбоцитов (MPV) составляет 4.9 [4.8:4.9] fl (рис. 3b). В торпидном состоянии этот параметр незначительно снижается — до 4.6 [4.15:4.85], но в начале пробуждения (Tb 10°C) сусликов начинается рост объема тромбоцитов, в результате которого при Tb 20°C уровень MPV достигает значений, превышающих контрольные уровни на 10.2 % (5.4[5.1:5.5]), и остается таким вплоть до полного пробуждения сусликов. Интересно то, что между MPV и температурой тела сусликов практически отсутствуют корреляционные связи (r = 0.046).
У летних контрольных животных тромбокрит (PCT) составляет 0.05 [0.03:0.05]% (рис. 3c). В торпидном состоянии уровень PCT снижается в 9.7 раз и остается приблизительно таким же низким на начальных этапах согревания (Tb 10°C), демонстрируя тенденцию к незначительному росту. В ходе дальнейшего согревания PCT резко увеличивается при Tb 20°C (в 3.7 раза по сравнению с PCT при Tb 10°C) и продолжает постепенно расти, достигая при Tb 30°C уровня контроля, а затем не изменяется. Между PCT и температурой тела сусликов обнаружена высокая степень положительной корреляции (r = 0.90, р<0.05).
У контрольных сусликов количество больших (больше 12 fL) тромбоцитов (P-LCR) составляет 2.1[1.8:2.6]% (рис. 3d). При спячке содержание таких клеток достигает очень низких уровней 0.15[0.75:0.22]% и незначительно начинает повышаться на начальных этапах согревания (до 0.25[0.18:0.5]%). При достижении Tb 20°C происходит резкое относительно спячки повышение (в 6.7 раза, р<0.05) P-LCR. В диапазоне Tb 20°C-30°C содержание гигантских тромбоцитов постепенно увеличивается, достигая при Tb 30°C максимального значения (1.5[1.5:2.4]%), которое на 28.6 % ниже контрольных значений. У полностью разогретых животных уровни гигантских тромбоцитов снижаются до уровней животных с Tb 25°C. Между P-LCR и температурой тела сусликов обнаружена высокая степень положительной корреляции (r = 0.83, р<0.05).
Анализ параметра PDW, демонстрирующего распределение тромбоцитов по объему, показал, что при спячке данный показатель снижается (контроль — 9.1[8.9:9.2]%, спячка — 8.35[8.2:8,4] fl, р<0.05) (рис. 5). На начальных этапах пробуждения (Tb 10°C) имеется тенденция к незначительному повышению PDW. Однако у животных с Tb 20°C данный показатель становится существенно (на 17.1 %, р<0.05) выше PDW спящих животных и достигает при Tb 25°C максимальных значений (10.2[9.9:10.3]). Это указывает на то, что диапазон распределения тромбоцитов по объему на данном этапе согревания становится несколько шире (рис. 5). Дальнейшее согревание животных незначительно снижает PDW до уровней, близких к контрольным значениям. Между PDW и температурой тела сусликов имеется достаточно слабая корреляция (r = 0.58, р<0.05).
Рис. 5. Динамика изменения PDW в крови сусликов при зимней спячке и индуцированном пробуждении (Me [Q1: Q3]), минимальное и максимальное значения выборки; р<0.05 относительно * — контроля, + — спячки, # — начальных этапов пробуждения Тb10°C. К — контроль, С — торпидное состояние. Стрелкой указана температура тела во время пробуждения
Результаты корреляционного анализа указывают на то, что между количеством лейкоцитов и тромбоцитов имеется достаточно выраженная связь (r = 0.62, р<0.0001) (рис. 6).
Рис. 6. Корреляция между WBC и PLT в крови сусликов при зимней спячке и индуцированном пробуждении. К — контроль, С — торпидное состояние
ОБСУЖДЕНИЕ
Лейкоциты при спячке и пробуждении. Результаты проведенного нами исследования свидетельствуют о значительном снижении числа циркулирующих лейкоцитов в торпидном состоянии у малых сусликов (рис. 1a). В общей циркуляции в торпидном состоянии остается только 20.7 % от общего числа лейкоцитов. Выраженная лейкопения, обнаруженная нами, согласуется с данными, полученными у других видов сусликов (Pivorun, Sinnamon, 1981; Szilagyi, Senturia, 1972; Spurrier, Dawe, 1973; Frerichs et al., 1994; Toien et al., 2001; Bouma et al., 2010b, 2011), хомяков (Reznik et al., 1975), летучих мышей (Kizhina et al., 2018; Uzenbaeva et al., 2019), мелких сумчатых (Franco et al., 2013), а также медведей (Sahdo et al., 2013) в гибернирующем состоянии. При этом исследование сезонной динамики гематологических параметров крови у различных представителей сем. Cricetinae, демонстрирующих торпор (джунгарские хомячки) или различные варианты спячки (хомячки эверсманна, обыкновенный хомяк), не выявило достоверных изменений числа лейкоцитов в зимний период (Кузнецова, 2019). По мнению автора, отсутствие изменений числа циркулирующих лейкоцитов у этих видов связано с более редкими эпизодами гипотермии и меньшей их глубиной по сравнению с истинными гибернаторами. Однако у монгольского хомяка, демонстрирующего нестандартную короткую спячку с частыми баутами сна в зимний период, наблюдалась существенная лейкопения с достоверным снижением всех форм лейкоцитов, что сближает его с истинными гибернаторами (Кузнецова, 2019).
Следовательно, снижение количества лейкоцитов в крови является общим механизмом адаптации млекопитающих во время спячки. Поскольку у мелких гибернаторов количество циркулирующих лейкоцитов резко падает, когда температура тела снижается до 5°C, было высказано мнение, что иммунная депрессия, вызванная гибернацией, является температурно зависимым механизмом (Bouma e. a., 2011). Межвидовое сравнение показывает, что для разных таксонов угнетение иммунной функции действительно проявляется как прямая функция температуры, достигаемой во время оцепенения (Sahdo et al., 2013). Мы также обнаружили достаточно высокую степень положительной корреляции между температурой тела и содержанием лейкоцитов.
Падение общего количества лейкоцитов, обнаруженное нами в торпидном состоянии, обусловлено снижением количества всех типов лейкоцитов (рис. 1b, c, d). Поскольку количество циркулирующих лейкоцитов резко уменьшается в торпидном состоянии и увеличивается в ходе пробуждения, предполагают, что секвестрация клеток в органах является наиболее важным объяснением уменьшения их количества в крови во время гибернации. Имеющиеся данные указывают на то, что лейкоциты могут накапливаться в кишечнике, костном мозге, селезенке и печени во время гибернации (Yasuma et al., 1997; Kurtz, Carey, 2007; Bouma et al., 2010a, Bouma et al., 2010b). При этом зрелые нейтрофилы преимущественно сохраняются в селезенке, печени, легких, лимфоидных органах или сосудах, а лимфоциты — в лимфоидных органах (Bouma et al., 2010a, 2010b; Havenstein et al., 2016). Увеличение количества нейтрофилов на эпителиальном барьере легких (Inkovaara, Suomalainen, 1973) и увеличение лимфоцитов преимущественно на эпителиальном барьере кишечника (Kurtz, Carey, 2007) связывают с защитными реакциями в местах воздействия потенциальных патогенов в период целенаправленной иммуносупрессии во время торпора. Установлено, что вызванная гипотермией задержка лимфоцитов в периферических лимфоидных органах связана с резким падением уровня сфингозин-1-фосфата (Bouma et al. 2011).
Нейтрофилопения во время торпора обусловлена вызванной гипотермией обратимой маргинацией и адгезией клеток к стенке сосудов, поскольку на нее не влияла спленэктомия и она устранялась предварительным введением дексаметазона, оказывающего ингибирующее влияние на маргинацию (Bouma et al., 2013а). Кроме того, Купер с коллегами (Cooper et al., 2016) в костном мозге тринадцатиполосых сусликов в торпидном состоянии обнаружили существенное увеличение экспрессии белков, участвующих в адгезии и секвестрации лейкоцитов. Об усилении экспрессии молекул адгезии на эндотелиальных клетках сосудов тринадцатиполосых сусликов (Spermophilus tridecemlineatus) в торпидном состоянии свидетельствуют также данные Ясумы и коллег (Yasuma et al., 1997).
Снижение количества всех типов лейкоцитов в торпидном состоянии может быть связано с существенным подавлением продукции клеток в костном мозге при низких температурах тела. Было показано, что костный мозг гибернирущих сусликов в целом содержит меньше клеток, чем костный мозг неспящих животных (Szilagyi, Senturia, 1972). Снижение активности костного мозга в торпидном состоянии, как полагают, может быть связано и с такими факторами, как длительный период неподвижности, гипометаболизм и окислительный стресс в период гибернации, каждый из которых способен снижать активность костного мозга (Cooper et al., 2016).
Количество лейкоцитов в крови может определяться не только скоростью их производства в костном мозге, но и скоростью их высвобождения и поступления в кровоток. Поступление нейтрофилов из костного мозга в кровь регулирует рецептор CXCR4, активацию которого осуществляет хемокин CXCL12 стромальных клеток костного мозга (Eash et al., 2009). Важную роль в высвобождении нейтрофилов из костного мозга играет также рецептор хемокинов CXCR2 (Eash et al., 2010). У тринадцатиполосых сусликов в торпидном состоянии обнаружено четырехкратное снижение уровня мРНК CXCR2 и 3,5-кратное снижение экспрессии CXCR4 в костном мозге (Cooper et al., 2016), что может быть причиной наблюдаемого снижения количества нейтрофилов в крови во время гибернации.
Лейкоцитопения может быть обусловлена также деградацией клеток крови в период спячки. Известно, что моноциты и гранулоциты имеют относительно короткую продолжительность жизни: например, у мышей полупериод жизни циркулирующих моноцитов оценивается в 22 часа (Furth, Cohn, 1968), нейтрофилов — 11.4 ч, а других гранулоцитов — 10.7 ч (Basu et al., 2002). При этом продолжительность баута оцепенения намного больше, чем время нахождения нейтрофилов в циркуляции. Так, по нашим данным продолжительность баута в середине января у малых сусликов составила примерно 14—15 суток (336—360 ч). С другой стороны, при низких температурах тела период полураспада гранулоцитов тоже может существенно удлиниться.
Лимфоциты не могут производиться так быстро, как гранулоциты. Исследования скорости оборота клеток на мышах показали, что период полураспада В-клеток составляет от нескольких недель до месяцев (Sprent, 1973, 1993). У мышей с нормальной вилочковой железой скорость пролиферации наивных Т-клеток составляет 0,2 % в день, а клеток памяти — 1 % в день (Parretta et al., 2008). Оказалось, что у гибернирующих животных наблюдается сезонная инволюция тимуса (Колаева и др., 2003; Galletti, Cavallari, 1972). Из ткани тимуса почти исчезают лимфоциты, а железистый эпителий замещается бурой жировой тканью. Следует отметить, что уже в период подготовки сусликов к спячке (октябрь) количество лимфоидных клеток в тимусе значительно снижалось, а также резко снижалась скорость как спонтанной, так и митогенстимулирующей пролиферации лимфоцитов (Новоселова и др., 2004). Как полагают, определенную роль в лимфопении в торпидном состоянии может играть аденозин-5-монофосфат (5-АМР), выделяемый зимой бурой жировой тканью, оказывающий антилимфопролиферативные эффекты (Atanassov et al., 1995).
Лимфопения в период спячки может быть вызвана не только резким снижением скорости их образования в костном мозге, но также их усиленной деградацией. Чтобы выяснить, подвергаются ли лимфоциты массовому апоптозу в торпидном состоянии, был измерен размер белой пульпы в селезенке у спящих и пробуждающихся европейских сусликов (Spermophilus citellus). Оказалось, что гибернация существенно не влияет на размер белой пульпы в селезенке (Bouma et al., 2010b). Таким образом, лимфопения во время оцепенения не может быть вызвана массовым апоптозом лимфоцитов в селезенке.
Интересно то, что вклад в снижение общего числа лейкоцитов в торпидном состоянии у малых сусликов вносят в равной степени как нейтрофилы, так и лимфоциты, что способствует сохранению отношения гранулоцитов к лимфоцитам на уровне активных летом животных. При этом количество других клеток тоже уменьшается, но не столь драматически. Значительное снижение количества лейкоцитов в торпидном состоянии свидетельствует об истощении клеточных факторов как специфического, так и неспецифического иммунитета. В нескольких исследованиях сообщалось об общем нарушении функции врожденного, а также клеточного и гуморального адаптивного иммунитета во время спячки, в том числе пониженные уровни комплемента (Maniero, 2002), снижение фагоцитарной способности макрофагов (Huber et al., 2021), уменьшение пролиферации лимфоцитов (Atanassov et al., 1995), отсутствие врожденного иммунного ответа на введение липополисахарида (Prendergast et al., 2002), а также снижение продукции цитокинов и антител (Burton, Reichman, 1999; Sidky et al., 1972; Jaroslow, Serrell, 1972; Bouma et al. 2013б). Такая ситуация, наряду с ранее обнаруженным у спящих сусликов снижением продукции цитокинов макрофагами (фактора некроза опухолей-α) и лимфоцитами (интерферона γ) (Novoselova et al., 2000; Kandefer-Szerszen, 1988), может серьезно снизить эффективный иммунный ответ на различные патогены.
Известно, что у млекопитающих нейтрофилы являются частью первой линии врожденной клеточной иммунной защиты от вторжения патогенов (Mantovani et al., 2011; Dahlgren et al., 2019). Активированные нейтрофилы генерируют и высвобождают супероксидные радикалы, из которых образуются другие активные формы кислорода (АФК), способные не только уничтожать патогены, но повреждать собственные ткани (Thiele et al., 2018; Dinauer, 2020). Индуцированная выработка АФК сопровождается резким увеличением потребления клетками кислорода, также называемым «окислительным взрывом». Недавно Хубер с коллегами (Huber et al., 2021), используя хемилюминесцентный анализ в режиме реального времени, показали, что в торпидном состоянии у садовой сони (Eliomys quercinus) способность нейтрофилов к окислительному взрыву значительно снижена. Райтсема и коллеги (Reitsema et al., 2021) также обнаружили, что у хомяков через 1.5 ч после начала пробуждения в нейтрофилах происходит сильное подавление активности фагоцитоза и интенсивности окислительного взрыва. Эти авторы считают, что подавление функции нейтрофилов с точки зрения их способности продуцировать радикалы кислорода может свести к минимуму воспаление и, возможно, повреждение органов как в торпидном состоянии, так и во время пробуждения.
Согласно данным литературы, у различных видов гибернаторов в периферической крови, как правило, преобладают нейтрофилы (примерно 90 %), а количество лимфоцитов существенно меньше — около 9 % (Szilagyi, Senturia, 1972). В нашем исследовании у малого суслика лимфоциты и моноциты являются преобладающими типами лейкоцитов, как у контрольных животных, так и у животных в период гибернации (рис. 1). У садовой сони лимфоциты тоже являются преобладающим типом лейкоцитов как во время раннего (71 %), так и позднего торпора (52 %) (Huber et al., 2021). В период гибернации у летучей мыши северного кожанка (Eptesicus nilssoni), в отличие от ночницы Брандта (Myotis brandti) и бурого ушана (Plecotus auritus), в периферической крови также преобладали лимфоциты (Узенбаева и др., 2015). Существенные различия в популяционном составе лейкоцитов различных гибернирующих животных при спячке и пробуждении, скорее всего, обусловлены их видовой специфичностью.
Предполагают, что высокая доля лимфоцитов в торпидном состоянии у садовых сонь может иметь иммунопротекторную роль (Huber et al., 2021). Так, у тринадцатиполосых сусликов способность к гуморальному иммунному ответу на Т-лимфоцит-зависимый антиген (NP-овальбумин) оставалась оптимальной во время гибернации (Bouma et al., 2013b). Более того, иммунизация гибернирующих сусликов NP-овальбумином вызвала выработку антител и нарушение режима гибернации, т. е. атипичное (экстренное) согревание и выход из оцепенения, сопряженный с повышенной смертностью животных (Bouma et al., 2013b).
Перенос гибернирующих сусликов с Tb 3.8 ± 0.4°C из индивидуальных клеток в помещение с температурой 25°C способствовал их пробуждению. Подъем Tb до 37°C и полное их пробуждение происходили в течение 2.2 ± 0.2 ч. Пробуждение сусликов сопровождалось повышением количества лейкоцитов в крови, как это обнаружено у других видов сусликов (Bouma et al., 2013b). В начале пробуждения, когда температура тела за счет пассивного согревания возросла до 10°C (~ 24 мин), количество лейкоцитов и их субпопуляции не только не увеличиваются, но имеют тенденцию к снижению. Таким образом, лейкоцитопения при Tb 10°C становится еще более выраженной.
Во время пробуждения сусликов изменения в количестве лейкоцитов в крови происходят в виде двух фаз: быстрая (Tb 10—20°C) и медленная (Tb 20—37°C). В быстрой фазе происходит резкий рост количества всех типов лейкоцитов в крови. В начале медленной фазы рост количества лейкоцитов прекращается, и только при последующем согревании вплоть до окончательного пробуждения их количество медленно увеличивается. Основной вклад в увеличение количества лейкоцитов при Tb 20°C во время пробуждения вносят моноциты и лимфоциты. Интересно то, что уровни LYM и MXD у полностью согретых сусликов становятся существенно выше таковых у летних эутермных животных (LYM на 75 %, MXD в 2.4 раза) (рис. 1b, d). При этом восстановление содержания нейтрофилов происходит не столь эффективно. Их количество в крови составляет лишь 55.5 % от летнего контрольного уровня. В тоже время у тринадцатиполосых сусликов, напротив, при восстановлении температуры тела до нормотермного уровня быстро восстанавливалось содержание нейтрофилов и моноцитов в крови, а содержание лимфоцитов запаздывало и составляло лишь половину наблюдаемого у активных летом животных (Bouma et al., 2013b). У садовой сони во время межбаутного бодрствования Хубер и сотр. (Huber et al., 2021) обнаружили значительное (в 30 раз) увеличение количества нейтрофилов и способности их к генерации АФК. Учитывая эти данные, а также существенный рост количества нейтрофилов, обнаруженный нами при Tb 20°C, можно предположить повышение уровня АФК в крови. Недавно мы обнаружили, что во время индуцированного пробуждения малых сусликов от спячки в белках и липидах плазмы крови и эритроцитов происходит значительный рост продуктов окислительной модификации, достигающий максимума при Tb 25°C (Klichkhanov et al., 2021). Однако последующее согревание сусликов до эутермного уровня полностью предотвращает окислительный стресс в крови. В связи с этим можно предположить, что обнаруженное в нашей работе снижение отношения гранулоцитов, представленных в основном зрелыми сегментоядерными нейтрофилами, к лимфоцитам (NEUT/LYM) в период согревания может иметь существенную биологическую значимость. Возможно, оно направлено на снижение рисков избыточной генерации АФК, минимизацию воспаления, а также повреждения органов во время экстремального изменения физиологического состояния животного.
Каковы механизмы столь резких изменений содержания иммунных клеток в крови во время пробуждения сусликов?
Начальная быстрая фаза роста количества лейкоцитов в крови, возможно, связана (1) с выходом их из костного мозга, (2) поступлением из тканей и (3) демаргинизацией клеток. Как отмечено выше, костный мозг гибернирущих сусликов в целом содержит меньше клеток, чем костный мозг неспящих животных, но в нем значительно больше доля зрелых гранулоцитов (Szilagyi, Senturia, 1972). Во время согревания новообразованные гранулоциты могут быстро высвобождаться из костного мозга. Исследования на мышах показали, что в нормальных условиях менее 2 % нейтрофильных гранулоцитов находятся в циркулирующем пуле, а оставшаяся часть — в костном мозге. Мыши, на фоне воздействия колониестимулирующего фактора гранулоцитов (G-CSF), достигают высоких скоростей продукции, тем самым увеличивая количество циркулирующих гранулоцитов до 3×109/л за 1 час (Eash et al., 2009). По мнению авторов, такой скорости продуцирования было бы достаточно, чтобы суслики увеличили количество циркулирующих гранулоцитов во время согревания до эутермного уровня. Поскольку, по нашим данным, отношение NEUT/LYM в динамике согревания снижается, это свидетельствует о том, что скорость поступления лимфоцитов в кровь при согревании все же превышает скорость поступления гранулоцитов.
Следует отметить, что низкие температуры тела заметно снижают выброс зрелых и незрелых нейтрофилов из костного мозга в кровоток. Так, у свиней при гипотермии (Tb 29°C) высвобождение нейтрофилов из костного мозга значительно снижено и остается сниженным даже после стимуляции стероидами и бактериальным эндотоксином (Biggar et al., 1983).
Пространственно-временное распределение иммунных клеток сбалансировано между процессами мобилизации клеток в кровяное русло, их адгезии к клеткам стенки сосудистого русла и проникновения в ткани. Важную роль в системной регуляции подвижности лейкоцитов играют катехоламины и глюкокортикоиды (Ince et al., 2019). Во время пробуждения садовой сони от спячки по мере повышения температуры тела в крови возрастает уровень норадреналина и адреналина (Ambid et al., 1990), необходимых для запуска термогенеза бурой жировой тканью (Nedergaard, Cannon, 1984; Cannon, Nedergaard, 2004). Резкий подъем уровня катехоламинов в крови относительно торпидного состояния обнаружен при Tb 23○C. Имеются доказательства того, что катехоламины могут индуцировать перестройку клеточного коркового актина в гранулоцитах, тем самым снижая жесткость клеток и приводя к демаргинации лейкоцитов (Fay et al., 2016). Этим можно объяснить очень быстрое увеличение количества циркулирующих лейкоцитов под действием этих гормонов без необходимости мобилизации из тканей, что позволяет организму реагировать быстро на острые сигналы.
Во время спячки уровень кортизола в крови европейских сусликов (Shivatcheva et al., 1988) и сирийских хомяков (Weitten et al., 2013) низкий, но повышается через несколько часов после пробуждения. Так, через 3.5 ч после пробуждения уровень кортизола в крови европейского суслика (Citellus citellus) не увеличивался (Shivatcheva et al., 1988), но через 18—20 ч после пробуждения животных достоверно возрастал (Shivatcheva et al., 1988; Weitten et al., 2013). Эти данные позволяют предположить, что глюкокортикоиды не могут участвовать в демаргинизации лейкоцитов во время пробуждения сусликов от спячки, которое занимает 2.2 ± 0.2 ч.
Как свидетельствуют полученные нами данные, количество лимфоцитов в крови существенно увеличивается относительно первой фазы пробуждения (Tb 20°C только после подъема температуры тела до эутермного уровня (Tb 37°C) (рис. 1b). Во время пробуждения от спячки лимфоциты могут поступать в кровь из лимфоидных органов. Аксенова с соавт. (2018) в летний период и в сезон гибернации изучили содержание ядерных клеток селезенки (cпленоцитов) cуcликов S. undulatus, представленных в значительной степени иммунокомпетентными клетками, в частности лимфоцитами. Оказалось, что при пробуждении сусликов при Tb 22.5 ± 2.9°C количество cпленоцитов в селезенке достоверно не отличается от их значений у животных в торпидном состоянии (средняя Tb = 3.7 ± 0.6°C). Следовательно, выход лимфоцитов из селезенки не играет существенной роли в повышении количества лимфоцитов в крови во время пробуждения сусликов.
Боума с коллегами (Bouma et al., 2011) показали, что в период гибернации и при последующем пробуждении сирийских хомяков количество циркулирующих лимфоцитов значительно коррелирует с уровнем сфингозин-1-фосфата (S1P) в плазме крови. S1P во время пробуждения поступает в кровь преимущественно из эритроцитов, который взаимодействует со своим рецептором (S1P1), что стимулирует выход лимфоцитов из периферических лимфатических узлов. В торпидном состоянии уровень S1P в крови как тринадцатиполосых сусликов (Nelson et al., 2010), так и сирийских хомяков (Bouma et al., 2011) низкий. Как изменяется содержание S1P в крови в динамике пробуждения от спячки, неизвестно, но сразу после восстановления температуры тела до эутермного уровня количество S1P в крови у вышеупомянутых гибернаторов существенно возрастает относительно торпидного состояния. Возможно, именно высокий уровень S1P в крови ответственен за существенное повышение количества циркулирующих лимфоцитов на конечных стадиях пробуждения сусликов.
Тромбоциты при спячке и пробуждении. Хотя в период гибернации мелкие грызуны многократно пробуждаются и снова входят в торпор, большую часть времени они находятся в неподвижном состоянии, что представляет повышенный риск тромбоза глубоких вен из-за снижения венозного кровотока, вызывающего гипоксию и последующую активацию эндотелия. Это может создать основу для прилипания тромбоцитов и факторов свертывания крови, запускающих каскад коагуляции и вызывающих образование тромба (Montoro-García et al., 2016). Ожирение перед оцепенением (Martin, 2008), снижение скорости кровотока (Bullard, Funkhouser, 1962) и повышенная вязкость крови (Halikas, Bowers, 1973) в торпидном состоянии также являются факторами риска тромбообразования у гибернирующих животных. Резкое падение уровня тромбоцитов в крови считают одним из главных факторов, предотвращающих тромбообразование при низкой температуре тела в торпидном состоянии (Bouma et al., 2010; Cooper et al., 2012). По нашим данным, после двух месяцев спячки у сусликов, находящихся в торпидном состоянии, в общей циркуляции остается примерно 10 % тромбоцитов от их количества у летних эутермных животных (рис. 3a). Эти данные согласуются с результатами, полученными от различных видов сусликов и хомяков в состоянии гибернации (Bouma et al., 2010; Cooper et al., 2012; 2016; de Vrij et al., 2014). Помимо резкого снижения уровня тромбоцитов в торпидном состоянии у гибернаторов предотвращению тромбообразования также способствует снижение уровня факторов свертывания VIII (FVIII), IX (FIX) и фактора Виллебранта (vWF) (Cooper et al., 2012; 2016b; de Vrij et al., 2014), а также значительное снижение уровня комплекса тромбин-антитромбин (Bonis et al., 2019). Кроме того, в период гибернации у сусликов поддерживается гиперфибринолитическое состояние за счет повышения соотношения комплекса тканевого активатора плазминогена (tPA) и ингибитора активатора плазминогена (PAI-1) к общему количеству ингибитора активатора плазминогена (PAI-1) (Bonis et al., 2019).
Каковы причины столь резкого снижения количества циркулирующих тромбоцитов в крови в торпидном состоянии?
Считают (de Vrij et al., 2014), что снижение количества циркулирующих тромбоцитов во время гибернации и восстановление их уровня после пробуждения происходят из-за аккумулирования и высвобождения маргинированных к стенке сосудов тромбоцитов в хорошо васкуляризированных органах, а не из-за разрушения тромбоцитов и синтеза их de novo. Основные аргументы заключаются в том, что количество тромбоцитов быстро нормализуется в течение нескольких часов после пробуждения, т. е. быстрее, чем при синтезе из мегакариоцитов, и что количество вновь синтезированных незрелых тромбоцитов не увеличивается при пробуждении (Cooper et al., 2012; de Vrij et al., 2014). Анализ костного мозга гибернирующих тринадцатиполосых сусликов выявил резкое падение плотности мегакариоцитов (Cooper et al., 2012), что указывает на существенное снижение тромбопоэза во время гибернации.
Известно, что тромбоциты могут обратимо прикрепляться к артериолам, венулам и капиллярам посредством маргинации. В торпидном состоянии этому может способствовать значительное снижение сердечного выброса и кровотока (Horwitz et al., 2013), способствующего перемещению тромбоцитов к стенке сосуда (Reasor et al., 2012). Относительная гипоксия во время входа в оцепенение (Carey et al., 2003) может приводить к экзоцитозу телец Вейбеля—Палада эндотелиальных клеток, обнажая Р-селектин и высвобождая фактор фон Виллебранда (vWF) (Pinsky et al., 1996), тем самым стимулируя адгезию тромбоцитов к эндотелиальным клеткам. Так, возможно, возрастает местный уровень vWF вблизи эндотелия, хотя его системный уровень в плазме у суслика в торпидном состоянии снижается (Cooper et al., 2016 б). Снижение температуры тела и кровотока может вызывать активацию эндотелия с повышенной экспрессией молекул адгезии (Awad et al., 2013; Li et al., 2014). У торпидных хомяков повышаются некоторые маркеры активации эндотелия (Talaei et al., 2012). Помимо понижения скорости кровотока, факторами, способствующими адгезии тромбоцитов, являются повышение гематокрита (Lechler, Penick, 1963; Spann et al., 2016) и изменение формы тромбоцитов на сферическую (Reddick et al., 1973, de Vrij et al., 2021), что облегчает их прикрепление к сосудам. Но следует отметить, что, по данным Купера и коллег (Cooper et al., 2012), циркулирующие тромбоциты тринадцатиполосых сусликов в торпидном состоянии изменяют свою форму со сферической на удлиненную путем реорганизации микротрубочек цитоскелета. Следует также отметить, что у малых сусликов (Shihamirova et al., 2020) и тринадцатиполосых сусликов (Hampton et al., 2010; Cooper et al., 2016a) в торпидном состоянии гематокрит не увеличивается. Установлено, что у хомяков в торпидном состоянии на циркулирующих тромбоцитах не обнаружена экспрессия Р-селектина, но полагают, что его экспрессия увеличена у маргинированных тромбоцитов (de Vrij et al., 2014).
У гибернирующих сусликов потенциальные места хранения тромбоцитов включают селезенку, легкие и печень, поскольку все три органа способны секвестрировать тромбоциты (Reddick et al., 1973). Дальнейшие исследования показали, что селезенка не участвует в хранении тромбоцитов при спячке, поскольку спленэктомия до входа в торпидное состояние или во время торпора не оказала влияния на динамику тромбоцитов у спящих хомяков (de Vrij et al., 2014) и сусликов (Cooper et al., 2017). Недавно де Врей с коллегами (de Vrij et al., 2021) показали, что у сирийских хомяков в торпидном состоянии тромбоциты аккумулируются в синусоидах печени, но не в селезенке и легких.
Пробуждение сусликов способствует увеличению количества тромбоцитов в крови по сравнению с торпидным состоянием (рис. 3a), что согласуется с результатами других исследователей (Cooper et al., 2012, de Vrij et al., 2021). Повышение уровня тромбоцитов в крови в ходе пробуждения не связано с их новообразованием, поскольку вновь образовавшиеся сетчатые тромбоциты появляются в крови через 48 ч после пробуждения (Cooper et al., 2012). Исследование де Врей и коллег (de Vrij et al., 2021) также не выявило никаких признаков образования тромбоцитов de novo, о чем свидетельствовала небольшая доля незрелых тромбоцитов в крови проснувшихся хомяков (De Vrij et al., 2021).
Интересно то, что мы обнаружили наличие достаточно выраженной корреляционной связи между WBC и PLT (рис. 6). Это свидетельствует о том, что на содержание тромбоцитов и лейкоцитов оказывает влияние один и тот же фактор. Учитывая результаты регрессионного анализа, демонстрирующие существенное влияние температуры на данные гематологические параметры (рис. 2 и рис. 4), можно сделать следующий вывод: температура тела животного играет ведущую роль в динамике изменений содержания клеток крови при гибернации.
Мы обнаружили лишь незначительные относительно контроля изменения MPV тромбоцитов (рис. 3b) во время пробуждения сусликов в диапазоне Tb 20—37°C. Известно, что параметр MPV реагирует на стимуляцию тромбоцитов или изменение скорости их образования (Мининкова, 2012). Отсутствие повышения объема тромбоцитов в ходе пробуждения может иметь адаптивное значение, поскольку увеличение MPV само по себе увеличивает гемостатический потенциал тромбоцитов, обеспечивая большее взаимодействие их с клеточной стенкой (Chesnutt, Han, 2013). Уровень больших тромбоцитов (P-LCR) является индикатором скорости тромбоцитообразования в костном мозге. Количество P-LCR в ходе пробуждения повышается по сравнению с торпидным состоянием, он тем не менее существенно отстает от уровня контроля (рис. 3d). Отсюда следует, что нормализация числа тромбоцитов во время пробуждения сусликов обусловлена, скорее всего, не повышением скорости их образования в костном мозге, а другими факторами.
ЗАКЛЮЧЕНИЕ
В заключение следует отметить, что общее количество лейкоцитов и тромбоцитов у впадающих в спячку малых сусликов резко снижается в торпидном состоянии, в то время как восстановление количества этих клеток в ходе пробуждения полностью завершается еще до того (Tb 30°C), как полностью восстановиться температура тела. В торпидном состоянии в крови резко снижается абсолютное количество всех типов лейкоцитов. В ходе пробуждения повышение уровня циркулирующих лейкоцитов зависит от температуры тела. Резкое повышение содержания всех типов лейкоцитов происходит в диапазоне Tb 10—20°C, а затем вплоть до Tb 37°C происходит медленное повышение их уровня. После полного пробуждения абсолютное содержание лимфоцитов и моноцитов в крови значительно превосходит их уровень у контрольных животных, но содержание нейтрофилов не восстанавливается. Объем циркулирующих тромбоцитов (MPV) и диапазон их распределения по объему (PDW) в торпидном состоянии и в динамике пробуждения не меняются, но значение тромбокрита (РСТ) меняется с изменением температуры тела соответственно изменению общего количества тромбоцитов. Доля гигантских (>12 мкм) тромбоцитов (P-LCR) в торпидном состоянии значительно снижена, и их количество не нормализуется после пробуждения. Это говорит о том, что восстановление уровня тромбоцитов во время пробуждения происходит не за счет их новообразования, а из-за освобождения из мест их хранения. Выяснение путей, приводящих к снижению иммунной функции во время гибернации, и особенностей ее восстановления во время пробуждения улучшит наше понимание иммунологических реакций во время экстремальных физиологических изменений у млекопитающих. Знание механизма тромбоцитопении в торпидном состоянии и ее последующее восстановление во время пробуждения может привести к новому пониманию ингибирования функции тромбоцитов или продления срока их хранения при гипотермических условиях.
СОБЛЮДЕНИЕ ЭТИЧЕСКИХ СТАНДАРТОВ
Все применимые международные, национальные и/или институциональные принципы ухода и использования животных были соблюдены. Все процедуры, выполненные в исследованиях с участием животных, соответствовали этическим стандартам, утвержденным правовыми актами РФ, принципам Базельской декларации и были одобрены Комиссией по биоэтике (Институт эволюционной физиологии и биохимии им. И. М. Сеченова РАН, Протокол № 5/2021 от 27.05.2021).
КОНФЛИКТ ИНТЕРЕСОВ
Авторы декларируют отсутствие конфликта интересов, связанных с публикацией данной статьи.
ИСТОЧНИКИ ФИНАНСИРОВАНИЯ
Исследование не получило внешнего финансирования и выполнено на личные средства авторов.
About the authors
A. M. Dzhafarova
Dagestan State University
Email: klich-khan@mail.ru
Russian Federation, Makhachkala
Sh. I. Chalabov
Dagestan State University; I.M. Sechenov Institute of Evolutionary Physiology and Biochemistry, Russian Academy of Sciences
Email: klich-khan@mail.ru
Russian Federation, Makhachkala; Saint Petersburg
N. K. Klichkhanov
Dagestan State University
Author for correspondence.
Email: klich-khan@mail.ru
Russian Federation, Makhachkala
References
- Акcенова Г.Э., Логвинович О.C., Игнатьев Д.А., Коломийцева И.К. Динамика адаптивныx изменений в cелезенке гибеpниpующиx cуcликов Spermophilus undulates // Биофизика. 2018. Т. 63. В. 2. С. 311—317.
- Колаева С.Г., Новоселова Е.Г., Амерханов 3.Г., Куликов А.В., Ивков В.Г. Ежегодная инволюция и регенерация тимуса у зимнеспящих и перспективы ее исследований в области геронтологии и пролиферации стволовых клеток // Цитология. 2003. Т. 45. № 7. С. 628—634.
- Кузнецова Е.В. Эколого-физиологические адаптации представителей подсемейства Сricetinae к осенне-зимним условиям: Дис. канд. биол. наук по специальности 03.02.04 — зоология. Москва, 2019. 141 с.
- Мининкова А.И. Аналитические возможности гематологических анализаторов в оценке тромбоцитов (обзор литературы) // Клинич. лаб. диагн. 2012. № 3. С. 27—34.
- Новоселова Е.Г., Куликов А.В., Глушкова О.В., Черенков Д.А., Смирнова Г.Н., Архипова Л.В. Влияние трансплантации тимуса зимнеспящих сусликов на возрастную инволюцию вилочковой железы стареющих крыс // Докл. Академии наук. 2004. Т. 397. № 2. С. 279—280.
- Узенбаева Л.Б., Белкин В.В., Илюха В.А., Кижина А.Г., Якимова А.Е. Особенности состава и морфологии клеток периферической крови у трех видов летучих мышей Карелии в период зимней спячки // Журн. эволюц. биохим. физиол. 2015. Т. 51. № 4. С. 299—304.
- Ambid L., Castan I., Atgié C.L., Nibbelink M. Food intake and peripheral adrenergic activity in a hibernating rodent, the garden dormouse // Comp. Biochem. Physiol. Part A: Physiol. 1990. V. 97. № 3. P. 361—366. https://doi.org/10.1016/0300-9629(90)90624-2
- Atanassov C.L., Naegeli H.U., Zenke G., Schneider C., Kramarova L.I., Bronnikov G.E., Van Regenmortel M.H. Anti-lymphoproliferative activity of brown adipose tissue of hibernating ground squirrels is mainly caused by AMP // Comp. Biochem. Physiol. Part C: Pharmacol., Toxicol. Endocrinol. 1995. V. 112. № 1. P. 93—100. doi: 10.1016/0742-8413(95)00000-3
- Awad E.M., Khan S.Y., Sokolikova B., Brunner P.M., Olcaydu D., Wojta J., Breuss J.M., Uhrin P. Cold induces reactive oxygen species production and activation of the NF-kappa B response endothelial cells and inflammation in vivo // J. Thromb. Haemost. 2013. V. 11. P. 1716—1726. doi: 10.1111/jth.12357
- Barker J.M., Boonstra R. Preparing for winter: Divergence in the summer–autumn hematological profiles from representative species of the squirrel family // Comp. Biochem. Physiol. Part A: Mol. Integ. Physiol. 2005. V. 142. № 1. P. 32—42. https://doi.org/10.1016/j.cbpa.2005.07.003.
- Basu S., Hodgson G., Katz M., Dunn A.R. Evaluation of role of G-CSF in the production, survival, and release of neutrophils from bone marrow into circulation // Blood, J. Am. Soc. Hematol. 2002. V. 100. № 3. P. 854—861. doi: 10.1182/blood.v100.3.854
- Biggar W.D., Bohn D.E., Kent G.E. Neutrophil circulation and release from bone marrow during hypothermia // Infection and Immunity. 1983. V. 40. № 2. P. 708—712. doi: 10.1128/iai.40.2.708-712.1983
- Bogren L.K., Drew K.L. Ischemia/reperfusion injury resistance in hibernators is more than an effect of reduced body temperature or winter season // Temperature. 2014. V. 1. № 2. P. 87—88. doi: 10.4161/temp.29761
- Bonis A., Anderson L., Talhouarne G., Schueller E., Unke J., Krus C., Stokka J., Koepke A., Lehrer B., Schuh A., Andersen J.J., Cooper S. Cardiovascular resistance to thrombosis in 13-lined ground squirrels // J. Comp. Physiol. B. 2019. V. 189. P. 167—177. doi: 10.1007/s00360-018-1186-x
- Bouma H.R., Carey H.V., Kroese F.G.M. Hibernation: the immune system at rest? // J. Leukoc. Biol. 2010a. V. 88. P. 619—624. doi: 10.1189/jlb.0310174
- Bouma H.R., Strijkstra A.M., Boerema A.S., Deelman L.E., Epema A.H., Hut R.A., Kroese F.G.M., Henning R.H. Blood cell dynamics during hibernation in the European Ground Squirrel // Vet. Immunol. Immunopathol. 2010b. V. 136. P. 319—323. doi: 10.1016/j.vetimm.2010.03.016
- Bouma H.R., Dugbartey G.J., Boerema A.S., Talaei F., Herwig A., Goris M., van Buiten A., Strijkstra A.M., Carey H.V., Henning R.H., Kroese F.G.M. Reduction of body temperature governs neutrophil retention in hibernating and nonhibernating animals by margination // J. Leukoc. Biol. 2013a. V. 94. № 3. P. 431—437. doi: 10.1189/jlb.0611298
- Bouma H.R., Henning R.H., Kroese F.G.M., Carey H.V. Hibernation is associated with depression of T-cell independent humoral immune responses in the 13-lined ground squirrel // Dev. Comp. Immunol. 2013b. V. 39. P. 154—160. doi: 10.1016/j.dci.2012.11.004
- Bouma H.R., Kroese F.G., Kok J.W., Talaei F., Boerema A.S., Herwig A., Draghiciu O., van Buiten A., Epema A.H., van Dam A., Strijkstra A.M., Henning R.H. Low body temperature governs the decline of circulating lymphocytes during hibernation through sphingosine-1-phosphate // Proc. Nat. Acad. Sci. 2011. V. 108. № 5. P. 2052—2057. doi: 10.1073/pnas.1008823108
- Bullard R.W., Funkhouser G.E. Estimated regional blood flow by rubidium 86 distribution during arousal from hibernation // Am. J. Physiol. 1962. V. 203. P. 266—270. https://doi.org/10.1152/ajplegacy.1962.203.2.266
- Burton R.S., Reichman O.J. Does immune challenge affect torpor duration? // Funct. Ecol. 1999. V. 13. P. 232—237. https://doi.org/10.1046/j.1365-2435.1999.00302.x
- Cannon B., Nedergaard J. Brown adipose tissue: function and physiological significance // Physiol. Rev. 2004. V. 84. P. 277—359. doi: 10.1152/physrev.00015.2003
- Carey H.V., Andrews M.T., Martin S.L. Mammalian hibernation: cellular and molecular responses to depressed metabolism and low temperature // Physiol. Rev. 2003. V. 83. P. 1153—1181. doi: 10.1152/physrev.00008.2003
- Chesnutt J.K., Han H.C. Platelet size and density affect shear-induced thrombus formation in tortuous arterioles // Phys. Biol. 2013. https://doi.org/10.3389/fbioe.2013.00018.
- Cooper S.T., Richters K.E., Melin T.E., Liu Z.J., Hordyk P.J., Benrud R.R., Geiser L.R., Cash S.E., Simon Shelley C., Howard D.R., Ereth M.H., Sola-Visner M.C. The hibernating 13-lined ground squirrel as a model organism for potential cold storage of platelets // Am. J. Physiol. Regul. Integr. Comp. Physiol. 2012. V. 302. P. 1202—1208. doi: 10.1152/ajpregu.00018.2012
- Cooper S.T., Sell S.S., Nelson L., Hawes J., Benrud J.A., Kohlnhofer B.M., Burmeister B.R., Flood V.H. Von Willebrand factor is reversibly decreased during torpor in 13-lined ground squirrels // J. Comp. Physiol. B. 2016a. V. 186. P. 131—139. doi: 10.1007/s00360-015-0941-5
- Cooper S.T., Sell S.S., Fahrenkrog M., Wilkinson K., Howard D.R., Bergen H., Cruz E., Cash S.E., Andrews M.T., Hampton M. Effects of hibernation on bone marrow transcriptome in thirteen-lined ground squirrels // Physiol. Genomics. 2016b. V. 48. № 7. P. 513—525. doi: 10.1152/physiolgenomics.00120.2015
- Cooper S., Lloyd S., Koch A., Lin X., Dobbs K., Theisen T., Zuberbuehler M., Bernhardt K., Gyorfi M., Tenpas T., Hying S., Mortimer S., Lamont C., Lehmann M., Neeves K. Temperature effects on the activity, shape, and storage of platelets from 13-lined ground squirrels // J. Comp. Physiol. B. 2017. V. 187. P. 815—825. doi: 10.1007/s00360-017-1081-x
- Dahlgren C., Karlsson A. Respiratory burst in human neutrophils // J. Immunol. Methods. 1999. V. 232. P. 3—14. doi: 10.1016/s0022-1759(99)00146-5
- de Vrij E.L., Vogelaar P.C., Goris M., Houwertjes M.C., Herwig A., Dugbartey G.J., Boerema A.S., Strijkstra A.M., Bouma H.R., Henning R.H. Platelet dynamics during natural and pharmacologically induced torpor and forced hypothermia // PLOS ONE. 2014. V. 9. № 4. doi: 10.1371/journal.pone.0093218
- de Vrij E.L., Bouma H.R., Goris M., Weerman U., de Groot A.P., Kuipers J., Giepmans B.N.G., Henning R.H. Reversible thrombocytopenia during hibernation originates from storage and release of platelets in liver sinusoids // J. Comp. Physiol. B. 2021. V. 191. № 3. P. 603—615. doi: 10.1007/s00360-021-01351-3
- Dinauer M.C. Neutrophil defects and diagnosis disorders of neutrophil function: an overview // Neutrophil: Methods and Protocols / Еds Quinn M. T., DeLeo F.R. NY.: Springer US, 2020. Р. 11—29. doi: 10.1007/978-1-0716-0154-9_2
- Eash K.J., Greenbaum A.M., Gopalan P.K., Link D.C. CXCR2 and CXCR4 antagonistically regulate neutrophil trafficking from murine bone marrow // J. Clin. Invest. 2010. V. 120. P. 2423—2431. doi: 10.1172/JCI41649
- Eash K.J., Means J.M., White D.W., Link D.C. CXCR4 is a key regulator of neutrophil release from the bone marrow under basal and stress granulopoiesis conditions // Blood. 2009. V. 113. P. 4711—4719. doi: 10.1182/blood-2008-09-177287
- Fay M.E., Myers D.R., Kumar A., Turbyfield C.T., Byler R., Crawford K., et al. Cellular softening mediates leukocyte demargination and trafficking, thereby increasing clinical blood counts // Proc. Natl. Acad. Sci. USA. 2016. V. 113. P. 1987—1992. doi: 10.1073/pnas.1508920113
- Franco M., Contreras C., Nespolo R.F. Profound changes in blood parameters during torpor in a South American marsupial // Comp. Biochem. Physiol. A. Mol. Integr. Physiol. 2013. V. 166. № 2. Р. 338—342. doi: 10.1016/j.cbpa.2013.07.010
- Frerichs K.U., Kennedy C., Sokoloff L., Hallenbeck J.M. Local cerebral blood flow during hibernation, a model of natural tolerance to “cerebral ischemia’’ // J. Cereb. Blood Flow Metab. 1994. V. 14. P. 193—205. doi: 10.1038/jcbfm.1994.26
- Furth R.V., Cohn Z.A. The origin and kinetics of mononuclear phagocytes // J. Exp. Med. 1968. V. 128. P. 415—435. doi: 10.1084/jem.128.3.415
- Galletti G., Cavallari A. The thymus of marmots: spontaneous, natural seasonal thymectomy? // Acta Anat. (Basel). 1972. V. 83. P. 593—605. DOI: 10.1159/ 000143901
- Geiser F. Metabolic rate and body temperature reduction during hibernation and daily torpor // Annu. Rev. Physiol. 2004. V. 66. P. 239—274. doi: 10.1146/annurev.physiol.66.032102.115105
- Ghasemzadeh M., Hosseini E. Platelet-leukocyte crosstalk: linking proinflammatory responses to procoagulant state // Thromb. Res. 2013. V. 131. P. 191—197. doi: 10.1016/j.thromres.2012.11.028
- Halikas G., Bowers K. Seasonal variation in blood viscosity of the hibernating arctic ground squirrel (Spermophilus undulatus plesius) // Comp. Biochem. Physiol. Part A: Physiol. 1973. V. 44. № 2. P. 677—681. doi: 10.1016/0300-9629(73)90522-7
- Hampton M., Nelson B.T., Andrews M.T. Circulation and metabolic rates in a natural hibernator: an integrative physiological model // Am. J. Physiol. Regul. Integr. Comp. Physiol. 2010. V. 299. P. 1478—1488. doi: 10.1152/ajpregu.00273.2010
- Havenstein N., Langer F., Stefanski V., Fietz J. It takes two to tango: Phagocyte and lymphocyte numbers in a small mammalian hibernator // Brain Behav. Immun. 2016. V. 52. P. 71—80. doi: 10.1016/j.bbi.2015.09.018
- Horwitz B.A., Chau S.M., Hamilton J.S., Song C., Gorgone J., Saenz M., Horowitz J.M., Chen C.Y. Temporal relationships of blood pressure, heart rate, baroreflex function, and body temperature change over a hibernation bout in Syrian hamsters // Am. J. Physiol. Regul. Integr. Comp. Physiol. 2013. V. 305. P. 759—768. doi: 10.1152/ajpregu.00450.2012
- Hu H.X., Du F.Y., Fu W.W., Jiang S.F., Cao J., Xu S.H., Wang H.P., Chang H., Goswami N., Gao Y.F. A dramatic blood plasticity in hibernating and 14-day hindlimb unloading Daurian ground squirrels (Spermophilus dauricus) // J. Comp. Physiol. B. 2017. V. 187. P. 869—879. doi: 10.1007/s00360-017-1092-7
- Huber N., Vetter S., Stalder G., Gerritsmann H., Giroud S. Dynamic function and composition shift in circulating innate immune cells in hibernating garden dormice // Front. Physiol. 2021. V. 12. doi: 10.3389/fphys.2021.620614
- Ince L.M., Weber J., Scheiermann C. Control of leukocyte trafficking by stress-associated hormones // Front. Iimmunol. 2019. V. 9. doi: 10.3389/fimmu.2018.03143
- Inkovaara P., Suomalainen P. Studies on the physiology of the hibernating hedgehog. On the leukocyte counts in the hedgehog’s intestine and lungs // Ann. Acad. Sci. Fenn. Biol. 1973. V. 200. P. 1—21. PMID: 4788806
- Jacobs S.E., Berg M., Hunt R., Tarnow-Mordi W.O., Inder T.E., Davis P.G. Cooling for newborns with hypoxic ischaemic encephalopathy // Cochrane Database Syst. Rev. 2013. V. 31. doi: 10.1002/14651858.CD003311.pub3
- Jaroslow B.N., Serrell B.A. Differential sensitivity to hibernation of early and late events in development of the immune response // J. Exp. Zool. 1972. V. 181. P. 111—116. https://doi.org/10.1002/jez.1401810112
- Kandefer-Szerszen M. Interferon production in leukocytes of spotted sousliks — effect of hibernation on the interferon response in vitro // J. Interferon Res. 1988. V. 8. P. 95—103. doi: 10.1089/jir.1988.8.95
- Kizhina A., Uzenbaeva L., Antonova E., Belkin V., Ilyukha V., Khizhkin E. Hematological parameters in hibernating Eptesicus nilssonii (Mammalia: Chiroptera) collected in Northern European Russia // Acta Chiropterol. 2018. V. 20. P. 273—283. doi: 10.3161/15081109ACC2018.20.1.021
- Klichkhanov N.K., Nikitina E.R., Shihamirova Z.M., Astaeva M.D., Chalabov Sh.I., Krivchenko A.I. Erythrocytes of little ground squirrels undergo reversible oxidative stress during arousal from hibernation // Front. Physiol. 2021. V. 12. doi: 10.3389/fphys.2021.730657
- Kurtz C.C., Carey H.V. Seasonal changes in the intestinal immune system of hibernating ground squirrels // Dev. Comp. Immunol. 2007. V. 31. P. 415—428. https://doi.org/10.1016/j.dci.2006.07.003
- Kurtz C.C., Lindell S.L., Mangino M.J., Carey H.V. Hibernation confers resistance to intestinal ischemia-reperfusion injury // Am. J. Physiol. Gastrointest. Liver Physiol. 2006. V. 291. № 5. P. 895—901. https://doi.org/10.1152/ajpgi.00155.2006
- Lechler E., Penick G.D. Blood clotting defect in hibernating ground squirrels (Citellus tridecemlineatus) // Am. J. Physiol. 1963. V. 205. P. 985—988. https://doi.org/10.1152/ajplegacy.1963.205.5.985
- Li R., Zijlstra J.G., Kamps J.A., van Meurs M., Molema G. Abrupt reflow enhances cytokine-induced proinflammatory activation of endothelial cells during simulated shock and resuscitation // Shock. 2014. V. 42. № 4. P. 356—364. doi: 10.1097/SHK.0000000000000223
- Lilliehöök I., Tvedten H. Validation of the Sysmex XT-2000iV hematology system for dogs, cats, and horses. I. Erythrocytes, platelets, and total leukocyte counts // Vet. Clin. Pathol. 2009. V. 38. № 2. P. 163—174. https://doi.org/10.1111/j.1939-165X.2009.00125.x
- Mallet M.L. Pathophysiology of accidental hypothermia // QJM: Int. J. Med. 2002 V. 95. P. 775—785. https://doi.org/10.1093/qjmed/95.12.775
- Maniero G.D. Classical pathway serum complement activity throughout various stages of the annual cycle of a mammalian hibernator, the golden–mantled ground squirrel Spermophilus lateralis // Dev. Comp. Immunol. 2002. V. 26. P. 563—574. https://doi.org/10.1016/S0145-305X(02)00006-X
- Mantovani A., Cassatella M.A., Costantini C., Jaillon S. Neutrophils in the activation and regulation of innate and adaptive immunity // Nat. Rev. Immunol. 2011. V. 11. 519—531. DOI: https://doi.org/10.1038/nri3024
- Martin S.L. Mammalian hibernation: a naturally reversible model for insulin resistance in man? // Diab. Vasc. Dis. Res. 2008. V. 5. P. 76—81. https://doi.org/10.3132/dvdr.2008.013
- McArthur M.D., Milsom W.K. Changes in ventilation and respiratory sensitivity associated with hibernation in Columbian (Spermophilus columbianus) and golden-mantled (Spermophilus lateralis) ground squirrels // Physiol. Zool. 1991. V. 64. № 4. P. 940—959. https://www.jstor.org/stable/30157950
- McCarron R.M., Sieckmann D.G., Yu E.Z., Frerichs K., Hallenbeck J.M. Hibernation, a state of natural tolerance to profound reduction in organ blood flow and oxygen delivery capacity // In Molecular Mechanisms of Metabolic Arrest / Ed. Storey K. B.; Oxford: BIOS Scientific Publishers, 2001. P. 23—42.
- Miglis M., Wilder D., Reid T., Bakaltcheva I. Effect of taurine on platelets and the plasma coagulation system // Platelets. 2002. V. 13. P. 5—10. https://doi.org/10.1080/09537100120112558
- Montoro-García S., Schindewolf M., Stanford S., Larsen O.H., Thiele T. The role of platelets in venous thromboembolism // In Seminars in thrombosis and hemostasis. 2016. Vol. 42. № 3. P. 242—251. . doi: 10.1055/s-0035-1570079
- Muleme H.M., Walpole A.C., Staples J.F. Mitochondrial metabolism in hibernation: metabolic suppression, temperature effects, and substrate preferences // Physiol. Biochem. Zool. 2006. V. 79. № 3. P. 474—483. https://doi.org/10.1086/501053
- Nedergaard J., Cannon B. Preferential utilization of brown adipose tissue lipids during arousal from hibernation in hamsters // Am. J. Physiol. Regul. Integr. Comp Physiol. 1984. V. 247. P. 506—512. doi: 10.1152/ajpregu.1984.247.3.R506
- Nelson C.J., Otis J.P., Carey H.V. Global analysis of circulating metabolites in hibernating ground squirrels // Comp. Biochem. Physiol. Part D: Genomics Proteomics. 2010. V. 5. № 4. P. 265—273. doi: 10.1016/j.cbd.2010.07.002
- Novoselova E.G., Kolaeva S.G., Makar V.R., Agaphonova T.A. Production of tumor necrosis factor in cells of hibernating ground squirrels Citellus undulatus during annual cycle // Life Sci. 2000. V. 67. P. 1073—1080. doi: 10.1016/s0024-3205(00)00698-6
- Otis J.P., Pike A.C., Torrealba J.R., Carey H.V. Hibernation reduces cellular damage caused by warm hepatic ischemia–reperfusion in ground squirrels // J. Comp. Physiol. B. 2017. V. 187. P. 639—648. doi: 10.1007/s00360-017-1056-y
- Parretta E., Cassese G., Santoni A., Guardiola J., Vecchio A., Di Rosa F. Kinetics of in vivo proliferation and death of memory and naive CD8 T cells: parameter estimation based on 5-bromo-2′-deoxyuridine incorporation in spleen, lymph nodes, and bone marrow // J. Immunol. 2008. V. 180. P. 7230—7239. https://doi.org/10.4049/jimmunol.180.11.7230
- Pinsky D.J., Naka Y., Liao H., Oz M.C., Wagner D.D., Mayadas T.N., Johnson R.C., Hynes R.O., Heath M., Lawson C.A., Stern D.M. Hypoxia-induced exocytosis of endothelial cell Weibel–Palade bodies. A mechanism for rapid neutrophil recruitment after cardiac preservation // J. Clin. Invest. 1996. № 97. P. 493—500. doi: 10.1172/JCI118440
- Pivorun E.B., Sinnamon W.B. Blood coagulation studies in normothermic, hibernating, and aroused Spermophilus franklini // Cryobiol. 1981. V. 18. P. 515—520. https://doi.org/10.1016/0011-2240(81)90212-1
- Prendergast B.J., Freeman D.A., Zucker I., Nelson R.J. Periodic arousal from hibernation is necessary for initiation of immune responses in ground squirrels // Am. J. Physiol. Regul. Integr. Comp. Physiol. 2002. V. 282. P. 1054—1062. doi: 10.1152/ajpregu.00562.2001
- Reasor D.A.Jr., Mehrabadi M., Ku D.N., Aidun C.K. Determination of critical parameters in platelet margination // Ann. Biomed. Eng. 2012. V. 41. P. 238—249. https://doi.org/10.1007/s10439-012-0648-7
- Reddick R.L., Poole B.L., Penick G.D. Thrombocytopenia of hibernation. Mechanism of induction and recovery // Lab. Invest. 1973. V. 28. P. 270—278. PMID: 4687533
- Reitsema V.A., Oosterhof M.M., Henning R.H., Bouma H.R. Phase specific suppression of neutrophil function in hibernating Syrian hamster // Develop. Comp. Immunol. 2021. V. 119. doi: 10.1016/j.dci.2021.104024.
- Reznik G., Reznik-Schuller H., Emminger A., Mohr U. Comparative studies of blood from hibernating and nonhibernating European hamsters (Cricetus cricetus L) // Lab. Animal Sci. 1975. V. 25. P. 210—215. PMID: 1134037
- Sahdo B., Evans A.L., Arnemo J.M., Frobert O., Sarndahl E., Blanc S. Body temperature during hibernation is highly correlated with a decrease in circulating innate immune cells in the brown bear (Ursus arctos): a common feature among hibernators? // Int. J. Med. Sci. 2013. V. 10. doi: 10.7150/ijms.4476.
- Saunders D.K., Roberts A.C., Ultsch G.R. Blood viscosity and hematological changes during prolonged submergence in normoxic water of northern and southern musk turtles (Sternotherus odoratus) // J. Exp. Zool. 2000. V. 287. P. 459—466. https://doi.org/10.1002/1097-010X(20001201)287:7<459:: AID-JEZ1>3.0.CO; 2—6
- Shihamirova Z.M., Dzhafarovа A.M., Klichkhanov N.K. Hematological characteristics and erythrokinetic indiсes in little ground squirrels during arousal from hibernation // Probl. Cryobiol. Cryomed. 2020. V. 30. № 2. P. 132—147. doi: 10.15407/cryo30.02.132
- Shivatcheva T.M., Ankov V.K., Hadjioloff A.I. Circannual fluctuations of the serum cortisol in the European ground squirrel, Citellus citellus L // Comp. Biochem. Physiol. A. Comp. Physiology. 1988. V. 90. № 3. P. 515—518. https://doi.org/10.1016/0300-9629(88)90229-0
- Sidky Y.A., Auerbach R. Effect of hibernation on the hamster spleen immune reaction in vitro // Proc. Soc. Exp. Biol. Med. 1968. № 129. P. 122—127. doi: 10.3181/00379727-129-33265
- Spann A.P., Campbell J.E., Fitzgibbon S. R., Rodriguez A., Cap A.P., Blackbourne L.H., Shaqfeh E.S.G. The effect of hematocrit on platelet adhesion: experiments and simulations // Biophysical J. 2016. V. 111. № 3. P. 577—588. doi: 10.1016/j.bpj.2016.06.024
- Sprent J. Circulating T and B lymphocytes of the mouse. I. Migratory properties // Cell Immunol. 1973. V. 7. P. 10—39. doi: 10.1016/0008-8749(73)90180-9
- Sprent J. Lifespans of naive, memory and effector lymphocytes // Curr. Opin. Immunol. 1993. V. 5. P. 433—438. doi: 10.1016/0952-7915(93)90065-z
- Spurrier W.A., Dawe A.R. Several blood and circulatory changes in the hibernation of the 13-lined ground squirrel, Citellus tridecemlineatus // Comp. Biochem. Physiol. A. Comp. Physiol. 1973. V. 44. P. 267—282. doi: 10.1016/0300-9629(73)90479-9
- Straub A., Krajewski S., Hohmann J.D., Westein E., Jia F., Bassler N., Selan C., Kurz J., Wendel H.P., Dezfouli S., Yuan Y., Nandurkar H., Jackson S., Hickey M.J., Peter K. Evidence of platelet activation at medically used hypothermia and mechanistic data indicating ADP as a key mediator and therapeutic target // Arterioscler. Thromb. Vasc. Biol. 2011. V. 31. P. 1607—1616. doi: 10.1161/ATVBAHA.111.226373
- Szilagyi J.E., Senturia J.B. A comparison of bone marrow leukocytes in hibernating and nonhibernating woodchucks and ground squirrels // Cryobiol. 1972. V. 9. P. 257—261. doi: 10.1016/0011-2240(72)90044-2
- Talaei F., Bouma H.R., Hylkema M.N., Strijkstra A.M., Boerema A.S., Schmidt M., Henning R.H. The role of endogenous H2S formation in reversible remodeling of lung tissue during hibernation in the Syrian hamster // J. Exp. Biol. 2012. V. 215. P. 2912—2919. doi: 10.1242/jeb.067363
- Thiele J.R, Zeller J., Kiefer J., Braig D., Kreuzaler S., Lenz Y., Potempa L. A., Grahammer F., Huber T.B., Huber-Lang M., Bannasch H., Stark G.B., Peter K., Eisenhardt S.U. A conformational change in C-reactive protein enhances leukocyte recruitment and reactive oxygen species generation in ischemia/reperfusion injury // Front. Immunol. 2018. V. 9. P. 675. https://doi.org/10.3389/fimmu.2018.00675
- Tøien Ø., Drew K.L., Chao M.L., Rice M.E. Ascorbate dynamics and oxygen consumption during arousal from hibernation in Arctic ground squirrels // Am. J. Physiol. Integr. Comp. Physiol. 2001. V. 281. P. 572—583. https://doi.org/10.1152/ajpregu.2001.281.2.R572
- Uzenbaeva L.B., Kizhina A.G., Ilyukha V.A., Belkin V.V., Khizhkin E.A. Morphology and composition of peripheral blood cells during hibernation in bats (Chiroptera, Vespertilionidae) of Northwestern Russia // Biol. Bull. 2019. V. 46. P. 398—406. doi: 10.1134/S1062359019030130
- Wang C.H., Chen N.C., Tsai M.S., Yu P.H., Wang A.Y., Chang W.T., Huang C.H, Chen W.J. Therapeutic hypothermia and the risk of hemorrhage: a systematic review and meta-analysis of randomized controlled trials // Medicine (Baltimore). 2015. V. 94. P. 2152. doi: 10.1097/MD.0000000000002152
- Weitten M., Robin J.P., Oudart H., Pévet P., Habold C. Hormonal changes and energy substrate availability during the hibernation cycle of Syrian hamsters // Hormon. Behavior. 2013. V. 64. № 4. P. 611—617. doi: 10.1016/j.yhbeh.2013.08.015
- Yasuma Y., McCarron R.M., Spatz M., Hallenbeck J.M. Effects of plasma from hibernating ground squirrels on monocyte-endothelial cell adhesive interactions // Am. J. Physiol.-Regul., Integr. Comp. Physiol. 1997. V 273. № 6. P. 1861—1869. doi: 10.1152/ajpregu.1997.273.6.R1861
Supplementary files








