Динамика активности антиоксидантных ферментов и экспрессии кодирующих их генов у пшеницы после действия ультразвука
- Авторы: Тарасов С.С.1, Крутова Е.К.1
-
Учреждения:
- Нижегородская государственная сельскохозяйственная академия
- Выпуск: № 2 (2024)
- Страницы: 194-206
- Раздел: ФИЗИОЛОГИЯ РАСТЕНИЙ
- URL: https://journals.rcsi.science/1026-3470/article/view/261357
- DOI: https://doi.org/10.31857/S1026347024020037
- EDN: https://elibrary.ru/WCWGIN
- ID: 261357
Цитировать
Полный текст
Аннотация
Изучалось влияние ультразвука (5, 10 и 20 мин, интенсивность 25 кВт/м2, частота 26,1 кГц) на динамику активности основных антиоксидантных ферментов: супероксиддисмутазы, каталазы, пероксидазы и экспрессию кодирующих их генов (SOD-1, CAT, POD) в прорастающих семенах и проростках пшеницы. Ультразвук через 1 ч преимущественно подавлял активность антиоксидантных ферментов, с последующим восстановлением и усилением (через 1 и 6 суток) активности. Содержание транскриптов мРНК исследуемых генов через 1 ч после воздействия преимущественно возрастало, а в дальнейшем (через 1 и 6 суток) либо было выше, либо оставалось равной контролю. Полученные результаты, видимо, свидетельствуют о запуске ультразвуком механизмов эустресса, т. е. стимулирующий эффект приводил к мобилизации защитных процессов клеток – гормезису.
Ключевые слова
Полный текст
Ультразвук представляет собой акустические волны с частотой выше 20 000 Гц, которые не восприимчивы ухом человека. Его принято делить на низкочастотный в диапазонах от 20 000 до 100 000 Гц и высокочастотный свыше 100 000 Гц, а по взаимодействию с клетками ультразвук делится на контактный и воздушный (Сиротюк, 2008; Karthikesh, Yang, 2021). Ультразвуковое воздействие давно применяется в различных отраслях науки и технике, его способность влиять на биологические объекты используют в медицине, сельском хозяйстве, пищевой промышленности и ряде других отраслей (Tovoli et al., 2018; Chavan et al., 2022). Ультразвуковая обработка семян применяется для различных целей, в том числе для усиления процессов прорастания (Ratnikova et al., 2015; Wong et al., 2019), повышения резистентности растений к фитопатогенам (Kawakami et al., 2019, увеличения содержания ценных метаболитов, например, фенольных соединений и сахаров в растениях (Ampofo, Ngadi, 2020; Naumenko et al., 2022), улучшения пищевых свойств семян (Hassan et al., 2017; Naumenko et al., 2022). До конца не ясен общий механизм влияния ультразвука на клетки, но предполагают, что в основе его биологического действия лежит ультразвуковая кавитация, подразделяющаяся на инерциальную, вызывающую образование микроударных волн, микропотоков, микроструй, радикальных молекул, и не инерциальную – характеризующаяся колебаниями длительно существующих, стабильных газовых пузырьков в клетках (Karthikesh, Yang, 2021).
Ультразвуковая кавитация приводит к усилению генерации активных форм кислорода (АФК), повышению мембранной проницаемости, оказывает тепловое воздействие на клетки. Микропузырьки, образующиеся в процессе кавитации, механически и химически воздействуют на клеточные структуры, изменяя конформацию биомолекул (López-Ribera, Vicient, 2017; Maresca et al., 2018; Karthikesh, Yang, 2021). Изменение молекулярной конформации может существенно влиять на метаболические пути, в результате блокировки синтеза одних веществ и стимуляции других, что, как правило, проявляется в активации или дезактивации ряда ферментов и экспрессии генов (Maresca et al., 2018; Hidvégi et al., 2022).
Антиоксидантная система (АОС) растений активно участвует в ответных реакциях на ультразвуковое воздействие. Она представлена как ферментами (супероксиддисмутаза (СОД), каталаза (КАТ), пероксидаза (ПО), глутатионпероксидаза, глутатионредуктаза, альтернативная оксидаза и др.), так и низкомолекулярными веществами (токоферолы, каротиноиды, ретинол, филлохиноны, глутатион, аскорбиновая кислота, фенольные соединения и др.) (Demidchik, 2015; Колупаев и др., 2016). Каждый фермент АОС растений кодируется многими вариациями генов и их количество кратно выше, чем количество генов в геноме организмов других таксонов: животных, грибов, бактерий и архей (Winkel-Shirley, 2001; Dixon et al., 2002; Cabassa-Hourton et al., 2016; Fritsche et al., 2017; Cao et al., 2021; Sun et al., 2021). СОД и КАТ важнейшие ферменты АОС, не требующие доноров электронов. Они работают в тандеме, дезактивируют ключевые АФК, тем самым поддерживают про-/антиоксидантный баланс клетки. ПО также принимает участие в защите клетки от АФК, восстанавливая Н2О2 с участием каких либо субстратов в качестве доноров электронов (например, глутатион, аскорбат, фенолы). Количество генов СОД и КАТ у растений кратно выше, чем у животных, например, у человека в геноме только 3 гена СОД и 1 ген КАТ, в то время как у пшеницы 26 генов СОД (Jiang et al., 2019) и 10 генов КАТ (Zhang et al., 2022a). При действии ультразвуком на прорастающие семена данный баланс может быть существенно нарушен, что вероятно будет способствовать изменению процессов роста, развития и устойчивости растений, при этом возможны как положительные, так и отрицательные последствия.
Данные по активности антиоксидантных ферментов и экспрессии кодирующих их генов в прорастающих семенах при действии на них ультразвуком являются важнейшими показателями, что может сигнализировать о состоянии растений. Эти показатели важны как для фундаментального понимания физиолого-биохимических реакций растений на действия различных регуляторных механизмов, так и с прикладной ‒ для выявления оптимальных способов управления ростом и развитием растений. Имеющиеся в литературе данные о влиянии ультразвука на АОС не однозначны. Во многих работах показано стимулирующие действие ультразвуковой обработки семян на активность ферментов АОС (Liu et al., 2016; Ampofo, Ngadi, 2020; Naumenko et al., 2022), а в некоторых демонстрируется подавление активности антиоксидантных ферментов (Liu et al., 2016; Pesti-Asbóth et al., 2022). Сообщалось о неоднозначном влиянии ультразвука на экспрессию генов АОС растений (Dobránszki et al., 2020; Huang et al., 2022; Zhang et al., 2022b). При оценке транскриптома прорастающих семян Oryza sativa L. через 36 ч после 30 мин ультразвуковой обработки (частота 40 кГц) методом секвенирования отмечалось увеличение содержания транскриптов большинства генов АОС (Zhang et al., 2022b). А у эксплантов Solanum tuberosum L. было показано, что экспрессия генов POD сразу после 20 мин ультразвукового воздействия (частота 5 кГц, мощность 70 Вт) повышалась, но через 24 ч подавлялась, а через 48 ч снова увеличивалась (Dobránszki et al., 2020). Имеются данные об усилении экспрессии генов SOD-1, SOD-3, CAT-1, APX-2 и APX-3 в прорастающих семенах Glycine max L. после 15 мин ультразвуковой обработки (частота 40 кГц, мощность 100 Вт) (Huang et al., 2022).
Многими исследователями изучалась зависимость физиолого-биохимических, морфометрических и иных показателей прорастания семян от мощности и продолжительности ультразвукового воздействия, типа среды, возраста семян и др. параметров (Wang et al., 2012; Liu et al., 2016 López-Ribera, Vicient, 2017; Ampofo, Ngadi, 2020), при этом внимание динамике изменения активности антиоксидантных ферментов и экспрессии кодирующих их генов уделялось не достаточное.
Цель работы – изучить влияние продолжительности ультразвукового воздействия на активность антиоксидантных ферментов и экспрессию некоторых кодирующих их генов в прорастающих семенах и проростках пшеницы.
МАТЕРИАЛЫ И МЕТОДЫ
В качестве объекта исследования использовали семена пшеницы мягкой (Triticum aestivum L.) сорта Экада 70. Семена обрабатывали ультразвуком через 24 ч после замачивания в водопроводной воде. Для этого семена, массой 50 г, помешали в центр ультразвуковой ванны “УНИТРА – УНИМА” типа УМ – 4 (UNITRA – UNIMA UM-4) (LABIMEX, Польша), с тремя пьезоэлектрическими преобразователями, встроенными в центральную часть ее дна. Характеристики прибора: частота 26.1 кГц, характерная максимальная амплитуда акустического давления (p) – 250+20 кПа, интенсивность излучения – 25 кВт/м2, объем – 4 л, размеры ванны: длина 260 мм, ширина 160 мм, глубина 120 мм. Семена были откалиброваны по массе, размеру и являлись морфологически идентичными. Для определения параметров воздействующего ультразвука использовался метод визуализации распределений интенсивностей в ультразвуковых пучках и кавитационных микропузырьков, генерируемых пьезопреобразователями, путем визуализации ультразвуковых полей с использованием красителей – методом “краска/бумага” (Пашовкин, Шильников, 2000). Семена находились в акустическом поле, образованном устойчивой структурой стоячих волн. Распределения интенсивностей в ультразвуковых пучках в области локализации семян, т. е. непосредственно над центральным пьезопреобразователем на дне и на 2 см выше были достаточно равномерными. Таким образом, на прорастающие семена в достаточном количестве и равномерно оказывалось воздействие ультразвуком высокой интенсивности. Обработку проводили в водной среде, объемом 3 л, в течение 5, 10 и 20 мин, без термостатирования, температура в течение 20 мин увеличивалась на 7 °C (с 24 до 31 °C). Контролем служили одновременно замоченные в воде, но не обработанные ультразвуком семена.
Часть прорастающих семян гомогенизировалась сразу же после ультразвукового воздействия. Остальная часть проращивалась и исследовалась через 1 и 24 ч (семена целиком) и 6 сут (листья проростков) после ультразвуковой обработки. Для оценки ферментативной активности использовали прорастающие семена целиком, а для изучения содержания мРНК использовали только зародышевую ткань. У проростков для анализа брали листья, как для оценки активности ферментов, так и для исследования экспрессии генов. Навески всех исследуемых групп в рамках применяемой методике имели равное количество семян. Состояние АОС оценивали путем определения активности СОД, КАТ, ПО и уровня экспрессии некоторых кодирующих их генов.
Общую активность СОД определяли по способности фермента ингибировать фотохимическое восстановление нитросинего тетразолия (NBT) (Полесская и др., 2004). Гомогенизировали 0.5 г прорастающих семян или 0.1 г листьев в 2 мл 50 мМ К, Na-фосфатного буфера (рН 7.8) с последующим центрифугированием в течение 5 мин при 12 000 об/мин на центрифуге MPW-310 (Польша). Для каждого образца готовили 2 одинаковых реакционных смеси – одну помешали в темноту (темновой контроль), а другую – на яркий свет. Реакционная смесь содержала 0.5 мл 0.05% NBT, 0.9 мл 50 мМ К, Na-фосфатного буфера (рН 7.8), 0.1 мл супернатанта, 0.02 мл 0.24% раствора Na-ЭДТА. В холостые пробирки вместо супернатанта добавляли такое же количество используемого буфера. Реакцию запускали путем добавления 0.02 мл 0.025% раствора рибофлавина. Пробирки инкубировали в течение 30 мин при соответствующих условиях, реакцию световых образцов останавливали путем помещения их в темный шкаф. Далее определяли оптическую плотность при длине волны 560 нм на спектрофотометре УФ-1200 Эковью (ТМ ECOVIEW, Китай). Активность СОД выражали в условных единицах на 1 мг белка. Общий белок определяли методом Лоури (Lowry et al., 1951).
Активность КАТ в прорастающих семенах определяли газометрически (Методы биохимического…, 1987), а в листьях – спектрофотометрически, по восстановлению перекиси водорода (Patterson et al., 1984). В первом случае 0.5 г прорастающих семян растирали в 10 (2+8) мл фосфатного буфера рН 7.2, содержимое переносили в один отсек “U” образной пробирки, а в другой отсек приливали 3 мл 3% раствора Н2О2, пробирку плотно закрепляли на резиновом шланге связанным с бюреткой заполненной водой, перекись быстро переливали в отсек с гомогенатом и определяли количество выделенного О2 в течение 3 мин, фиксируя активность через 1, 2 и 3 мин, соответственно. Активность выражали в см3 О2 на 1 г семян.
Для оценки активности КАТ в листьях получали супернатант аналогично с СОД. Реакционная смесь содержала 2.8 мл 50 мМ К, Na-фосфатного буфера (рН 7.0), 0.1 мл супернатанта и 0.1 мл 0.6 М Н2О2, в холостую кювету вместо Н2О2 добавляли 0.1 мл буфера. Измерение динамики оптической плотности проводили в течение 120 с на спектрофотометре Эковью УФ-1200 (ТМ ECOVIEW, Китай) при длине волны 240 нм. Активность КАТ выражали в относительных единицах на 1 мг белка.
Активность растворимой пероксидазы определяли по Бояркину, метод основан на определении скорости реакции окисления бензидина до образования синего продукта его окисления в присутствии Н2О2 и пероксидазы (Методы биохимического…, 1987). Для этого 0.5 г прорастающих семян или 0.1 г листьев гомогенизировали с 2 мл 0.2 М Na-ацетатного буфера (рН 5.4) образцы центрифугировали в течение 5 мин при 12000 об./мин. Супернатант использовали для анализа. Реакционная смесь опытной кюветы содержала 1.8 мл ацетатного буфера (рН 5.4), 1 мл солянокислого бензидина, 0.1 мл супернатанта и 0.1 мл 0.3% Н2О2. В холостую кювету вместо Н2О2 добавляли ацетатный буфер. Измерение динамики оптической плотности проводили в течение 120 с на спектрофотометре УФ-1200 Эковью (ТМ ECOVIEW, Китай) при длине волны 590 нм. Активность ПО выражали в относительных единицах на 1 мг белка.
Экспрессию генов SOD-1, CAT-1 и POD в прорастающих семенах определяли полуколичественно с помощью полимеразной цепной реакции после обратной транскрипции (ОТ-ПЦР) с детекцией результатов по конечной точке, с последующей визуализацией в агарозном геле (Молекулярно-генетические…, 2011). Для этого 0.05 г зародышевой ткани семян или листьев гомогенизировали с использованием набора для выделения тотальной РНК ExtractRNA (Евроген, Россия). кДНК синтезировали, используя набор для обратной транскрипции ОТ-1 с М–MLV обратной транскриптазой и случайными (random) гексапраймерами (Синтол, Россия). В качестве референсного гена использовался ген актина. Подбор праймеров проводили по кодирующему участку гена в программе Primer-BLAST (https://www.ncbi.nlm.nih.gov/tools/ primer-blast). Полученные олигонуклеотиды представлены в табл. 1.
Таблица 1. Нуклеотидная последовательность праймеров для проведения ПЦР
№ | Ген | Тип праймера | Последовательность 5'–3' | Номер NCBI | Температура отжига | Размер ампликона (п. н.) |
1 | Актин | L | CTTCGTTTGGATCTCGCTGG | KC775780.1 | 60˚ | 229 |
R | GCCAATCGTGATGACCTGAC | 60˚ | ||||
2 | Ta Cu/Zn SOD | L | ATTCAATTGTTGGCCGTGCT | JQ269677.1 | 57˚ | 171 |
R | CAGATCTGTACGACGTTGGC | 56˚ | ||||
3 | Ta CAT-1 | L | ACAATTTGACCGGGAACGCATA | X94352.1 | 60˚ | 165 |
R | CAACGGTAGAGAACCGGACA | 60˚ | ||||
4 | Ta POD | L | AGATGGGCCAGATGAGGGT | AB518867.1 | 60˚ | 129 |
R | ATCGACGATGGTCTGCACAA | 58˚ |
Количественную оценку ампликонов проводили путем визуального анализа агарозного геля после его фотографирования и выражали в условных единицах (отн. ед.) (Schmittgen et al., 2000; Молекулярно-генетические…, 2011).
Эксперимент проводился в 3 биологических и 3 аналитических повторностях. Результаты обрабатывались статистически, с расчетом среднего арифметического (М) и стандартного отклонения (σ) биологических повторностей с использованием программы Microsoft Excel 2010. Достоверность различий оценивалось по t-критерию Стьюдента с поправкой Бонферрони и H-критерию Крускала-Уоллиса, уровень значимости достоверности различий составил 95% (Гланц, 1999).
РЕЗУЛЬТАТЫ ИССЛЕДОВАНИЯ
Активность антиоксидантных ферментов и экспрессия кодирующих их генов в прорастающих семенах и проростках пшеницы после ультразвукового воздействия имела как сходства, так и отличие. Было установлено подавление активности всех исследуемых ферментов в прорастающих семенах сразу после ультразвукового воздействия (рис. 1, 2, 3). В дальнейшем активность ферментов и экспрессия кодирующих их генов имели различную направленность.
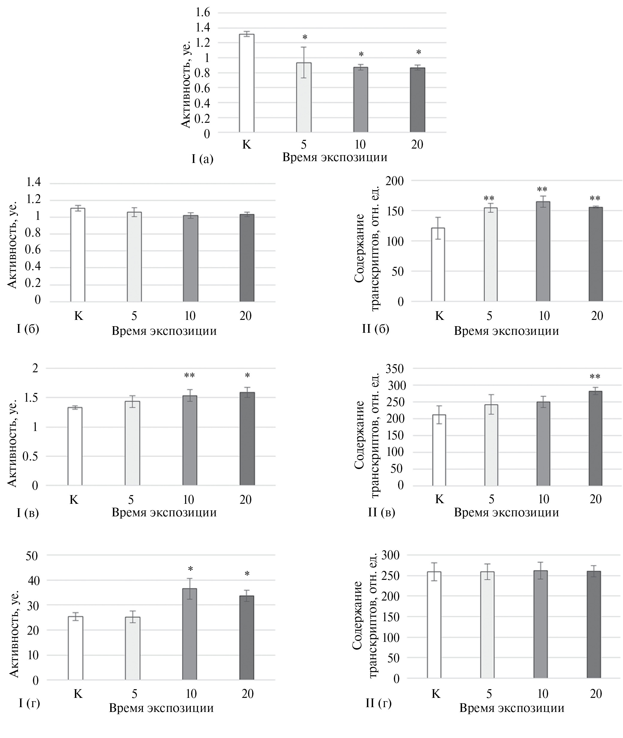
Рис. 1. Влияние продолжительности ультразвукового воздействия на динамику активности супероксиддисмутазы (I) и содержание транскриптов гена SOD-1 (II) в прорастающих семенах (а, б, в) и проростках (г) пшеницы. К – контроль; 5, 10 и 20 – время ультразвукового воздействия на семена, мин; а – сразу после воздействия; б – через 1 ч; в-через 24 ч; г – через 6 суток после действия ультразвуком, соответственно.*Р ≤ 0,05 относительно контроля по критерию Стьюдента; ** Р ≤ 0.05 в сравнении с контролем по критерию Крускала-Уоллиса.
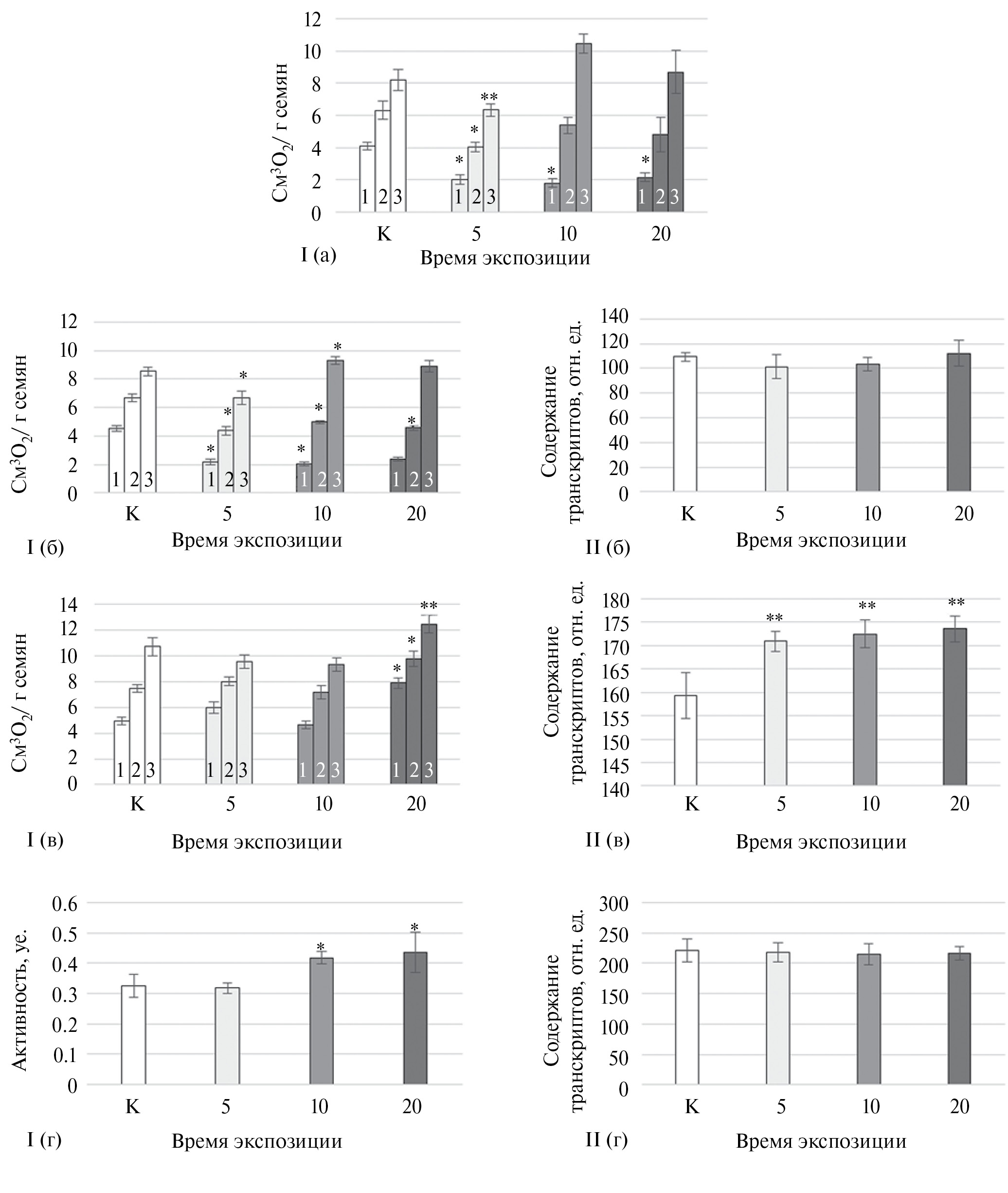
Рис. 2. Влияние продолжительности ультразвукового воздействия на динамику активности каталазы (I) и содержание транскриптов гена САТ-1 (II) в прорастающих семенах (а, б, в) и проростках (г) пшеницы. 1, 2 и 3 – время фиксации активности фермента, мин. Обозначения см. рис. 1.
Рис. 3. Влияние продолжительности ультразвукового воздействия на динамику активности растворимой пероксидазы (I) и содержание транскриптов гена POD (II) в прорастающих семенах (а, б, в) и проростках (г) пшеницы. Обозначения см. рис. 1.
Общей закономерностью для всех антиоксидантных ферментов являлось падение их активности в опытных образцах сразу после ультразвуковой обработки. Так, падение активности СОД, по сравнению с контролем, зафиксировано во всех опытных группах (Р ≤ 0.05) (рис. 1а). Наблюдалось существенное снижение активности ПО в семенах подвергавшихся 5 и 10 минутному ультразвуковому воздействию, при этом после 20 минутной ультразвуковой обработки статистически значимых отличий в активности фермента не зафиксировано (рис. 3а). Наименее подверженным ингибированию оказалась КАТ, было продемонстрировано лишь не значительное падение активности данного фермента в семенах после 5 минутного действия ультразвуком в течение всего времени фиксации активности (1, 2 и 3 мин) (рис. 2а), однако стоит обратить внимание на снижение в первую минуту фиксации активности КАТ.
Через 1 ч после действия ультразвуком на прорастающие семена активность ферментов АОС изменилась. При этом, выявлено отсутствие статистически значимых изменений в активности СОД между опытными и контрольной группами (Р ≤ 0.05). Следовательно, в опытных группах активность данного фермента возросла, по сравнению с семенами, исследованными сразу после обработки ультразвуком (рис. 1б). Активность КАТ (рис. 2б) и ПО (рис. 3б) в опытных образцах спустя 1 ч после ультразвукового воздействия не изменялась относительно предыдущего измерения (т. е. сразу после обработки ультразвуком). Следует отметить, что активность ПО в семенах, обработанных ультразвуком в течение 20 мин, была достоверно ниже контрольного уровня. Интенсивность экспрессии генов SOD-1, CAT-1 и POD отличалась друг от друга. Было показано увеличение содержания транскриптов мРНК гена SOD-1 во всех опытных группах (рис 1б), а также отсутствие достоверных изменений содержания транскриптов мРНК гена CAT-1 (рис 2б). Экспрессия гена POD в семенах, подвергавшихся 20 минутному ультразвуковому воздействию, была ниже контроля, в остальных опытных группах не отличалась от контрольных образцов (рис 3б).
Через 24 ч после ультразвукового воздействия на прорастающие семена активность ферментов АОС и экспрессия их генов имела некоторые сходства и отличия. Было показано усиление активности СОД (рис. 1в) в семенах после 10 и 20 минутного ультразвукового воздействия, а увеличение активности КАТ (рис. 2в) и ПО (рис. 3в) (Р ≤ 0.05) только после 20 минутной ультразвуковой обработки. В остальных опытных группах активность ферментов не отличалась от контрольных значений (Р ≤ 0.05). Следует отметить, что не была установлена зависимость между уровнем экспрессии генов, кодирующих ферменты АОС, и активностью самих ферментов. Так было показано увеличение содержания транскриптов мРНК гена SOD-1 только в образцах подвергавшихся 20 минутному ультразвуковому воздействию (рис 1в), тогда как ген CAT-1, напротив, экспрессировался интенсивнее во всех опытных группах (рис 2в). Содержание же транскриптов мРНК гена POD во всех семенах, подвергавшихся ультразвуковому воздействию, не отличалось от контрольных значений (рис 1в).
В листьях проростков спустя 6 суток после действия ультразвуком (10 и 20 мин обработки) на прорастающие семена отмечалось усиление активности СОД (рис. 1г) и КАТ (рис. 2г), тогда как в образцах подвергавшихся 5 минутному ультразвуковому воздействию достоверных отличий выявлено не было (Р ≤ 0.05). Активность ПО (рис 3г), как и экспрессия гена POD (рис 3г) в листьях всех опытных групп статистически значимо не отличалась от контроля (Р ≤ 0.05). Следует отметить, что экспрессия генов SOD-1 (рис 1г) и CAT-1 (рис 2г) во всех опытных группах не имела достоверных отличий (Р ≤ 0,05) несмотря на усиление активности кодируемых ими ферментов.
ОБСУЖДЕНИЕ РЕЗУЛЬТАТОВ
Ферментативный антиоксидантный статус формируется широким перечнем ферментов, среди которых наибольшее значение имеют СОД, КАТ и ПО (Demidchik, 2015; Ermakov et al., 2019; Bobrovskikh et al., 2020). Обсуждая и интерпритируя влияние ультразвука на активность ферментов АОС и экспрессию кодирующих их генов необходимо учитывать, что воздействие на молекулярном уровне осуществляется преимущественно на белковые структуры. Следует обращать внимание на изменение активности ферментов в растительных тканях и в водных растворах и механизм генетического регулирования на ультразвуковое воздействие.
Поскольку было установлено подавлением активности антиоксидантных ферментов сразу после ультразвукового воздействия на большинство опытных образцов с последующим востановлением (через 1–24 ч) и усилением активности СОД и КАТ (через 6 суток) в листьях проростков можно предположить, что ультразвуковая обработка вероятнее всего оказывала эустрессирующее воздействие. Следовательно, после стадий тревоги и адаптации растений ультразвук приводил к гормезису, мобилизуя защитные механизмы клеток, в том числе, активируя ферменты АОС.
Падение активности антиоксидантных ферментов в прорастающих семенах сразу после ультразвукового воздействия, вероятно обусловлено особенностями изменения их конформации, уровнем агригации, растворимости и пр. Исследования модельных белков показали, что ультразвук существенно влияет на уровень агрегации и растворимости, а также на степень флуоресценции и ряд других показателей. Например, длительное воздействие ультразвука на белок способствовало его агрегации и снижало степень растворимости (Deng et al., 2021; Su, Cavaco-Paulo, 2021). Сонохимическое воздействие ультразвуковой волны на белковые молекулы приводило к изменению их фолдинговых структур (Zhu et al., 2019; Zhao et al., 2019; Li et al., 2020; Ding et al., 2021; Yu et al., 2021).
При воздействии на вторичную структуру белков не выявлено четкой зависимости между мощностью и временем ультразвукового воздействия и переходом одной структуры в другую. Изменение количества α-спиралей, β-складчатостей и участков с неопределенной структурой вероятнее всего зависело от природы белковых молекул, в первую очередь их аминокислотного состава (Ding et al., 2021). Исследования влияния ультразвука на первичную структуру не однозначное, в некоторых работах демонстрировалось отсутствие такового воздействия (Biswas, Sit, 2020; Ding et al., 2021), тогда как в других – наличие фрагментации белков (Lv et al., 2019). Как в случае со вторичной структурой вероятнее всего это обусловлено природой белковых молекул (Lv et al., 2019). Выявлена способность ультразвука оказывать влияние на активность ферментов (Zhu, et al., 2019; Zhao et al., 2021), при этом кратковременное воздействие со слабой и умеренной мощностью может как усиливать, так и подавлять их активность, тогда как долговременное воздействие всегда приводит к существенному подавлению активности фермента. Известно, что ультразвук (частота 22 кГц, мощность 15 Вт/см2, в течение 10–60 сек) (Gebicka, Gebicki, 1997) существенно снижал активность ПО в водных растворах, а ее частичная инактивация и модификация имела не химическую, а механическую основу (Ercan, Soysal, 2011), что согласуется с полученными нами данными, свидетельствующими о подавление активности ПО в прорастающих семенах после ультразвукового воздействия (рис 3а, б). Известно, что ультразвук в водных растворах не способен дезактивировать КАТ (Kashkooli, 1980; Gebicka, Gebicki, 1997), что также наблюдалось в наших исследованиях, показавших незначительное подавление активности фермента в образцах после 5 минутной обработки ультразвуком.
Временное падение активности СОД (во всех опытных группах), КАТ (при 5 минутной обработки) и ПО (при 5 и 10 минутном воздействии), в прорастающих семенах сразу после ультразвуковой обработки, с последующим восстановлением активности спустя 1 ч (СОД), и 24 ч (КАТ и ПО) может свидетельствовать о временном ингибировании исследуемых ферментов, без серьезного нарушения структурной целостности молекул и последующего протеолиза. Усиление активности СОД и КАТ в опытных образцах подвергавшиеся 10 и 20 минутному ультразвуковому воздействию спустя 24 ч и 6 суток вероятнее всего было обусловлено усилением экспрессии генов данных ферментов.
В работах на растительных объектах демонстрировалось неоднозначное действие ультразвука на ферменты АОС (Liu et al., 2016; Ampofo, Ngadi, 2020; Huang et al., 2022; Naumenko el. al., 2022; Pesti-Asbóth el. al., 2022). Так при действии ультразвука (частота 40 кГц, мощность 180 и 360 Вт, в течение 30, 45 и 60 мин.) на семена фасоли в период их набухания была показана активация ферментов АОС (КАТ и ПО) через 1–4 суток прорастания семян (Ampofo, Ngadi, 2020). Действие ультразвука (частота 40 кГц, мощность 100 Вт, в течение 15 мин) на семена сои не изменяло активность СОД, КАТ и ПО сразу после обработки (Huang et al., 2022). Однако ультразвуковая обработка при аналогичных условиях усиливала активность СОД и КАТ, но не изменяла активность ПО через 1–3 суток прорастания семян (Huang et al., 2022), что также подтверждено результатами данной работы. Действие ультразвука (частота 40 кГц, мощность 367 Вт, в течение 36 мин.) на предварительно замоченные семена овсяницы и ржи подавляло активность СОД и ПО (Liu et al., 2016), но при обработке тех же семян, в фазу набухания, напротив, обнаруживалось стимулирование активности этих ферментов (Liu et al., 2016). В данном исследовании установлено подавление активности всех исследуемых ферментов в предварительно замоченных семенах пшеницы сразу после ультразвукового воздействия, но было показано усиление активности СОД и КАТ и восстановление активности ПО через 1 и 6 суток после ультразвуковой обработки. Несмотря на кажущиеся противоречия в реакциях АОС растений на ультразвуковое воздействие такие результаты можно объяснить не только особенностями объекта исследования (вид растения, размер семян и их химический состав, возраст семян и пр.), продолжительностью и мощностью ультразвукового воздействия. На результаты влияет также фаза прорастания семян, в которой они были подвергнуты ультразвуковому воздействию. Стимулирующий эффект наблюдался после действия ультразвуком на семена, находящиеся в фазе набухания, а ингибирующий – в фазе роста первичных корешков. Кроме того, имеет значение время анализа биоматериала после ультразвуковой обработки. Например, семена фасоли исследовали спустя 24–96 ч после ультразвукового воздействия (Ampofo, Ngadi, 2020), а семена овсяницы и ржи гомогенизировали сразу после ультразвуковой обработки (Liu et al., 2016).
Таким образом, от фазы прорастания семян существенно зависит эффект ультразвукового воздействия, который по множеству показателей значительно изменяется в динамике. В данной работе было изучено ультразвуковое воздействие на семена пшеницы, находящиеся в фазе роста первичных корешков (наиболее чувствительный к стрессовому воздействию период (Smolikova, Medvedev, 2022), и показано первоначальное подавление активности ферментов АОС, последующее востановление и усиление их активности, что в целом согласуется с концепцией гормезиса (Calabrese, 2018; Jalal et al., 2020; Jacome Burbano, Gilson, 2021). Усиление ферментативной активности видимо связано не с модификацией белковых молекул после ультразвукового воздействия, а с изменением уровня экспрессии генов, в частности, с усилением процессов транскрипции и запуском альтернативных путей реализации генетической информации (альтернативный сплайсинг, альтернативная инициация транскрипции, альтернативное полиаденилирование) (Zhiguo et al., 2013; Seo et al., 2013; de Klerk, AC't Hoen, 2015; Li et al., 2017; Gallegos, 2018; Reyes, Huber, 2018; John et al., 2021; Yang et al., 2022; Lam et al., 2022), что может приводить к увеличению концентрации ферментов и изменению их изоформного состава (Jiang et al., 2019; Saini et al., 2021).
Увеличение содержание транскриптов мРНК исследуемых генов спустя 1 ч – 6 сут после ультразвукового воздействия вероятно обусловлено усилением процессов реализации генетического материала, в том числе в следствие ремоделирования хроматина, подавления процессов метилирования ДНК, активации ряда факторов транскрипции (в т. ч. теплового шока и имеющих в промоторе ССААТ мотив), что приводило к увеличению доступности ДНК для транскрипции (Maresca et al., 2018; Hidvégi et al., 2022). Активация транскрипции генов АОС может быть также обусловлена стрессовыми сигналами, возникающими в прорастающих семенах в результате ультразвукового воздействия, в их числе: гидравлические, химические, электрические (Vodeneev et al., 2015), а повышенная генерация сигнальных молекул (сахара, АФК, гормоны и др.), образовавшихся вследствие повреждения клеток в результате ультразвукового воздействия, может стимулировать различные инициирующие пути биосинтеза мРНК (Pfannschmidt et al., 2009; Hasanuzzaman et al., 2020).
Отсутствие высокой зависимости между наблюдаемым изменением активности фермента и уровнем экспрессии его гена можно объяснить тем, что для оценки уровня экспрессии использовался только один ген, а их количество в геноме гораздо больше (Wang et al., 2017; Jiang et al., 2019; Tyagi et al., 2020; Zhang et al., 2022a). При этом реакции генов, кодирующих один и тот же продукт, на внешнее воздействие неодинаковые и проявляются как в усилении, так и понижении уровня их экспрессии (Jiang et al., 2019). Следует также отметить, что один ген может давать множество вариантов транскриптов мРНК, а праймеры, подобранные к аннотированным последовательностям представленных в генетической базе данных, могли не отжечься на кДНК альтернативных транскриптов (информация о которых в настоящее время не известна) (Zhiguo et al., 2013; de Klerk, AC't Hoen, 2015; Li et al., 2017; Gallegos, 2018; John et al., 2021; Lam et al., 2022; Yang et al., 2022).
ЗАКЛЮЧЕНИЕ
Установлено, что в условиях ультразвукового воздействия на прорастающие семена пшеницы существенно менялось функционирование ферментов АОС, при этом изменение их активности носило преимущественно дозозависимый характер как в краткосрочном, так и в долгосрочном периоде. Активность ферментов в опытных образцах сразу после ультразвукового воздействия преимущественно ингибировалась, но затем восстанавливалась до уровня контроля или была выше контрольных значений. Максимальный эффект был выявлен в семенах, обработанных ультразвуком в течение 10 и 20 минут. Ультразвуковое воздействие усиливало экспрессию генов SOD-1 и CAT-1, при этом накопление транскриптов мРНК, в отличии от увеличения активности ферментов, преимущественно имело дозонезависимый характер. Таким образом, ультразвуковая обработка вероятнее всего оказывала эустрессирующее воздействие, что после стадий тревоги и адаптации приводило к гормезису, мобилизуя защитные механизмы клеток, в том числе активируя ферменты АОС.
В зародышевых тканях пшеницы зависимость усиления активности СОД и КАТ от ультразвукового воздействия регулировалась на уровне транскрипции соответствующих генов, поскольку увеличение концентрации транскриптов генов SOD-1 и CAT-1 предшествовало усилению активности данных ферментов. Факт отсутствия усиления экспрессии генов SOD-1 и CAT-1 в листьях проростков после ультразвуковой обработки семян при увеличении активности кодирующих их ферментов является перспективой дальнейших исследований. В частности изучение экспрессии всех генов, кодирующих СОД и КАТ, их факторов транскрипции, особенности структурной организации цис- и транс- регуляторных участков и альтернативных путей реализации генетической информации (альтернативная инициация транскрипции, сплайсинг и полиаденилирование) поможет более детально разобраться в механизмах влияния ультразвука на работу АОС растений.
СОБЛЮДЕНИЕ ЭТИЧЕСКИХ СТАНДАРТОВ
В данной работе отсутствуют исследования человека или животных.
ФИНАНСИРОВАНИЕ
Эта работа поддерживалась постоянным институциональным финансированием. Никаких дополнительных грантов на проведение или руководство этим конкретным исследованием получено не было.
Об авторах
С. С. Тарасов
Нижегородская государственная сельскохозяйственная академия
Автор, ответственный за переписку.
Email: tarasov_ss@mail.ru
Россия, 603022, Нижний Новгород, пр. Гагарина, 97
Е. К. Крутова
Нижегородская государственная сельскохозяйственная академия
Email: tarasov_ss@mail.ru
Россия, 603022, Нижний Новгород, пр. Гагарина, 97
Список литературы
- Гланц С. Медико-биологическая статистика. М.: Практика, 1999. 459 с.
- Колупаев, Ю. Е. Антиоксиданты растительной клетки, и их роль в АФК сигналинге и устойчивости растений // Успехи соврем. биол. 2016. Т. 136. С. 181–198.
- Методы биохимического исследования растений / под редакцией А. И. Ермакова. Изд. 3-е, перераб. и доп. Л.: Агропромиздат, 1987 г. 432 с.
- Молекулярно-генетические и биохимические методы в современной биологии растений / под редакцией Вл. В. Кузнецова, В. В. Кузнецова, Г. А. Романова. М.: БИНОМ. Лаборатория знаний. 2011 г. 487 с.
- Пашовкин Т. Н., Шильников Г. В. Регистрация и анализ распределений интенсивностей в ультразвуковых пучках с использованием красителей // Научное приборостроение. 2000. Т. 10. № 3. С. 17–26
- Полесская О. Г., Каширина Е. И., Алехина Н. Д. Изменение активности антиоксидантных ферментов в листьях и корнях пшеницы в зависимости от формы и дозы азота в среде // Физиология растений. 2004. Т. 51. С. 686–691.
- Сиротюк М. Г. Акустическая кавитация. М.: Наука, 2008. 271 с.
- Ampofo J. O., Ngadi M. Ultrasonic assisted phenolic elicitation and antioxidant potential of common bean (Phaseolus vulgaris) sprouts // Ultrason Sonochem. 2020. № 64. Р. 104–974. https://doi.org/10.1016/j.ultsonch.2020.104974
- Biswas B., Sit N. Effect of ultrasonication on functional properties of tamarind seed protein isolates // J Food Sci Technol. 2020. V. 57. № 6. Р. 2070–2078. https://doi.org/10.1007/s13197-020-04241-8
- Bobrovskikh A., Zubairova U., Kolodkin A., Doroshkov A. Subcellular compartmentalization of the plant antioxidant system: an integrated overview. PeerJ. 2020. V. 8. https://doi.org/10.7717/peerj.9451
- Cabassa-Hourton C., Schertl P., Bordenave-Jacquemin M., Saadallah K., Guivarc’h A., Lebreton S., Planchais S., Klodmann J., Eubel H., Crilat E., Lefebvre-De Vos D., Ghelis T., Richard L., Abdelly C., Carol P., Braun H. P., Savouré A. Proteomic and functional analysis of proline dehydrogenase 1 link proline catabolism to mitochondrial electron transport in Arabidopsis thaliana // Biochem J. 2016. V. 473. № 17. Р.2623–2634. https://doi.org/10.1042/bcj20160314
- Calabrese E. J. Hormesis: Path and Progression to Significance. Int J Mol Sci. 2018. V. 19. № . 10. P. 28–71. https://doi.org/10.3390/ijms19102871
- Cao W., Wang P., Yang L., Fang Z., Zhang Y., Zhuang M., Lv H., Wang Y., Ji J. Carotenoid Biosynthetic Genes in Cabbage: Genome-Wide Identification, Evolution, and Expression Analysis // Genes (Basel). 2021. V. 12. № 12. P. 20–27. doi: 10.3390/genes12122027
- de Klerk E., AC’t Hoen P. A. Alternative mRNA transcription, processing, and translation: insights from RNA sequencing // Trends Genet. 2015. V. 31. № 3. P. 128–139. https://doi.org/10.1016/j.tig.2015.01.001
- Demidchik V. Mechanisms of oxidative stress in plants: From classical chemistry to cell biology // Environ. Expt. Bot. 2015. № 109. Р. 212–228. https://doi.org/10.1016/j.envexpbot.2014.06.021
- Deng X., Ma Y., Lei Y., Zhu X., Zhang L., Hu L., Lu S., Guo X., Zhang J. Ultrasonic structural modification of myofibrillar proteins from Coregonus peled improves emulsification properties // Ultrason Sonochem. 2021. № 76. Р. 105–659. https://doi.org/10.1016/j.ultsonch.2021.105659
- Ding Q., Tian G., Wang X., Deng W., Mao K., Sang Y. Effect of ultrasonic treatment on the structure and functional properties of mantle proteins from scallops (Patinopecten yessoensis) // Ultrason Sonochem. 2021. № 79. Р. 105–770. https://doi.org/10.1016/j.ultsonch.2021.105770
- Dixon D. P., Lapthorn A. Edwards R. Plant glutathione transferases // Genome Biol. 2002. V. 3. № . 3 REVIEWS3004.1–30004–10. https://doi.org/10.1186/gb-2002-3-3-reviews3004
- Dobránszki J., Hidvégi N., Gulyás A., Tóth B., Teixeira da Silva J. A. Abiotic stress elements in in vitro potato (Solanum tuberosum L.) exposed to air-based and liquid-based ultrasound: A comparative transcriptomic assessment // Prog Biophys Mol Biol. 2020. V. 158. P. 47–56. https://doi.org/10.1016/j.pbiomolbio.2020.09.001
- Ercan S. S., Soysal C. Effect of ultrasound and temperature on tomato peroxidase // Ultrason Sonochem. 2011. V. 18. № 2. P. 689–695. https://doi.org/10.1016/j.ultsonch.2010.09.014
- Ermakov A., Bobrovskikh A., Zubairova U., Konstantinov D., Doroshkov A. Stress-induced changes in the expression of antioxidant system genes for rice (Oryza sativa L.) and bread wheat (Triticum aestivum L.) // PeerJ. 2019. V. 7. https://doi.org/10.7717/peerj.7791
- Fritsche S., Wang X., Jung C. Recent Advances in our Understanding of Tocopherol Biosynthesis in Plants: An Overview of Key Genes, Functions, and Breeding of Vitamin E Improved Crops // Antioxidants (Basel). 2017. V. 6. № 4. P. 99. https://doi.org/10.3390/antiox6040099
- Gallegos J. Alternative Splicing Plays a Major Role in Plant Response to Cold Temperatures // Plant Cell. 2018. V. 30. № 7. P. 1378–1379. https://doi.org/10.1105/tpc.18.00430
- Gebicka L., Gebicki J. L. The effect of ultrasound on heme enzymes in aqueous solution // J Enzyme Inhib. 1997 V. 12. № 2. P. 133–141. https://doi.org/10.3109/14756369709035814
- Chavan P., Sharma P., Sharma S. R., Mittal T. C., Jaiswal A. K. Application of High-Intensity Ultrasound to Improve Food Processing Efficiency: A Review // Foods. 2022. V. 11. № 1. P. 122. https://doi.org/10.3390/foods11010122
- Huang Y., Mei G., Fu X., Wang Y., Ruan X., Cao D. Ultrasonic Waves Regulate Antioxidant Defense and Gluconeogenesis to Improve Germination from Naturally Aged Soybean Seeds // Front Plant Sci. 2022. № 13. Р. 833–858. https://doi.org/10.3389/fpls.2022.833858
- Hasanuzzaman M., Bhuyan M., Parvin K., Bhuiyan T. F., Anee T. I., Nahar K., Hossen M. S., Zulfiqar F., Alam M. M., Fujita M. Regulation of ROS Metabolism in Plants under Environmental Stress: A Review of Recent Experimental Evidence // Int J Mol Sci. 2020. V. 21. № 22. P. 86–95. https://doi.org/10.3390/ijms21228695
- Hassan S., Imran M., Ahmad N., Khan M. K. Lipids characterization of ultrasound and microwave processed germinated sorghum // Lipids Health Dis. 2017. № 16. № 1. Р. 125. https://doi.org/10.1186/s12944-017-0516-4
- Hidvégi N., Gulyás A., Dobránszki J. Ultrasound, as a hypomethylating agent, remodels DNA methylation and alters mRNA transcription in winter wheat (Triticum aestivum L.) seedlings // Physiol Plant. 2022. V. 174. № 5. https://doi.org/10.1111/ppl.13777
- Jacome Burbano M.S, Gilson E. The Power of Stress: The Telo-Hormesis Hypothesis // Cells. 2021. V. 10. № 5. P. 11–56. https://doi.org/10.3390/cells10051156
- Jalal B., McNally R.J., Elias J. A., Potluri S., Ramachandran V. S. “Fake it till You Make it”! Contaminating Rubber Hands (“Multisensory Stimulation Therapy”) to Treat Obsessive-Compulsive Disorder // Front Hum Neurosci. 2020. V. 13. P. 414. https://doi.org/10.3389/fnhum.2019.00414
- Jiang W., Yang L., He Y., Zhang H., Li W., Chen H., Ma D., Yin J. Genome-wide identification and transcriptional expression analysis of superoxide dismutase (SOD) family in wheat (Triticum aestivum) // PeerJ. 2019. V. 7. https://doi.org/10.7717/peerj.8062
- John S., Olas J. J., Mueller-Roeber B. Regulation of alternative splicing in response to temperature variation in plants // J Exp Bot. 2021. V. 72. № 18. P. 6150–6163. https://doi.org/10.1093/jxb/erab232
- Karthikesh M. S., Yang X. The effect of ultrasound cavitation on endothelial cells // Exp Biol Med (Maywood). 2021. V. 246. № 7. P. 758–770. https://doi.org/10.1177/1535370220982301
- Kashkooli H. A., Rooney J. A., Roxby R. Effects of ultrasound on catalase and malate dehydrogenase // J Acoust Soc Am. 1980. V. 67. № 5. P. 1798–1801. https://doi.org/10.1121/1.384309
- Kawakami D., Yoshida T., Kanemaru Y., Huarhua Zaquinaula M. H., Mizukami T., Arimoto M., Shibata T., Goto A., Enami Y., Amano H., Teraoka T., Komatsu K., Arie T. Induction of resistance to diseases in plant by aerial ultrasound irradiation // J Pestic Sci. 2019. V. 44. № 1. P. 41–47. https://doi.org/10.1584/jpestics.d18-064
- Lam P. Y., Wang L., Lo C., Zhu F. Y. Alternative Splicing and Its Roles in Plant Metabolism // Int J Mol Sci. 2022. V. 23. № 13. P. 73–55. https://doi.org/10.3390/ijms23137355
- Li Q. Q., Liu Z., Lu W., Liu M. Interplay between Alternative Splicing and Alternative Polyadenylation Defines the Expression Outcome of the Plant Unique OXIDATIVE TOLERANT-6 Gene // Sci Rep. 2017. V. 7. № 1. P. 20–52. https://doi.org/10.1038/s41598-017-02215-z
- Li Y., Cheng Y., Zhang Z., Wang Y., Mintah B. K., Dabbour M., Jiang H., He R., Ma H. Modification of rapeseed protein by ultrasound-assisted pH shift treatment: Ultrasonic mode and frequency screening, changes in protein solubility and structural characteristics // Ultrason Sonochem. 2020. № 69. Р. 105–240. https://doi.org/10.1016/j.ultsonch.2020.105240
- Liu J., Wang Q., Karagić Đ., Liu X., Cui J., Gui J., Gu M., Gao W. Effects of ultrasonication on increased germination and improved seedling growth of aged grass seeds of tall fescue and Russian wildrye // Sci Rep. 2016. № 6. https://doi.org/10.1038/srep22403
- López-Ribera I., Vicient C. M. Use of ultrasonication to increase germination rates of Arabidopsis seeds // Plant Methods. 2017. V. 13. P. 31. https://doi.org/10.1186/s13007-017-0182-6
- Lowry, O.N., Rosenbrough N. J., Tarr A. L., Randall R. J. Protein measurement with the Folin phenol reagent // J. Biol. Chem. 1951. V. 193. № 1. P. 265–275.
- Lv S., Taha A., Hu H., Lu Q., Pan S. Effects of Ultrasonic-Assisted Extraction on the Physicochemical Properties of Different Walnut Proteins // Molecules. 2019. V. 24. № 23. Р. 4260. https://doi.org/10.3390/molecules24234260
- Maresca D., Lakshmanan A., Abedi M., Bar-Zion A., Farhadi A., Lu G. J., Szablowski J. O., Wu D., Yoo S., Shapiro M. G. Biomolecular Ultrasound and Sonogenetics // Annu Rev Chem Biomol Eng. 2018. V. 9. P. 229–252. https://doi.org/10.1146/annurev-chembioeng-060817-084034
- Naumenko N., Potoroko I., Kalinina I. Stimulation of antioxidant activity and γ-aminobutyric acid synthesis in germinated wheat grain Triticum aestivum L. by ultrasound: Increasing the nutritional value of the product // Ultrason Sonochem. 2022. V. 86. P. 106–000. https://doi.org/10.1016/j.ultsonch.2022.106000
- Patterson B. D., Payne L. A., Chen Y. Z., Graham D. An inhibitor of catalase induced by cold in chilling-sensitive plants. Plant Physiol. 1984. V. 76. № 4. P. 1014–1018. https://doi.org/10.1104/pp.76.4.1014
- Pesti-Asbóth G., Molnár-Bíróné P., Forgács I., Remenyik J., Dobránszki J. Ultrasonication affects the melatonin and auxin levels and the antioxidant system in potato in vitro // Front Plant Sci. 2022. V. 13. P. 979–141. https://doi.org/10.3389/fpls.2022.979141
- Pfannschmidt T., Bräutigam K., Wagner R., Dietzel L., Schröter Y., Steiner S., Nykytenko A. Potential regulation of gene expression in photosynthetic cells by redox and energy state: approaches towards better understanding // Ann Bot. 2009. V. 103. № 4. P. 599–607. https://doi.org/10.1093/aob/mcn081
- Ratnikova T. A., Podila R., Rao A. M., Taylor A. G. Tomato Seed Coat Permeability to Selected Carbon Nanomaterials and Enhancement of Germination and Seedling Growth // ScientificWorldJournal. 2015. V. 2015. Р. 419–215. https://doi.org/10.1155/2015/419215
- Reyes A., Huber W. Alternative start and termination sites of transcription drive most transcript isoform differences across human tissues // Nucleic Acids Res. 2018. V. 46. № 2. P. 582–592. https://doi.org/10.1093/nar/gkx1165
- Saini A., Rohila J. S., Govindan G., Li Y. F., Sunkar R. Splice Variants of Superoxide Dismutases in Rice and Their Expression Profiles under Abiotic Stresses // Int J Mol Sci. 2021. V. 22. № 8 P .39–97. https://doi.org/10.3390/ijms22083997
- Schmittgen T. D., Zakrajsek B. A., Mills A. G., Gorn V., Singer M. J., Reed M. W. Quantitative reverse transcription-polymerase chain reaction to study mRNA decay: comparison of endpoint and real-time methods // Anal Biochem. 2000. V. 285. № 2. P. 194–204. https://doi.org/10.1006/abio.2000.4753
- Seo P. J., Park M. J., Park C. M. Alternative splicing of transcription factors in plant responses to low temperature stress: mechanisms and functions // Planta. 2013. V. 237. № 6. P. 1415–1424. https://doi.org/10.1007/s00425-013-1882-4
- Smolikova G., Medvedev S. Seed-to-Seedling Transition: Novel Aspects // Plants (Basel). 2022. V. 11. № 15. P. 19–88. https://doi.org/10.1007/s00425-013-1882-4
- Su J., Cavaco-Paulo A. Effect of ultrasound on protein functionality // Ultrason Sonochem. 2021. № . 76. Р. 105–653. https://doi.org/10.1016/j.ultsonch.2021.105653
- Sun Z., Li S., Chen W., Zhang J., Zhang L., Sun W., Wang Z. Plant Dehydrins: Expression, Regulatory Networks, and Protective Roles in Plants Challenged by Abiotic Stress // Int J Mol Sci. 2021. V. 22. № 23 https://doi.org/10.3390/ijms222312619
- Tovoli F., Cantisani V., Schiavone C., Piscaglia F. What Future for Ultrasound in Medicine? // Ultraschall Med. 2018. V. 39. № 1. P. 7–10. https://doi.org/10.1055/s-0043-125421
- Tyagi S., Shumayla, Verma P. C., Singh K., Upadhyay S. K. Molecular characterization of ascorbate peroxidase (APX) and APX-related (APX-R) genes in Triticum aestivum L. // Genomics. 2020. V. 112. № 6. Р. 4208–4223. https://doi.org/10.1016/j.ygeno.2020.07.023
- Vodeneev V., Akinchits E., Sukhov V. Variation potential in higher plants: Mechanisms of generation and propagation // Plant Signal Behav. 2015. V. 10. № 9. https://doi.org/10.1080/15592324.2015.1057365
- Wang Q., Chen G., Yersaiyiti H., Liu Y., Cui J., Wu C., Zhang Y., He X. Modeling analysis on germination and seedling growth using ultrasound seed pretreatment in switchgrass. PLoS One. 2012. V. 7. № 10. https://doi.org/10.1371/journal.pone.0047204
- Wang W., Zhang X., Deng F., Yuan R., Shen F. Genome-wide characterization and expression analyses of superoxide dismutase (SOD) genes in Gossypium hirsutum // BMC Genomics. 2017. V. 18. № 1. P. 376. https://doi.org/10.1186/s12864-017-3768-5
- Winkel-Shirley B. Flavonoid biosynthesis. A colorful model for genetics, biochemistry, cell biology, and biotechnology // Plant Physiol. 2001 V. 126. № 2. P. 485–493. https://doi.org/10.1104/pp.126.2.485
- Wong K. S., Lee L., Yeo L. Y., Tan M. K. Enhancing rate of water absorption in seeds via a miniature surface acoustic wave device // R Soc Open Sci. 2019. № 6. № 3. Р. 181560–181571. https://doi.org/10.1098/rsos.181560
- Yang X., Jia Z., Pu Q., Tian Y., Zhu F., Liu Y. ABA Mediates Plant Development and Abiotic Stress via Alternative Splicing // Int J Mol Sci. 2022. V. 23. № 7. P. 37–96. https://doi.org/10.3390/ijms23073796
- Yu M., Zhou Y., Wang X., Xie M., Zhang B., Yu H., Sun Z. Effect of ultrasonic pre-treatment on Ara h 1 in peanut sprouts // Ultrason Sonochem. 2021. № 75. Р. 105–607. https://doi.org/10.1016/j.ultsonch.2021.105607
- Zhang Y., Zheng L., Yun L., Ji L., Li G., Ji M., Shi Y., Zheng X. Catalase (CAT) Gene Family in Wheat (Triticum aestivum L.): Evolution, Expression Pattern and Function Analysis // Int J Mol Sci. 2022a. V. 23. № 1. P. 542. https://doi.org/10.3390/ijms23010542
- Zhang G.., Xu J, Wang Y., Sun X., Huang S., Huang L., Liu Y., Liu H., Sun J. Combined transcriptome and metabolome analyses reveal the mechanisms of ultrasonication improvement of brown rice germination. Ultrason Sonochem. 2022b. № 91. Р. 106–239. https://doi.org/10.1016/j.ultsonch.2022.106239
- Zhao F., Liu X., Ding X., Dong H., Wang W. Effects of High-Intensity Ultrasound Pretreatment on Structure, Properties, and Enzymolysis of Soy Protein Isolate // Molecules. 2019. V. 24. № 20. Р. 36–37. https://doi.org/10.3390/molecules24203637
- Zhao P., Huo S., Fan J., Chen J., Kiessling F., Boersma A. J., Göstl R., Herrmann A. Activation of the Catalytic Activity of Thrombin for Fibrin Formation by Ultrasound // Angew Chem Int Ed Engl. 2021. № 60. № 26. Р. 14707–14714. https://doi.org/10.1002/anie.202105404
- Zhiguo, E., Wang L., Zhou J. Splicing and alternative splicing in rice and humans // BMB Rep. 2013. V. 46. № 9. P. 439–447. https://doi.org/10.5483/bmbrep.2013.46.9.161
- Zhu L., Zhu L., Murtaza A., Liu Y., Liu S., Li J., Iqbal A., Xu X., Pan S., Hu W. Ultrasonic Processing Induced Activity and Structural Changes of Polyphenol Oxidase in Orange (Citrus sinensis Osbeck) // Molecules. 2019. № 24. № 10. Р. 1922. https://doi.org/10.3390/molecules24101922
Дополнительные файлы





