Показатели липидного обмена у сеголеток атлантического лосося Salmo salar, в условиях аквакультуры в южном регионе РФ при разных режимах освещения и кормления
- Авторы: Мурзина С.А.1, Провоторов Д.С.1, Воронин В.П.1, Кузнецова М.В.1, Курицын А.Е.1, Немова Н.Н.1
-
Учреждения:
- Институт биологии – обособленное подразделение ФГБУН ФИЦ “Карельский научный центр Российской академии наук”
- Выпуск: № 2 (2023)
- Страницы: 134-148
- Раздел: БИОХИМИЯ
- URL: https://journals.rcsi.science/1026-3470/article/view/135512
- DOI: https://doi.org/10.31857/S1026347022700081
- EDN: https://elibrary.ru/HAUNDM
- ID: 135512
Цитировать
Полный текст
Аннотация
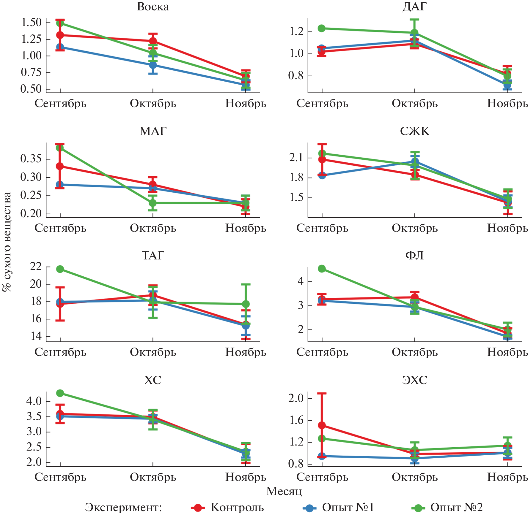
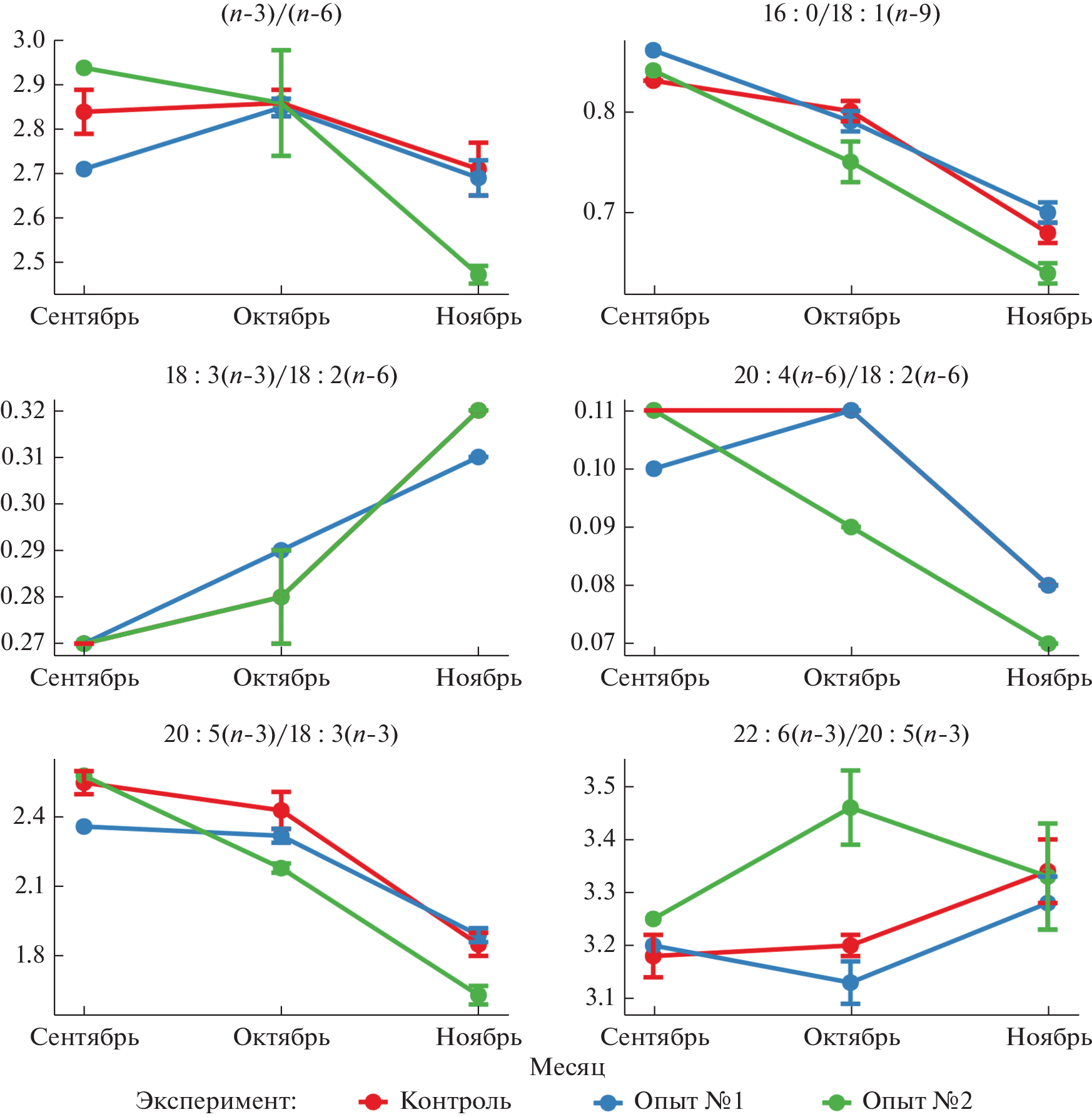
Проведено сравнительное исследование липидного и жирнокислотного состава у сеголеток атлантического лосося, выращиваемых при естественном и непрерывном освещении в товарной аквакультуре в летне-осенний период в Северной Осетии-Алании. В изменениях основных показателей липидного обмена у сеголеток лосося от сентября к ноябрю обнаружена устойчивая тенденция, направленная на подготовку молоди к смолтификации. Установлено изменение ключевых жирнокислотных показателей: увеличение содержания ПНЖК за счет (n-3) ПНЖК, а в них ЖК “морского” типа – 22:6(n-3), высокие значения соотношений (n-3)/(n-6)ПНЖК, 18:3(n-3)/18:2(n-6)б 22:6(n-3)/18:3(n-3). Показано, что стимулирующий подготовку к смолтификации сеголеток атлантического лосося, выращиваемых в условиях аквакультуры эффект совокупного и устойчивого действия фотопериода и кормления достигается при их сочетании в круглосуточном режиме в летне-осенний период.
Ключевые слова
Об авторах
С. А. Мурзина
Институт биологии – обособленное подразделение ФГБУН ФИЦ “Карельский научный центрРоссийской академии наук”
Автор, ответственный за переписку.
Email: murzina.svetlana@gmail.com
Россия, 185910, Петрозаводск, ул. Пушкинская, 11
Д. С. Провоторов
Институт биологии – обособленное подразделение ФГБУН ФИЦ “Карельский научный центрРоссийской академии наук”
Email: murzina.svetlana@gmail.com
Россия, 185910, Петрозаводск, ул. Пушкинская, 11
В. П. Воронин
Институт биологии – обособленное подразделение ФГБУН ФИЦ “Карельский научный центрРоссийской академии наук”
Email: murzina.svetlana@gmail.com
Россия, 185910, Петрозаводск, ул. Пушкинская, 11
М. В. Кузнецова
Институт биологии – обособленное подразделение ФГБУН ФИЦ “Карельский научный центрРоссийской академии наук”
Email: murzina.svetlana@gmail.com
Россия, 185910, Петрозаводск, ул. Пушкинская, 11
А. Е. Курицын
Институт биологии – обособленное подразделение ФГБУН ФИЦ “Карельский научный центрРоссийской академии наук”
Email: murzina.svetlana@gmail.com
Россия, 185910, Петрозаводск, ул. Пушкинская, 11
Н. Н. Немова
Институт биологии – обособленное подразделение ФГБУН ФИЦ “Карельский научный центрРоссийской академии наук”
Email: murzina.svetlana@gmail.com
Россия, 185910, Петрозаводск, ул. Пушкинская, 11
Список литературы
- Брюс П., Брюс Э. Практическая статистика для специалистов Data Science. СПб.: БХВ-Петербург, 2020. 304 с.
- Власов В.А., Маслова Н.И., Пономарев С.В., Боканева Ю.М. Влияние света на рост и развитие рыб // Вестник АГТУ. Сер. Рыбное хозяйство. 2013. № 2. С. 24–34.
- Воронин В.П., Мурзина С.А., Нефедова З.А., Пеккоева С.Н., Руоколайнен Т.Р., Ручьев М.А., Немова Н.Н. Сравнительно-видовая характеристика липидов и их динамика в процессе эмбрионального и раннего постэмбрионального развития атлантического лосося (Salmo salar L.) и кумжи (Salmo trutta L.) // Онтогенез. 2021. Т. 52. № 2. С. 108–119.
- Кабаков Р.И. R в действии: Анализ и визуализация данных в программе. М.: ДМК Пресс, 2016. 580 с.
- Казаков Р.В., Веселов А.Е. Атлантический лосось // Популяционный фонд атлантического лосося России. СПб.: Наука, 1998. С. 383–395.
- Кейтс М. Техника липидологии: выделение, анализ и идентификация липидов. М.: Мир, 1975. 322 с.
- Мурзина С.А. Роль липидов и их жирнокислотных компонентов в эколого-биохимических адаптациях рыб северных морей: Дис. докт. биол. наук. М.: ИПЭЭ РАН, 2019. 376 с.
- Немова Н.Н., Мурзина С.А., Лысенко Л.А., Мещерякова О.В., Чурова М.В., Канцерова Н.П., Нефедова З.А., Крупнова М.Ю., Пеккоева С.Н., Руоколайнен Т.Р., Веселов А.Е., Ефремов Д.А. Эколого-биохимический статус атлантического лосося Salmo salar L. и кумжи Salmo trutta L. в раннем развитии // Журн. Общ. биол. 2019. Т. 80. № 3. С. 175–186.
- Немова Н.Н., Нефедова З.А., Пеккоева С.Н., Воронин В.П., Руоколайнен Т.Р., Мурзина С.А. Влияние фотопериода на липидный спектр молоди атлантического лосося Salmo salar L. // Росс. физиол. журн. им. И.М. Сеченова. 2020. Т. 106. № 5. С. 622—630.
- Немова Н.Н., Нефедова З.А., Мурзина С.А., Пеккоева С.Н., Воронин В.П., Руоколайнен Т.Р. Влияние фотопериода на липидный профиль сеголеток (0+) атлантического лосося Salmo salar L. при заводских условиях выращивания // Онтогенез. 2021. Т. 52. № 2. С. 129–136.
- Немова Н.Н., Нефедова З.А., Мурзина С.А., Пеккоева С.Н., Воронин В.П., Руоколайнен Т.Р. Влияние фотопериода на липидный профиль сеголеток (0+) атлантического лосося Salmo salar L. при заводских условиях выращивания // Онтогенез. 2021. Т. 52. № 2. С. 129–136.
- Нефедова З.А., Мурзина С.А., Пеккоева С.Н., Воронин В.П., Немова Н.Н. Сравнительная характеристика жирнокислотного состава липидов заводской и дикой молоди атлантического лосося Salmo salar L. // Сиб. экол. журн. 2020. Т. 27. № 2. С. 197–204.
- Нефедова З.А., Мурзина С.А., Пеккоева С.Н., Немова Н.Н. Сравнительная характеристика жирнокислотного профиля смолтов кумжи Salmo trutta L. и атлантического лосося Salmo salar L. в период смолтификации (река Индера, бассейн Белого моря) // Изв. Росс. Ак. Наук. Сер. биол. 2018. № 2. С. 144–149.
- Павлов Д.С., Савваитова К.А. К проблеме соотношения анадромии и резидентности у лососевых рыб (Salmonidae) // Вопр. ихтиол. 2008. Т. 48. № 6. С. 810–824.
- Павлов Д.С., Савваитова К.А., Кузищин К.В., Груздева М.А., Павлов С.Д., Медников Б.М., Максимов С.В. Тихоокеанские благородные лососи и форели Азии. М.: Науч. мир, 2001. 200 с.
- Пеккоева С.Н., Мурзина С.А., Нефедова З.А., Руоколайнен Т.Р., Веселов А.Е., Немова Н.Н. Сравнительная характеристика липидного статуса разновозрастной молоди атлантического лосося Salmo salar L. реки Варзуга (Кольский полуостров) // Тр. КарНЦ РАН. 2018. № 12. С. 51–64.
- Стратегия развития рыбохозяйственного комплекса Российской Федерации на период до 2030 года. Распоряжение от 26 ноября 2019 г. № 2798-р Министерство сельского хозяйства Российской Федерации.
- Шульгина Н.С., Чурова М.В., Немова Н.Н. Влияние фотопериода на рост и развитие лососевых Salmonidae северных широт // Журн. Общ. Биол. 2021. Т. 82. № 1. С. 68–80.
- Arts M.T., Brett M.T., Kainz M.J. Lipids in aquatic ecosystems. N.Y.: Springer, 2009. 377 p.
- Björnsson B.T., Stefansson S.O., McCormick S.D. Environmental endocrinology of salmon smoltification // Gen. Comp. Endocrinol. 2011. V. 170. P. 290–298.
- Björnsson B.Th., Young G., Lin R.J., Deftos L.J., Bern H.A. Smoltification and seawater adaptation of coho salmon, Oncorhynchus kisutch: plasma calcitonin levels, calcium regulation and osmoregulation // Gen. Comp. Endocrinol. 1989. V. 74. P. 346–354.
- Bou M., Berge G.M., Baeverfjord G., Sigholt T., Ostbye T.-K., Romarheim O.H., Hatlen B., Leeuwis R., Venegas C., Ruyter B. Requirements of n-3 very long-chain PUFA in Atlantic salmon (Salmo salar L.): effects of different dietary levels of EPA and DHA on fish performance and tissue composition and integrity // Br. J. Nutr. 2017. V. 11. P. 30–47.
- Chen T., Li J., Córdova L.A. et al. A WNT protein therapeutic improves the bone-forming capacity of autografts from aged animals // Sci. Rep. 2018. V. 8. P. 119.
- Chi L., Li X., Liu Q., Liu Y. Photoperiod may regulate growth via leptin receptor A1 in the hypothalamus and saccus vasculosus of Atlantic salmon (Salmo salar) // Anim. Cells Syst. 2019. V. 23. Iss. 3. P. 200–208.
- Coutteau P., Geurden I., Camara M.R., Bergot P., Sorgeloos P. Review on the dietary effects of phospholipids in fish and crustacean larviculture // Aquaculture. 1997. V. 155. P. 149–164.
- Duncan N.J., Auchinachie N., Robertson D., Murray R., Bromage N. Growth, maturation and survival of out-of-season 0+ and 1+ Atlantic salmon (Salmo salar) smolts // Aquaculture. 1998. V. 168. P. 325–339.
- Duston J., Saunders R.L. Advancing smolting to autumn in age 0+ Atlantic salmon by photoperiod, and long-term performance in sea water // Aquaculture. 1995. V. 135. № 4. P. 295–309.
- Duston J., Saunders R.L. Effect of 6-, 12-, and 18-month photoperiod cycles on smolting and sexual maturation in juvenile Atlantic salmon (Salmo salar) // Can. J. Fish. Aquat. Sci. 1992. V. 49. P. 2273–2280.
- Fjelldal P.G., Hansen T., Huang T.S. Continuous light and elevated temperature can trigger maturation both during and immediately after smoltification in male Atlantic salmon (Salmo salar) // Aquaculture. 2011. V. 321(1–2). P. 93–100.
- Folch J., Lees M., Sloan-Stanley G.H. A simple method for the isolation and purification of total lipids animal tissue (for brain, liver and muscle) // J. Biol. Chem. 1957. V. 226. P. 497–509.
- Good C., Weber G.M., May T., Davidson J., Summerfelt S. Reduced photoperiod (18 h light vs. 24 h light) during first-year rearing associated with increased early male maturation in Atlantic salmon Salmo salar cultured in a freshwater recirculation aquaculture system // Aquac. Res. 2016. V. 47(9). P. 3023–3027.
- Graeve M., Kattner G., Hagen W. Diet-induced changes in the fatty acid composition of Arctic herbivorous copepods: experimental evidence of trophic markers // J. Exp. Mar. Biol. Ecol. 1994. V. 182. P. 97–110.
- Handeland S.O., Stefansson S.O. Photoperiod control and influence of body size on off-season parr-smolt transformation and post-smolt growth // Aquaculture. 2001. V. 192. P. 291–307.
- Hellwig J. Defining parameters for a reproducible TLC-separation of phospholipids using ADC 2. Diploma thesis, University of Applied Sciences Northwestern Switzerland (FHNW), 2008.
- Hochachka P.W., Somero G.N. Biochemical adaptation: mechanism and process in physiological evolution. N.Y.: Oxford University Press, 2002. 466 p.
- Kamalam B.S., Médale F., Larroquet L., Corraze G., Panserat S. Metabolism and fatty acid profile in fat and lean rainbow trout lines fed with vegetable oil: effect of carbohydrates // PLoS One. 2013. V. 8(10). P. e76570.
- Lu F.-I., Thisse C., Thisse B. Identification and mechanism of regulation of the zebrafish dorsal determinant // PNAS. 2011. V. 108. Iss. 28. P. 15876–15880.
- Main A., Fuller W. Protein S-palmitoylation: advances and challenges in studying a therapeutically important lipid modification // FEBS J. 2022. V. 289. P. 861–882.
- Mason E.G., Gallant R.K., Wood L. Productivity enhancement of rainbow trout using photoperiod manipulation // Bull. Aquac. Assoc. Can. 1992. V. 91. P. 44–46.
- McCormick S.D. Hormonal control of gill Na+, K+-ATPase and chloride cell function // Cellular and Molecular Approaches to Fish Ionic Regulation / Eds. Wood C.M., Shuttleworth T.J. San Diego: Academic Press, 1995. P. 285–315.
- McCormick S.D. Methods for nonlethal gill biopsy and measurement of Na+, K+-ATPase activity // Can. J. Fish. Aquat. Sci. 1993. V. 50. P. 656–658.
- Nemova N.N., Nefedova Z.A., Pekkoeva S.N., Voronin V.P., Shulgina N.S., Churova M.V., Murzina S.A. The Effect of the Photoperiod on the Fatty Acid Profile and Weight in Hatchery-Reared Underyearlings and Yearlings of Atlantic Salmon Salmo salar L // Biomolecules. 2020. V. 10. № 6. P. 845.
- Olsen R.E., Henderson R.J. The rapid analysis of neutral and polar marine lipids using double development HPTLC and scanning densitometry // J. Exp. Mar. Biol. Ecol. 1989. V. 129. P. 189–197.
- Olsvi P.A., Kristensen T., Waagbo R., Rosseland B.O., Tollefsen K.E., Baeverfjord G., Berntssen M.H. mRNA expression of antioxidant enzymes (SOD, CAT and GSH-Px) and lipid peroxidative stress in liver of Atlantic salmon (Salmo salar) exposed to hyperoxic water during smoltification // Comp. Biochem. Physiol. C Toxicol. Pharmacol. 2005. V. 141(3). P. 314–323.
- Resh M.D. Lipid modification of proteins // Biochemistry of Lipids, Lipoproteins and Membranes / Eds Ridgway N.D., McLeod R.S. Amsterdam: Elsevier, 2016. P. 391–414.
- Resh M.D. Open Biology: overview for special issue on dynamics of protein fatty acylation // Open Biol. 2021. V. 11. 210228.
- Rowe D.K., Thorpe J.E., Shanks A.M. Role of fat stores in the maturation of male Atlantic salmon (Salmo salar) parr // Can. J. Fish. Aquat. Sci. 1991. V. 48. P. 405–413.
- Ruyter B., Røsjø C., Einen O., Thomassen M.S. Essential fatty acids in Atlantic salmon: effect of increasing dietary doses of n-6 to n-3 fatty aids on growth, survival and fatty acid composition of liver, blood and carcass // Aquac. Nutr. 2000. V. 5. P. 119–127.
- Saunders R.L., Henderson E.B. Effects of constant day length on sexual maturation and growth of Atlantic salmon (Salmo salar) parr // Can. J. Fish. Aquat. Sci. 1988. V. 45. P. 60–64.
- Sheridan M.A. Alterations in lipid metabolism accompanying smoltification and seawater adaptation of salmonid fish // Aquaculture. 1989. V. 82(1–4). P. 191–204.
- Stefansson S.O., Björnsson B.Th., Ebbesson L.O.E., McCormick S.D. Smoltification // Fish Larval Physiology / Eds Finn R.N., Kapoor B.G. Enfield: Science Publishers, 2008. P. 639–681.
- Strand J.E.T., Hazlerigg D., Jorgensen E.H. Photoperiod revisited: is there a critical day length for triggering a complete parr-smolt transformation in Atlantic salmon Salmo salar? // J. Fish Biol. 2018. V. 93. № 3. P. 440–448.
- Striberny A., Lauritzen D.E., Fuentes J., Campinho M.A., Gaetano P., Duarte V., Hazlerigg D.G., Jorgensen E.H. More than one way to smoltify a salmon? Effects of dietary and light treatment on smolt development and seawater growth performance in Atlantic salmon // Aquaculture. 2021. V. 532. 736044.
- Sutton G., Kelsh R.N., Scholpp S. Review: The role of Wnt/β-Catenin signaling in neural crest development in zebrafish // Front. Cell Dev. Biol. 2021. V. 9. 782445.
- Takeuchi T., Watanabe T. Requirement of carp for essential fatty acids // Bull. Jap. Soc. Sci. Fish. 1977. V. 43. P. 541–551.
- Thrush M.A., Duncan N.J., Bromage N.R. The use of photoperiod in the production of out-of-season Atlantic salmon (Salmo salar) smolts // Aquaculture. 1994. V. 121. P. 29–44.
- Tocher D.R., Bell J.G., Dick J.R. et al. Polyunsaturated fatty acid metabolism in Atlantic salmon (Salmo salar) undergoing parr-smolt transformation and the effects of dietary linseed and rapeseed oils // Fish Physiology and Biochemistry. 2000. V. 23. № 1. P. 59–73.
- Tocher D.R., Fonseca-Madrigal J., Bell J.G., Dick J.R., Henderson R.J., Sargent J.R. Effect of diets containing linseed oil on fatty acid desaturation and oxidation in hepatocytes and intestinal enterocytes in Atlantic salmon (Salmo salar) // Fish Physiol. Biochem. 2002. V. 26. P. 157–170.
- Watanabe T., Takeuchi T., Ogina C. Effect of dietary methyl linoleate and linolenate on growth of carp // II. Bull. Jap. Soc. Sci. Fish. 1975. V. 41. P. 263–269.
- Wedemeyer G.A., Saunders R.L., Clarke W.C. Environmental factors affecting smoltification and early marine survival of anadromous salmonids // Mar. Fish. Rev. 1980. V. 42. P. 1–14.
- Wei H., Cai W.J., Liu H.K., Han D., Zhu X.M., Yang Y.X., Jin J.Y., Xie S.Q. Effects of photoperiod on growth, lipid metabolism and oxidative stress of juvenile gibel carp (Carassius auratus) // J. Photochem. Photobiol. B. 2019. V. 198. 111552.
- Yu T.C., Sinnhuber R., Hendricks J.D. Reproduction and survival of rainbow trout (Salmo gairdner L) fed linolenic acid as the only source of essential fatty acids // Lipids. 1979. V. 14. P. 572–575.
Дополнительные файлы







