Model for reconstruction of individualized external exposure doses for persons living in an territory contaminated with radionuclides as a result of the Chernobyl accident
- Authors: Kulikovich D.B.1, Vlasova N.G.1,2
-
Affiliations:
- Gomel State Medical University
- Republican Scientific and Practical Center for Radiation Medicine and Human Ecology
- Issue: Vol 64, No 4 (2024)
- Pages: 357-369
- Section: Studying the Consequences of Radiation Accidents
- URL: https://journals.rcsi.science/0869-8031/article/view/273655
- DOI: https://doi.org/10.31857/S0869803124040038
- EDN: https://elibrary.ru/LOHPWH
- ID: 273655
Cite item
Full Text
Abstract
A statistical model has been developed for reconstructing individualized external exposure doses for persons living in a contaminated territory with radionuclides. The basis of the model is the data of individual dosimetric control of external exposure doses of more than 35,000 residents of the Gomel region and informative factor-signs that influence the formation of an individual external exposure dose. The model has a high degree of adequacy, as evidenced by the adjusted coefficients of determination from 0,71 to 0,74. For the adequacy of the application of the model for each calendar year, a coefficient was introduced that determines the decrease in the external exposure dose over time. The calculated values of external exposure doses, taking into account the factor, correlate with the data of individual dosimetric control, the deviation of the calculated values is ± 9%. Verification of the model was carried out on the generated control sample, the estimation error was ~10%. The developed model allows, with high accuracy and the least error, to reconstruction the individualized doses of external exposure of people living in a contaminated area, employed in various social spheres.
Full Text
Корректная оценка и прогноз доз облучения населения являются одной из наиболее актуальных и сложных проблем дозиметрии и радиобиологии.
Для проведения радиационно-эпидемиологических исследований по установлению зависимости “доза–эффект” необходимо знание индивидуальных накопленных с момента аварии на Чернобыльской атомной электростанции (ЧАЭС) доз облучения [1-3].
Надежная информация о дозах внешнего облучения населения может быть получена на основе данных индивидуального дозиметрического контроля (ИДК), однако применение этого метода на территории, подвергшейся радиоактивному загрязнению, является довольно сложной задачей, требующей значительных финансовых, физических и временных затрат. И, как следствие — существующие базы данных дозиметрической информации носят ограниченный характер, а их непосредственное использование для решения указанной задачи вызывает затруднения [4-6]. С другой стороны, применение существующих методик реконструкции индивидуализированных доз внешнего облучения нецелесообразно, поскольку они сверхконсервативны, так как в них используются параметры основных дозообразующих факторов, которые представлены в виде усредненных констант, и только для наиболее облучаемых групп населения [7-11]. Полученные эмпирическим путем, эти параметры имеют большой разброс, так как усредняют широкий спектр факторов, формирующих дозу облучения, встречающихся в реальной жизни, что приводит к большой неопределенности оценок [12-13].
Ведущим фактором дозоформирования является сам человек: его личностные характеристики, половая принадлежность, возраст, сфера занятости, уровень образования, которые непосредственно определяют его поведение в социуме [14-15], и таким образом, доза внешнего облучения зависит не только от плотности загрязнения радионуклидами территории проживания и жизнедеятельности индивида, но и от его социально-обусловленного поведения [16-17].
Отсюда возникает необходимость разработки метода реконструкции и прогноза индивидуализированных доз внешнего облучения лиц, проживающих на загрязненных радионуклидами территории вследствие аварии на ЧАЭС, который будет учитывать информативные фактор-признаки, оказывающие влияние на формирование дозы внешнего облучения
Цель исследования — разработка модели реконструкции индивидуализированных доз внешнего облучения населения, проживающего на загрязненной радионуклидами территории Республики Беларусь, вследствие аварии на ЧАЭС.
МАТЕРИАЛЫ И МЕТОДИКА
Представлены данные об инструментально полученных индивидуальных дозах внешнего облучения более 35 000 жителей Гомельской области (представительность обследованных лиц по гендерному признаку приблизительно одинаковая) методом индивидуального дозиметрического контроля сотрудниками Гомельского областного центра гигиены, эпидемиологии и общественного здоровья, а также сотрудниками ФГБУ ГНЦ ФМБЦ им. А.И. Бурназяна ФМБА России за период 1988–1995 гг.
Выбор такого временного периода обоснован тем, что значения доз внешнего облучения были существенные (относительно высокие), что, в свою очередь, позволило исследовать закономерности формирования доз внешнего облучения у лиц, проживающих на загрязненной радионуклидами территории [6].
Также в исследование были включены выявленные ранее информативные фактор-признаки, которые статистически обоснованно оказывают влияние на формирование индивидуальной дозы внешнего облучения: гендерная принадлежность, возраст и профессиональная занятость [6]. На основании последних были выявлены шесть групп профессиональной занятости (ГПЗ), которые статистически значимо различаются по средним значениям нормированной дозы внешнего облучения. Нормирование индивидуальной дозы внешнего облучения на плотность загрязнения по 137Cs каждого населенного пункта (НП) было выполнено для обеспечения корректности исследования, по установлению статистически значимых различий в формировании дозы внешнего облучения лиц, проживающих на загрязненной радионуклидами территории [6, 18]. Характеристика групп представлена в табл. 1.
Таблица 1. Группы профессиональной занятости и их структура [18]
Table 1. Occupational groups specification and their structure [18]
Код группы | Тип профессиональной занятости | Нормированная доза внешнего облучения, ([(мЗв/год)/(кБк/м2)] ×103) |
1* | Дети дошкольного возраста | 5,28±0,68 |
Дети (школьники младших классов) | 6,78±0,33 | |
Дети (школьники старших классов) | 6,08±0,08 | |
2* | Инвалиды и пенсионеры по инвалидности | 7,75±0,51 |
Пенсионеры по возрасту | 6,69±0,06 | |
Безработные, домохозяйки | 6,83±0,28 | |
3* | Студенты | 6,41±0,26 |
Служащие | 6,84±0,09 | |
Военнослужащие | 7,22±0,33 | |
Медицинские работники | 7,00±0,25 | |
4* | Водители и механизаторы | 7,65±0,09 |
Животноводы | 7,78±0,08 | |
Работники сельского хозяйства | 7,46±0,13 | |
Рабочие | 7,51±0,09 | |
5* | Полеводы | 8,35±0,16 |
6* | Работники лесхозов | 10,83±0,34 |
Примечания. Данные в третьей графе представлены в виде среднего ± ст. ошибка среднего.
*Значимые различия между группами (p< 0,05 по результатам апостериорных сравнений).
Для построения модели применен метод прикладной статистики — множественная линейная регрессия. Модель основана на наиболее репрезентативных данных об индивидуальных дозах внешнего облучения обследованных жителей Гомельской области за период с 1988 по 1992 г. Из данных об индивидуальных дозах внешнего облучения за период с 1993 по 1995 г. была сформирована обучающая выборка для последующей верификации модели и оценки ошибки последней.
На рис. 1 представлено количество обследованных жителей Гомельской области за каждый календарный год, включенный в исследование.
Рис. 1. Распределение обследованных лиц за исследуемый период.
Fig. 1. Distribution of examined persons for the study period.
Оценка соответствия распределения исследуемых данных модели нормальному распределению проводилась тестом Колмогорова–Смирнова (d; p). Для количественных данных, распределение которых отлично от нормального, в качестве описательных статистик рассчитывались медиана и квартили распределения дозы внешнего облучения (Ме (Q1;Q3)). Сравнение двух независимых выборок осуществлялось непараметрическим тестом Манна–Уитни (U; p). Сравнение нескольких групп осуществляли ранговым критерием Краскела–Уоллиса (H; p) с последующим апостериорным сравнением (поправка Бонферрони). Сила линейной корреляционной связи между двумя выборками определялась непараметрическим тестом Тау–Кенделла (τ; p). Уравнения реконструкции индивидуализированной дозы внешнего облучения для каждой группы профессиональной занятости, с учетом социальных и демографических факторов, были получены методом множественной линейной регрессии (R2adj; F; p) с последующей проверкой типа распределения остатков (d; p). Доверительный интервал верифицированных по модели данных рассчитывали для t-распределения Стьюдента [95%-ный ДИ: среднее — (t0,05 × ст. ош. среднего); среднее + (t0,05 × ст. ош. среднего);]. Уровень значимости (α) принят равным 0.05.
Статистическая обработка данных проводилась с использованием MS Excel и программного пакета для статистического анализа Statistica 12.0 (StatSoft, USA).
РЕЗУЛЬТАТЫ
Методом множественной линейной регрессии на основе выявленных ранее факторов, оказывающих влияние на формирование индивидуальной дозы внешнего облучения [6, 18], была разработана модель реконструкции индивидуализированных доз внешнего облучения лиц, проживающих на загрязненной радионуклидами территории. Целевой фактор-признак модели — индивидуализированная годовая доза внешнего облучения лица, относящегося к соответствующей группе профессиональной занятости (см. табл. 1).
В качестве объясняющих факторов-признаков были использованы:
- плотность загрязнения территории (σ) по 137Cs исследуемого населенного пункта, Ки/км2;
- гендерная принадлежность (G) обследованного (используется бинарная классификация: 0 — женщины, 1 — мужчины);
- возраст (A), количество полных лет.
Для обеспечения адекватности регрессионной модели и сохранности ее эффективности, путем снижения вероятности появления выбросов, которые негативно скажутся на работе модели в целом, годовая индивидуальная доза внешнего облучения и плотность загрязнения населенного пункта были представлены как логарифмы — универсальное семейство преобразований Бокса-Кокса [19].
Таким образом, полученная модель множественной линейной регрессии имеет вид:
, (1)
где — индивидуализированная годовая доза внешнего облучения обследованного лица, относящегося к соответствующей i-й группе профессиональной занятости, мЗв/год; bi — свободный член уравнения регрессии для i-й группы профессиональной занятости, мЗв/год; , , — коэффициенты регрессии, соответствующие каждому объясняющему фактору для i-й группы профессиональной занятости, отн. ед.
Параметры модели множественной линейной регрессии для каждой группы профессиональной занятости представлены в табл. 2.
Таблица 2. Параметры уравнения множественной регрессии для групп профессиональной занятости
Table 2. Parameters of the multiple regression equation for occupational groups
ГПЗ | Число обследованных | b | k1×× | k2×× | k3×× | R2adj | F |
1× | 1882 | –0,248*** | 0,294*** | 0,019*** | 0,043*** | 0,737 | 1760 |
2× | 2403 | –0,432*** | 0,649*** | 0,019* | –0,001 | 0,741 | 2296 |
3× | 1422 | –0,169*** | 0,498*** | 0,103*** | 0,002*** | 0,732 | 1297 |
4× | 4687 | –0,197*** | 0,538*** | 0,029*** | 0,004*** | 0,710 | 3832 |
5× | 460 | –0,082 | 0,491*** | –0,006 | 0,005*** | 0,743 | 442 |
6× | 88 | 1,054*** | 0,115*** | 0,032 | 0,004*** | 0,743 | 85 |
Примечания. × — уровень значимости регрессионной модели (p<0,0001); ×× — значимой корреляции между фактор-признаками не наблюдалось, коэффициенты парной корреляции лежат в диапазоне от -0,01 до 0,3;
*p < 0,05, **p < 0,001, ***p < 0,0001 — соответствующие уровни значимости для коэффициентов в уравнении линейной множественной регрессии.
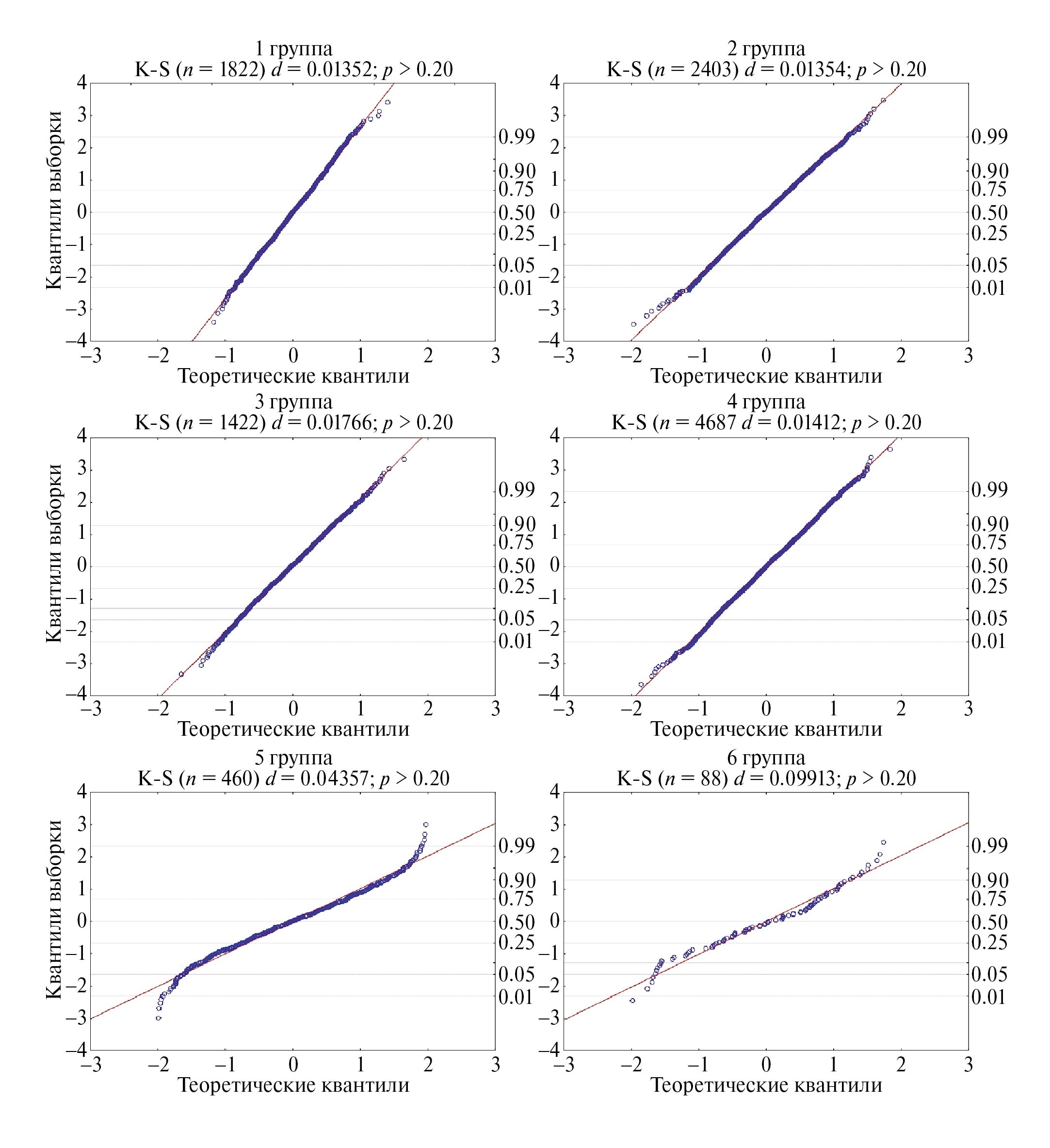
Для оценки адекватности модели дополнительно был проведен анализ распределения остатков для каждой группы профессиональной занятости, которые соответствуют нормальному распределению [19], о чем свидетельствуют результаты тестов Колмогорова–Смирнова, представленные на рис. 2.
Рис. 2. Распределение остатков (Q-Q plot) для групп профессиональной занятости.
Fig. 2. Residuals distribution (Q-Q plot) for occupational groups.
Проведен анализ распределений дозы внешнего облучения (Базы данных ИДК) по годам за исследуемый период и оценены их параметры.
Данные о дозах внешнего облучения за 1993–1994 гг. были объединены в одну выборку, поскольку за этот временной промежуток не было выявлено значимых различий в значениях дозы внешнего облучения (H (6, n= 35 201) = 10 543,27, p < 0,0001; апостериорные сравнения — p < 0,0001).
На рис. 3 представлены параметры распределения индивидуальных доз внешнего облучения обследованных жителей за исследуемый период.
Рис. 3. Динамика дозы внешнего облучения за исследуемый период.
Fig. 3. Dynamics of external exposure dose for the study period.
Как показано на рис. 3, наблюдается тенденция снижения доз внешнего облучения.
Для обеспечения адекватности модели реконструкции индивидуализированной дозы внешнего облучения за каждый календарный год был рассчитан коэффициент, характеризующий снижение дозы внешнего облучения.
Значения коэффициента снижения дозы внешнего облучения были получены по результатам статистического анализа данных, содержащихся в Каталогах средних годовых эффективных доз облучения жителей населенных пунктов Беларуси за 1992, 2004, 2009, 2015 и 2020 годы [20–24], о годовых эффективных дозах внешнего облучения выборочных наиболее представительных населенных пунктов разного типа и условий формирования дозы внешнего облучения.
Коэффициент снижения (Kreduce) рассчитывали как отношение среднего значения дозы внешнего облучения текущего года к предшествующему (2).
, (2)
где ‒ коэффициент снижения дозы внешнего облучения для j-го типа НП, отн. ед; ‒ средняя годовая доза внешнего облучения текущего года, мЗ/год; — средняя годовая доза внешнего облучения предшествующего года, мЗв/год.
Рассчитанные коэффициенты снижения дозы внешнего облучения за календарный период в зависимости от типа НП представлены в табл. 3.
Таблица 3. Коэффициенты снижения дозы внешнего облучения
Table 3. External exposure dose reduction factors over time
Временной интервал | Значение коэффициента Kreduce, отн. ед. | ||
город | поселок городского типа | сельский населенный пункт | |
1986–1987 | 0,400 | 0,750 | 1,250 |
1988–1994 | 0,229 | 0,429 | 0,714 |
1995–1997 | 0,100 | 0,188 | 0,313 |
1988–1999 | 0,050 | 0,094 | 0,156 |
2000–2004 | 0,067 | 0,125 | 0,208 |
2005–2009 | 0,040 | 0,075 | 0,125 |
2010–2015 | 0,033 | 0,063 | 0,104 |
2016–2020 | 0,022 | 0,042 | 0,069 |
2021–2030 | 0,018 | 0,034 | 0,057 |
2031 | 0,017 | 0,031 | 0,052 |
Сравнительный анализ рассчитанных доз внешнего облучения с учетом полученного коэффициента с данными ИДК был проведен на исследуемой выборке за период с 1988 по 1995 г. и представлен на рис. 4.
Рис. 4. Сравнительный анализ коэффициента снижения дозы с данными ИДК.
Fig. 4. Comparative analysis of the dose reduction factor with data from the IDC.
Анализ показал, что между рассчитанными и данными ИДК нет статистически значимых различий (U = 0; p = 1), наблюдается высокая степень корреляции (τ = 0,9987; p = 0,0016).
Таким образом, модель реконструкции индивидуализированной дозы внешнего облучения лиц, проживающих на загрязненной радионуклидами территории, учитывающая их социально обусловленное поведение и демографические факторы, может быть приставлена в виде уравнения (3):
(3)
Верификация модели проводилась по данным, включенным в сформированную референсную выборку данных ИДК. Результаты верификации по индивидуальным дозам внешнего облучения представлены в табл. 4.
Таблица 4. Результат верификации модели оценки индивидуализированной дозы внешнего облучения
Table 4. Verification result of the model for assessment of the individualized external exposure dose
Группа занятости | Плотность загрязнения населенного пункта по 137Cs | Пол | Возраст на момент обследования, лет | Год обследования | Доза внешнего облучения, мЗв/год | Ошибка оценки, % | ||
кБк/м2 | Ки/км2 | Модель | ИДК | |||||
1 | 142,01 | 3,84 | М | 9 | 1994 | 0,37 | 0,35 | 5,16 |
212,45 | 5,74 | Ж | 15 | 1994 | 0,51 | 0,47 | 8,56 | |
631,63 | 17,07 | М | 17 | 1993 | 0,61 | 0,62 | 1,78 | |
631,63 | 17,07 | Ж | 13 | 1994 | 0,45 | 0,41 | 9,71 | |
2 | 202,76 | 5,48 | Ж | 83 | 1993 | 0,08 | 0,07 | 14,39 |
202,76 | 5,48 | М | 70 | 1994 | 0,08 | 0,07 | 17,58 | |
334,00 | 9,03 | Ж | 68 | 1993 | 0,12 | 0,13 | 8,76 | |
334,00 | 9,03 | М | 65 | 1994 | 0,12 | 0,13 | 6,82 | |
3 | 205,61 | 5,56 | М | 59 | 1993 | 0,58 | 0,62 | 6,34 |
256,82 | 6,94 | Ж | 29 | 1993 | 0,35 | 0,30 | 15,67 | |
368,15 | 9,95 | М | 57 | 1993 | 0,62 | 0,73 | 13,97 | |
639,21 | 17,28 | М | 31 | 1994 | 0,51 | 0,52 | 1,94 | |
689,24 | 18,63 | Ж | 38 | 1995 | 0,45 | 0,50 | 9,28 | |
689,24 | 18,63 | Ж | 29 | 1995 | 0,38 | 0,36 | 5,40 | |
4 | 277,39 | 7,50 | Ж | 55 | 1995 | 0,42 | 0,46 | 9,33 |
491,03 | 13,27 | М | 53 | 1994 | 1,81 | 1,84 | 1,97 | |
639,21 | 17,28 | М | 54 | 1993 | 2,09 | 2,22 | 5,75 | |
639,21 | 17,28 | Ж | 24 | 1993 | 1,80 | 1,80 | 0,24 | |
663,60 | 17,94 | Ж | 47 | 1994 | 2,01 | 1,84 | 9,28 | |
689,24 | 18,63 | Ж | 43 | 1995 | 1,47 | 1,31 | 12,13 | |
689,24 | 18,63 | М | 33 | 1995 | 1,45 | 1,22 | 18,93 | |
5 | 368,15 | 9,95 | М | 56 | 1994 | 0,91 | 1,12 | 18,91 |
490,58 | 13,26 | Ж | 54 | 1993 | 0,85 | 0,98 | 13,41 | |
721,80 | 19,51 | М | 44 | 1994 | 0,85 | 1,11 | 23,12 | |
721,80 | 19,51 | Ж | 54 | 1993 | 0,87 | 1,03 | 15,49 | |
6 | 318,02 | 8,60 | М | 37 | 1994 | 2,71 | 2,35 | 15,16 |
705,33 | 19,06 | М | 60 | 1994 | 3,02 | 2,73 | 10,68 | |
705,33 | 19,06 | М | 21 | 1994 | 2,49 | 2,02 | 23,77 | |
721,80 | 19,51 | М | 26 | 1993 | 2,62 | 2,58 | 1,43 | |
Для наглядности согласованность модельных и данных ИДК представлена на рис. 5, который демонстрирует высокую степень корреляции между ними (τ = 0,9966; p < 0,0001).
Рис. 5. Сравнение данных ИДК с прогнозом модели.
Fig. 5. Comparison of IDC data with model forecast.
Аналогично была проведена верификация модельных оценок индивидуализированной дозы внешнего облучения для каждой группы профессиональной занятости. Сравнительный анализ представлен на рис. 6.
Рис. 6. Верификация модели для каждой из групп профессиональной занятости.
Fig. 6. The Model verification for each occupational group.
Сравнительный анализ реконструированных индивидуализированных доз внешнего облучения на основе полученной регрессионной модели как для групп профессиональной занятости, так и для индивидуальных доз внешнего облучения из референсной выборки показал, что между модельными и данными ИДК наблюдается высокая степень корреляции и отсутствуют статистически значимые различия (U = 0; p = 1).
ОБСУЖДЕНИЕ
Существующие методические рекомендации и инструкции оценки накопленных и текущих эффективных доз облучения лиц, проживающих на загрязненной радионуклидами территории, являются сверхконсервативными, что не соответствует задаче индивидуализации доз облучения [7, 9–11].
Помимо плотности загрязнения, прямого фактора формирования дозы внешнего облучения, существенное влияние на ее формирование оказывают информативные фактор-признаки, так называемые косвенные факторы: профессиональная занятость, пол, возраст.
В связи с этим в модель реконструкции индивидуализированных доз внешнего облучения лиц, проживающих на загрязненной радионуклидами территории, были введены параметры, которые наиболее широко характеризуют формирование индивидуальной дозы внешнего облучения индивида.
Как видно из табл. 2, скорректированные коэффициенты детерминации (R2adj) показывают высокую степень адекватности полученной регрессионной модели. Также стоит отметить высокую значимость предикторов полученных уравнений регрессии для каждой группы профессиональной занятости в целом.
Физический распад, миграция радионуклидов, а также комплекс проведенных противорадиационных мероприятий обеспечивают снижение дозы внешнего облучения со временем. Для учета динамики дозы внешнего облучения был введен коэффициент, характеризующий ее снижение, полученный при анализе большого массива данных об индивидуальных средних годовых дозах внешнего облучения на основе установленной числовой закономерности, демонстрирующей снижение последней.
Как показал результат проведенного сравнительного анализа (см. рис. 4), рассчитанные значения дозы внешнего облучения на основе коэффициента демонстрируют, что оценочные данные имеют сильную корреляционную связь с данными ИДК за исследуемый период, при этом отклонение рассчитанных значений дозы внешнего облучения от данных ИДК, полученных методом ТЛД, лежит в интервале ±9%.
Верификация модели для отобранных случайным образом индивидуальных доз внешнего облучения из референсной выборки показала, что модельные и данные ИДК практически не различимы, оценка ошибки модели составила в среднем ±11% (см. рис. 5).
Сравнительный анализ модельных индивидуализированных доз внешнего облучения для групп профессиональной занятости с данными ИДК (см. рис. 6) также показал, что между ними не наблюдается статистически значимых различий, при этом оценка ошибки модели составила в среднем ±5%.
Предложенная нами статистическая модель не противоречит методическому подходу реконструкции индивидуализированных доз внешнего облучения, применяемому в Республике Беларусь [25], но при этом позволяет учесть дополнительный косвенный фактор, оказывающий влияние на формирование дозы внешнего облучения — профессиональную занятость, что при этом позволяет снизить ошибку оценки.
ЗАКЛЮЧЕНИЕ
Разработанная модель прогноза индивидуализированной дозы внешнего облучения может быть использована как при ретроспективной, так и проспективной оценке доз внешнего облучения, за счет введенного коэффициента, характеризующего снижение дозы внешнего облучения, что в свою очередь позволяет провести оценку накопленных индивидуализированных доз внешнего облучения лиц, проживающих на загрязненной радионуклидами территории, учитывая их социальные и демографические характеристики за весь послеаварийный период, с высокой точностью и наименьшей ошибкой.
Основываясь на полученных результатах, статистически обоснованно можно утверждать, что разработанная модель позволяет корректно выполнить реконструкцию индивидуализированных доз внешнего облучения, что явится заделом для разработки метода реконструкции и прогноза индивидуализированных накопленных с момента аварии на ЧАЭС доз внешнего облучения.
БЛАГОДАРНОСТИ
Работа выполнена в рамках НИР по теме “Разработать и внедрить метод оценки и прогноза индивидуализированных накопленных доз облучения лиц, подвергшихся радиационному воздействию в результате аварии на ЧАЭС и проживающих на радиоактивно загрязненной территории” Государственной программы по преодолению последствий катастрофы на Чернобыльской АЭС на 2021–2025 годы Республики Беларусь, рег. № 20240256.
About the authors
Dmitry B. Kulikovich
Gomel State Medical University
Author for correspondence.
Email: dimaproud@mail.ru
ORCID iD: 0000-0002-6063-6225
Belarus, Gomel
Natalie G. Vlasova
Gomel State Medical University; Republican Scientific and Practical Center for Radiation Medicine and Human Ecology
Email: natalie_vlasova@mail.ru
ORCID iD: 0000-0002-7805-8822
Belarus, Gomel; Gomel
References
- Рожко А.В. и др. Заболеваемость раком щитовидной железы населения, пострадавшего в результате катастрофы на Чернобыльской АЭС. Медико-биологические проблемы жизнедеятельности. 2013;7(1):31-37. [Rozhko A.V. et al. Zabolevaemost’ rakom shhitovidnoj zhelezy naselenija, postradavshego v rezul’tate katastrofy na Chernobyl’skoj AJeS = The incidence of thyroid cancer in the population affected by the Chernobyl nuclear power plant disaster. Mediko-biologicheskie Problemy Zhiznedejatel’nosti. 2013;7(1):31-37. (In Russ.)]
- Власова Н.Г. Методический подход реконструкции индивидуализированных доз облучения лиц, подвергшихся воздействию радиации в результате аварии на ЧАЭС. Мед. радиология и радиац. безопасность. 2013;58(3):24-33. [Vlasova N.G. Methodical approach to the reconstruction of individualized exposure doses of persons exposed to radiation as a result of the Chernobyl accident. Medical Radiology and Radiation Protection. 2013;58(3):24-33. (In Russ.)]
- Веялкин И.В., Чешик А.А., Семененко О.Ф. и др. Заболеваемость злокачественными новообразованиями отдельных органов в зависимости от индивидуализированных накопленных доз. Проблемы здоровья и экологии. 2015;45(3):78-84. [Veyalkin I.V., Cheshik A.A., Semenenko O.F. et al. The incidence of malignant neoplasms of individual organs depending on the individualized accumulated doses. Health and Ecology Issues. 2015;45(3):78-84. (In Russ.)]. https://doi.org/10.51523/2708-6011.2015-12-3-18.
- Матарас А.Н., Эвентова Л.Н., Висенберг Ю.В., Власова Н.Г. Методический подход оценки индивидуализированных доз внешнего облучения лиц, подвергшихся воздействию радиации вследствие катастрофы на ЧАЭС. Проблемы здоровья и экологии. 2014;40(2):91-96. [Mataras A.N., Eventova L.N., Visenberg Yu.V., Vlasova N.G. A methodological approach to assessing individualized doses of external exposure of persons exposed to radiation as a result of the Chernobyl disaster. Health and Ecology Issues. 2014;40(2):91-96. (In Russ.)]. https://doi.org/10.51523/2708-6011.2014-11-2-19.
- Muller H. Ecosys-87: A Dynamic Model for Assessing Radiological Consequences of Nuclear Accidents. Health Physics. 1993;64(3):232-252. doi: 10.1097/00004032-199303000-00002.
- Куликович Д.Б., Власова Н.Г. Статистический анализ факторов, оказывающих влияние на формирование дозы внешнего облучения. Проблемы здоровья и экологии. 2022;19(3):99-105. [Kulikovich D.B., Vlasova N.G. Statistical analysis of factors contributing to the formation of the external radiation dose. Health and Ecology Issues. 2022;19(3):99-105. (In Russ.)]. https://doi.org/10.51523/2708-6011.2022-19-3-14
- МУ 2.6.1.2004-05. Реконструкция средней (индивидуализированной) накопленной эффективной дозы облучения жителей населенных пунктов Российской Федерации, подвергшихся радиоактивному загрязнению вследствие аварии на Чернобыльской АЭС в 1986 году (Дополнение 2 к МУ 2.6.1.579-96). Москва: Роспотребнадзор, 2005. 11 с. [Rekonstrukciya srednej (individualizirovannoj) nakoplennoj effektivnoj dozy oblucheniya zhitelej naselennyh punktov Rossijskoj Federacii, podvergshihsya radioaktivnomu zagryazneniyu vsledstvie avarii na Chernobyl’skoj AES v 1986 godu (Dopolnenie 2 k MU 2.6.1.579-96) =Reconstruction of the average (individualized) accumulated effective radiation dose of residents of populated areas of the Russian Federation exposed to radioactive contamination as a result of the Chernobyl nuclear power plant accident in 1986 (Addendum 2 to MU 2.6.1.579-96).. Moscow: Rospotrebnadzor; 2005. 11p. (In Russ.)]
- Брук Г.Я. и др. Средние накопленные за 1986-2005 годы эффективные дозы облучения жителей населенных пунктов Брянской, Калужской, Орловской и Тульской областей Российской Федерации, отнесенных к зонам радиоактивного загрязнения по постановлению правительства Российской Федерации N 1582 от 18 декабря 1997 года “Об утверждении перечня населенных пунктов, находящихся в границах зон радиоактивного загрязнения вследствие катастрофы на Чернобыльской АЭС”. Радиация и риск. 2007;16(1):3-73. [Bruk G.Ya. et al. Srednie nakoplennye za 1986-2005 gody jeffektivnye dozy obluchenija zhitelej naselennyh punktov Brjanskoj, Kaluzhskoj, Orlovskoj i Tul’skoj oblastej Rossijskoj Federacii, otnesennyh k zonam radioaktivnogo zagrjaznenija po postanovleniju pravitel’stva Rossijskoj Federacii N 1582 ot 18 dekabrja 1997 goda “Ob utverzhdenii perechnja naselennyh punktov, nahodjashhihsja v granicah zon radioaktivnogo zagrjaznenija vsledstvie katastrofy na Chernobyl’skoj AJeS = Average accumulated effective radiation doses for 1986-2005 for residents of settlements in the Bryansk, Kaluga, Oryol and Tula regions of the Russian Federation, classified as radioactive contamination zones according to Decree of the Government of the Russian Federation N 1582 of December 18, 1997 “On approval of the list of settlements located in borders of zones of radioactive contamination due to the disaster at the Chernobyl nuclear power plant”. Radiacija i Risk. 2007;16(1):3-73. (In Russ.)]
- МУ 2.6.1.579-96. Реконструкция средней накопленной в 1986-2001гг эффективной дозы облучения жителей населенных пунктов Российской Федерации, подвергшихся радиоактивному загрязнению вследствие аварии на Чернобыльской АЭС в 1986 году. М., 1996. 8 с. [MU 2.6.1.579-96. Rekonstrukcija srednej nakoplennoj v 1986-2001gg jeffektivnoj dozy obluchenija zhitelej naseljonnyh punktov Rossijskoj Federacii, podvergshihsja radioaktivnomu zagrjazneniju vsledstvie avarii na Chernobyl’skoj AJeS v 1986 godu = Reconstruction of the average accumulated effective radiation dose in 1986-2001 for residents of populated areas of the Russian Federation exposed to radioactive contamination as a result of the accident at the Chernobyl nuclear power plant in 1986. Moscow, 1996. 8 p. (In Russ.)]
- Методические указания. Определение годовой суммарной эффективной дозы облучения жителей населенных пунктов РБ, подвергшихся радиоактивному загрязнению в результате аварии на Чернобыльской АЭС. Минск, 1996. 12 с. [Metodicheskie ukazanija. Opredelenie godovoj summarnoj jeffektivnoj dozy obluchenija zhitelej naseljonnyh punktov RB, podvergshihsja radioaktivnomu zagrjazneniju v rezul’tate avarii na Chernobyl’skoj AJeS = Methodical instructions. Determination of the annual total effective radiation dose for residents of populated areas of the Republic of Belarus exposed to radioactive contamination as a result of the accident at the Chernobyl nuclear power plant. Minsk, 1996. 12 p. (In Russ.)]
- Методические указания. Оценка эффективной дозы внешнего и внутреннего облучения лиц, которые проживают на территории, подвергшейся радиоактивному загрязнению в результате катастрофы на ЧАЭС. Минск, 2003. 14 с. [Metodicheskie ukazanija. Ocenka jeffektivnoj dozy vneshnego i vnutrennego obluchenija lic, kotorye prozhivajut na territorii, podvergshejsja radioaktivnomu zagrjazneniju v rezul’tate katastrofy na ChAJeS. = Methodical instructions. Assessment of the effective dose of external and internal irradiation of persons who live in the territory exposed to radioactive contamination as a result of the Chernobyl disaster. Minsk, 2003. 14 p. (In Russ.)].
- International Atomic Energy Agency. Working papers of the TC project RER/9/074 “Radiation monitoring of public exposure in the remote period after the accident at the Chernobyl nuclear power plant”. Vienna: IAEA, 2007.
- Likhtariov I., Kovgan L., Novak D. et al. Effective doses due to external irradiation from the Chernobyl accident for different population groups of Ukraine. Health Physics. 1996;70(1):87-98. doi: 10.1097/00004032-199601000-00013.
- Skryabin A.M., Savkin M.N., Grinev M. et al. Distribution of doses received in rural areas affected by the Chernobyl accident. Didcot: National Radiological Protection Board; 1995. 52 p.
- Allen P.T., Archangelskaya G.V., Belyaev S.T. et al. Optimization of health protection of the public following a major nuclear accident: interaction between radiation protection and social and psychological factors. Health Physics. 1996;71(5):763-765. doi: 10.1097/00004032-199611000-00019
- Golikov V.Yu., Balonov M.I., Jacob P. External Exposure of the Population Living in Areas of Russia Contaminated due to the Chernobyl Accident. Biophysics. 2002;41(10):185-193. doi: 10.1007/s00411-002-0167-2
- Vlasova N.G., Rozhko A.V., Visenberg Yu.V., Drozd E.A. Dose Assessment in Population Living on Contaminated Territories at the Remote Period after the Chernobyl Accident. International Conference on Global Emergency Preparedness and Response. International Atomic Energy Agency (IAEA). Book of Synopses. IAEA Headquarters, Vienna, Austria, 19–23 October 2015. Ref. No: CN-213; 2015. p. 250-255.
- Куликович Д.Б., Власова Н.Г. Выявление однородных по дозе внешнего облучения групп жителей загрязненных территорий по совокупности информативных фактор-признаков. Проблемы здоровья и экологии. 2023;20(1):123-130 [Kulikovich D.B., Vlasova N.G. Identification of groups of residents in contaminated territories homogeneous in the external exposure dose by a set of informative factors-signs. Health and Ecology Issues. 2023;20(1):123-130 (In Russ.)]
- Мастицкий С.Э., Шитиков В.К. Статистический анализ и визуализация данных с помощью R. М.: ДМК Пресс, 2015. 496с. [Mastitsky S.E., Shitikov V.K. Statisticheskij analiz i vizualizacija dannyh s pomoshh’ju R = Statistical analysis and data visualization using R. M.: DMK Press, 2015. 496p. (In Russ.)]
- Каталог доз облучения жителей населенных пунктов Республики Беларусь. Минск, 1992. 94 с. [Katalog doz obluchenija zhitelej naselennyh punktov Respubliki Belarus’ = Catalog of radiation doses for residents of populated areas of the Republic of Belarus. Minsk, 1992. 94 p. (In Russ.)].
- Каталог доз облучения жителей населенных пунктов Республики Беларусь. Минск, 2004. 88 с. [Katalog doz obluchenija zhitelej naselennyh punktov Respubliki Belarus’ = Catalog of radiation doses for residents of populated areas of the Republic of Belarus. Minsk, 2004. 88 p. (In Russ.)].
- Каталог средних годовых эффективных доз облучения жителей населенных пунктов Республики Беларусь, утв. МЗ РБ 18 сентября 2009 г. Гомель, 2009. 86 с. [Katalog srednih godovyh jeffektivnyh doz obluchenija zhitelej naselennyh punktov Respubliki Belarus’, utv. MZ RB 18 Sentjabrja 2009g. = Catalog of average annual effective radiation doses for residents of populated areas of the Republic of Belarus, approved. Ministry of Health of the Republic of Belarus September 18, 2009. Gomel, 2009. 86 p. (In Russ.)].
- Каталог средних годовых эффективных доз облучения жителей населенных пунктов Республики Беларусь: утв. М3 РБ 27 марта 2015 г. Гомель, 2015. 73 с. [Katalog srednih godovyh jeffektivnyh doz obluchenija zhitelej naselennyh punktov Respubliki Belarus’: utv. M3 RB 27 Marta 2015 g. = Catalog of average annual effective radiation doses for residents of populated areas of the Republic of Belarus: approved. M3 RB March 27, 2015. Gomel, 2015. 73 p. (In Russ.)].
- Каталог средних годовых эффективных доз облучения жителей населенных пунктов Республики Беларусь: утв. М3 РБ 10 апреля 2020 г. Гомель, 2020. 62 с. [Katalog srednih godovyh jeffektivnyh doz obluchenija zhitelej naselennyh punktov Respubliki Belarus’: utv. M3 RB 10 Aprelya 2015 g. = Catalog of average annual effective radiation doses for residents of populated areas of the Republic of Belarus: approved. M3 RB April 10, 2020. Gomel, 2020. 86 p. (In Russ.)].
- Метод реконструкции индивидуализированных накопленных доз облучения включенных в Государственный регистр лиц, подвергшихся воздействию радиации вследствие катастрофы на Чернобыльской АЭС, других радиационных аварий / Инструкция по применению: утв. Министерством здравоохранения Республики Беларусь 12.12.2014 г., № 095-0914. Гомель, 2014. 9 с. [Metod rekonstrukcii individualizirovannyh nakoplennyh doz obluchenija vkljuchennyh v Gosudarstvennyj registr lic, podvergshihsja vozdejstviju radiacii vsledstvie katastrofy na Chernobyl’skoj AJeS, drugih radiacionnyh avarij / Instrukcija po primeneniju: utv. Ministerstvom zdravoohranenija Respubliki Belarus’ 12.12.2014 g., № 095-0914. = Method for reconstructing individualized accumulated radiation doses of persons included in the State Register who were exposed to radiation as a result of the disaster at the Chernobyl nuclear power plant and other radiation accidents / Instructions for use: approved. Ministry of Health of the Republic of Belarus 12/12/2014, No. 095-0914. Gomel’, 2014. 9 p. (In Russ.)].
Supplementary files








