Peculiarities of behavior in “soil–water” environment of radiocesium in contaminated area after the accident at Fukushima Dai-ichi NPP
- Authors: Konoplev A.V.1
-
Affiliations:
- Fukushima University
- Issue: Vol 64, No 1 (2024)
- Pages: 56-74
- Section: Radionuclide
- URL: https://journals.rcsi.science/0869-8031/article/view/265020
- DOI: https://doi.org/10.31857/S0869803124010065
- EDN: https://elibrary.ru/NNOFMB
- ID: 265020
Cite item
Full Text
Abstract
Fukushima Dai-ichi Nuclear Power Plant (FDNPP) accident in March 2011 led to extensive environmental contamination by several radionuclides, particularly 134Cs (half-life Т1/2=2.06 years) and 137Cs (Т1/2=30.17 years). This has rekindled the interest in the behavior of radiocesium in the environment, particularly given the geoclimatic conditions of Japan. This review paper summarizes key findings of post-Fukushima studies of radiocesium fate and transport in soil-water environment and challenges for the future. The studies after the Fukushima accident have clearly demonstrated that behaviour of accidentally released radiocesium in the environment is governed by speciation in fallout and site-specific environmental characteristics. The Fukushima-derived 137Cs is found to be strongly bound to soil and sediment particles, which reduces the potential bioavailability of this radionuclide. Up to 80% of the deposited 137Cs on the soil of the contaminated area were reported to be incorporated in hot glassy microparticles (CsMPs) insoluble in water. These particles decompose in the environment very slowly, and long-term radiocesium leaching from these particles is a challenge for future studies. In Fukushima contaminated areas the high annual precipitation and steep slopes are conducive to significant erosion and intensive r-Cs wash-off especially during devastating typhoons. Typhoons Etou in 2015 and Hagibis in 2019 demonstrated a pronounced redistribution of 137Cs on river watersheds and floodplains, and natural self-decontamination occurred in some cases. Understanding mechanisms and prediction of radiocesium long-term dynamics and seasonality in water bodies, as well as its remobilization from river-transported sediments at the interface between freshwater and marine water in estuaries is important challenge for contemporary radioecology.
Keywords
Full Text
Великое восточно-японское землетрясение 11 марта 2011 г. и последовавшее за ним цунами привели к аварии на АЭС «Фукусима-1», которая, в свою очередь, привела к загрязнению подстилающей поверхности радиоцезием. Атмосферные выпадения в период аварии сформировали радиоактивный след длиной порядка 50–70 км и шириной 20 км [1–4]. Начальное соотношение изотопов 134Cs/137Cs было близко к 1 [4–6]. Вклад 134Cs в загрязнение и формирование мощности дозы уменьшается со временем по сравнению с 137Cs вследствие более быстрого радиоактивного распада [7, 8].
Поведение радиоцезия аварийного происхождения в окружающей среде определяется формами его нахождения в аварийных выпадениях и ключевыми характеристиками окружающей среды в зоне загрязнения, ответственными за его подвижность и биологическую доступность [9–12]. Зона загрязнения АЭС «Фукусима-1» характеризуется муссонным климатом с относительно высокой годовой нормой осадков (1200–1800 мм/год). Сильные паводки в период тайфунов (как правило с середины августа по октябрь) способствуют эрозии почв и смыву радиоцезия с загрязненных водосборов и его пространственному перераспределению [7, 13–17].
Территория префектуры Фукусима, загрязненная в результате аварии, характеризуется развитой гидрографической сетью – к ней относится бассейн самой крупной реки этого региона Абукума, а также рек Укедо, Нитта, Уда, Мано, Ота, Одака, Маеда, Кума, Томиока, Иде, Кидо, Нацуй и Саме с их притоками [18, 19]. Все они впадают в Тихий океан. Водосборы рек, протекающих по территории, загрязненной в результате аварии на АЭС «Фукусима-1», стали долговременным источником вторичного загрязнения пресных вод поверхностным стоком и выноса радиоцезия в океан [11, 20, 21]. Более того, смыв с водосборов и перенос по рекам приводят к выносу радиоцезия из зоны отчуждения в условно чистые населенные районы и его накоплению как в донных отложениях водохранилищ, так и на пойме рек [7, 22].
Целью настоящей обзорной статьи является синтез основных особенностей поведения фукусимского радиоцезия в абиотических составляющих системы «почва–вода» и определение перспективных направлений дальнейших радиоэкологических исследований в этой области в зоне аварии на АЭС «Фукусима-1».
ФОРМЫ НАХОЖДЕНИЯ РАДИОЦЕЗИЯ В ВЫПАДЕНИЯХ И ДИНАМИКА ИХ ТРАНСФОРМАЦИИ
Сразу после аварии на АЭС «Фукусима-1» была высказана гипотеза о том, что поступивший в атмосферу и затем выпавший на подстилающую поверхность радиоцезий находился в составе сульфатных аэрозольных частиц размером 0.5–0.6 мкм. Предполагалось, что радиоцезий в этих частицах легко растворим в воде и потому вымывается из атмосферы осадками [23]. К аналогичному заключению пришли авторы работы [24]. В этих работах исследовались атмосферные выпадения, отобранные в г. Цукуба (префектура Ибараки, Япония) в 160 км от АЭС Ф-1. Вместе с тем в других работах [25, 26] даже на удалении 160 км в том же г. Цукуба были обнаружены сферические стекловидные “горячие” частицы диаметром более 2 мкм, содержащие кроме радиоцезия уран и другие элементы, характерные для ядерного топлива и материалов реактора. Позже в составе таких частиц, выброшенных первым блоком АЭС, были обнаружены изотопы плутония [27]. Эти частицы нерастворимы в воде, а поведение их в окружающей среде и, в частности, скорость выщелачивания радиоцезия пока неизвестны. Аналогичные частицы были обнаружены в зоне аварии на АЭС «Фукусима-1» с помощью авторадиографии на образцах почв, растений и грибов [28]. Вблизи АЭС «Фукусима-1» были обнаружены более крупные частицы (порядка 100 мкм) неправильной формы и с более высокой активностью (иногда более, чем 1000 Бк/частицу). Композиционную основу этих частиц составляют силикаты [27, 29].
С точки зрения прогнозирования поведения фукусимского радиоцезия в окружающей среде принципиально важное значение имеет то, что стекловидные горячие частицы нерастворимы в воде и устойчивы в окружающей среде [30]. Для адекватного моделирования поведения фукусимского радиоцезия в окружающей среде критически важной является информация о доле горячих частиц в выпадениях на различных участках следа и скорость выщелачивания радиоцезия из этих частиц в результате их выветривания [12, 31].
Икехара и др. [32, 33] определили количественно долю стекловидных горячих частиц в выпадениях на различных направлениях от АЭС «Фукусима-1». Число горячих частиц в поверхностном слое почвы составляло от 1 до 300 частиц на грамм почвы, а их доля в общей активности почвы составляла от 15 до 80%. Наличие нерастворимых в воде стекловидных горячих частиц существенно влияет на распределение 137Cs между твердой и жидкой фазами системы “почва – вода” [34]. Однако изменчивость доли частиц в выпадениях в широких пределах даже на близких участках следа усложняет учет влияния горячих частиц на подвижность и биодоступность фукусимского радиоцезия в окружающей среде и их изменение во времени [31]. Миура и др. [30] обнаружили стекловидные горячие частицы во взвешенном материале р. Кучибуто (правый приток р. Абукума, протекающий через зону отчуждения АЭС «Фукусима-1») в 2011–2016 гг., при этом их доля от общей активности взвеси составляла до 67%.
После выпадения из атмосферы на почву или водные объекты радиоцезий включается в протекающие в них физико-химические и биологические процессы, что приводит к изменению его форм нахождения [9, 12, 35]. Водорастворимая фракция радионуклида сорбируется частицами твердой фазы. При этом основным механизмом адсорбции ионов радионуклидов служит ионный обмен. В настоящее время считается общепринятым представление о том, что высокая сорбционная способность почв и донных отложений по отношению к радиоцезию определяется наличием в них гидрослюд типа иллита [36–38]. В соответствии с установившейся международной терминологией [36] неселективные сорбционные центры, расположенные на поверхности минеральных и органических частиц, обозначают RES (от англ. “Regular Exchange Sites”), а сорбционные центры, расположенные между слоями кристаллической решетки в области их расширенных концов – FES (от англ. “Frayed Edge Sites”). Специфическое расположение FES обусловливает их высокую селективность по отношению к ионам с низкими значениями ионных радиусов в растворе. Поскольку большинство катионов в водных растворах находятся в гидратированном состоянии, то они слишком велики, чтобы приблизиться к FES. Вместе с тем ионы с низкой энергией гидратации, такие как K+, Rb+, NH4+ и, в особенности Cs+, могут легко терять оболочку гидратационной воды и проникать в расширенные концевые области слоев минералов и сорбироваться на расположенных там селективных сорбционных центрах – FES. В то же время ионы с относительно высокой энергией гидратации Ca2+, Mg2+ и Sr2+, окруженные большой гидратационной оболочкой, не способны проникать к FES и сорбируются исключительно на поверхностных сорбционных местах – RES. Таким образом, радиоцезий сорбируется на поверхностных сорбционных местах (RES) неселективно, т. е. коэффициент селективности его сорбции по отношению к другим однозарядным ионам K+, Na+, NH4+ и др. близок к 1. В то же время коэффициент селективности сорбции Cs на FES по отношению к K+ составляет порядка 1000, а по отношению к NH4+ – 200 [37]. Селективные сорбционные места FES составляют относительно небольшую долю общего количества ионообменных сорбционных мест – от 1 до 5% для большинства почв и донных отложений. Вследствие высокой селективности FES по отношению к цезию и ввиду того, что радиоцезий и даже стабильный цезий находятся в очень низких следовых концентрациях в окружающей среде, практически весь радиоцезий в большинстве почв и донных отложений сорбирован на FES.
Обменно-сорбированный радиоцезий затем со временем фиксируется глинистыми минералами при схлопывании концевых расширенных областей слоев кристаллической решетки глинистых минералов, т. е. переходит в необменное состояние. Многочисленные лабораторные и полевые исследования указывают на то, что характерное время фиксации радиоцезия почвами и наносами составляет от нескольких недель до нескольких месяцев в зависимости от их свойств (kf = 4–20 год–1) [9, 10, 12, 31]. Многолетние данные о динамике трансформации форм нахождения радиоцезия в почвах и наносах свидетельствуют о существовании обратного процесса по отношению к фиксации – ремобилизации [35, 39]. Стекловидные горячие частицы медленно разрушаются со временем, при этом дополнительное количество радиоцезия переходит в раствор. Совокупность основных процессов трансформации химических форм фукусимского радиоцезия представлена на рис. 1.
Рис. 1. Схема основных процессов трансформации химических форм радиоцезия фукусимского происхождения в системе “почва–вода”.
Fig. 1. Conceptual model of basic transformation processes of Fukushima-derived radiocesium speciation in the soil–water environment.
Ключевой характеристикой поведения радиоцезия в окружающей среде является его распределение между твердой и жидкой фазами, поскольку оно определяет подвижность и биологическую доступность радионуклида в окружающей среде. Наиболее распространенным параметром, используемым для количественного описания распределения радионуклидов в системе «почва – вода», является коэффициент распределения Kd, равный отношению равновесных концентраций радионуклида в твердой [R]p и жидкой [R]d фазах системы [34, 40]:
(1)
[R]p включает в себя радиоцезий, входящий в состав стекловидных горячих частиц (Rh), обменно-сорбированный радиоцезий (Rex) и радиоцезий фиксированный глинистыми минералами (Rf) (см. рис. 1). Обменно-сорбированный радиоцезий в любой конкретный момент времени находится в ионно-обменном квазиравновесии с растворенным радиоцезием, в то время как все формы необменного радиоцезия в обмене с раствором не участвуют. Поэтому целесообразно использовать понятие обменного коэффициента распределения , равного отношению текущей квазиравновесной концентрации обменного радиоцезия в твердой фазе [R]ex к его концентрации в растворе [R]d [9, 12, 41]:
(2)
где αex – доля обменной формы радиоцезия в почве или наносах, а Kd – его суммарный коэффициент распределения.
Вскоре после аварии на АЭС «Фукусима-1» было обнаружено, что фукусимский радиоцезий прочно связан с твердыми частицами почв и/или наносов, а его суммарный коэффициент распределения как минимум на порядок превосходит характерные дофукусимские величины [19, 34, 42–44]. Этот факт получил свое подтверждение и в дальнейших долговременных исследованиях [21, 45–49]. В табл. 1 приведены средние значения суммарного коэффициента распределения Kd для основных рек зоны загрязнения после аварии на АЭС «Фукусима-1».
Таблица 1. Значения суммарных коэффициентов распределения 137Cs Kd (л/кг) в системе “взвесь – вода” рек загрязненной зоны после аварии на АЭС Ф-1 по опубликованным данным
Table 1. Values of the total distribution coefficients of 137Cs Kd (L/kg) in the suspension–water system of the rivers of the contaminated zone after the accident at the F-1 NPP
Река – створ | Период наблюдений | Среднее значение | Ссылка |
Р. Укедо – нижнее течение | 2015–2018 | (2.2 ± 0.3) × 105 | [45] |
Р. Ота – нижнее течение | 2015–2018 | (2.4 ± 0.6) × 105 | [45] |
Р. Кучибуто – верхнее течение | 2011–2016 | (4.9 ± 2.1) × 105 | [46] |
Р. Такасе (приток р. Укедо) | 2011–2016 | (6.6 ± 1.2) × 105 | [46] |
Р. Нитта – Харамачи | 2011–2016 | (6.3 ± 2.5) × 105 | [46] |
Р. Укедо – впадение в вдхр. Огаки | 2014–2019 | (6.3 ± 2.0) × 105 | [47] |
Р. Кодея – впадение в вдхр. Огаки | 2014–2019 | (8.6 ± 2.1) × 105 | [47] |
Р. Укедо – выход из вдхр. Огаки | 2014–2019 | (4.5 ± 1.8) × 105 | [47] |
Р. Хизо (приток р. Нитта) | 2011–2020 | (4.6 ± 3.0) × 105 | [48] |
Р. Варики (приток р. Нитта) | 2011–2020 | (7.7 ± 6.3) × 105 | [48] |
Р. Абукума – Фукусима (Куроива) | 2012–2020 | (6.5 ± 3.0) × 105 | [49] |
Повышенные значения Kd в фукусимских реках вызваны, во-первых, высокой связывающей способностью их наносов по отношению к радиоцезию. Это подтверждается высокими значениями потенциалов связывания радиоцезия RIP (Radiocesium Interception Potential) – 2,400–19,400 ммоль/кг для глинистых минералов почв этого района [50]. Между тем, наблюдаемые после аварии на АЭС «Фукусима-1» коэффициенты распределения радиоцезия значительно больше не только наблюдавшихся величин Kd в зоне аварии на Чернобыльской АЭС (ЧАЭС), но и превосходят Kd, наблюдавшиеся в японских реках для радиоцезия глобального происхождения [51, 52]. Поэтому другой возможной причиной, объясняющей столь высокие величины Kd, является наличие в выпадениях после аварии на АЭС “Фукусима-1”, а затем и в почвах и наносах, нерастворимых в воде стеклообразных горячих частиц [30, 31, 34].
Результатом того факта, что все основные реки загрязненной зоны АЭС «Фукусима-1» впадают в Тихий океан [19, 53], стало наблюдаемое явление «скачка» суммарного коэффициента распределения Kd радиоцезия на границе раздела «пресная вода – морская вода». Дело в том, что пресные воды значительно отличаются от морских по содержанию катионов в растворе и, прежде всего, по содержанию калия – основного конкурирующего с радиоцезием катиона за селективные сорбционные центры FES [35]. На границе раздела пресной и морской воды в устье реки Kd резко падает на два порядка величины вследствие резкого роста концентрации калия от нескольких мг/л в реке до 350–400 мг/л в прибрежных водах океана [53–55]. Рост концентрации калия наблюдается в речной воде от верхнего течения к устью вследствие взаимодействия и перемешивания речных вод с морскими в устьевых зонах, в особенности с учетом приливов. Так, в 2018 г. в р. Абукума [K+] изменялась с 3.5 мг/л в верхнем течении до 44 мг/л в районе устья в период прилива, а в р. Маеда [K+] изменялась с 0.7 мг/л в верхнем течении до 11.5 мг/л в устьевой области [55]. Это приводит к усиленной десорбции и ремобилизации радиоцезия с взвешенных наносов в раствор прибрежных вод океана. В результате более 95% радиоцезия в океане находится в растворенном состоянии [53, 56], в то время как в пресноводных объектах, как правило, основная часть радиоцезия связана с наносами [21, 34, 46, 49]. Значительный вынос загрязненных взвешенных наносов из зоны отчуждения реками в период экстремальных паводков, вызванных тайфунами, приводит к интенсивной десорбции и ремобилизации 137Cs и росту его концентраций в прибрежных районах океана [57].
Процессы распада стекловидных горячих частиц фукусимского происхождения и выхода из них радиоцезия трудно поддаются количественному описанию и моделированию вследствие огромного многообразия их размеров, формы и химических характеристик [12, 58]. Для описания кинетики выщелачивания радионуклидов из горячих частиц, т. е. их перехода из нерастворимых горячих частиц в раствор (см. рис. 1), вследствие их разрушения и выветривания, как правило, используется константа скорости первого порядка kl (год–1) [12, 59]. Можно было ожидать, что процесс выщелачивания радиоцезия из стекловидных горячих частиц очень медленный. В то же время перешедший в растворенное состояние радиоцезий относительно быстро фиксируется глинистыми минералами почв или наносов [60]. На основе данных лабораторных экспериментов [58] были оценены значения констант скорости выщелачивания радиоцезия из фукусимских горячих частиц, которые оказались равными kl ≥ 0,043 год-1 для пресных вод и kl ≈ 0,44 год–1 для морских вод [12].
Константа скорости выщелачивания радиоцезия из горячих частиц может быть также оценена косвенным путем из данных долговременного мониторинга. Так, данные мониторинга 137Cs в прудах ближней зоны АЭС «Фукусима-1» продемонстрировали постепенное снижение среднегодового значения его общего коэффициента распределения Kd в период с 2015 по 2019 гг. [61], чего не наблюдалось в пре-Фукусимских исследованиях. Начальная и среднесрочная фазы после аварии на ЧАЭС и глобальных выпадений 137Cs характеризовались некоторым ростом суммарного Kd в почвах и наносах в результате его фиксации или «старения» [10, 39]. Предполагая, что падение Kd со временем связано с выщелачиванием 137Cs из стекловидных горячих частиц, оцененные значения kl для прудов оказались в пределах 0.12–0.18 год-1 [61]. Аналогичный временной тренд суммарного Kd радиоцезия с константой скорости kl = 0.05 год-1 наблюдался в 2012–2020 гг. для р. Абукума в створе г. Фукусима (район Куроива) [49]. Можно говорить о том, что эти натурные оценки согласуются в разумных пределах с данными лабораторных исследований [58]. При этом можно ожидать, что значения kl для пресноводных объектов должны быть несколько выше, чем для чистой воды, и ниже, чем для более агрессивных морских вод. Именно в этом диапазоне находятся оцененные значения kl для натурных данных [12, 61].
САМООЧИЩЕНИЕ ОКРУЖАЮЩЕЙ СРЕДЫ ОТ РАДИОАКТИВНОГО ЗАГРЯЗНЕНИЯ ПОСЛЕ АВАРИИ НА АЭС “ФУКУСИМА-1”
Естественные процессы снижения радиоактивного загрязнения природных сред, за исключением радиоактивного распада, не приводят к уменьшению общего количества радионуклида в окружающей среде, но меняют его распределение в пространстве и времени [62]. Физические процессы естественного самоочищения (адвекция, диффузия и дисперсия) приводят к разбавлению радионуклидов в окружающей среде или их пространственному перемещению (смыв, эрозия, седиментация и речной перенос) [7]. Процессы вертикальной и горизонтальной миграции ведут к постепенному снижению загрязнения почв, особенно ее верхнего слоя [63–66]. Это, в свою очередь, приводит к снижению концентраций радиоцезия как на взвеси, так и в растворе в поверхностном стоке и реках [20, 49, 67].
Геоклиматические условия окружающей среды оказывают существенное влияние на скорость ее самоочищения от радиоактивного загрязнения [7]. Речные водосборы зоны загрязнения АЭС «Фукусима-1» – горные или предгорные с относительно крутыми склонами [68]. Годовая норма осадков в районе АЭС составляет 1500 ± 300 мм/год, что в 2–3 раза превышает количество осадков в зонах загрязнения ЧАЭС и ПО «Маяк» [42, 69].
После выпадения на подстилающую поверхность радиоцезий мигрирует вглубь почвы [8, 31, 42, 64, 65]. Вертикальное распределение радиоцезия в почве принципиально важно с точки зрения формирования мощности внешней дозы радиации, его доступности для смыва поверхностным стоком и ветрового подъема в приповерхностном слое атмосферы, доступности для корневого поглощения растениями и проникновения в грунтовые воды. Радионуклиды мигрируют по профилю почвы с инфильтрационным потоком в растворе и коллоидном состоянии, а также в составе мелких субмикронных частиц почвы [63]. Вертикальная миграция радиоцезия происходит существенно медленнее, чем направленный вниз фильтрационный поток благодаря его сорбции-десорбции и фиксации на частицах почвы (см. рис. 1) [70]. Субмикронные частицы почвы перемещаются по порам, трещинам и пустотам в почве, захватываются фильтрационным потоком (лессиваж), а также в результате жизнедеятельности растений и биоты [63, 71]. Несмотря на многообразие механизмов миграции радиоцезия в почве, она может быть описана адвективно-диффузионным уравнением [70, 72]. Численное решение системы конвективно-диффузионных уравнений для каждой химической формы радиоцезия с учетом их трансформации является наиболее точным моделированием его вертикальной миграции в почве [9, 73, 74].
(3)
с начальными и граничными условиями:
,
где Di и vi – эффективные коэффициенты дисперсии и скорости адвекции для каждой химической формы i соответственно; kij и kji – константы скорости соответствующих процессов трансформации и λ – константа скорости радиоактивного распада, равная 0.023 год–1 для 137Cs.
Обращает на себя внимание тот важный факт, что до настоящего времени на невозмущенных незатапливаемых участках максимум концентрации радиоцезия наблюдается в самом верхнем слое почвы [8, 63–65]. Это означает, что изменение во времени вертикального распределения 137Cs в почве может приближенно описываться обычным уравнением диффузии, при этом значение эффективного коэффициента дисперсии меняется в пределах 1–9 см2/год в зависимости от свойств почв [42, 63, 64].
Вертикальные профили радиоцезия в пойменных почвах и осадках существенно отличаются от невозмущенных участков почв вследствие как эрозии верхнего слоя пойменных почв, так и осаждения и накопления наносов во время стояния воды на поверхности поймы [7, 42, 75]. Мощные паводки происходят в фукусимской префектуре во время сезонов тайфунов, обычно с середины августа по октябрь. За период после аварии на АЭС «Фукусима-1» в зоне аварии наблюдались два экстремальных паводка в сентябре 2015 г. (тайфун Ито) и в октябре 2019 г. (тайфун Хагибис). Вероятность таких экстремальных паводков оценивается в 4–5% в год [7]. Во время таких паводков течение сносит небетонированные берега рек, наблюдаются оползни крутых склонов. Образующиеся при этом наносы характеризуются низким содержанием 137Cs, поскольку они состоят в основном из материала достаточно глубоких слоев почвы, незагрязненных 137Cs. Таким образом, экстремальные паводки в загрязненной зоне АЭС «Фукусима-1» часто приводят к естественному самоочищению пойменных территорий рек вследствие эрозии верхнего загрязненного слоя почвы и дополнительного захоронения загрязненных почв осаждающимся чистым материалом из более глубоких слоев почвы на водосборе [16, 75]. Во многих случаях это приводит к существенному снижению мощности дозы внешнего облучения. Константы скорости такого снижения мощности дозы оказались равными, например, 0.2–0.4 год–1 в 2016 г. [7]. То есть можно утверждать, что тайфуны, проходящие через загрязненные территории после аварии на АЭС «Фукусима-1» зачастую приводят к естественной дезактивации речных пойм.
Вместе с тем в случае прохождения экстремальных паводков на пойменных территориях больших рек могут осаждаться наносы, поступившие с притоков, протекающих по зоне отчуждения АЭС Ф-1 [75]. Такая ситуация, в частности, была реализована во время прохождения тайфуна Хагибис в ноябре 2019 г. на некоторых участках поймы р. Абукума ниже впадения р. Кучибуто, протекающей по зоне отчуждения АЭС «Фукусима-1». На рис. 2 представлены вертикальные профили 137Cs в пойменных отложениях р. Абукума в двух точках наблюдения г. Фукусима (район Куроива) и Фушигуро, расположенных ниже по течению от устья р. Кучибуто [75], до тайфуна Хагибис – в октябре 2018 г. и сразу после него – в ноябре 2019 г. Верхний слой пойменных отложений в обеих точках наблюдений оказался загрязнен наносами, отложившимися после тайфуна, в то время как предыдущие отложения в верхнем слое были смыты мощным водным потоком во время тайфуна. По всей вероятности, во время тайфуна Хагибис твердый материал, смытый с загрязненного водосбора р. Кучибуто, был вынесен в р. Абукума и затем осел на наблюдательных участках ее поймы в районе Куроива г. Фукусима [55].
Рис. 2. Вертикальные распределения 137Cs в зонах аккумуляции наносов на пойме р. Абукума ниже по течению устья р. Кучибуто, протекающей по зоне отчуждения АЭС «Фукусима-1» в створах Фукусима (район Куроива) и Фушигуро (на основе данных [75]).
Fig. 2. Depth distribution of 137Cs in accumulation zones of floodplain sediments of Abukuma River at sites located downstream for the mouth of its right side tributary Kuchibuto River flowing through the FDNPP contaminated zone – Fukushima (Kuroiwa) and Fushiguro, based on the data [75].
Таким образом, учет процессов эрозии и накопления наносов на водосборе и, в особенности на поймах рек, имеет принципиальное значение для прогнозирования перераспределения радиоактивного загрязнения на загрязненных территориях после аварии на АЭС «Фукусима-1» и для принятия решений по их реабилитации и дезактивации. Во многих случаях естественная дезактивация наряду с ограничительными мерами является оптимальной стратегией реабилитации умеренно загрязненных территорий [7, 62].
Авария на АЭС «Фукусима-1» ясно продемонстрировала, что принципиальное значение с точки зрения понимания и прогнозирования поведения радиоцезия в системе “почва–вода” имеют сведения не только о концентрации 137Cs в растворе, но и данные о его содержании на взвеси. Отсутствие таких данных для некоторых загрязненных рек может быть восполнено с помощью данных о вертикальном распределении 137Cs в донных отложениях их водохранилищ [76, 77]. На загрязненных в результате аварии на АЭС «Фукусима-1» территориях расположены как минимум десять водохранилищ, созданных для управления водными ресурсами в регионе, в том числе для сельскохозяйственного использования [78, 79]. Фактически эти водохранилища перехватывают большую часть радиоцезия переносимого с частицами почвы [80, 81].
Вертикальные профили радионуклидов в донных отложениях водохранилищ могут быть использованы для восстановления или реконструкции концентраций радионуклидов на взвеси, сильно связанных с наносами [77, 82]. Наносы, откладываемые в глубоководных зонах накопления, поступают с потоком речной воды, и, следовательно, с помощью анализа вертикального распределения радионуклида в них можно восстановить изменение во времени концентрации радионуклида на взвеси [22]. Однако для этого необходимо выполнение двух принципиально важных условий: 1) вертикальное перемешивание донных отложений должно быть пренебрежимо малым, с тем чтобы концентрация радионуклида в каждом отдельно взятом слое соответствовала его концентрации на взвеси, поступающей с речной водой в данный момент времени; 2) радионуклид должен быть прочно связан с наносами, а именно его коэффициент распределения должен быть значительно больше 104 л/кг [22, 82], что выполняется для всех рек Фукусимы [34].
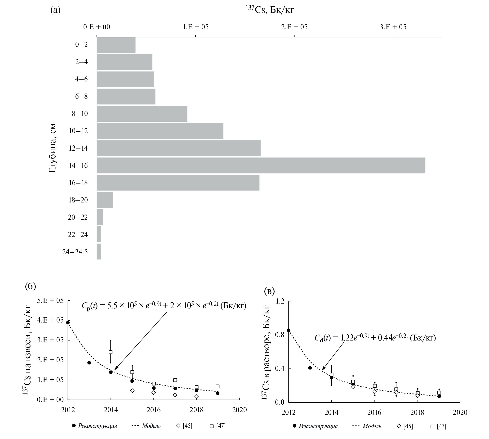
Этот подход использовали для колонки донных отложений, отобранной в глубоководной зоне аккумуляции водохранилища Огаки на одной из наиболее загрязненных рек зоны отчуждения АЭС «Фукусима-1» – р. Укедо [22]. На рис. 3 представлено изменение во времени после аварии концентраций 137Cs на взвеси и в растворе реконструированных на основе его профиля в колонке донных отложений, отобранной в 2019 г., и их сравнение с данными мониторинга [45, 47] и простейшей эмпирической двухэкспоненциальной моделью [22]. Видно, что результаты реконструкции концентраций достаточно точно отображают их реальный временной ход. Это означает, что описанный метод может быть использован для реконструкции доз облучения биоты и долгосрочного прогнозирования поведения радиоцезия в окружающей среде.
Рис. 3. Реконструкция изменений во времени концентраций 137Cs в р. Укедо на основе его вертикального распределения в зоне аккумуляции донных отложений водохранилища Огаки. A – вертикальное распределение 137Cs в колонке донных отложений вдхр. Огаки; Б – реконструированная динамика концентрации 137Cs на взвеси в р. Укедо в сравнении с данными мониторинга [45, 47] и результатами расчетов по эмпирической двухэкспоненциальной модели; В – динамика реконструированной концентрации 137Cs в растворе в р. Укедо в сравнении с данными мониторинга [45, 47] и результатами расчетов по эмпирической двухэкспоненциальной модели.
Fig. 3. Reconstruction of time changes in 137Cs activity concentrations in the Ukedo River area based on its depth distribution in Ogaki dam reservoir’s bottom sediments. A – 137Cs depth distribution profile for bottom sediment core from the Ogaki dam reservoir taken for reconstruction; B – time dependence of reconstructed particulate 137Cs activity concentration in the Ukedo river versus monitoring data [45, 47] and approximation by the empirical two-exponential model; C – time dependence of reconstructed dissolved 137Cs activity concentration in Ukedo River versus monitoring data [45, 47] and approximation by the empirical two-exponential model.
МОДЕЛИРОВАНИЕ ДИНАМИКИ КОНЦЕНТРАЦИЙ 137Cs В ВОДНЫХ ОБЪЕКТАХ
В начальный период после аварии на АЭС «Фукусима -1» концентрации радиоцезия в реках и других водных объектах были высокими вследствие прямых выпадений из атмосферы на их поверхность [13, 19, 43, 44, 68, 83]. После этого концентрации радиоцезия резко падали вследствие достаточно быстрых процессов его сорбции и фиксации, а также осаждения частиц-носителей на дно [12, 21, 45, 46, 49, 84, 85]. По завершении начального периода после аварии на АЭС «Фукусима-1» определяющим источником загрязнения водных объектов стал смыв радиоцезия с загрязненных водосборов поверхностным стоком [18, 21, 67–69, 86].
До аварии на АЭС «Фукусима-1» временной ход концентрации 137Cs в загрязненных реках зачастую описывали простой эмпирической моделью в виде суммы нескольких экспоненциальных функций [87–89]:
(4)
где c(t) – текущая концентрация 137Cs в реке (на взвеси в Бк/кг, а в растворе в Бк/м3 или Бк/л); λ – константа скорости радиоактивного распада 137Cs, равная 0.023 год–1; ki – подгоночные значения констант скорости первого порядка i-го процесса (год-1); сi0 – подгоночные параметры, t – время. Этот подход был использован многими исследователями после аварии на АЭС «Фукусима-1» для описания динамики как растворенного 137Cs, так и 137Cs, содержащегося на взвесях [21, 45–49].
В последнее время достаточно широко используется альтернативный способ описания и прогнозирования долговременной динамики радиоцезия в водных объектах, а именно полуэмпирическая диффузионная модель [20, 90]. Эта модель основана на предположении, что основным источником взвешенного материала в реке является верхний слой почвы ее водосбора, и вертикальное распределение радиоцезия в нем описывается обыкновенным диффузионным уравнением [63]. В этом случае динамика изменения концентрации 137Cs в верхнем слое почвы, а следовательно, и на взвеси в поверхностном стоке и затем в реке может быть приближенно описана уравнением [90, 91]:
(5)
где σ0 – начальный средний запас 137Cs на водосборе; Deff – среднее по водосбору значение эффективного коэффициента дисперсии, равное для рекзоны загрязнения 3.5–5.0 см2/год; λ – константа скорости радиоактивного распада 137Cs; ρ – средняя объемная плотность верхнего слоя почв на водосборе; t – время.
Подставляя уравнение (1) в (5), изменение во времени концентрации 137Cs в растворе может быть приближенно описано уравнением [90, 91]:
(6)
Достоинством этой модели является то, что одно и то же несложное уравнение может быть использовано для описания динамики 137Cs в реках для широкого диапазона времени после аварии, за исключением относительно короткого начального периода, когда загрязнение определяется прямыми выпадениями на водную поверхность. При этом используются всего два параметра Deff и Kd, имеющих ясный физический смысл.
На рис. 4 представлена зависимость среднегодовых концентраций растворенного 137Cs в створе Фукусима (район Куроива) р. Абукума в 2012–2019 гг. и результаты расчетов по диффузионной модели. Следует отметить, что нередко концентрации 137Cs в реках и озерах Фукусимы падают несколько быстрее, чем это прогнозируется по диффузионной модели [12]. Существуют две главные причины для этого. Во-первых, реализация масштабной программы по дезактивации загрязненных почв региона, включая водосборные почвы [92, 93]. Во-вторых, процессы формирования поверхностного стока в Фукусиме достаточно специфичны вследствие значительного количества осадков, выпадающих в течение короткого промежутка времени, особенно во время прохождения тайфунов, и высокой мощности водных потоков во время паводков [69, 79]. В результате подповерхностные – более глубокие слои почв включаются в процессы эрозии поверхностным стоком с более низкими концентрациями 137Cs, что приводит к ускорению снижения его концентраций на взвеси и в растворе поверхностного стока [7].
Рис. 4. Динамика изменения концентраций 137Cs на взвеси и в растворе в р. Абукума в створе Фукусима (Куроива) в 2012–2019 гг. по данным [49] в сравнении с прогнозом по полуэмпирической диффузионной модели [90] (пунктирная линия).
Fig. 4. Time changes of annual mean particulate and dissolved 137Cs activity concentrations in Abukuma River at Fukushima city (Kuroiwa) in 2012–2019 based on the data of [49] against diffusional model prediction [90] (dotted line).
Для описания процесса переноса радионуклида в системе «водосбор – река» широко используются величины нормированных коэффициентов смыва [19, 20, 49, 67, 68]:
(7)
где – среднегодовые концентрации радионуклида в реке на взвеси и в растворе соответственно; σ – текущее значение среднего запаса радионуклида на водосборе. Вследствие вертикальной миграции радионуклида в почве водосбора и постепенного снижения его концентрации в ее верхнем слое нормированные коэффициенты «твердого» и «жидкого» смыва зависят от времени. Существенным достоинством нормированных коэффициентов смыва является то, что на их основе может быть выполнен прогноз смыва радионуклидов с загрязненных водосборов и их концентрации в реках и водоемах. Для оценки доли смытого радионуклида в растворе достаточно умножить нормированный коэффициент «жидкого» смыва nd на ожидаемую величину слоя стока рассматриваемого события или периода стока. Чтобы рассчитать долю смытого радионуклида на взвеси, необходимо умножить нормированный коэффициент “твердого” смыва np на прогнозную величину выноса твердого материала рассматриваемым событием стока [9, 94]. Именно таким образом осуществлялся прогноз загрязнения поверхностных вод на загрязненных территориях сразу после аварии на ЧАЭС в результате весенних и дождевых паводков [95].
Изменение во времени нормированных коэффициентов «твердого» и «жидкого» смыва 137Cs в период среднесрочной и долговременной фаз после аварии на АЭС «Фукусима-1» в соответствии с полуэмпирической диффузионной моделью может быть представлено следующим образом [90]:
(8)
(9)
Уменьшение со временем нормированного коэффициента «твердого» смыва для фукусимских рек описывается диффузионной моделью при значении ключевого параметра Deff = 3.5–5.0 см2/год, в то время как нормированный коэффициент «жидкого» смыва описывается моделью при Deff = 3,5–5,0 см2/год и Kd = 2,5 × 105 л/кг в случае рек Укедо и Ота [90] и Kd = 6,0 × 105 л/кг в случае р. Абукума [12]. Важно, что эти значения входных параметров соответствуют экспериментальным данным, полученным для этих рек и почв их водосборов [45, 49, 63].
СЕЗОННЫЕ КОЛЕБАНИЯ КОНЦЕНТРАЦИЙ 137Cs В ВОДНЫХ ОБЪЕКТАХ
Данные долговременных наблюдений и мониторинга указывают на наличие регулярных колебаний концентрации растворенного 137Cs в реках Фукусимы, т. е. рост его концентрации летом и снижение – зимой [45, 49, 67, 96]. Аналогичные сезонные колебания наблюдались для прудов, озер и водохранилищ на загрязненной территории в результате аварии на АЭС «Фукусима-1» [97–100]. Как правило, амплитуда таких сезонных колебаний, т. е. отношение максимальной летней концентрации 137Cs к минимальной зимней его концентрации составляет 2–3 раза. На рис. 5 представлен сезонный ход концентрации растворенного 137Cs в пруде Сузуучи г. Окума в 2016 и 2017 гг. [61, 99].
Рис. 5. Сезонный ход концентраций растворенного 137Cs в воде мелиоративного пруда Сузуучи в г. Окума в ближней зоне АЭС «Фукусима-1» в 2016 и 2017 гг. по данным [61].
Fig. 5. Seasonal variations of dissolved 137Cs activity concentration in water of Suzuuchi irrigation pond in Okuma town at FDNPP exclusion zone in 2016 and 2017 [61].
Очевидно, что сезонные изменения температуры воды влияют на скорость ионно-обменной десорбции 137Cs в соответствии с уравнением Гиббса – Гельмгольца, записанного для обменного коэффициента распределения 137Cs – [61, 101]:
(10)
где ΔH – энтальпия десорбции 137Cs с взвеси в раствор при температуре T (oK); R – газовая постоянная, равная 8.3 кДж/моль; ΔH = – EA, где EA – is энергия активации по Аррениусу [102, 103]. Полученные оценки EA были около 20 кДж/моль для фукусимских рек [49, 67] и прудов [61, 99], что соответствует данным лабораторных исследований с отложениями на площадке Хэнфорд в США [101].
Для объяснения сезонных регулярных колебаний концентрации 137Cs чернобыльского происхождения в озерах и прудах была выдвинута гипотеза об образовании аммония в результате разложения органического вещества в восстановительных условиях при недостатке кислорода либо при существенной стратификации, либо при избытке органического вещества. Накопление аммония приводит летом к десорбции 137Cs с наносов и отложений, что приводит к увеличению его концентрации в растворе [104–106]. Фукусимские реки, как правило, мелководные и быстротекущие и поэтому характеризуются пренебрежимо малыми концентрациями аммония. В то же время в стоячих водоемах Фукусимы, таких как озера, пруды или водохранилища, разложение органического вещества в восстановительных условиях придонной области может приводить к образованию и накоплению аммония в поровой воде донных отложений, который может приводить к десорбции и ремобилизации 137Cs в поровой воде, что, в свою очередь, приведет к росту его концентрации в водной колонке водоема [31, 97, 98]. В соответствии с теорией ионного обмена обменный коэффициент распределения 137Cs при постоянной температуре зависит от концентрации в растворе конкурентных по отношению к цезию обменных катионов калия и аммония следующим образом [36, 107, 108]:
, (11)
где RIPex(K) – обменный потенциал связывания радиоцезия, свойство почв или наносов, характеризующее их способность селективно сорбировать радиоцезий на центрах FES глинистых минералов [31, 37, 107, 108]; Kc(NH4 / K) – коэффициент селективности адсорбции аммония на FES по отношению к калию. Согласно [107, 108] для более 100 изученных типов почв и наносов Kc(NH4 / K) =5 ± 2. Уравнение (11) ясно показывает, что поиск корреляций концентрации растворенного 137Cs отдельно с концентрацией калия или аммония является бессмысленным в тех случаях, когда оба эти конкурента 137Cs присутствуют в растворе в значимых количествах и имеют сравнимый вклад в десорбцию 137Cs.
Объединяя уравнения (10) и (11), сезонные вариации и концентрация растворенного 137Cs – [137Cs]d в водном объекте могут быть представлены следующим образом:
, (12)
, (13)
где K0 и C0 – постоянные в течение индивидуального календарного года.
По-видимому, сезонный ход растворенного радиоцезия в реках Фукусимы обусловлен исключительно изменением температуры воды, поскольку концентрация аммония в реках, как правило, пренебрежимо мала, а концентрация калия в их воде не демонстрирует регулярных сезонных колебаний. Для прудов, озер и водохранилищ ситуация более усложняется в условиях, когда образуется аммоний, а его вклад в десорбцию радиоцезия становится преобладающим или хотя бы сравнимым с вкладом калия. Можно ожидать, что использование уравнений (12) и (13) должно снизить разброс экспериментальных точек на графиках зависимостей и для полевых наблюдений, особенно для прудов, озер и водохранилищ [31, 47, 61, 97, 98]. Между тем применимость и универсальность предложенной здесь физико-химической модели сезонных вариаций растворенного радиоцезия в водных объектах необходимо проверить в будущем на основе наблюдений на большем количестве рек, прудов, озер и водохранилищ загрязненных территорий.
ВЫВОДЫ
Авария на АЭС «Фукусима-1» в марте 2011 г. привела к загрязнению обширных территорий о-ва Хонсю (Япония) радиоактивным радиоцезием и, соответственно, возобновила интерес к поведению радиоцезия в специфических геоклиматических условиях Японии. Радиоэкологические исследования в зоне загрязнения АЭС «Фукусима-1» после аварии подтвердили, что поведение радионуклидов аварийного происхождения в окружающей среде определяется их формами нахождения в выпадениях и характеристиками окружающей среды.
Было обнаружено, что радиоцезий фукусимского происхождения сильно связан с частицами почвы и наносов, что потенциально повышает самоочищающую способность водных объектов, расположенных на загрязненных территориях, и снижает его биодоступность.
До 80% выпавшего радиоцезия на почвенный покров входили в состав нерастворимых в воде стекловидных микрочастиц (CsMPs). Эти частицы очень устойчивы в окружающей среде, и скорость их разложения еще предстоит изучить и выяснить в будущем.
Относительно высокая норма осадков в зоне загрязнения и крутые склоны водосборов способствуют эрозии наносов и смыву радиоцезия, особенно во время проходящих тайфунов. Экстремальные паводки во время тайфунов приводят к существенному перераспределению радиоцезия на речных водосборах и, в особенности, их пойменных участках.
Вертикальное распределение 137Сs в донных отложениях водохранилищ при определенных условиях отражает изменение во времени концентрации 137Сs в реке и может использоваться для его восстановления в отсутствие данных мониторинга.
137Сs фукусимского происхождения в водных объектах демонстрирует регулярные сезонные колебания: рост его концентрации летом и снижение – зимой. Показано, что существуют два основных механизма, отвечающих за сезонные изменения концентрации растворенного 137Сs – температурная зависимость десорбции радиоцезия с взвешенного материала и ремобилизация радиоцезия катионами аммония, образующимися при разложении органического вещества в восстановительных условиях при недостатке кислорода. Получено уравнение, описывающее сезонный ход концентрации растворенного радиоцезия в водных объектах с учетом двух основных факторов – температуры воды и комбинированной концентрации основных конкурентных катионов.
Важным вызовом для современной радиоэкологии является детальное понимание механизма и достоверное прогнозирование ремобилизации 137Сs с речной взвеси на границе раздела «река – океан» в устьевых и эстуарных водах.
БЛАГОДАРНОСТИ
Автор признателен за сотрудничество и полезные обсуждения сотрудникам Института радиоактивности окружающей среды Фукусимского университета (Япония) К. Нанба и Й. Вакияма, а также сотрудникам Московского государственного университета им. М.В. Ломоносова (РФ) В.Н. Голосову, М.М. Иванову и Н.В. Кузьменковой.
ФИНАНСИРОВАНИЕ
Настоящая работа была выполнена при финансовой поддержке Министерства науки и высшего образования Российской Федерации (соглашение 075-15-2024-614).
About the authors
A. V. Konoplev
Fukushima University
Author for correspondence.
Email: alexeikonoplev@gmail.com
Institute of Environmental Radioactivity
Japan, FukushimaReferences
- Chino M., Nakayama H., Nagai H. et al. Preliminary estimation of release amounts of accidentally discharged from the Fukushima Daiichi nuclear power plant into the atmosphere. J. Nucl. Sci. Technol. 2011; 48: 1129–1134. https://doi.org/10.1080/18811248.2011.9711799
- Hirose K. 2011 Fukushima Dai-ichi nuclear power plant accident: summary of regional radioactive deposition monitoring results. J. Environ. Radioact. 2012; 111: 13–17. https://doi.org/10.1016/j.jenvrad.2011.09.003
- Results of the Fifth Airborne Monitoring Survey and Airborne Monitoring Survey Outside 80km from the Fukushima Dai-ichi NPP. Ministry of Education, Culture, Sports, Science and Technology of Japan; 2012. http://radioactivity.nsr.go.jp/en/contents/6000/5790/24/203_0928_14e.pdf
- Арутюнян Р.В., Большов Л.А., Боровой А.А., Велихов Е.П. Системный анализ причин и последствий аварии на АЭС Фукусима-1. М.: Институт проблем безопасного развития атомной энергетики РАН, 2018. 408 с. [Arutyunyan R.V., Bolshov L.A., Borovoy A.A., Velihov E.P. Systemnyi analyz prichin i posledstviy avarii na AES Fukushima-1. Moskva: Institut bezopasnogo razvitiya atomnoi energetiki RAN; 2018. 408 p. (In Russ.)]
- Chaisan K., Smith J.T., Bossew P. et al. Worldwide isotope ratios of the Fukushima release and early-phase external dose reconstruction. Sci. Rep. 2013;3:2520. https://doi.org/10.1038/srep02520
- Hirose K. 2011 Fukushima Dai-ichi nuclear power plant accident: summary of regional radioactive deposition monitoring results. J. Environ. Radioact. 2012;111:13–17. https://doi.org/10.1016/j.jenvrad.2011.09.003
- Konoplev A., Golosov V., Wakiyama Y., et al. Natural attenuation of Fukushima-derived radiocesium in soils due to its vertical and lateral migration. J. Environ. Radioact. 2018;186:23–33. https://doi.org/10.1016/j.jenvrad.2017.06.019
- Malins A., Kurikami H., Nakama S. et al. Evaluation of ambient dose equivalent rates influenced by vertical and horizontal distribution of radioactive cesium in soil in Fukushima Prefecture. J. Environ. Radioact. 2016;151:38-49. https://doi.org/10.1016/j.jenvrad.2015.09.014
- Konoplev A.V., Bulgakov A.A., Popov V.E., Bobovnikova Ts.I. Behaviour of long-lived Chernobyl radionuclides in a soil-water system. Analyst. 1992; 117: 1041-1047.
- Beresford N., Fesenko S., Konoplev A. et al. Thirty years after the Chernobyl accident: what lessons have we learnt? J. Environ. Radioact. 2016;157:77-89. https://doi.org/10.1016/j.jenvrad.2016.02.003
- Hirose K, Povinec P.P. Ten years of investigations of Fukushima radionuclides in the environment: A review on process studies in environmental compartments. J. Environ. Radioact. 2022;251-252: 106929. https://doi.org/10.1016/j.jenvrad.2022.106929
- Konoplev A. Fukushima and Chernobyl: similarities and differences of radiocesium behavior in the soil–water environment. Toxics. 2022;10:578. https://doi.org/10.3390/toxics10100578
- Nagao S., Kanamori M., Ochiai S. et al. Export of in the Fukushima River systems at heavy rains by Typhoon Roke in September 2011. Biogeosciences. 2013; 10: 6215-6223. https://doi.org/10.5194/bg-10-6215-2013
- Yamashiki Y., Onda Y., Smith H.G. et al. Initial flux of sediment-associated radiocesium to the ocean from largest river impacted by Fukushima Daiichi Nuclear Power Plant. Sci. Rep. 2014;4:3714. https://doi.org/10.1038/srep03714
- Evrard O., Chartin C., Onda Y. et al. Renewed soil erosion and remobilization of radioactive sediment in Fukushima coastal rivers after the 2013 typhoons. Sci. Rep. 2014;4:4574. https://doi.org/10.1038/srep04574
- Wakiyama Y., Konoplev A., Thoa N. et al. Temporal Variations in Particulate and Dissolved Activity Concentrations in the Abukuma River During Two High-Flow Events in 2018. In: Nanba K., Konoplev A., Wada T. (eds) Behavior of Radionuclides in the Environment III: Fukushima. SPRINGER Nature, Singapore, 2022; 153-176. https://doi.org/10/1007/978-981-16-6799-2_9
- Niida T., Wakiyama Y., Takata H. et al. A comparative study of riverine dynamics during high-flow events at three contaminated river catchments in Fukushima. Sci. Total Environ. 2022;821:153408. https://doi.org/10.1016/j.scitotenv.2022.153408
- Evrard O., Laceby J.P., Lepage H. et al. Radiocesium transfer from hillslopes to the Pacific Ocean after the Fukushima Nuclear Power Plant accident: A review. J. Environ. Radioact. 2015;148:92–110. https://doi.org/10.1016/j.jenvrad.2015.06.018
- Yoshimura K., Onda Y., Sakaguchi A. et al. An extensive study of the concentrations of particulate/dissolved radiocaesium derived from the Fukushima Dai-ichi Nuclear Power Plant accident in various river systems and their relationship with catchment inventory. 2015;139:370–378. https://doi.org/10.1016/j.jenvrad.2014.08.021
- Konoplev A., Kanivets V., Zhukova O. et al. Mid- to long-term radiocesium wash-off from contaminated catchments at Chernobyl and Fukushima. Water Res. 2021;188:116514. https://doi.org/10.1016/j.watres.2020.116514
- Onda Y., Taniguchi K., Yoshimura K. et al. Radionuclides from the Fukushima Daiichi Nuclear Power Plant in terrestrial systems. Nature Reviews Earth & Environ. 2020;1,644-660. https://doi.org/10.1038/s43017-020-0099-x
- Konoplev A., Wakiyama Y., Wada T. et al. Reconstruction of time changes in radiocesium concentrations in the river of the Fukushima Dai-ichi NPP contaminated area based on its depth distribution in dam reservoir’s bottom sediments. Environ. Res. 2022;206:112307. https://doi.org/10.1016/j.envres.2021.112307
- Kaneyasu N., Ohashi H., Suzuki F. et al. Sulfate Aerosol as a Potential Transport Medium of Radiocesium from the Fukushima Nuclear Accident. Environ. Sci. Technol. 2012;46:5720-5726. https://doi.org/10.1021/es204667h
- Xu S., Zhang L., Freemant S., Hou X. et al. Speciation of radiocesium and radioiodine in aerosols from Tsukuba after the Fukushima nuclear accident. Environ. Sci. Technol. 2015;49(2):1017-1024.
- Adachi K., Kajino M., Zaizen Y., Igarashi Y. Emission of spherical cesium-bearing particles from an early stage of the Fukushima nuclear accident. Sci. Rep. 2013; 3: 2554. https://doi.org/10.1038/srep02554
- Abe Y., Iizawa Y., Terada Y. et al. Detection of uranium and chemical state analysis of individual radioactive microparticles emitted from the Fukushima nuclear accident using multiple synchrotron radiation X-ray analyses. Anal. Chem. 2015; 88: 8521–8525. https://doi.org/10.1021/ac501998d
- Igarashi Y., Kogure T., Kurihara Y. et al. A review of Cs-bearing microparticles in the environment emitted by the Fukushima Dai-ichi Nuclear Power Plant accident. J. Environ. Radioact. 2019; 205–206: 101–118. https://doi.org/10.1016/j.jenvrad.2019.04.011
- Niimura N., Kikuchi K. Tuyen N.D. et al. Physical properties, structure and shape of radioactive Cs from the Fukushima Daiichi Nuclear Power Plant accident derived from soil, bamboo and shiitake mushroom measurements. J. Environ. Radioact. 2015; 139: 234-239. https://doi.org/10.1016/j.jenvrad.2013.12.020
- Satou Y., Sueki K., Sasa K. et al. Analysis of two forms of radioactive particles emitted during the early stages of the Fukushima Dai-ichi Nuclear Power Station accident. Geochem. J. 2018; 52: 137-143. https://dx.doi.org/10.2343/geochemj.2.0514
- Miura H., Kurihara Y., Sakaguchi A. et al. Discovery of radiocesium-bearing microparticles in river water and their influence on the solid-water distribution coefficient of radiocesium in the Kuchibuto River in Fukushima. Geochem. J. 2018; 52: 1-10. https://doi.org/10.2343/geochemj.2.0517
- Konoplev A., Wakiyama Y., Wada T. et al. Behavior of Fukushima-Derived Radiocesium in the Soil–Water Environment: Review. In: Nanba K., Konoplev A., Wada T. (eds) Behavior of Radionuclides in the Environment III: Fukushima. SPRINGER Nature, Singapore: 2022. P. 33-68. https://doi.org/10.1007/978-981-16-6799-2-4
- Ikehara R., Suetake M., Komiya T. et al. Novel method of quantifying cesium-rich microparticles (CsMPs) in the environment from the Fukushima Daiichi nuclear power plant. Environ. Sci. Technol. 2018;52:6390–6398. doi: 10.1021/acs.est.7b06693
- Ikehara R., Morooka K., Suetake M. et al. Abundance and distribution of radioactive cesium-rich microparticles released from the Fukushima Daiichi Nuclear Power Plant into the environment. Chemosphere. 2020;241:125019. https://doi.org/10.1016/j.chemosphere.2019.125019
- Коноплев А.В. Распределение радиоцезия аварийного происхождения между взвешенными наносами и раствором в реках: Cравнение Фукусимы и Чернобыля. Радиохимия. 2015. Т. 57. №5. С. 471-474. [Konoplev A.V. Distribution of radiocesium of accidentally origin between suspended matter and solution in rivers: comparison of Fukushima and Chernobyl. Radiochemistry. 2015;57(5): 471-474. (In Russ).]
- Коноплев А.В., Булгаков А.А. Трансформация форм нахождения в почве и донных отложениях. Атомная энергия. 2000. Т. 88. №1. С. 55–60. [Konoplev A.V., Bulgakov A.A. Transformation of the forms of in soil and bottom sediments. Atomic Energy. 2000;88(1):56-60. (In Russ.)].
- Cremers A., Elsen A., De Preter P., Maes A. Quantitative analysis of radiocesium retention in soils. Nature. 1988;335:247–249.
- Коноплев А.В., Коноплева И.В. Определение характеристик равновесной селективной сорбции радиоцезия почвами и донными отложениями. Геохимия. 1999. №2. С. 207–214. [Konoplev A.V., Konopleva I.V. Characteristics of steady-state selective sorption of radiocesium on soils and bottom sediments. Geochem. Int. 1999; 37(2):177-183.]
- De Koning A., Konoplev A., Comans R. Measuring the specific caesium sorption capacity of soils, sediments and clay minerals. Appl. Geochem. 2007;22(1):219-229. doi: 10.1016/j.apgeochem.2006.07.013
- Павлоцкая Ф.И. Миграция радиоактивных продуктов глобальных выпадений в почвах. М.: Атомиздат, 1974. 270 с. [Pavlotskaya F.I. Migratsiya radioaktivnyh produktov globalnyh vypadeniy v pochvah. Moskva: Atomizdat, 1974. 270 p. (In Russ.)]
- Handbook of parameter values for the prediction of radionuclide transfer in terrestrial and freshwater environments. Technical reports series No. 472. Vienna: International Atomic Energy Agency (IAEA), 2010. 194 p.
- Коноплев А.В., Булгаков А.А. Обменный коэффициент распределения в системе почва-вода. Атомная энергия. 2000. Т. 88. №2. С. 152–158. [Konoplev A.V., Bulgakov A.A. exchange distribution coefficient in soil-water system. Atomic Energy. 2000;88(2):158-163. (In Russ.)]
- Konoplev A., Golosov V., Laptev G. et al. Behavior of accidentally released radiocesium in soil-water environment: looking at Fukushima from a Chernobyl perspective. J. Environ. Radioact. 2016;151:568–578. doi: 10.1016/j.jenvrad.2015.06.019
- Ueda S., Hasegawa H., Kakiuchi H. et al. Fluvial Discharges of Radiocesium from Watersheds Contaminated by Fukushima Dai-ichi Nuclear Plant Accident, Japan. J. Environ. Radioact. 2013;118:96-104. doi: 10.1016/j.jenvrad.2012.11.009
- Sakaguchi A., Tanaka K., Iwatani H. et al. Size distribution studies of in river water in the Abukuma Riverine system following the Fukushima Dai-ichi Nuclear Power Plant accident. J. Environ. Radioact. 2015;139:379-389.
- Nakanishi T., Sakuma K. Trend of concentration in river water in the medium term and future following the Fukushima nuclear accident. Chemosphere. 2019;215:272–279. doi: 10.1016/j.chemosphere.2018.10.017
- Taniguchi K., Onda Y., Smith H.G. et al. Transport and redistribution of radiocesium in Fukushima fallout through rivers. Environ. Sci. Technol. 2019;53:12339–12347. doi: 10.1021/acs.est.9b02890
- Funaki H., Sakuma K., Nakanishi T. et al. Reservoir sediments as a long-term source of dissolved radiocesium in water system; a mass balance case study of an artificial reservoir in Fukushima, Japan. Sci. Total Environ. 2020;743:140668. https://doi.org/10.1016/j.scitotenv.2020.140668
- Ueda S., Hasegawa H., Ohtsuka Y. et al. Ten-year radiocesium fluvial discharge patterns from watersheds contaminated by the Fukushima nuclear power plant accident. J. Environ. Radioact. 2021;240:106759. https://doi.org/10.1016/j.jenvrad.2021.106759
- Igarashi Y., Nanba K., Wada T. et al. Factors Controlling the Dissolved Seasonal Fluctuations in the Abukuma River Under the Influence of the Fukushima Nuclear Power Plant Accident. J. Geophys. Res. Biogeosciences 2022;127(1):1-16. https://doi.org/10.1029/2021JG006591
- Nakao A., Ogasawara S, Sano O. et al. Radiocesium sorption in relation to clay mineralogy of paddy soils in Fukushima, Japan. Sci. Total Environ. 2014;468–469:523–529. https://doi.org/10.1016/j.scitotenv.2013.08.062
- Hirose K., Aoyama M., Sugimura Y. Plutonium and cesium isotopes in river water in Japan. J. Radioanal. Nuclear Chem. 1990;141(1):191-202.
- Matsunaga T., Amano H., Yanase N. Discharge of dissolved and particulate in the Kuji River, Japan. App. Geochem. 1991;6: 159-167.
- Takata H., Wada T., Aono T. et al. Factors controlling dissolved activities in coastal waters on the eastern and western sides of Honshu, Japan. Sci. Total Environ. 2022;806:151216. https://doi.org/10.1016/j.scitotenv.2021.151216
- Kusakabe M., Takata H. Temporal trends of concentration in seawaters and bottom sediments in coastal waters around Japan: implications for the concept in the dynamic marine environment. J. Radioanal. Nuclear Chem. 2020;323:567–580. https://doi.org/10.1007/s10967-019-06958-z
- Konoplev A. Radioecology after Fukushima: lessons learned and challenges for the future. Proceedings of the Annual Symposium of the IER, Fukushima University, 14 February 2023, Fukushima. 2023. P. 20.
- Aoyama M., Hamajima Y., Inomata Y. et al. Radiocaesium derived from the TEPCO Fukushima accident in the North Pacific Ocean: Surface transport processes until 2017. J. Environ. Radioact. 2018;189:93–102. https://doi.org/10.1016/j.jenvrad.2018.03.014
- Takata H., Wakiyama Y., Niida T. et al. Importance of desorption process from Abukuma River’s suspended particles in increasing dissolved in coastal water during river-flood caused by typhoons. Chemosphere. 2021;281:130751. https://doi.org/10.1016/j.chemosphere.2021.130751
- Okumura T., Yamaguchi N., Dohi T. et al. Dissolution behavior of radiocesium-bearing microparticles released from the Fukushima nuclear plant. Sci. Rep. 2019;9:3520. https://doi.org/10.1038/s41598-019-40423-x
- Коноплев А.В., Булгаков А.А. Кинетика выщелачивания из топливных частиц в почвах ближней зоны Чернобыльской атомной электростанции. Атомная энергия. 1999. Т. 86. № 2. С. 129-134. [Konoplev A.V., Bulgakov A.A. Kinetics of leaching from fuel particles in soil in the near zone of the Chernobyl nuclear power plant. Atomic Energy. 1999;86(2):136-141. (In Russ.)]
- Konoplev A.V., Bulgakov A.A., Popov V.E. et al. Long-term investigation of fixation by soils. Radiat. Prot. Dosim. 1996;64(1-2):15-18.
- Konoplev A., Wakiyama Y., Wada T. et al. Radiocesium distribution and mid-term dynamics in the ponds of the Fukushima Dai-ichi nuclear power plant exclusion zone. Chemosphere. 2021;265:129058. https://doi.org/10.1016/j.chemosphere.2020.129058
- Applicability of Monitored Natural Attenuation at Radioactively Contaminated Sites. Technical Reports Series No. 445. Vienna: IAEA; 2006. 105 p.
- Коноплев А.В., Голосов В.Н., Йощенко В.И., и др. Вертикальное распределение радиоцезия в почвах зоны аварии на АЭС Фукусима-1. Почвоведение. 2016. № 5. С. 620-632. doi: 10.7868/S0032180X16050099. [Konoplev A.V., Golosov V.N., Yoschenko V.I. et al. Vertical distribution of radiocesium in soils of the area affected by the Fukushima Dai-ichi nuclear power plant accident. Eurasian Soil Science. 2016;49(5):570-580. (In Russ). https://doi.org/10.1134/S1064229316050082
- Mishra S., Sahoo S., Bossew P. et al. Vertical migration of radio-cesium derived from the Fukushima Dai-ichi Nuclear Power Plant accident in undisturbed soils of grassland and forest. J. Geochem. Exploration. 2016;169:163-186. https://doi.org/10.1016/j.gexplo.2016.07.023
- Takahashi J., Onda Y., Hihara D., Tamura K. Six-year monitoring of the vertical distribution of radiocesium in three forest soils after the Fukushima Dai-ichi Nuclear Power Plant accident. J. Environ. Radioact. 2019;210:105811. https://doi.org/10.1016/j.jenvrad.2018.09.009
- Sakashita W., Miura S., Akama A. et al. Assessment of vertical radiocesium transfer in soil via roots. J. Environ. Radioact. 2020;222:106369. https://doi.org/10.1016/j.jenvrad.2020.106369
- Nanba K., Moritaka S., Igarashi S. Dynamics of radiocesium in urban river in Fukushima-city. In: Nanba K., Konoplev A., Wada T. (eds). Behavior of Radionuclides in the Environment III: Fukushima. SPRINGER Nature, Singapore; 2022. P. 137-152. https://doi.org/10.1007/978-981-16-6799-2_8
- Коноплев А.В. Сравнительный анализ смыва радиоцезия с загрязненных водосборов в результате аварии на АЭС Фукусима-1 и Чернобыльской АЭС. Геохимия. 2016. № 6. С. 536-542. doi: 10.7868/S001675251604004X. [Konoplev A. Comparative analysis of radiocesium wash-off from contaminated watersheds as a result of the accidents at Fukushima Dai-ichi and Chernobyl NPPs. Geochem. Int. 2016;54(6):522-528. https://doi.org/10.1134/S0016702916040042 (In Russ.)]
- Laceby J.P., Chartin C., Evrard O. et al. Rainfall erosivity in catchments contaminated with fallout from the Fukushima Daiichi nuclear power plant accident. Hydrol. Earth Syst. Sci. 2016;20:2467-2482. https://doi.org/10.5194/hess-20-2467-2016
- Van Genuchten M.T., Wierenga P.J. Solute Dispersion Coefficients and Retardation Factors. Methods of Soil Analysis. Part 1 Physical and Mineralogical Methods, Madison, Wisconsin USA; 1986. P. 1025–1054
- Булгаков А.А., Коноплев А.В. Моделирование вертикального переноса в почве по корневой системе дерева. Радиац. биология. Радиоэкология. 2002. Т. 42. № 5. С. 556–560. [Bulgakov A.A., Konoplev A.V. Modelirovanie verticalnogo perenosa v pochve po kornevoi systeme dereva. Radiatsionnaya Biologiya. Radioecologiya. 2002;42(5):556-560. (In Russ.)]
- Булгаков А.А., Коноплев А., Шкуратова И.Г. Динамика содержания в поверхностном слое почв 30-километровой зоны Чернобыльской атомной электростанции. Почвоведение. 2000. №9. С. 1149–1152. [Bulgakov A.A., Konoplev A.V., Shkuratova I.G. Dinamika soderzhaniya v poverhnostnom sloe pochv 30-kilometrovoi zony Chernobylskoi atomnoi stantsii. Pochvovedenie. 2000; 6:1149–1152. (In Russ.)]
- Коноплев А.В., Голубенков А.В. Моделирование вертикальной миграции радионуклидов в почве (по результатам ядерной аварии). Метеорология и гидрология. 1991. №10. С. 62-68. [Konoplev AV, Golubenkov AV. Modelirovanie vertikalnoi migratsii radionuklidov v pochve (po resultatamyadernoi avarii). Meteoroloia i gidrologia. 1991;10:62-68. (In Russ.)]
- Abril J.M., Barros H. Modelling the kinetic reactive transport of pollutants at the sediment-water interface. Applications with atmospheric fallout radionuclides. J. Environ. Radioact. 2022;242:106790. https://doi.org/10.1016/j.jenvrad.2021.106790
- Golosov V., Konoplev A., Wakiyama Y. et al. Erosion and redeposition of sediments and sediment-associated radiocesium on river floodplains (the Niida River basin and the Abukuma River as an example). In: Nanba K., Konoplev A., Wada T. (eds) Behavior of Radionuclides in the Environment III: Fukushima. SPRINGER Nature, Singapore: 2022. P. 97–-135. doi: 10.1007/978-981-16-6799-2-7
- Иванов М.М., Гуринов А.Л., Иванова Н.Н. и др. Динамика накопления в донных осадках Щекинского водохранилища за постчернобыльский период. Радиац. биология. Радиоэкология. 2019. Т. 59. № 6. С. 656-668. [Ivanov M.M., Gurinov F.L, Ivanova N.N. et al. Dynamika nakopleniya v donnyh osadkah Schekinskogo vodohranilischa za postchernobylskyi period. Radiatsionnaya Biologiya. Radioekologiya. 2019;59(6);656-668. (In Russ.)]. https://doi.org/10.1134/S0869803119060055
- Konoplev A.V., Ivanov M.M., Golosov V.N., Konstantinov E.A. Reconstruction of long-term dynamics of Chernobyl-derived in the Upa River using bottom sediments in the Schekino reservoir and semi-empirical modelling. Proceedings of International Association of Hydrological Sciences. Moscow; 2019. 381:95-99. https://doi.org/10.5194/piahs-381-95-2019
- Hayashi S., Tsuji H. Role and effect of a dam on migration of radioactive cesium in a river catchment after the Fukushima Daiichi Nuclear Power Plant accident. Global Environ. Res. 2020;24(2):105-113.
- Huon S., Hayashi S., Laceby J.P. et al. Source dynamics of radiocesium-contaminated particulate matter deposited in an agricultural water reservoir after the Fukushima nuclear accident. Sci. Total Environ. 2018;612:1079-1090. https://doi.org/10.1016/j.scitotenv.2017.07.205
- Kurikami H., Kitamura A., Yokuda S.T., Onishi Y. Sediment and behaviors in the Ogaki Dam Reservoir during a heavy rainfall event. J. Environ. Radioact. 2014;137:10-17. https://doi.org/10.1016/j.jenvrad.2014.06.013
- Yamada S., Kitamura A., Kurikami H. et al. Sediment and transport and accumulation in the Ogaki dam of eastern Fukushima. Environ. Res. Lett. 2015;10:1–9. https://doi.org/10.1088/1748-9326/10/1/014013
- Ivanov M.M., Konoplev A.V., Walling D.E. et al. Using reservoir sediment deposits to reconstruct the longer-term fate of Chernobyl-derived fallout in the fluvial system. Environ. Pollut. 2021;274:116588. https://doi.org/10.1016/j.envpol.2021.116588
- Nagao S., Kanamori M., Ochiai S. et al. Dispersion of Cs-134 and Cs-137 in river waters from Fukushima and Gunma prefectures at nine months after the Fukushima Daiichi NPP accident. Progr. Nucl. Sci. Technol. 2014;4:9-13.
- Delmas M., Garcia-Sanchez L., Onda Y. Factors controlling the variability of concentrations in 5 coastal rivers around Fukushima Dai-ichi power plant. J. Environ. Radioact. 2019;204:1-11. https://doi.org/10.1016/j.jenvrad.2019.03.013
- Hayashi S., Tsuji H., Yumiko I. Effects of forest litter on dissolved concentrations in a highly contaminated mountain river in Fukushima. J. Hydrology: Regional Studies. 2022;41:101099. https://doi.org/10.1016/j.ejrh.2022.101099
- Kitamura A., Yamaguchi M., Kurikami H. et al. Predicting sediment and cesium-137 discharge from catchments in eastern Fukushima. Anthropocene. 2014;5:22–31. doi: 10.1016/j.ancene.2014.07.001
- Hilton J. Aquatic radioecology post Chernobyl – a review of the past and look to the future. In Freshwater and Estuarine Radioecology, Desmet G., Blust R.J., Comans R.N.J., Fernandez J.A., Hilton J., De Bettencourt A., Eds. Amsterdam, Netherland: Elsevier, 1997. P. 47–74.
- Monte L. A collective model for predicting the long-term behaviour of radionuclides in rivers. Sci. Total Environ. 1997;201:17-29.
- Smith J.T., Belova N.V., Bulgakov A.A. et al. The “AQUASCOPE” Simplified model for predicting in surface waters after a large-scale radioactive fallout. Health Phys. 2005;89:628-644.
- Коноплев А.В., Канивец В.И., Жукова О.М. и др. Полуэмпирическая модель смыва радионуклидов с загрязненных водосборов и ее проверка на основе данных мониторинга рек Фукусимы и Чернобыля. Геохимия. 2021. Т. 66. № 6. С. 550–561. doi: 10.31857/S0016752521060029 [Konoplev A.V., Kanivets V.I., Zhukova O.M. et al. Semi-empirical diffusional model of radionuclide wash-off from contaminated watersheds and its testing using monitoring data for Fukushima and Chernobyl rivers. Geochemistry International. 2021;59(6):550-561. (In Russ.). https://doi.org/10.1134/S0016702921060021].
- Konoplev A., Kanivets V., Laptev G. et al. Long-term dynamics of the Chernobyl-derived radionuclides in rivers and lakes. In: Konoplev A., Kato K., Kalmykov S. N. (Eds.) Behavior of Radionuclides in the Environment II: Chernobyl. SPRINGER Nature, Singapore; 2020. P. 323–348. https://doi.org/10.1007/978-981-15-3568-0_3
- Hardie S.M.L., McKinley I.G. Fukushima remediation: status and overview of future plans. J. Environ. Radioact. 2014;133:75-85. https://doi.org/10.1016/j.jenvrad.2013.08.002
- Howard B.J., Fesenko S.V., Balonov M. et al. A Comparison of Remediation After The Chernobyl and Fukushima Daiichi Accidents. Radiat. Prot. Dosim. 2016;173(1-3):170-176. https://doi.org/10.1093/rpd/ncw312
- Борзилов В.А., Коноплев А.В., Ревина С.К. и др. Экспериментальное исследование смыва радионуклидов, выпавших на почву в результате аварии на Чернобыльской атомной электростанции. Метеорология и гидрология. 1988. № 11. С. 43-53. [Borzilov V.A., Konoplev A.V., Revina S.K. et al. Experimentalnoe issledovanie smyva radionuklidov, vypavshih na pochvu v rezultate avarii na Chernobylskoi atomnoi stantsii. Meteorologia i gidrologia. 1988;11:43-53. (In Russ.)]
- Борзилов В.А., Седунов Ю.С., Новицкий М.А. и др. Физико-математическое моделирование процессов, определяющих смыв долгоживущих радионуклидов с водосборов тридцатикилометровой зоны Чернобыльской АЭС. Метеорология и гидрология. 1989. № 1. C. 5-13. [Borzilov V.A., Sedunov Y.S., Novitsky M.A. et al. Fiziko-matematicheskoe modelirovanie processov, opredelyayuschih smyv dolgozhivuschih radionuklidov c vodosborov tridzatikilometrovoi zony Chernobylskoi AES. Meteorologia i gidrologia. 1989;1:5-13. (In Russ.)]
- Tsuji H., Nishikiori T., Yasutaka T. et al. Behavior of dissolved radiocesium in river water in a forested watershed in Fukushima Prefecture. J. Geophys. Res.: Biogeosci. 2016;121(10):2588–2599. https://doi.org/10.1002/2016JG003428
- Matsuzaki S., Tanaka A., Kohzu A. et al. Seasonal dynamics of the activities of dissolved and the of fish in a shallow, hypereutrophic lake: Links to bottom-water oxygen concentrations. Sci. Total Environ. 2021;761:143257. https://doi.org/10.1016/j.scitotenv.2020.143257
- Funaki H., Tsuji H., Nakanishi N. et al. Remobilisation of radiocaesium from bottom sediments to water column in reservoirs in Fukushima, Japan. Sci. Total Environ. 2022;812:152534. https://doi.org/10.1016/j.scitotenv.2021.152534
- Коноплев А.В., Вакияма Й., Вада Т. и др. Трансформация форм нахождения радиоцезия в прудах ближней зоны АЭС Фукусима-1 и динамика его распределения в системе почва-вода. Метеорология и гидрология. 2021. № 5. С. 38-45. [Konoplev A.V., Wakiyama Y., Wada T. et al. Transformation of radiocesium speciation in ponds at the vicinity of Fukushima Dai-ichi nuclear power plant and dynamics of its distribution in sediment-water system. Russian Meteorology and Hydrology. 2021;46(5):312-318. https://doi.org/10.3103/S1068373921040051].
- Tsuji H., Funaki H., Watanabe M., Hayashi S. Effects of temperature and oxygen on desorption from bottom sediment of a dam lake. Appl. Goechem. 2022;140:105303. https://doi.org/10.1016/j.apgeochem.2022.105303
- Liu C., Zachara J.M., Qafoku O., Smith S. Effect of temperature on sorption and desorption in subsurface sediments at the Hanford Site, USA. Environ. Sci. Technol. 2003;37:2640–2645. https://doi.org/10.1021/es026221h
- Семенов Н.Н. О некоторых проблемах химической кинетики и реакционной способности. М.: Изд-во АН СССР, 1954. 350 с. [Semenov N.N. Some Problems in Chemical Kinetics and Reactivity. Princeton, NJ (USA): Princeton University Press; 1958. 254 p. (In Russ.)]
- Laidler K. J. Chemical Kinetics. 3rd Ed. Harper & Row; 1987. 531 p.
- Konoplev A.V., Kaminski S., Klemt E. et al. Comparative study of partitioning between solid and liquid phases in Lakes Constance, Lugano and Vorsee. J. Environ. Radioact. 2002;58:1-11.
- Kanivets V., Laptev G., Konoplev A. et al. Distribution and dynamics of radionuclides in the Chernobyl cooling pond. In: Konoplev A., Kato K., Kalmykov S. N. (Eds.) Behavior of Radionuclides in the Environment II: Chernobyl. SPRINGER Nature, Singapore; 2020. P. 349–405. https://doi.org/10.1007/978-981-15-356-0_8
- Ries T., Putyrskaya V., Klemt E. Long-term distribution and migration of in a small lake ecosystem with organic rich catchment: A caser study of Lake Vorsee (Southern Germany). J. Environ. Radioact. 2019;198:89-103. https://doi.org/10.1016/j.jenvrad.2018.12.017.
- Wauters J., Madruga M.J., Vidal M., Cremers A. Solid phase speciation of radiocesium in bottom sediments. Sci. Total Environ. 1996;187:121–130.
- Wauters J., Elsen A., Cremers A. et al. Prediction of solid/liquid distribution coefficients of radiocesium in soils and sediments. Part one: A simplified procedure for the solid phase characterization. Appl. Geochem. 1996;11:589–594.
Supplementary files







