Radionuclide Content in Needles of Pinus sylvestris L. in Conditions of the Karachay-Cherkessia Republic (Western Caucasus)
- Authors: Mollaeva M.Z.1, Tembotova F.A.1, Gangapshev A.M.2, Kazalov V.V.2, Gezhaev A.M.2
-
Affiliations:
- Tembotov Institute of Ecology of Mountain Territories of Russian Academy of Sciences
- Institute of Nuclear Research of the Russian Academy of Sciences
- Issue: Vol 63, No 4 (2023)
- Pages: 403-410
- Section: Radionuclide
- URL: https://journals.rcsi.science/0869-8031/article/view/137696
- DOI: https://doi.org/10.31857/S0869803123040069
- EDN: https://elibrary.ru/OSCLJW
- ID: 137696
Cite item
Full Text
Abstract
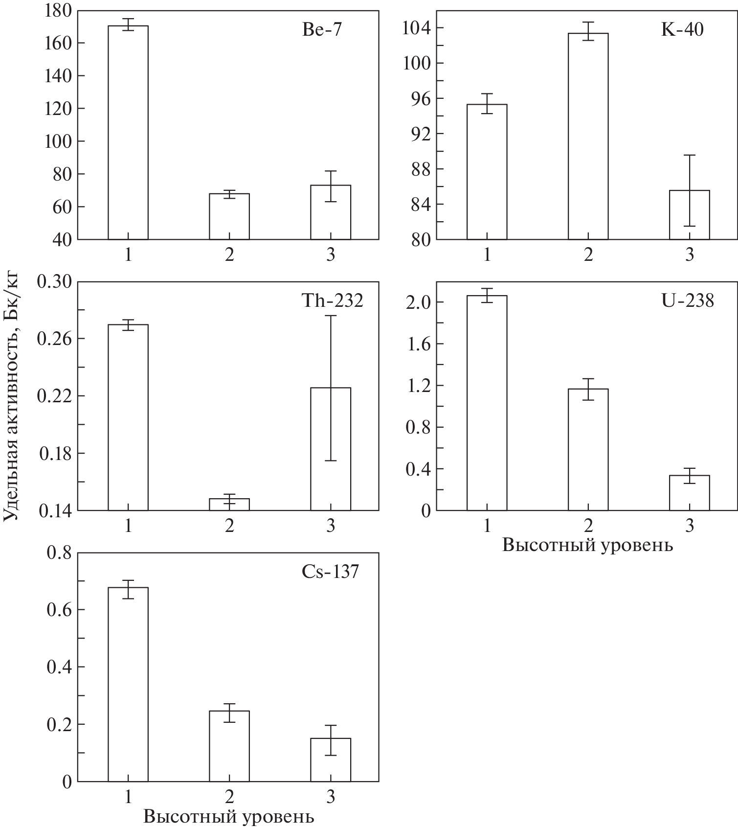
This study presents original data on the content of radionuclides of natural (cosmogenic and terrorogenic) and man-made origin in the assimilation apparatus of Scots pine (Pinus sylvestris L), which grows in the Western Caucasus (within the Karachay-Cherkessia Republic). The content of radioisotopes of beryllium (7 Be), potassium (40K), thorium (232Th), uranium (238U) and cesium (137Cs) was revealed in pine needles. Close correlation of radionuclide content in pine needles samples 7Be, 238U, 137Cs with the height of growing places was revealed.
Keywords
About the authors
M. Z. Mollaeva
Tembotov Institute of Ecology of Mountain Territories of Russian Academy of Sciences
Author for correspondence.
Email: monika.011@yandex.ru
Russia, Nalchik
F. A. Tembotova
Tembotov Institute of Ecology of Mountain Territories of Russian Academy of Sciences
Email: monika.011@yandex.ru
Russia, Nalchik
A. M. Gangapshev
Institute of Nuclear Research of the Russian Academy of Sciences
Email: monika.011@yandex.ru
Russia, Moscow
V. V. Kazalov
Institute of Nuclear Research of the Russian Academy of Sciences
Email: monika.011@yandex.ru
Russia, Moscow
A. M. Gezhaev
Institute of Nuclear Research of the Russian Academy of Sciences
Email: monika.011@yandex.ru
Russia, Moscow
References
- Крючков В.В., Сыроид Н.А. Северотаежные биогеоценозы в условиях аэротехногенного воздействия. Общие проблемы биогеоценологии. М.: АН СССР, 1986. С. 13–15. [Kryuchkov V.V., Syroid N.A. Severotaezhnye biogeocenozy v usloviyah aerotekhnogennogo vozdejstviya. Obshchie problemy biogeocenologii. M.: AN SSSR, 1986. s. 13–15. (In Russ.)]
- Козубов Г.М., Таскаев А.И., Ладанова Н.В. Радиобиологические исследования сосновых лесов в районе аварии на Чернобыльской АЭС. Сыктывкар: Коми НЦ УрО АН СССР, 1987. 52 с. [Kozubov G.M., Taskaev A.I., Ladanova N.V. Radiobiologi-cheskie issledovaniya sosnovyh lesov v rajone avarii na CHernobyl’skoj AES. Syktyvkar: Komi NC UrO AN SSSR, 1987. 52 s] (In Russ.)
- Мельник Н.А., Кизеев А.Н. Радиоэкологические исследования хвойных пород деревьев // Вестник МГТУ. 2006. Т. 9. № 3. С. 429–433. [Mel’nik N.A., Kizeev A.N. Radioekologicheskie issledovaniya hvojnyh porod derev’ev // Vestnik MGTU. 2006. Т. 9. № 3. S. 429–433. (In Russ.)]
- Sparrow A.H., Woodwell G.M. Prediction of the sensitivity of plants to chronic gamma irradiation // Radiat. Botany. 1962. V. 2. P. 9–26.
- Кальченко В.А., Спирин Д.А Генетические эффекты в популяциях сосны обыкновенной, произрастающих в условиях хронического облучения малыми дозами // Генетика. 1989. Т. 25. № 6. С. 1059–1064. [Kal’chenko V.A., Spirin D.A Geneticheskie effekty v populyaciyah sosny obyknovennoj, proizrastayushchih v usloviyah hronicheskogo oblucheniya malymi dozami // Genetika. 1989. Т. 25. № 6. S. 1059–1064. (In Russ.)]
- Кальченко В.А., Абрамов В.И., Рубанович А.В., Шевченко В.А. Цитогенетические эффекты в популяциях растений, произрастающих на Восточно-Уральском радиоактивном следе // Радиац. биология. Радиоэкология. 2002. Т. 42. № 6. С. 745–749. [Kal’chenko V.A., Abramov V.I., Rubanovich A.V., Shevchenko V.A. Cytogenetic effects in plant population from the east Ural radioactive track // Radiation biology. Radioecology. 2002. V. 42. № 6. P. 745–749. (In Russ.)]
- Козубов Г.М., Таскаев А.И. Радиобиологические исследования хвойных в районе Чернобыльской катастрофы. М.: НПЦ “Дизайн. Информация. Картография”, 2002. 256 с. [Kozubov G.M., Taskaev A.I. Radiobiologicheskie issledovaniya hvojnyh v rajone CHernobyl’skoj katastrofy. M.: NPC “Dizajn. Informaciya. Kartografiya”, 2002. 256 s. (In Russ.)]
- Макаренко Е.С., Удалова А.А., Гераськин С.А. Морфометрические показатели хвои сосны обыкновенной в условиях хронического радиационного воздействия // Лесоведение. 2016. № 5. С. 355–364. [Makarenko E.S., Oudalova A.A., Geras’kin S.A. Morphometric indices of Scots pine needle under chronic radiation exposure // Contemporary Problems of Eco-logy. 2017. V. 10. № 7. С. 761–769. (In Russ.)]
- Макаренко Е.С. Исследование морфологических параметров и генетического полиморфизма в природных популяциях сосны обыкновенной в условиях хронического радиационного воздействия: Автореф. Дис. … канд. биол. наук. Обнинск, 2018. 25 с. [Makarenko E.S. Issledovanie morfologicheskih parametrov i geneticheskogo polimorfizma v prirodnyh populyaciyah sosny obyknovennoj v usloviyah hroni-cheskogo radiacionnogo vozdejstviya. Avtoref. disser-tacii kandidata biologicheskih nauk special’nost' “Radiobiologiya”, Obninsk, 2018. 25 s. (In Russ.)]
- Ананян В.Л. К вопросу о естественной радиоактивности почв Армении // Микроэлементы и естественная радиоактивность почв. Ростов-на-Дону, 1962. С. 56–63. [Ananyan V.L. K voprosu o estestvennoj radioaktivnosti pochv Armenii // Mikroelementy i estestvennaya radioaktivnost' pochv. Rostov-na-Donu. 1962. S. 56–63. (In Russ.)]
- Брендаков В.Ф., Иохельсон С.Б., Чуркин В.Н. Содержание радия, тория и калия в верхнем слое почв Кавказа // Почвоведение. 1967. № 1. С. 41–47. [Brendakov V.F., Iohel’son S.B., CHurkin V.N. Soderzhanie radiya, toriya i kaliya v verhnem sloe pochv Kavkaza // Pochvovedenie. 1967. № 1. S. 41–47. (In Russ.)]
- Асварова Т.А. Содержание урана и тория в доминирующих видах растений Центрального Кавказа // Юг России: экология, развитие. 2008. № 2. С. 39–44. [Asvarova T.A. The contents of uranium and thorium in the dominating kinds of plants of the Сentral Сaucasus // South of Russia: Ecology, Development Journal. 2008. № 2. P. 39–44. (In Russ.)]
- Асварова Т.А., Абдулаева А.С., Магомедов М.А. Естественные радионуклиды в породах и почвах высокогорных районов Большого Кавказа // Почвоведение. 2012. № 6. С. 695–707. [Asvarova T.A., Abdulaeva A.S., Magomedov M.A. Natural radionuclides in rocks and soils of the high-mountain regions of the Great Caucasus Eurasian // Soil Sci. 2012. V. 45. № 6. P. 625–637. (In Russ.)]
- Helmisaari H.-S. Spatial and age-related variation in nutrient concentrations of Pinus sylvestris needles // Silva Fennica. 1992. V. 26. № 3. P. 145–153.
- Мельник Н.А. Радиационный мониторинг естественных радионуклидов в северных широтах. Север-2003: проблемы и решения. Апатиты: Изд-во КНЦ РАН, 2004. С. 77–89. [Mel’nik N.A. Radiacionnyj monitoring estestvennyh radionuklidov v severnyh shirotah. Sever-2003: problemy i resheniya. Apatity: Izd-vo KNC RAN, 2004. S. 77–89, (In Russ.)]
- Темботова Ф.А., Гангапшев А.М., Моллаева М.З., Казалов В.В. Предварительные результаты радиоэкологических исследований хвойных пород на примере сосны обыкновенной // VIII науч.-практ. конф. “Горные экосистемы и их компоненты”. Нальчик, 2021. С. 55–56. [Tembotova F.A., Gangapshev A.M., Mollaeva M.Z., Kazalov V.V. Predvaritel’nye rezul’taty radioekologicheskih issledovanij hvojnyh porod na primere sosny obyknovennoj // Mat. Konf. “Gornye ekosistemy i ih komponenty”. Nal’chik, 2021. S. 55–56. (In Russ.)]
- Audi G., Wapstra A.H., Thibault C. The AME2003 atomic mass evaluation (II). Tables, graphs, and refe-rences // Nucl. Phys. A. 2003. V. 729. P. 337–676.
- Бураева Е.А., Малышевский В.С., Ратушный В.И. Космогенный бериллий-7 в земной атмосфере // Глобальная ядерная безопасность. 2020. № 4. (37). С. 17–29. [Buraeva E.A., Malyshevskij V.S., Ratushnyj V.I. Kosmogennyj berillij-7 v zemnoj atmosphere // Glo-bal’naya yadernaya bezopasnost’. 2020. № 4 (37). S. 17–29. (In Russ.)]
- Zhang F., Yang M., Zhang B. Activity concentration of beryllium-7 in plants on a loess plateau, China // J. Radioanal. Nucl. Chem. 2011. V. 289. P. 353–359. https://doi.org/10.1007/s10967-011-1078-y
- Кизеев А.Н., Жиров В.К., Никанов А.Н. Влияние промышленных эмиссий предприятий Кольского полуострова на ассимиляционный аппарат сосны // Экология человека. 2009. № 1. С. 9–13. [Kizeev A.N., Zhirov V.K., Nikanov A.N. Vliyanie promyshlennyh emissij predpriyatij Kol’skogo poluostrova na assimilyacionnyj apparat sosny // Ekologiya cheloveka. 2009. № 1. S. 9–13. (In Russ.)]
- Pöschl M., Brunclík T., Hanák J. Seasonal and inter-annual variation of Beryllium-7 deposition in birch-tree leaves and grass in the northeast upland area of the Czech Republic // J. Environ. Radioact. 2010. V. 101. P. 744–750.
- Li X., Zhang F., He Y., Delang C.O., Yang M. Variations of 7Be concentration in plants and significance for 7Be in soil on the Loess Plateau China: Based on three-year monitoring data// Plant Soil. 2022. P. 725–741.
- Куртмулаева В.Э., Карпенко Е.И., Нуштаев С.Н. Результаты комплексного радиоэкологического обследования региона размещения Ленинградской АЭС // IV науч.-практ. конф. “Экологическая и радиационная безопасность объектов атомной энергетики”. Калининград, 2017. С. 149–151. [Kurtmulaeva V.E., Karpenko E.I., Nushtaev S.N. Rezul’taty kompleksnogo radioekologicheskogo obsledovaniya regiona razmeshcheniya Leningradskoj AES // IV nauchno-prakt. konf. “Ekologicheskaya i radiacionnaya bezopasnost' ob"ektov atomnoj energetiki”. Kaliningrad, 2017. S. 149–151(In Russ.)]
- Abakumov E., Gangapshev A, Tembotov R., Gezhaev A. Radionuclide activity in cryoconite from glaciers of the Central Caucasus, Russia // Solid Earth Sciences. 2022. V. 7. № 4. P. 268–275. .https://doi.org/10.1016/j.sesci.2022.08.001
Supplementary files







