137Cs Pollution in Soils and Plants of Urban Ecosystems Near the Elektrostal Heavy Machinery Plant
- Authors: 1, 1, 1, 1, 1
-
Affiliations:
- Московский государственный университет им. М.В. Ломоносова, Факультет почвоведения
- Issue: Vol 63, No 2 (2023)
- Pages: 186-198
- Section: Radionuclide
- URL: https://journals.rcsi.science/0869-8031/article/view/137675
- DOI: https://doi.org/10.31857/S0869803123020066
- EDN: https://elibrary.ru/EOYBRP
- ID: 137675
Cite item
Full Text
Abstract
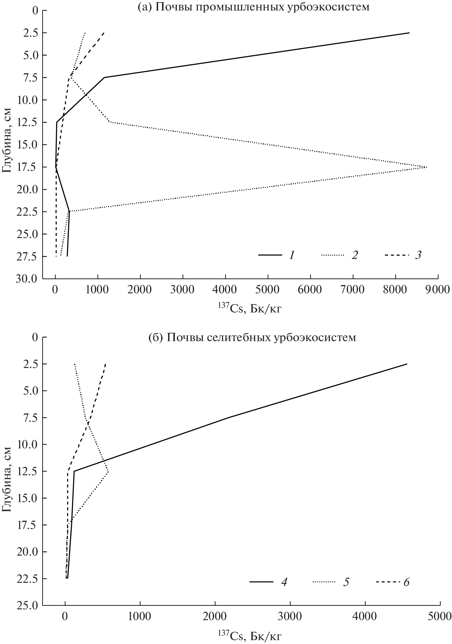
In urban ecosystems to the west of the Elektrostal Heavy Machinery Plant, 6 years after the radiation incident, local areas with a total area of 0.2 km2 with an increased equivalent dose rate of γ radiation of 0.15–0.40 μSv/hour and a high specific activity of 137Cs reaching 8328–8740 Bq/kg in the upper soil horizons were identified. Statistically significant direct correlations were noted between the specific activity of 137Cs in a layer of 0–10 cm of soil and the equivalent dose rate of γ radiation at the surface and height of 1 meter. The types of vertical distribution of 137Cs in soils of polluted urban ecosystems, including those on which earth decontamination works were carried out, have been determined. The calculated 137Cs transfer coefficients increase in row of tree: Salix alba < Sórbus aucupária < Ácer platanoídes < Malus domestica < Alnus incana < Ácer negúndo; and grassy vegetation: Týpha angustifólia < Artemísia vulgáris < Tussilágo fárfara < Cirsium arvense < Urtíca dióica.
About the authors
Московский государственный университет им. М.В. Ломоносова, Факультет почвоведения
Author for correspondence.
Email: dlip@soil.msu.ru
Россия, Москва
Московский государственный университет им. М.В. Ломоносова, Факультет почвоведения
Email: dlip@soil.msu.ru
Россия, Москва
Московский государственный университет им. М.В. Ломоносова, Факультет почвоведения
Email: dlip@soil.msu.ru
Россия, Москва
Московский государственный университет им. М.В. Ломоносова, Факультет почвоведения
Email: dlip@soil.msu.ru
Россия, Москва
Московский государственный университет им. М.В. Ломоносова, Факультет почвоведения
Email: dlip@soil.msu.ru
Россия, Москва
References
- Пути миграции искусственных радионуклидов в окружающей среде: Пер. с англ. / Под ред. Ф. Уорнера, Р. Харрисона. М.: Мир, 1999. 512 с. [Biogeochemical pathways of artificial radionuclides / Eds F. Warner, R. Harrison. M.: Mir, 1999. 512 p. (In Russ.)]
- Сапожников Ю.А., Алиев Р.А., Калмыков С.Н. Радиоактивность окружающей среды. Теория и практика. М.: БИНОМ. Лаборатория знаний, 2006. 286 c. [Sapozhnikov Yu.A., Aliev R.A., Kalmykov S.N. Radioactivity of the environment. Theory and practice. 2006. M.: BINOM, Laboratoriya znanii. 286 p. (In Russ.)]
- Гащак С.П., Бондарьков М.Д., Иванов Ю.А. и др. Радиоэкология урбанизированного ландшафта на примере г. Припять // Проблемы Чернобыльской зоны отчуждения. 2009. № 9. С. 40–56. [Gashchak S.P., Bondarkov M.D., Ivanov Yu.A. et al. Radioecology of urbanized landscape on the example of Pripyat // Problems of the Chernobyl exclusion zone. 2009. № 9. P. 40–56 (In Ukr.)]
- Tsuboi T., Wada H., Yanaga M. Distribution of 134Cs and 137Cs radioactivity of surface soil originated in the Fukushima Dai-ichi nuclear power plant accident at Shizuoka city, Japan // Radiat. Safety Managem. 2012. V. 11. № 1. P. 11–18. [https://doi.org/10.12950/rsm.11.11]
- The Radiological Accident in Goiania. STI/PUB/815. Vienna: IAEA, 1988. 157 p.
- Волков В.Г., Волкович А.Г., Данилович А.С. и др. Подготовка объектов Подольского завода цветных металлов к реабилитации // Атомная энергия. 2010. Т. 109. № 2. С. 89–94. [Volkov V.G., Volkovich A.G., Danilovich A.S. et al. Preparation of objects at the Podolsk nonferrous metals works for rehabilitation // Atomic Energy. 2010. V. 109. № 2. P. 113–120. (In Russ.)] https://doi.org/10.1007/s10512-010-9332-x
- Бондарьков М.Д. Научное обоснование и оптимизация методов обеспечения радиоэкологического мониторинга окружающей среды и контроля РАО АЭС: Автореф. дис. … д-pa техн. наук. Киев, 2012. 50 с. [Bondarkov M.D. Scientific substantiation and optimization of methods for ensuring radioecological monitoring of the environment and control of radioactive waste of nuclear power plan: Abstr. Diss. doct. techn. sci. Kiev, 2012. 50 p. (In Ukr.)]
- Hohara S., Inagaki M., Yamanishi H. et al. Survey of radioactive contamination in Fukushima Naka-Dori region, Fukushima, Japan // Progr. Nucl. Sci. Technol. 2014. V. 4. P. 39–42. https://doi.org/10.15669/pnst.4.39
- Иванов Ю.А., Бондарьков М.Д. Нерешенные радиоэкологические проблемы зоны отчуждения Чернобыльской АЭС на поздней фазе аварии // Радиац. биология. Радиоэкология. 2009. № 3. С. 302–310. [Ivanov Yu.A., Bondarkov M.D. Unsolved radioecological problems of Chernobyl NPP exclusion zone at late phase of the accident // Radiatsionnaya Biolo-giya. Radioekologiya. 2009. № 3. P. 302–310 (In Russ.)]
- Decontamination Projects for Radioactive Contamination Discharged by Tokyo Electric Power Company Fukushima Daiichi Nuclear Power Station Accident. Japan, Tokyo: Ministry of the Environment, 2018. 461 p.
- Селезнев А.А. Поверхностная локальная миграция 137Cs в условиях экосистемы города // Вопр. радиац. безопасности. 2009. № 3. С. 70–76. [Seleznev A.A. Surface local migration of 137Cs in the conditions of the ecosystem city // Radiation safety issues. 2009. № 3. P. 70–76. (In Russ.)]
- Tserendorj D., Szabó K.Z.S., Völgyesi P.V. et al. Compa-rative study of Cs-137 activity concentration between attic dust and urban soil from Salgotarjan city, Hungary. EGU General Assembly 2021, online, 19–30 Apr 2021, EGU21-16233. https://doi.org/10.5194/egusphere-egu21-16233
- Лощилов Н.А., Кашпаров В.А., Процак В.П. Влияние вторичного пылепереноса радиоактивных веществ на загрязнение населенных пунктов в зоне Чернобыльской аварии // Гигиена и санитария. 1993. № 5. C. 39–41. [Loshilov N.A., Kashparov V.A., Protsak V.P. The influence of secondary dust transfer of radioactive substances on the pollution of settlements in the Chernobyl accident zone // Gigiena i sanitariya. 1993. № 5. P. 39–41. (In Russ.)]
- Тимофеев И.В., Кузьменкова Н.В. Пространственное распределение 137Cs в почвах г. Озерск (Челябинская область) // Вестн. Моск. Ун-та. Сер. 5. География. 2013. № 6. С. 23–29. [Timofeyev I.V., Kuz’menkova N.V. Spatial distribution of 137Cs in the soils of Ozersk (Chelyabinsk region) // Bulletin of Moscow University. Series 5. Geography. 2013. № 6. P. 23–29 (In Russ.)]
- Радиационная обстановка на территории России и сопредельных государств в 2018 году. Ежегодник. Обнинск: ФГБУ “НПО “Тайфун”. Росгидромет, 2019. 324 с. [Radiation situation in Russia and neighboring countries in 2018. Yearbook.) Obninsk: FGBU “NPO “Tajfun”. Rosgidromet, 2019. 360 p. (In Russ.)]
- Липатов Д.Н., Манахов Д.В., Мамихин С.В., Агапкина Г.И. Распределение естественных радионуклидов и 137Cs в профилях почв лесных, агро- и урбоэкосистем Московской области // Радиац. биология. Радиоэкология. 2020. Т. 60. № 4. С. 426–438. [Lipatov D.N., Manakhov D.V., Mamikhin S.V., Agapkina G.I. Distribution of natural radionuclides and 137Cs in soil profiles of forest, agricultural and urban ecosystems of the Moscow Region // Radiatsionnaya Biolo-giya. Radioekologiya. 2020. V. 60. № 4. P. 426–438 (In Russ.)]
- Петрова Т.Б. Особенности формирования радиационного фона г. Москвы, обусловленного гамма излучающими радионуклидами природного и техногенного происхождения: Автореф. дис. … канд. техн. наук. М.: ФМБЦ им. А.И. Бурназяна, 2011. 32 с. [Petrova T.B. Features of the formation of the radiation background of Moscow caused by gamma-emitting radionuclides of natural and man-made origin: Abstr. Diss. … kand. techn. sci. Moscow: FMBC named after A.I. Burnazyan, 2011. 32 p. (In Russ.)]
- Романович И.К., Брук Г.Я., Громов А.В., Рамзаев В.П. Радиационная обстановка на Электростальском заводе тяжелого машиностроения и прилегающей территории г. Электросталь, связанная с расплавлением радионуклидного источника // Актуальные вопросы радиационной гигиены: Сб. тез. конф. СПб., 2014. С. 165–167. [Romanovich I.K., Brook G.Ya., Gromov A.V., Ramzaev V.P. Radiation situation at the Elektrostal heavy Engineering plant and the adjacent territory of Elektrostal associated with the melting of a radionuclide source // Topical issues of radiation hygiene: Coll. of conference abstracts. St. Petersburg, 2014. P. 165–167. (In Russ.)]
- Информационно-аналитический сайт AtomInfo.Ru (Электронный ресурс). Ликвидацию последствий радиоактивного излучения завершили на заводе в Подмосковье. URL: http://atominfo.ru/ newse/l0199.htm (дата обращения 5.07. 2022) [Information and analytical website AtomInfo.Ru (Electro-nic resource). The elimination of the consequences of radioactive radiation was completed at a plant in the Moscow region. URL: http://atominfo.ru/newse/ l0199.htm (accessed 5.07. 2022) (In Russ.)]
- Шишов Л.Л., Тонконогов В.Д., Лебедева И.И., Герасимова М.И. Классификация и диагностика почв России. Смоленск: Ойкумена. 2004. 342 с. [Shishov L.L., Tonkonogov V.D., Lebedeva I.I., Gerasimova M.I. Classification and Diagnostic System of Russian Soils. 2004. Smolensk: Oikumena, 342 p. ((In Russ.)]
- Yoshihara T., Matsumura H., Hashida S., Nagaoka T. Radiocesium contaminations of 20 wood species and the corresponding gamma-ray dose rates around the canopies at 5 months after the Fukushima nuclear po-wer plant accident // J. Environ. Radioact. 2013. V. 115. P. 60–68. https://doi.org/10.1016/j.jenvrad.2012.07.002
- Щеглов А.И. Биогеохимия техногенных радионуклидов в лесных экосистемах. М.: Наука, 1999. 268 с. [Shcheglov A.I. Biogeochemistry of technogenic radionuclides in forest ecosystems. Moscow: Nauka, 1999. 268 p. (In Russ.)]
- Переволоцкий А.Н. Распределение 137Cs и 90Sr в лесных биогеоценозах. Гомель: РНИУП “Институт радиологии”, 2006. 255 с. [Perevolotsky A.N. Distribution of 137Cs and 90Sr in forest biogeocenoses. Gomel: RNRIUP “Institute of Radiology”, 2006. 255 p. (In Belarus)]
- Дьякова Н.А., Сливкин А.И., Гапонов С.П. Изучение радионуклидного загрязнения лекарственного сырья Воронежской области на примере листьев подорожника большого и листьев крапивы двудомной // Вестн. ВГУ. Серия: Химия, Биология, Фармация. 2017. № 2. С. 118–123. [Dyakova N.A., Slivkin A.I., Gaponov S.P. Study of radionuclide contamination of medicinal raw materials of the Voronezh region on the example of the leaves of plantain large and leaves of nettle dioecious // Bulletin of VSU. Series: Chemistry, Biology, Pharmacy. 2017. № 2. P. 118–123. (In Russ.)]
- Цветнова О.Б., Щеглов А.И. 137Cs в компонентах природных комплексов 30-километровой зоны Смоленской АЭС // Вестн. Моск. Ун-та. Серия 17. Почвоведение. 2009. № 3. С. 3–8. [Tsvetnova O.B., Shcheglov A.I. 137Cs in natural ecosystem components within the 30-km impact zone of the Smolensk nuclear power plant // Moscow University Soil Science Bulletin. 2009. V. 64. № 3. P. 99–104 (In Russ.)]
Supplementary files





