Математическое моделирование формирования избытков 234U в подземных водах
- Авторы: Токарев И.В.1
-
Учреждения:
- Научный парк Санкт-Петербургского государственного университета
- Выпуск: № 1 (2024)
- Страницы: 13-22
- Раздел: МОДЕЛИ В ИНЖЕНЕРНОЙ ГЕОЛОГИИ И ГИДРОГЕОЛОГИИ
- URL: https://journals.rcsi.science/0869-7809/article/view/260036
- DOI: https://doi.org/10.31857/S0869780924010023
- EDN: https://elibrary.ru/GOXBFD
- ID: 260036
Цитировать
Полный текст
Аннотация
Избытки урана-234 в природных водах коррелируют с глобальными климатическими вариациями, увеличиваясь в теплые и уменьшаясь в холодные эпохи. В подземных водах обнаруживаются ураганные отношения 234U/238U >> 10 (при равновесной величине равной 1 по активностям). На базе математических моделей показано, что такие аномалии являются результатом длительного в геологическом плане пребывания водоносных горизонтов в мерзлом состоянии в прошлом и их последующего таяния с образованием “возрожденных” вод. Решающий вклад в механизм формирования ураганных избытков 234U вносит присутствие незамерзающей пленочной влаги в составе многолетнемерзлых горных пород.
Ключевые слова
Полный текст
ВВЕДЕНИЕ
Голоценовое потепление ведет к деградации евразийского пятна мерзлоты [8]. Уменьшение площади, занятой многолетнемерзлыми горными породами (ММГП), будет продолжаться в будущем, даже при сохранении нынешних климатических параметров неизменными [30]. Количественные характеристики процесса таяния ММГП в региональном плане оценены плохо, хотя они чрезвычайно важны, как для фундаментальных исследований, например, построения климатических моделей, так и для прикладных работ, в частности, для прогноза условий хозяйствования в арктическом и субарктическом регионах.
Равновесное отношение дочернего и родительского изотопов в ряду урана-238 равно 234U/238U = 1 (по активностям) и пренебрежимо мало отличается от равновесного для пород, имеющих возраст более 1 млн лет. Однако в среднем для Мирового океана 234U/238U = 1.14 ± 0.01 (за исключением окраинных морей), что является хорошей текущей усредняющей оценкой для гидросферы в целом, так как время жизни урана в морской воде составляет порядка n × 105 лет, а основным его источником в океане является сток с континентов [6, 25, 31, 35, 38]. Подземные воды, определяющие поступление урана в речной сток, как правило, обогащены 234U вплоть до 234U/238U ~ 3 [5, 13, 18, 19, 21, 39, 41]. В арктических и субарктических регионах периодически отмечаются ураганные избытки урана-234 в подземных водах, когда отношение 234U/238U > 10 и достигает в отдельных случаях величин 234U/238U ~ 50–120 [10, 13, 15, 16, 23, 26, 31, 45].
В работах автора [15, 16, 42, 43] на базе фактических данных показано, что изотопное отношение 234U/238U в природных водах коррелирует с глобальными климатическими вариациями. При этом избытки урана-234 над равновесным отношением 234U/238U = 1 возрастают в теплые и уменьшаются в холодные климатические периоды. Влияние становления и таяния мерзлоты на отношение 234U/238U обсуждалось также в [3, 40]. Отсюда следует, что диагностика наличия мерзлоты в прошлом может быть выполнена на основании изотопного отношения 234U/238U. В комплексе датированием и с данными об изотопном составе воды (содержаниях дейтерия и кислорода-18) этот трассер позволяет получить в региональных масштабах количественные оценки темпов деградации ММГП [14].
В настоящей работе на модельном уровне обосновывается механизм формирования ураганных избытков урана-234 за счет выщелачивания из вмещающих пород и зависимость величины избытков урана-234 в подземных водах от наличия мерзлоты в прошлом и ее таяния под действием потепления.
2. КОНЦЕПТУАЛЬНЫЕ МОДЕЛИ ПОЯВЛЕНИЯ ИЗБЫТКОВ УРАНА-234 В ПОДЗЕМНЫХ ВОДАХ
Общепринято, что избыточное, по сравнению с равновесным, обогащение подземных вод ураном-234 может быть обусловлено двумя типами процессов.
Первый тип. Радиокинетическое разделение родительского и дочернего изотопов при выщелачивании урана из пород [19, 21, 26], включая:
а) локальное разрушение кристаллической решетки минералов α-частицами и ядрами отдачи при распаде урана-238, а также появление микротрещин и дислокаций в минералах, обусловленное другими физико-химическими процессами;
б) преимущественная мобилизация урана-234, находящегося в степени окисления +6 (водорастворимая форма), в отличие от урана-238, имеющего степень окисления +4 (нерастворимая форма) в кристаллической решетке большинства рудных и акцессорных минералов.
Второй тип. Прямое поступление ядер отдачи 234Th из минеральной матрицы в воду, их осаждением на поверхность минералов вследствие малой растворимости тория и последующим распадом 234Th → 234U [32, 33, 35].
Обогащение подземных вод ураном-234 по описанным выше механизмам в дальнейшем будем называть одностадийной моделью радиокинетического разделения изотопов урана. Концептуальная схема обогащения подземных вод ураном-234 в рамках одностадийной модели приведена на (рис. 1).
Рис. 1. Концептуальная схема обогащения подземных вод ураном‑234 в рамках одностадийной модели радиокинетического разделения [19, 21, 36].
Расчеты для модели прямого выхода ядер отдачи 234Th из минеральной матрицы показывают, что появление существенных избытков урана-234 (234U/238U > 5) возможно только для мелкодисперсных минеральных индивидов с удельной поверхностью S > 104 см2/см3 [22]. В то время, как в большинстве случаев в природных материалах водоносных горизонтов этот параметр редко превышает величину S = 500 см2/см3 [37].
Приведенные оценки поддерживаются моделью [24, 29], представленной на рис. 2, из которого видно, что время, необходимое для формирования отношений 234U/238U > 10, составляет не менее нескольких сотен лет. Между тем отмечается накопление урана-234 уже в хвостах переработки урановых руд, относительно исходного материала [11, 12, 21], а также в выщелатах из урановых минералов и ураноносных пород [19].
Рис. 2. Изменение отношения 234U/238U (кривая 1, шкала слева) и время установления радиоактивного равновесия в поровой воде (кривая 2, шкала справа) в зависимости от размера элементарного зерна при концентрациях урана в матрице [U]MATR = 3 мкг/г, [U]PORE = 3 нг/г и длине трека отдачи 234Th / = 55 нм (адаптировано из [24] и рассчитано по модели [29]).
В естественных условиях механизм формирования избытков урана-234 за счет прямого выброса ядер отдачи за границы зерна, по-видимому, работает в случае высоких содержани й урана в мелкоразмерных акцессориях и интерстициях. При существовании 238U в виде изоморфной примеси в субмиллиметровых и более крупных минеральных зернах избыточные количества урана-234 в поровой воде за счет ядер отдачи накапливаться не могут. Кроме того, наличие водообмена в поровой среде приводит к тому, что текущее отношение 234U/238U, рассчитанное по модели [29] и определяемое динамическим равновесием между скоростью потока жидкости и скоростью выхода ядер отдачи, будет сдвигаться в сторону равновесных значений 234U/238U, то есть может быть реализовано только в мощных региональных водоупорах. Поэтому этот вариант одностадийной модели в данной статье далее рассматриваться не будет.
В. А. Поляков [10] выдвинул идею объяснения сверхвысоких обогащений 234U нахождением пород в мерзлом состоянии в течение геологически значимого периода времени. В период промерзания пород из-за перехода воды в лед происходит накопление урана-234 в минеральной матрице, как нормального члена радиоактивной цепочки, а затем он быстро теряется при появлении жидкой воды. Возможность влияния замерзания воды на процесс выщелачивания урана-234 за счет появления дополнительных нарушений в кристаллической решетке минералов допускалась также в [20]. Эта модель, включающая этап накопления урана-234 с последующей его быстрой экстракцией из пород, далее будет называться двухстадийной. В данной работе на базе количественных математических моделей автором развивается идея Полякова В. А.
Как будет показано далее, принципиальным для корректного описания условий формирования ураганных избытков урана-234 в подземных водах с формированием отношений 234U/238U > 10 является выдвинутое автором предположение [17] о решающей роли наличия пленочной незамерзающей влаги в ММГП, существование которой в ММГП доказано большим количеством экспериментов [4, 9].
МАТЕМАТИЧЕСКОЕ МОДЕЛИРОВАНИЕ ФОРМИРОВАНИЯ ИЗБЫТКОВ 234U В ПОДЗЕМНЫХ ВОДАХ
Оценка диффузионных параметров
Оценим разницу в диффузионной подвижности 238U (минеральная матрица) и 234U (α-треки) по данным травления α-треков. Форма и длина треков определяется энергией α-частиц, плотностью упаковки кристаллической матрицы, а также близостью трека к ближайшей свободной грани и ориентацией относительно нее, составляя от 2–5 мкм в цирконах до 10–15 мкм в апатите и слюдах [27]. В ходе травления растворение минеральной матрицы и материала треков идет с различной скоростью, из-за чего возникают визуально видимые пустоты. Важным для дальнейшей оценки является то, что “перетравленные” или “недотравленные” треки имеют изометричную форму [27].
Моделирование выполнялось на программном комплексе MtWolf, включающем блоки моделирования фильтрации и массопереноса (автор программы — В. А. Румянцев, Санкт-Петербургское отделение Института геоэкологии РАН), а также на пакете Procecing ModFlow, ver. 10). Математическая модель травления трека строилась, исходя из предположения, что разница в скоростях растворения материала α-трека и ненарушенной матрицы определяется только различиями в коэффициентах диффузии. Коэффициент диффузии 238U в кристаллической матрице для акцессорных минералов типа циркона, являющихся “концентраторами” урана в породах вне рудных месторождений урана, составляет D238 ≈ n × 10(–18…–20) см2/год [1]. В минералах с менее плотной упаковкой коэффициент диффузии урана выше, например, для железо-марганцевых конкреций D238 ~ 5 × 10–8–10–6 см2/год [28].
На однослойной модели с равномерной разбивкой 150×150 и размером блоков 0.1×0.1 мкм область разрушения кристаллической решетки (α-трек) задавалась прямоугольником длиной 10 мкм и поперечником 1 мкм. Травление рассчитывалось для коэффициентов диффузии DМАТРИЦА = 10–10 см2/сут и DТРЕК = 10(–6…–9) см2/сут. При DТРЕК/DМАТРИЦА < 100 выраженные треки не возникают, и все полости имеют изометричные очертания (рис. 3).
Рис. 3. Формы и размеры полостей, возникающих на месте трека α-частицы при травлении. Трек расположен: а — по нормали к ближайшей грани, б — под 45° к ближайшей грани. Цифры около кривых — продолжительность травления. Расчетная сетка не показана для удобства визуализации.
Травление моделировалось для различных соотношений коэффициента молекулярной диффузии в материале трека и кристаллической матрице (величины показаны на рис. 3). Начальная длина и поперечник разрушенной α-частицей области — 10 мкм и 1 мкм, соответственно; размер элементарного расчетного блока 0.1 × 0.1 мкм. При DТРЕК/DМАТРИЦА > 1000, наоборот, невозможно получить изометрические структуры (невозможно воспроизвести эффект “перетравливания”). Поэтому примем, что, в среднем, D234/D238 ≈ 500. Откуда коэффициент молекулярной диффузии в материале трека D234 ≈ 5 × 10–8 см2/сут.
Расчет выноса урана-234 из кристаллической матрицы в динамических условиях
Моделирование выполнялось методом Монте-Карло (автор программы В. Э. Асминг, КНЦ РАН, г. Апатиты). Реализована однослойная модель 1000×1000 расчетных блоков размером 1×1×1 мкм (рис. 4). Модель минерального зерна включала следующие области:
1) индивидуальное кристаллическое зерно, содержащее α-треки;
2) микронарушения (межзерновые контакты минеральных индивидов, жидкие включения, микротрещины и т. п.);
3) поры с гравитационной водой или льдом.
Рис. 4. Фрагмент сеточной модели зерна для расчетов методом Монте-Карло: слева — вариант “матрица + треки”, справа — вариант “матрица + треки + микронарушения”. 1 — поры, содержащие гравитационную воду или лед; 2 — минеральная матрица (гидравлически непроницаема k = 10–10 м/сут); 3 — треки; 4 — микронарушения (контакты минеральных индивидов, газово-жидкие включения, микротрещины и т. п.); 5 — границы первого рода (HВХ = const, HВЫХ = const и C0 = 0); 6 — направление движения гравитационной воды по порам. Расчетная сетка не показана для удобства визуализации.
При наличии жидкой воды поток по порам принимался стационарным, движение вещества в макропорах осуществлялось за счет адвективного переноса, при условии пренебрежения дисперсионным рассеянием. Зерно принималось гидравлически непроницаемым, движение вещества в нем осуществлялось только за счет диффузии при DМАТРИЦА ≈ n × 10(–18…–20) см2/год и соотношениях DТРЕК/DМАТРИЦА = 100, 300, 1000, 3000, а также DМИКРОНАРУШЕНИЕ/DТРЕК = 10 и 100 [44].
В треках и кристаллической матрице начальные концентрации изотопов U (количество частиц и их веса) задавались таким образом, чтобы в целом для зерна соблюдалось атомное отношение 234U/238U = 5.5 × 10–5 (или 234U/238U = 1 по активностям). Начальная концентрация изотопов урана на входе воды в поровое пространство C0 = 0. Количество треков составляло 300, 1000 и 3000 штук на модель (при средней длине трека 10 мкм, что соответствует плотности 0.0012–0.012 мкм/мкм2). Начальная концентрация U в гравитационной воде и пленочной влаге (микронарушения и поверхность зерна) равнялась нулю. Образование 234U и убыль 238U за расчетный период учитывалось, но новые α-треки не генерировались. Пористость (пустотность) в треках и льду принималась равной n = 10–6, в гравитационной воде n = 1, в пленочной влаге (микронарушения и поверхность зерна) n = 0.8. Соотношение между гравитационной и пленочной влагой по объему 50 : 1. Модель решалась в стационарной по гидравлическим условиям постановке. Выделением и поглощением тепла и изменением объема жидкости при фазовых переходах жидкость ↔ лед пренебрегали.
Рассмотрим несколько основных реализованных вариантов модели.
Вариант 1. Одностадийная модель Чердынцева-Чалова с постоянным потоком воды.
Вариант 2. Двухстадийная модель с двумя периодами по гидравлическим условиям и подвариантами по длительности каждого из них:
2.1) отсутствие потока воды — мерзлотные условия и накопление 234U, время — 10(3–5) лет;
2.2) наличие потока воды — таяние мерзлоты и вынос 234U, время — 10(0–4) лет.
Использовано два подварианта условий по отношению к пленочной влаге.
Вариант 1. Отсутствие пленочной влаги в микронарушениях и на поверхности зерна для всего времени моделирования.
Вариант 2. Наличие пленочной влаги в микронарушениях для всего времени моделирования, а также на поверхности зерна в период существования ММГП.
3.2.1. Проверка одностадийной модели. Типичные выходные кривые для 234U/238U в поровой воде для одностадийной модели Чердынцева-Чалова представлены на рис. 5.
Рис. 5. Одностадийная модель — варианты расчета 234U/238U на выходе из модели при стационарном потоке поровой влаги: а — “матрица + треки”, б — “матрица + треки + микронарушения”; параметр W/R — отношение объема профильтровавшейся воды к объему зерна; цифры около кривых — отношение DТРЕК/DМАТРИЦА; черная штрих-пунктирная линия — равновесное отношение 234U/238U = 1 (геометрия модели на рис. 4, плотность треков — 0.012 мкм/мкм2, матрица зерна гидравлически непроницаема k = 10–10 м/сут, пленочная влага отсутствует).
Вплоть до отношений диффузии DТРЕК/DМАТРИЦА = =3000 в численных экспериментах по схеме, соответствующей одностадийной модели Чердынцева-Чалова, отношение 234U/238U < 10 для поровой воды на выходе из модели. Наличие микронарушений увеличивает пиковые значения 234U/238U на 15–30% по сравнению с вариантом их отсутствия. Выше было показано, что наиболее вероятный диапазон отношений коэффициентов диффузии в треках и матрице 102 < DТРЕК/DМАТРИЦА < 103. Следовательно, модель одностадийного радиокинетического разделения не объясняет сверхвысокие (234U/238U > 10) обогащения подземных вод ураном-234. Моделирование поведения урана-234 для неурановых минералов, исходящее из вероятностной схемы поведения атомов в кристаллической решетке, также дает максимально возможные величины отношений 234U/238U < 10 [7]. Следует отметить, что после прохождения “волны” выноса урана-234 подземные воды на некоторое время им обедняются, и отношение 234U/238U становится меньше единицы.
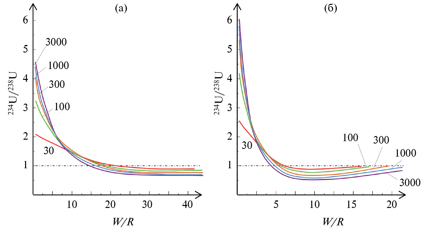
3.2.2. Проверка двухстадийной модели. Для реализации двухстадийной модели таяние льда моделировалось скачкообразным увеличением проницаемости пор с k = 10–10 до k = 0.01 м/сут, но для пленочной влаги коэффициент фильтрации сохранялся равным k = 10–8 м/сут. Для подварианта с наличием пленочной влаги коэффициенты диффузии были приняты: а) в пленочной влаге D = 5 × 10–7 см2/сут для периода оледенения и больше на порядок после потепления; б) во льду D = 10–9 см2/сут; в) в матрице и треках D = 10–10 см2/сут и 5 × 10–8 см2/сут, соответственно. Результаты расчета отношения 234U/238U в поровой влаге на выходе из модели для периода после “таяния” льда приведены на рис. 6.
Рис. 6. Вариант расчета 234U/238U в поровой воде для двухстадийной модели: а — при отсутствии пленочной влаги, б — при наличии пленочной влаги в ММГП; параметр W/R — отношение объема профильтровавшейся воды к объему зерна; цифры около кривых — отношение DТРЕК/DМАТРИЦА; остальные обозначения на рис. 5.
Двухстадийная модель в отсутствие пленочной влаги дает расчетный рост отношения в подземных водах на выходе из модели 234U/238U > 10, но только для нереально высоких отношений коэффициентов диффузии в минеральной матрице и треках на уровне DТРЕК/DМАТРИЦА = 3 × 103. Искомые ураганные избытки урана-234, приводящие к формированию отношений 234U/238U >> 10 в талых мерзлотных водах, достигаются только при условии наличия этапа диффузии урана-234 в незамерзающую пленочную влагу в период существования мерзлоты.
Отметим, что извлечение 234U из пород, как правило, должно мало влиять на его содержания во вмещающих породах в целом, поскольку а) его потери со временем восполняются образованием из 238U; б) для одного и того же объема водоносного горизонта в скелете породы содержится, как правило, минимум в 103 раз больше урана, чем в поровой воде. Согласно результатам моделирования, после прохождения фронта свежих инфильтрационных вод, вытесняющих талые мерзлотные воды (“возрожденные” по терминологии В.А. Полякова) из-за уменьшения доступности урана-234 для извлечения из вмещающих пород, должен наступать период, когда отношения 234U/238U в подземных водах должны оказываться ниже равновесных. В ряде реально исследованных обстановок действительно наблюдается обеднение подземных вод ураном-234, когда отношение 234U/238U снижается вплоть до 0.3–0.4 [2, 5, 34].
ВЫВОДЫ
- Модель Чердынцева-Чалова, предполагающая одностадийное радиокинетическое разделение изотопов в ряду урана-238 и обогащение подземных вод ураном-234 только вследствие его преимущественного выщелачивания из минеральной матрицы, не может объяснить появления сверхбольших отношений 234U/238U > 10.
- Модель В. А. Полякова, предполагающая двухстадийный механизм обогащения подземных вод ураном-234, когда имеют место стагнация водообмена в период существования мерзлоты и резкое обогащение талых мерзлотных вод указанным изотопом после восстановления водообмена, в полной мере не поддерживается моделированием. Численное моделирование показало, что отношения 234U/238U > 10 могут быть достигнуты только в случае принятия нереально высоких различий в коэффициентах диффузии родительского и дочернего изотопов в кристаллической матрице и треках, соответственно. 3. Развитие автором двухстадийной модели на базе предположения о миграции 234U в незамерзающую пленочную влагу в период существования ММГП и последующего его быстрого перехода в гравитационную влагу в период таяния подземных льдов объясняет возникновение ураганных избытков урана-234 234U/238U >> 10. Такое обогащение ураном-234 является временным, и, вслед за прохождением фронта вытеснения талых вод свежими инфильтрационными, избытки 234U исчезают.
Таким образом, обнаружение сверхбольших обогащений в системе урана 234U/238U > 10 позволяет идентифицировать подземные воды, образовавшиеся в ходе таяния мерзлоты.
Работа выполнена в Ресурсном центре “Рентгенодифракционные методы исследования” Научного парка Санкт-Петербургского государственного университета в рамках программы ГЗ № АААА-А19-119091190094-6.
Об авторах
И. В. Токарев
Научный парк Санкт-Петербургского государственного университета
Автор, ответственный за переписку.
Email: i.tokarev@spbu.ru
Россия, В.О., пер. Декабристов, 16, Санкт-Петербург, 199155
Список литературы
- Богомолов Е. С. Диффузия радиогенного свинца в цирконах: автореф. дис. … канд. г.-м. наук. Санкт-Петербург,1992. 17 с.
- Бондаренко Г. Н., Гудзенко И. С., Ковалюх Н. Н. Формирование фронта радиоактивных и стабильных изотопов в зоне разгрузки артезианского бассейна // Исследование природных вод изотопными методами. М.: Наука, 1981. С. 157–164.
- Гольдберг Е. Л., Грачев М. А., Эджингтон Д. Н., Навье Ж. и др. Прямая уран-ториевая датировка двух последних межледниковий в осадках озера Байкал // ДАН. 2001. Т. 380. № 6. С. 805–808.
- Карпенко Ф. С., Кутергин В Н., Фролов С. И., Собин Р. В. Влияние на прочность глинистых грунтов изменений свойств гидратных пленок при температурных воздействиях // Геоэкология. 2021. № 1. С. 69–78.
- Киселев Г. П. Четные изотопы урана в геосфере. Екатеринбург: УрО РАН, 1999. 220 с.
- Кузнецов Ю. В. Радиохронология океана. М.: Атомиздат, 1976. 279 с.
- Кучеренко Н. Л. Моделирование областей разупорядочения альфа-отдачи 238U и отношения активностей четных изотопов урана в галените и халькозине // Вестник Кыргызско-Российского Славянского университета. 2005. Т. 5. № 1. С. 89–91.
- Оледенение Северной Евразии в недавнем прошлом и ближайшем будущем / Под ред. В. М. Котлякова. М.: Наука, 2007. 366 с.
- Осипов В. И. Физико-химическая теория эффективных напряжений в грунтах. М.: ИГЭ РАН, 2012. 74 с.
- Поляков В. А. Изучение изменений гидрохимии и ресурсов подземных вод прибрежных водозаборов в Эстонии по изотопным данным // Тез. Всесоюзной конференции по гидрогеологии. Звенигород. 1991. С. 60–62.
- Старик И. Е. Основы радиохимии. М.: Изд-во АН СССР, 1959. 460 c.
- Титаева Н. А. Ядерная геохимия. 2-е изд. М.: МГУ, 2000. 336 с.
- Тихонов А. И. Неравновесный уран в условиях активного водообмена и его использование в геологии и гидрогеологии. Чебоксары: ПБОЮЛ Л. А. Наумова, 2009. 453 с.
- Токарев И. В. Использование изотопных данных (δ2Н, δ18О, 234U/238U) при изучении процессов деградации мерзлоты в результате долговременных вариаций климата // Записки горного института. Тематический вып. “Тенденции и перспективы развития гидрогеологии и инженерной геологии в современных экономических условиях России”. 2008. Т. 176/ С. 191–195.
- Токарев И. В., Зубков А. А., Румынин В. Г., Поздняков С. П. и др. Оценка долгосрочной безопасности захоронения радиоактивных отходов. 1. Палеореконструкция условий формирования подземных вод // Водные ресурсы. 2009. Т. 36. № 2. С. 219–227.
- Токарев И. В., Зубков А. А., Румынин В. Г., Поздняков С. П. Оценка долгосрочной безопасности захоронения радиоактивных отходов. 2. Исследование водообмена в многослойной системе изотопными методами // Водные ресурсы. 2009. Т. 36. № 3. С. 363–374.
- Токарев И.В., Хархордин И. Л., Поляков В. А., Румянцев В. А. и др. Изучение поведения δ2Н-δ18О и 234U/238U изотопных систем в посткриогенный период на численных моделях фильтрации // Тезисы международной конференции “Приоритетные направления в изучении криосферы Земли. 25–28 мая 2005 г., Пущино”. 2005. С. 54–55.
- Чалов П. И. Датирование по неравновесному урану. Фрунзе: Илим, 1968. 110 с.
- Чалов П. И. Изотопное фракционирование природного урана. Фрунзе: Илим, 1975. 204 с.
- Чалов П. И., Тихонов А. И., Васильев И. А. и др. Использование уран-изотопной информации для моделирования движения воды в мерзлых трещиноватых породах // Водные ресурсы. 1991. № 2. С. 96–108.
- Чердынцев В. В. Уран-234. М.: Атомиздат, 1967. 238 с.
- Andrews J. N., Giles I. S., Kay R. L.F., et al. Radioelements, radiogenic helium and age relationships for groundwaters from the granites at Stripa, Sweden // Geochimica et Cosmochimica Acta. 1982. V. 46. P. 1533–1543.
- Arndt M .F., West L. A Study of the factors affecting the gross alpha measurement, and a radiochemical analysis of some groundwater samples from the state of Wisconsin exhibiting an elevated gross alpha activity // Wisconsin groundwater management practice monitoring project, DNR-176. Final report, 2004. 57 p.
- Calsteren van P., Thomas L. Uranium-series dating applications in natural environmental science // Earth-Science Reviews. 2006. V. 75. P. 155–175.
- Dickin A. P. Isotope geology. 2nd edition. Cabridge: Cabridge University Press. 2005, 497 p.
- Fleischer R. L. Alpha-recoil damage: Relation to isotopic disequilibrium and leaching of radionuclides // Geochimica et Cosmochimica Acta. 1988. V. 52. P. 1459–1466.
- Fleischer R.L., Price P. B., Walker R. M. Nuclear tracks in solids. University of California Press. 1975. 983 p.
- Henderson G.M., Burton K. W. Using 234U/238U to assess diffusion rates of isotopic tracers in ferromanganese crusts // Earth Planet. Sci. Lett. 1999. V. 170.P. 169–179.
- Henderson G.M., Slowey N. C., and Haddad G. A. Fluid flow through carbonate platforms: Constraints from 234U/238U and Cl– in Bahamas pore-waters // Earth Planet. Sci. Lett. 1999. V. 169. P. 99–111.
- IPCC. Climate Change 2023: Synthesis Report. Contribution of Working Groups I, II and III to the Sixth Assessment Report of the Intergovernmental Panel on Climate Change. [Core Writing Team, H. Lee and J. Romero (eds.)]. Geneva, Switzerland, 2023. 184 p.
- Ivanovich M., Harmon R. S. Uranium-series disequilibrium: Applications to earth, marine and environmental sciences. Oxford University Press, 2nd edition. 1992. 972 p.
- Kigoshi K. Alpha-recoil 234Th: dissolution into water and the 234U/238U disequilibrium in nature // Science. 1971. V. 173. P. 47–48.
- Kronfeld J. Uranium deposition and Th-234 alpha-recoil: an explanation for extreme U-234/U-238 fractionation within the Trinity aquifer // Earth Plane. Sci. Lett. 1974. V. 21. P. 327–330.
- Kronfeld J., Godfrey-Smith D. I., Johannessen D., Zentilli M. Uranium series isotopes in the Avon Valley, Nova Scotia // J. Environmental Radioactivity. 2004. V. 73. P. 335–352.
- Ku T.-L. An evaluation of the 234U/238U method as a tool for dating pelagic sediments // J. Geophys. Res. 1965. V. 70. № 14. P. 3457–3474.
- Lambert S. J., Carter J. A. Uranium-isotope systematics in groundwaters of the Rustler formation, northern Delaware basin, southeastern New Mexico I: Principles and preliminary results // Sandia Report SAND87–0388 UC-721 / Sandia National Laboratories, Albuquerque. New Mexico and Livermore, California. For the US DOE, Contract DE-AC04–76DP00789. 1987. 88 p.
- Madsen F. T. Clay mineralogical investigations related to nuclear waste disposal // Clays Minerals. 1998. V. 34. P. 109–129.
- Moore W.S. and Sackett W. M. Uranium and thorium series in equilibrium in seawater // J. Geoph. Res. 1964. V. 69. P. 401–405.
- Osmond K. and Cowart J. B. The theory and uses of natural uranium isotopic variations of hydrology // Atomic Energy Rev. 1976. V. 14. P. 621
- Rosenthal Y., Boyle E. A., Labeyrie L., Oppo D. Glacial enrichments of authigenic Cd and U in subantarctic sediments: A climatic control on the elements’ oceanic budget? // Paleoceanography. 1995. V. 10. № 3. P. 395–413.
- Rosholt N. Radioactive disequilibrium studies as an aid in understanding the natural migration of uranium and its decay products // United Nations Internat. Conf. on the Peaceful Uses of Atomic Energy, 2d. Geneva. Proc. v. 2. 1958.
- Tokarev I., Yakovlev E. Non-Equilibrium Uranium as an Indicator of Global Climate Variations — The World Ocean and Large Lakes // Water. 2021. V. 13. P. 3514.
- Tokarev I. V., Zubkov A. A., Rumynin V. G., Polyakov V. A. et al. Origin of high 234U/238U ratio in post-permafrost aquifers // Uranium in the Environment (Mining Impact and Consequences). Merkel B. J. and Hasche-Berger A. eds., Springer, 2005. P. 847–856.
- Tuovinen H.P. Mobilization of natural uranium series radionuclides at three mining sites in Finland: acad. diss. Faculty of Science of the University of Helsinki, Department of Chemistry. Helsinki. 2015. 56 p.
- Yakovlev E., Tokarev I., Zykov S., et al. Isotope Signs (234U/238U, 2H, 18O) of Groundwater: An Investigation of the Existence of Paleo-Permafrost in European Russia (Pre-Volga Region) // Water. 2021. V. 13. P. 1838.
Дополнительные файлы









