Current river nutrient load on Lake Onego
- Authors: Galakhina N.E.1, Sabylina S.V.1, Zobkov M.B.1
-
Affiliations:
- Northern Water Problems Institute, Karelian Research Centre, Russian Academy of Sciences
- Issue: Vol 156, No 4 (2024)
- Pages: 293-310
- Section: Articles
- URL: https://journals.rcsi.science/0869-6071/article/view/281285
- DOI: https://doi.org/10.31857/S0869607124040052
- EDN: https://elibrary.ru/MOEXED
- ID: 281285
Cite item
Full Text
Abstract
The river nutrient inflow into Lake Onego (TP – 640 t/year, TN – 10380 t/year) and the nutrient outflow with the Svir’ River (TP – 290 t/year, TN – 9795 t/year) in 2015–2016 were estimated. The main contribution to the river nutrient load belongs to the organic forms of nitrogen (83% of TN) and phosphorus (73% of TP). The largest tributaries of Lake Onego (the rivers Vodla, Shuya, Andoma and the Kondopoga Canal) each account for 60% of total TP and TN inflow. The outflow of most nutrient forms from the lake with the Svir′ River is less compared to their river inflow into the lake. There were no significant changes in nutrient inflow to the lake both with the whole river discharge and with its largest tributaries in 2015–2016 compared to 2007–2008. A comparison of the specific removal of nutrients from the catchment areas of the largest lakes in Russia (Baikal, Lake Ladoga and Lake Onego), which differ in the areas of the drainage areas and the anthropogenic load level, was carried out.
Full Text
ВВЕДЕНИЕ
Онежское озеро — один из крупнейших пресноводных водоемов России и Европы (площадь — 9720 км2, объем – 295 км3, средняя и максимальная глубины – 30 и 120 м соответственно, период водообмена – 15.6 года) [13]. Площадь его водосборной территории превышает площадь самого озера в 5.5 раз и составляет 53.1 тыс. км2 [7]. Главная роль в формировании химического состава воды Онежского озера принадлежит речному стоку. Притоки являются важным источником поступления в водоем биогенных элементов (БЭ) (72% от общего стока Робщ и 68% от общего стока Nобщ) [11], а также Fe, Mn, Cu и Zn (83–97% от общего стока по каждому компоненту отдельно) [12].
Значительная речная биогенная нагрузка на Онежское озеро является одним из основных факторов, обуславливающих биопродукционный потенциал водоема и определяющих его трофический статус. Вместе с тем изменение биогенной нагрузки от водосборной территории озера и его прибрежной части отражается на состоянии водоема. Реки Шуя и Суна существенно влияют на химический состав воды крупнейших заливов Онежского озера (Петрозаводская и Кондопожская губы), в которые они впадают [29]. С 2005 г. происходит интенсивное развитие форелеводства [6] как на акватории самого озера, так и в его бассейне (главным образом на водосборах рек Шуя и Суна) [8]. Форелевые хозяйства являются источником поступления в водоем БЭ и, как следствие, причиной изменения их трофического статуса [33]. Кроме того, по данным [11] очистные сооружения в некоторых населенных пунктах, находящихся в бассейне Онежского озера, работают неэффективно, и неочищенные сточные воды поступают в водные объекты, являясь дополнительным источником биогенных элементов. Известно, что в 2000-х гг. произошло снижение речной биогенной нагрузки на озеро [23] по сравнению с 1965–1966 гг. и 1986–1987 гг. [15, 24] вследствие уменьшения антропогенного воздействия на водосборные территории рек в результате экономического спада 1990-х гг. Однако в 2007–2008 гг. речной вынос Робщ в озеро увеличился в 1.5 раза, Nобщ — в 1.1 раза [11] по сравнению с 2001–2002 гг. [20].
Цель данного исследования — оценить речную биогенную нагрузку на Онежское озеро в современный период и проследить ее изменение с начала 2000-х годов.
МАТЕРИАЛЫ И МЕТОДЫ
В Онежское озеро впадают 1152 реки со среднемноголетним водным стоком 17.3 км3/год [2]. Вытекает из озера одна река – Свирь, являющаяся крупнейшим притоком Ладожского озера. Более половины бассейна озера занято водосборами главных его притоков – рек Водла, Шуя, Суна и Андома, их вклад составляет около 60% от общего речного стока в озеро [20]. Вследствие неоднородности геологического и геоморфологического строения бассейна Онежского озера особенности его гидрографии являются причиной различий в химическом составе и режиме вод притоков. Бассейн Онежского озера расположен на двух крупных резко отличающихся геологических формированиях: северная часть сложена кристаллическим породами Балтийского щита, южная часть находится на Русской платформе [7, 20]. Притоки северной части бассейна молодые с неразработанными порожистыми руслами и большими уклонами, сток большинства этих рек характеризуется высокой степенью естественного регулирования озерами [20]. Южные притоки более старые с хорошо выработанными руслами, отличаются меньшей озерностью и большей заболоченностью территории. Природная концентрация большинства химических компонентов в южных притоках в 2–3 раза выше, чем в водах северной части бассейна [20, 21].
Гидрохимические наблюдения были выполнены летом и осенью 2015 г., а также зимой и весной 2016 г. на 24 притоках Онежского озера (рис. 1) и в его истоке, р. Свирь. Пробы воды отбирали один раз в гидрологический сезон (весна (апрель–июнь), лето (июль–сентябрь), осень (октябрь–декабрь), зима (январь–март)). В воде по стандартным методикам [1] анализировали содержание аммонийного (N–NH4), нитритного (N-NO2), нитратного (N-NO3) и общего азота (Nобщ), минерального и общего фосфора (Pмин и Pобщ соответственно). Формы азота и фосфора определяли спектрофотометрическим методом (табл. 1), концентрацию органического азота (Nорг) рассчитывали по разнице общего его содержания и минеральных форм. Химические анализы были выполнены в лаборатории гидрохимии и гидрогеологии ИВПС КарНЦ РАН, качество их выполнения подтверждено хорошей сходимостью данных в рамках международного лабораторного сличения ICP Waters [30].
Рис. 1. Карта-схема исследованных притоков Онежского озера и их водосборных территорий (заливкой различных цветов показаны частные водосборы рек).
Fig. 1. Schematic map of the research tributaries of Lake Onego and their catchment areas (color filing identifies specific watersheds of the studied rivers).
Таблица 1. Методы определения химических показателей воды
Table 1. Methods of water chemical parameters determination
Показатель | Метод определения |
NH4+ | Фотометрическое определение с гипохлоритом и фенолом, λ = 630 нм |
NO2– | Фотометрическое определение с сульфаниламидом и N-(1-нафтил)-этилен-диамином, λ =543 нм |
NO3– | Восстановление до NO2– на Cd редукторе и определение NO2– |
Nобщ | Окисление K2S2O8 в щелочной среде под давлением и определение NO3– |
Рмин | Фотометрическое определение фосфатов с молибдатом аммония и аскорбиновой кислотой, λ = 882 нм |
Робщ | Окисление K2S2O8 в кислой среде и определение фосфатов |
Гидрохимическая характеристика притоков Онежского озера дана по группам в соответствии с таковой в работе [20]:
1) реки северного и северо-западного побережий (Шуя, Суна (оба русла), Кумса, Вичка, Лижма, Уница, ББК);
2) реки северо-восточного побережья (Пяльма, Немина, Водла);
3) реки юго-восточного и южного побережий (Черная, Андома, Вытегра, Мегра, Ошта);
4) реки юго-западного побережья (Шокша, Пухта, Уя, Деревянка, Орзега, Нелукса, Лососинка и Неглинка).
В расчетах речной биогенной нагрузки использовали данные водного стока рек, определенные по модулю годового стока из [11, 14], а внутригодовое распределение стока основных притоков Онежского озера принято по [14]. Среднемноголетний годовой речной сток для обследованных притоков составляет 14.58 км3, или 84% от общего речного стока в озеро (17.3 км3/год). Расчет речного биогенного стока в озеро проводился с учетом последнего объема в предположении, что средневзвешенный состав воды необследованных притоков такой же, как и обследованных. Расчет речной биогенной нагрузки на Онежское озеро проводился в несколько этапов. На первом определяли средневзвешенную по объему годовую концентрацию БЭ в каждом притоке, для этого учитывалась доля их стока в каждый сезон. На втором этапе с использованием значений среднегодового стока для каждой из рек рассчитывалась средневзвешенная по объему концентрация БЭ во всех притоках. Для этих целей использовали годовое распределение водного стока по всем обследованным притокам и среднегодовые концентрации веществ в них. Сезонный биогенный сток определяли на основе среднесезонного содержания БЭ в каждом притоке озера и с учетом доли их стока в каждый из гидрологических сезонов.
Статистическая обработка полученных результатов была выполнена при помощи программного обеспечения Sofa Statistics (www.sofastatistics.com). В статистических тестах использовался уровень статистической значимости p = 0.05.
РЕЗУЛЬТАТЫ И ОБСУЖДЕНИЕ
Содержание биогенных элементов в воде притоков Онежского озера
Содержание БЭ в воде притоков Онежского озера в 2015–2016 гг. изменялось в широких пределах (табл. 2), что обусловлено как сезонной их вариабельностью, так и спецификой геохимических и гидрологических условий северной и южной частей его бассейна [20]. Концентрация Рмин в речной воде изменялась от <1 до 257 мкг/л, Робщ — от 10 до 319 мкг/л (табл. 2). Доля Рмин в среднем составила 29% от Робщ, в ряде случаев отмечалось его преобладание, связанное либо с антропогенным влиянием на водотоки (реки Неглинка и Лососинка) [22], либо с обогащением минеральными его формами за счет подземного стока в зимний период (реки Черная, Вытегра, Немина, Вичка) [24]. Распределение в речной воде форм азота выглядело следующим образом: в большинстве случаев превалировали органические его соединения, за исключением р. Неглинки в период открытой воды, а также рек Вичка, Деревянка и Нелукса зимой. Среди минеральных форм азота в большинстве притоков Онежского озера в период открытой воды преобладал азот аммонийный, нитраты превалировали в них только зимой за счет увеличения в это время доли грунтового питания [24]. Исключение составили реки Лососинка, Нелукса, Деревянка, Неглинка, Шуя, Кондопожский канал, Кумса, Вичка и Ошта, в которых нитраты преобладали на протяжении всего периода исследований. Повышенное содержание нитритов наблюдалось в воде р. Неглинки (до 0.099 мг N/л), испытывающей антропогенное влияние [22], в других притоках оно изменялось от <0.001 до 0.007 мг N/л.
Таблица 2. Содержание форм биогенных элементов в воде притоков Онежского озера и в его истоке в 2015–2016 гг. (числитель — среднее значение, знаменатель — пределы колебаний)
Table 2. Content of nutrient forms in the water of the tributaries of Lake Onego and in its outflow in 2015–2016 (in the numerator — mean values, in the denominator — variation ranges)
Pмин | Pобщ | N-NH4 | N-NO2 | N-NO3 | Nорг | Nобщ | |
мкг/л | мг N/л | ||||||
Реки северного и северо-западного побережий | 4 <1–16 | 21 10–46 | 0.04 0.02–0.10 | 0.001 <0.001–0.002 | 0.06 <0.01–0.39 | 0.41 0.22–0.87 | 0.51 0.24–0.92 |
Реки северо-восточного побережья | 17 6–41 | 48 31–75 | 0.05 0.03–0.07 | 0.001 <0.001–0.002 | 0.06 0.01–0.17 | 0.50 0.37–0.61 | 0.61 0.46–0.75 |
Реки юго-восточного и южного побережий | 22 4–72 | 59 26–132 | 0.05 0.02–0.10 | 0.001 <0.001–0.005 | 0.07 <0.01–0.20 | 0.61 0.20–1.22 | 0.74 0.31–1.44 |
Реки юго-западного побережья | 41 1–257 | 82 13–319 | 0.08 0.02–0.31 | 0.007 <0.001–0.099 | 0.34 <0.01–2.93 | 0.76 0.33–1.97 | 1.19 0.39–4.96 |
Река Свирь | 4 1–7 | 15 11–23 | 0.04 0.03–0.05 | <0.001 | 0.12 0.10–0.17 | 0.37 0.22–0.47 | 0.53 0.36–0.61 |
Минимальная концентрация БЭ характерна для рек северного и северо-западного побережий (табл. 2), что обусловлено составом коренных пород и четвертичных отложений, а также особенностями рельефа местности и гидрографии в этой части бассейна [20; 24]. Максимальное содержание БЭ наблюдалось в реках юго-западного побережья (табл. 1), которые, в отличие от северных и северо-западных притоков, характеризуются небольшими площадями водосборов, малой озерностью и слабой зарегулированностью их стока [24]. В 2015–2016 гг. наименьшее содержание БЭ отмечено в воде р. Лижма, наибольшее — в р. Неглинке, которая дренирует территорию г. Петрозаводска, в результате чего испытывает сильное антропогенное влияние [22]. Различия в химическом составе северо-восточных и северо-западных притоков, как южных и юго-восточных, также обусловлены отличиями их гидрологических режимов и геологическим строением дренируемых ими пород [24].
В сезонном аспекте минимальная средняя концентрация БЭ в речном притоке наблюдалась в весенний период, когда отмечается максимальный сток всех рек, наибольшая — зимой, когда водный сток становится минимальным, происходит накопление минеральных форм БЭ в озерах и в питании рек возрастает доля подземного стока. В летний и осенний периоды в среднем содержание БЭ было близким. Кроме того, сезонная вариабельность концентрации БЭ обусловлена протеканием продукционно-деструкционных процессов [34].
Согласно гидрохимическим исследованиям притоков Онежского озера, выполненным в 1965–1967 гг. [24], различия между группами рек наблюдались, главным образом, в содержании Рмин, наибольший разброс его концентраций наблюдался в реках юго-восточного, юго-западного и южного побережий (1–53 мкг/л), тогда как в реках северного, северо-западного и северо-восточного побережий его изменчивость составила 1–28 мкг/л. Пределы колебаний содержания аммонийного и нитратного азота практически не отличались по группам рек и составили: в реках северо-западного и северного побережья — 0.02–0.13 и <0.01–0.40 мг N/л, северо-восточного — 0.04–0.32 и <0.01–0.35 мг N/л, южного и юго-восточного — 0.01–0.32 и <0.01–0.19 мг N/л, юго-западного — 0.06–0.29 и <0.01–0.30 мг N/л соответственно. Поскольку методики определения БЭ в воде в 1960-х гг. отличались от тех, которые используются в современный период, количественно сравнивать с ними полученные в настоящем исследовании данные не совсем корректно, поэтому проведено количественное их сопоставление с результатами более поздних работ начала и середины 2000-х годов, выполненных на единой методической базе.
Содержание БЭ в воде притоков Онежского озера в 2015–2016 гг. согласуется с более ранними данными [20, 21]. В 2001–2002 и 2007–2008 гг. в реках юго-западного побережья так же отмечалось высокое содержание БЭ (табл. 3), максимальная концентрация Робщ наблюдалась в реках Неглинка и Лососинка, находящихся в черте г. Петрозаводска [20, 21]. Для рек северного и северо-западного побережий было характерно минимальное содержание Рмин и Робщ. Во всех притоках преобладали органические соединения азота, среди минеральных форм в большинстве рек превалировал азот аммонийный.
Таблица 3. Содержание БЭ в притоках Онежского озера в 2001–2002 (в числителе) и 2007–2008 гг. (в знаменателе) [20, 21]
Table 3. Nutrients content in the tributaries of Lake Onego in 2001–2002 (in the numerator) and 2007–2008 (in the denominator) [20, 21]
Pмин | Pобщ | N-NH4+ | N-NO3– | Nорг | |
мкг/л | мг N/л | ||||
Реки северо-западного и северного побережий | 1–4 1–4 | 7–30 9–48 | 0.06–0.24 0.02–0.14 | <0.01–0.61 <0.01–0.64 | 0.24–1.61 0.26–1.02 |
Реки северо-восточного побережья | 1–18 1–56 | 7–62 20–80 | 0.05–0.18 0.02–0.08 | <0.01–0.12 0.01–0.28 | 0.29–0.58 0.21–0.63 |
Реки юго-восточного и южного побережий | 2–21 4–44 | 13–92 24–130 | 0.06–0.15 0.01–0.11 | <0.01–0.22 <0.01–0.31 | 0.21–0.94 0.06–0.80 |
Реки юго-западного побережья | 2–61 2–85 | 22–425 16–117 | 0.04–1.27 0.02–0.64 | <0.01–3.47 <0.01–2.58 | 0.38–3.07 0.09–2.43 |
Содержание БЭ в воде р. Свирь в 2015–2016 гг. было низким (табл. 2), среди форм азота и фосфора преобладали органические соединения. Концентрация Рмин достигала максимума в зимний период, минимальное ее значение наблюдалось летом (на уровне предела обнаружения). Среди минеральных форм азота, в отличие от большинства притоков Онежского озера, преобладали нитраты, наибольшее их содержание наблюдалось в зимний период, минимальное — летом, как и Рмин. Значимых изменений концентрации ионов аммония и нитритов в сезонном аспекте не выявлено.
Речная биогенная нагрузка на Онежское озеро
Максимальный речной сток Рмин, Робщ, аммонийного, нитритного, органического и общего азота наблюдался весной (36–49% от общего стока), немного меньше — осенью (25–31% от общего стока), минимальный — в периоды межени — зимой и летом (рис. 2). Исключением из общей картины был нитратный азот, максимальное поступление которого наблюдалось зимой (36% от годового стока), а наименьшее, как и по другим компонентам, — в период летней межени (рис. 2). Среди всех БЭ наименьший сток был отмечен для нитритного азота, в 2015–2016 гг. его поступление в Онежское озеро с речными водами составило 10.9 т/год.
Рис. 2. Сезонный речной биогенный сток в Онежское озеро в 2015–2016 гг.
Fig. 2. Seasonal river nutrient inflow to Onego Lake in 2015–2016.
В 2015–2016 гг. поступление фосфора общего с речным стоком в Онежское озеро составило 640 т/год, из них 27% приходилось на Рмин (табл. 4) (в 2007–2008 гг. его доля была ниже — 24% от Робщ [11]). Вынос общего азота с речными водами значительно выше — 10380 т/год, в нем превалировал Nорг (8650 т/год), и его доля составила 83% от Nобщ (табл. 3) (в 2007–2008 гг. — 79% [11]), на NH4+(692 т N/год) и NO3– (1038 т N/год) приходилось 7 и 10% от Nобщ соответственно. Поступление БЭ в Онежское озеро с речным стоком фактически отражает их содержание в поверхностных водах Карелии, в которых, за исключением больших стратифицированных озер, преобладает Nорг, а содержание Рмин составляет 10–20% от Робщ [9].
Таблица 4. Средневзвешенное содержание биогенных элементов в воде притоков, их поступление в Онежское озеро с реками и вынос из него в 2015–2016 гг.
Table 4. Weighted average content of nutrients in the water of the tributaries of Onego Lake, nutrient river inflow and outflow in 2015–2016
Река | Q*, км3/год | % от при- тока | Рмин | Робщ | N- NH4 | N- NO2 | N- NO3 | Nорг | Nобщ |
мкг/л | мгN/л | ||||||||
Суна | 0.02 | 0.1 | 5 | 30 | 0.03 | 0.001 | 0.02 | 0.57 | 0.63 |
Кондопожский канал | 2.32 | 15.9 | 1 | 11 | 0.03 | 0,001 | 0.08 | 0.28 | 0.39 |
Лижма | 0.28 | 1.9 | 1 | 13 | 0.02 | 0.001 | 0.02 | 0.32 | 0.36 |
Уница | 0.13 | 0.9 | 3 | 23 | 0.06 | 0.001 | 0.02 | 0.65 | 0.74 |
Кумса | 0.26 | 1.8 | 2 | 11 | 0.03 | 0.001 | 0.04 | 0.32 | 0.39 |
Вичка | 0.04 | 0.3 | 5 | 22 | 0.04 | 0.001 | 0.15 | 0.34 | 0.53 |
ББК | 0.35 | 2.4 | 3 | 17 | 0.04 | 0.0004 | 0.02 | 0.28 | 0.34 |
Немина | 0.29 | 2.0 | 23 | 59 | 0.05 | 0.001 | 0.03 | 0.45 | 0.53 |
Пяльма | 0.37 | 2.5 | 13 | 44 | 0.05 | 0.001 | 0.04 | 0.52 | 0.61 |
Водла | 4.63 | 31.8 | 9 | 41 | 0.05 | 0.001 | 0.06 | 0.54 | 0.65 |
Черная | 0.25 | 1.7 | 47 | 96 | 0.08 | 0.001 | 0.04 | 1.03 | 1.16 |
Андома | 1.09 | 7.5 | 13 | 47 | 0.05 | 0.001 | 0.04 | 0.57 | 0.65 |
Вытегра | 0.58 | 4.0 | 12 | 35 | 0.05 | 0.001 | 0.07 | 0.53 | 0.65 |
Мегра | 0.57 | 3.9 | 19 | 56 | 0.05 | 0.001 | 0.04 | 0.65 | 0.73 |
Ошта | 0.11 | 0.8 | 6 | 33 | 0.05 | 0.001 | 0.07 | 0.53 | 0.65 |
Шокша | 0.04 | 0.3 | 9 | 37 | 0.08 | 0.001 | 0.08 | 0.81 | 0.97 |
Пухта | 0.04 | 0.3 | 11 | 46 | 0.04 | 0.001 | 0.03 | 0.89 | 0.96 |
Уя | 0.02 | 0.1 | 4 | 27 | 0.04 | 0.001 | 0.03 | 0.47 | 0.53 |
Деревянка | 0.03 | 0.2 | 36 | 74 | 0.10 | 0.002 | 0.18 | 0.47 | 0.75 |
Орзега | 0.02 | 0.1 | 30 | 68 | 0.05 | 0.001 | 0.02 | 0.67 | 0.74 |
Нелукса | 0.01 | 0.1 | 7 | 35 | 0.07 | 0.001 | 0.35 | 0.62 | 1.04 |
Лососинка | 0.11 | 0.8 | 41 | 90 | 0.07 | 0.004 | 0.15 | 0.51 | 0.73 |
Неглинка | 0.02 | 0.1 | 116 | 189 | 0.12 | 0.032 | 1.64 | 1.20 | 2.99 |
Шуя | 3.00 | 20.6 | 9 | 42 | 0.04 | 0.001 | 0.05 | 0.52 | 0.61 |
Всего | 14.58 | 100 | |||||||
Средневзвешенные концентрации | 10 | 37 | 0.04 | 0.001 | 0.06 | 0.50 | 0.60 | ||
Поступление в озеро с исследованными притоками, т/год | 14.58 | 146 | 539 | 583 | 14.6 | 875 | 7290 | 8748 | |
Поступление в озеро со всеми притоками, т/год | 17.3 | 173 | 640 | 692 | 17.3 | 1038 | 8650 | 10380 | |
Сток из озера, т/год | 18.6 | 67 | 290 | 709 | 9 | 2293 | 6784 | 9795 | |
Примечание. *– среднемноголетний водный сток, ** – доля водного стока. Note. * – average annual water discharge, ** – share of water discharge. | |||||||||
Поступление Робщ и Nобщ с речными водами в Онежское озеро выше стока из него с р. Свирь (табл. 4). Это означает, что в водоеме происходит трансформация лабильных веществ и их удаление из водной среды посредством седиментации и биохимического окисления [10]. Доли Рмин в приточных водах и в истоке из озера близкие (27 и 23% соответственно), тогда как доля минеральных соединений азота в воде р. Свирь почти в 2 раза выше по сравнению с речными водами, поступающими в озеро (31 и 17% соответственно).
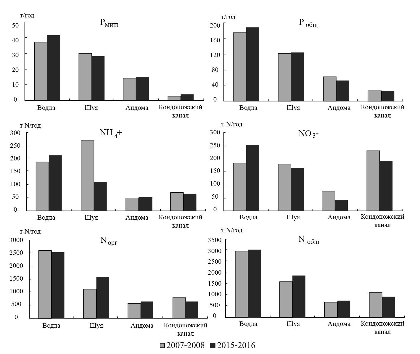
Основной вклад в речную биогенную нагрузку вносят крупнейшие притоки озера — реки Водла, Шуя, Андома и Кондопожский канал (одно из русел р. Суны), на них приходится по 60% от общего притока Робщ и Nобщ в озеро. При сравнении поступления БЭ в Онежское озеро с этими реками в 2007–2008 [11] и 2015–2016 гг. можно отметить, что сток минеральных форм N и P с р. Водлой несколько увеличился (рис. 3). При этом вынос аммонийного азота с р. Шуей существенно уменьшился, однако возросло поступление с ее водами органических форм азота. Вынос нитратов с водами Кондопожского канала и р. Андомы также уменьшился. Однако при статистическом анализе данных с применением непараметрического теста Манна–Уитни значимой разницы в изменении биогенного стока основных притоков между 2007–2008 и 2015–2016 гг. не выявлено (p > 0.05).
Рис. 3. Биогенный сток в Онежское озеро с основными притоками в 2007–2008 и 2015–2016 гг.
Fig. 3. Nutrient inflow to Lake Onego from the main tributaries in 2007–2008 and 2015–2016.
Существенных изменений в выносе БЭ с малыми притоками в Онежское озеро в рассматриваемые периоды не наблюдается, за исключением рек Суна и Лижма (табл. 5). Сток некоторых форм БЭ с этими реками отличается, при этом значимыми являются различия в выносе азота нитритного (для р. Суны с уровнем значимости p = 0.03, р. Лижмы — p = 0.02) и Nобщ с водами р. Лижмы (p = 0.02), он уменьшился в 2015–2016 гг. по сравнению с данными 2007–2008 гг.
Таблица 5. Годовой вынос биогенных элементов с малыми притоками в Онежское озеро в различные годы (в числителе — 2007–2008 гг., в знаменателе — 2015–2016 гг.)
Table 5. Annual nutrient inflow to Lake Onego from small tributaries in various time periods (in the numerator — 2007–2008, in the denominator — 2015–2016)
Река | Q*, км3/год | Рмин | Робщ | N-NH4 | N-NO2 | N-NO3 | Nорг | Nобщ |
т/год | т N/год | |||||||
Суна | 0.02 | 1.3 0.1 | 1.9 0.6 | 1.2 0.7 | 0.04 0.01 | 0.8 0.4 | 11 11 | 13 13 |
Лижма | 0.28 | 0.6 0.2 | 3.4 3.6 | 8.4 6.7 | 0.6 0.1 | 8.4 4.8 | 129 89 | 146 101 |
Уница | 0.13 | 0.4 0.4 | 2.9 3.0 | 7.8 8.0 | 0.3 0.1 | 9.1 2.6 | 62 85 | 79 96 |
Кумса | 0.26 | 0.5 0.5 | 4.4 3.0 | 10 8.6 | 0.5 0.2 | 18 10 | 94 82 | 122 101 |
Вичка | 0.04 | 0.1 0.2 | 0.8 0.9 | 2.4 1.7 | 0.12 0.03 | 10 5,8 | 16 14 | 28 21 |
ББК | 0.35 | 1.1 1.0 | 12 6.0 | 21 13 | 0.4 0.2 | 7.0 7.1 | 125 99 | 154 119 |
Немина | 0.29 | 7.0 6.6 | 17 17 | 17 13 | 0.3 0.2 | 12 10 | 145 131 | 174 155 |
Пяльма | 0.37 | 3.0 4.9 | 13 16 | 15 19 | 0.4 0.3 | 19 14 | 204 193 | 237 226 |
Черная | 0.25 | 5.8 12 | 20 24 | 25 20 | 0.5 0.4 | 13 11 | 170 259 | 208 290 |
Вытегра | 0.58 | 12 6.9 | 42 20 | 29 26 | 4.1 0,3 | 99 38 | 232 310 | 360 374 |
Мегра | 0.57 | 9.7 11 | 35 32 | 23 28 | 1.1 0.5 | 29 20 | 325 368 | 376 417 |
Ошта | 0.11 | 0.9 0.7 | 4.3 3.7 | 5.5 5.8 | 0.2 0.1 | 13 8.1 | 42 58 | 61 72 |
Шокша | 0.04 | 0.8 0.4 | 2,3 1,5 | 2,8 3,0 | 0.1 0.04 | 5.2 3.1 | 23 33 | 31 39 |
Пухта | 0.04 | 0.5 0.5 | 1.7 1.8 | 2.0 1.7 | 0.1 0.03 | 0.8 1.1 | 30 35 | 32 38 |
Уя | 0.02 | 0,1 0.1 | 0.5 0.5 | 0.6 0.7 | 0.04 0.01 | 0.8 0.5 | 13 9 | 14 11 |
Деревянка | 0.03 | 1.3 1.1 | 2.2 2.2 | 1.5 2.9 | 0.2 0.1 | 5.7 5.4 | 18 14 | 25 23 |
Орзега | 0.02 | 0.7 0.6 | 1.5 1.4 | 4.8 1.0 | 0.04 0.01 | 0.2 0.3 | 9 13 | 14 15 |
Нелукса | 0.01 | 0.1 0.1 | 0.3 0.4 | 3.6 0.7 | 0.05 0.01 | 11 3.5 | 20 6.2 | 35 10 |
Лососинка | 0.11 | 4.2 4.5 | 7.6 10 | 4.4 7.3 | 0.4 0.5 | 18 17 | 57 56 | 80 80 |
Неглинка | 0.02 | 1.0 2.3 | 1.6 3.8 | 1.4 2.4 | 0.2 0.7 | 24 33 | 25 24 | 50 60 |
Всего | 17.3 | 159 173 | 656 640 | 900 692 | 34.6 17.3 | 1159 1038 | 8079 8650 | 10172 10380 |
Удельный вынос БЭ с водосбора Онежское озеро в сравнении с другими крупнейшими озерами России
Полученные результаты позволяют провести сравнение речной биогенной нагрузки на Онежское озеро с другими крупными озерами России. Так, в 2010–2016 гг. в оз. Байкал с речными водами поступило 1100 т/год Рмин и 8000 т/год Nобщ [31]. Информация о речном стоке Робщ в оз. Байкал не обнаружена, однако известно, что нагрузка Робщ от р. Селенги, крупнейшего его притока, составляет в среднем 1700 т/год [32]. С учетом того, что на ее сток приходится 50% общего речного стока в водоем [31], можно предположить, что речная нагрузка на озеро по общему фосфору в среднем достигает 3400 т/год. Согласно данным В. А. Румянцева с соавторами [17], поступление Робщ с речным стоком в Ладожское озеро в зависимости от водности года составляет 3–5 тыс. т/год, Nобщ — 55–65 тыс. т/год. Эти озера существенно различаются по площади водосбора (табл. 6), поэтому для сравнения объемов поступления БЭ в них целесообразно использовать показатель удельного выноса БЭ с единицы площади водосбора. Этот показатель отражает как специфику водосборной территории водного объекта [5; 26], так и интенсивность сельскохозяйственной деятельности на его водосборе [25]. Наименьший удельный вынос БЭ получен для имеющего наибольшую площадь водосборной территории оз. Байкал (табл. 6), что свидетельствует о том, что оно испытывает наименьшее воздействие диффузных источников загрязнения [4]. Из всех его притоков максимальная сельскохозяйственная нагрузка приходится на р. Селенга, тогда как в бассейнах других рек она существенно ниже [26]. Основными источниками антропогенного воздействия на оз. Байкал в настоящее время являются недостаточно очищенные сточные воды населенных пунктов, судоходство и интенсивная туристическая деятельность на его побережье [31, 32]. Удельный вынос Робщ и Nобщ с водосборов Онежского и Ладожского озер близок (табл. 6), несмотря на то, что площади их водосборов различаются на порядок. Согласно данным [3], сельскохозяйственная биогенная нагрузка на водосборе Ладожского озера выше в 1.5 раза по Робщ и в 2 раза по Nобщ по сравнению с водосбором Онежского озера.
Таблица 6. Удельный вынос биогенных элементов с водосборов крупнейших озер России
Table 6. Specific removal of nutrients from the catchment areas of the largest lakes of Russia
Озеро | Площадь водосбора, км2 | Pмин | Pобщ | Nобщ |
кг/км2 в год | ||||
Онежское | 531001 | 3 | 12 | 195 |
Ладожское | 2586002 | – | 15 | 193 |
Байкал | 5700003 | 2 | 6 | 14 |
Удельный вынос БЭ с водосборной территории Онежского озера во временном аспекте несущественно изменяется (рис. 4). К 2001–2002 гг. происходит его снижение по обоим компонентам за счет уменьшения антропогенной нагрузки в результате экономического спада 1990-х гг., что согласуется с данными [23], затем величина удельного выноса увеличивается, его значение по Робщ достигает уровня 1965–1967 гг. (рис. 4).
Рис. 4. Удельный вынос БЭ с водосборной территории Онежского озера в различные периоды (рассчитан по данным биогенной нагрузки из [11, 16, 19, 24]).
Fig. 4. Specific removal of nutrients from the Lake Onego catchment in different time periods (calculated by nutrient load data from [11, 16, 19, 24]).
ЗАКЛЮЧЕНИЕ
На основе данных химического состава воды притоков Онежского озера, полученных в 2015–2016 гг., и их среднемноголетнего стока определен речной биогенный сток в озеро: поступление фосфора общего составило 640 т/год, общего азота — 10380 т/год. Основной вклад в речной приток БЭ вносят органические формы азота (83% от Nобщ) и фосфора (73% от Робщ). Сток большинства БЭ из озера с водами р. Свирь меньше по сравнению с их речным поступлением. На крупнейшие притоки (реки Водла, Шуя, Кондопожский канал, Андома) приходится по 60% стока Робщ и Nобщ от общего их поступления в озеро. Значимых изменений в поступлении БЭ как в целом с речным стоком, так и с крупными притоками в 2015–2016 гг. по сравнению с 2007–2008 гг. не выявлено. Удельный вынос БЭ с водосборных территорий Онежского и Ладожского озер близок, наименьшие его значения установлены для оз. Байкал, что обусловлено меньшей антропогенной нагрузкой на его водосборной территории. Во временном аспекте происходит колебание удельного выноса биогенных элементов с водосборной территории Онежского озера, связанное с изменением антропогенной нагрузки.
ФИНАНСИРОВАНИЕ
Финансовое обеспечение осуществлялось из средств федерального бюджета на выполнение государственного задания КарНЦ РАН (Институт водных проблем Севера КарНЦ РАН). Исследование выполнено на научном оборудовании Центра коллективного пользования Федерального исследовательского центра “Карельский научный центр Российской академии наук”.
About the authors
Natalia E. Galakhina
Northern Water Problems Institute, Karelian Research Centre, Russian Academy of Sciences
Author for correspondence.
Email: kulakovanata@mail.ru
Russian Federation, Petrozavodsk
Sabylina V. Sabylina
Northern Water Problems Institute, Karelian Research Centre, Russian Academy of Sciences
Email: efremova.nwpi@mail.ru
Russian Federation, Petrozavodsk
Mikhail B. Zobkov
Northern Water Problems Institute, Karelian Research Centre, Russian Academy of Sciences
Email: ya-mikhailz@yandex.ru
Russian Federation, Petrozavodsk
References
- Analiticheskie, kineticheskie i raschetnye metody v gidrohimicheskoj praktike / Pod red. P. A. Lozovika, N. A. Efremenko. SPb.: Nestor-Istoriya, 2017. 272 s.
- Balaganskij A. F., Karpechko V. A., Litvinenko A. V., Salo YU. A. Sovremennoe sostoyanie i izmenenie ekosistemy Onezhskogo ozera (Verhne-Svirskogo vodohranilishcha). Gidrologicheskij rezhim. Resursy rechnogo stoka i vodnyj balans // Krupnejshie ozera-vodohranilishcha Severo-Zapada evropejskoj territorii Rossii: sovremennoe sostoyanie i izmeneniya ekosistem pri klimaticheskih i antropogennyh vozdejstviyah. Petrozavodsk: Karel′skij nauchnyj centr RAN, 2015. S. 31–38.
- Bryuhanov V. YU., Oblomkova N. S., Vasil’ev E. V. Sel’skohozyajstvennaya deyatel’nost’ na vodosbore i sformirovannaya biogennaya nagruzka // Sovremennoe sostoyanie i problemy antropogennoj transformacii ekosistemy Ladozhskogo ozera v usloviyah izmenyayushchegosya klimata. M., 2021. S. 113–125.
- Kirpichnikova N. V., Polyanin V. O., Kurbatova I. E., CHernenko YU. D. Kriterii ocenki ekologicheskogo sostoyaniya vodosborov malyh rek i vynosa biogennyh veshchestv v Ivan’kovskoe vodohranilishche // Vodnoe hozyajstvo Rossii: problemy, tekhnologii, upravlenie. 2021. № 6. S. 81–105. https://doi.org/10.35567/1999-4508-2021-6-5
- Kol’makova E. G., Maslova O. I., Grib S. V. Biogennyj stok rek bassejna Zapadnoj Dviny kak pokazatel’ agrohozyajstvennogo osvoeniya vodosborov // Vuchonyya Zapіskі Bresckaga dzyarzhaўnaga unіversіteta іmya A. S. Pushkіna. 2011. № 7–2. S. 79–88.
- Kitaev S. P., Il’mast N. V., Sterligova O. P. Metody ocenki biogennoj nagruzki ot forelevyh ferm na vodnye ekosistemy. Petrozavodsk, 2006. 39 s.
- Litvinenko A. V., Karpechko V. A. Sovremennoe sostoyanie i izmenenie ekosistemy Onezhskogo ozera (Verhne-Svirskogo vodohranilishcha). Gidrologicheskij rezhim. Gidrograficheskaya harakteristika vodoema i ego bassejna // Krupnejshie ozera-vodohranilishcha Severo-Zapada evropejskoj territorii Rossii: sovremennoe sostoyanie i izmeneniya ekosistem pri klimaticheskih i antropogennyh vozdejstviyah. Petrozavodsk: Karel’skij nauchnyj centr RAN, 2015. S. 22–27.
- Litvinova I. A., Litvinenko A. V., Bogdanova M. S. Analiz vodohozyajstvennogo ispol’zovaniya vodosbora na osnove GIS-tekhnologij // Krupnejshie ozera-vodohranilishcha Severo-Zapada evropejskoj territorii Rossii: sovremennoe sostoyanie i izmeneniya ekosistem pri klimaticheskih i antropogennyh vozmozhnostyah. Petrozavodsk: Karel’skij nauchnyj centr RAN, 2015. S. 52–60.
- Lozovik P. A. Gidrogeohimicheskie kriterii sostoyaniya poverhnostnyh vod gumidnoj zony i ih ustojchivosti k antropogennomu vozdejstviyu. Avtoref. dis. … dokt. him. nauk. M., 2006. 56 s.
- Lozovik P. A. Organicheskoe veshchestvo i biogennye elementy v ob”ektah gidrosfery. Istochniki postupleniya, vnutrivodoemnye processy obrazovaniya i transformacii // Organicheskoe veshchestvo i biogennye elementy vo vnutrennih vodoemah i morskih vodah: Trudy VI Vserossijskogo simpoziuma s mezhdunarodnym uchastiem. Barnaul, 2017. S. 141–147.
- Lozovik P. A., Borodulina G. S., Karpechko YU. V., Kondrat’ev S. A., Litvinenko A. V., Litvinova I. A. Biogennaya nagruzka na Onezhskoe ozero po dannym naturnyh nablyudenij // Trudy KarNC RAN, 2016. № 5. S. 35–52. https://doi.org/10.17076/lim303
- Lozovik P. A., Kulik N. V., Efremenko N. A. Litofil’nye elementy i tyazhelye metally v Onezhskom ozere: istochniki postupleniya, soderzhanie i transformaciya // Trudy KarNC RAN, 2020. № 4. S. 62–74. https://doi.org/10.17076/lim1189
- Ozera Karelii. Spravochnik / Pod red. N. N. Filatova, V. I. Kuhareva. Petrozavodsk: Karel’skij nauchnyj centr RAN, 2013. 464 s.
- Onezhskoe ozero. Atlas / Pod red. N. N. Filatov. Petrozavodsk, 2010. 151 s.
- Pirozhkova G. P. Himicheskij sostav pritochnyh vod bassejna Onezhskogo ozera // Pritoki Onezhskogo ozera. Petrozavodsk, 1990a. S. 4–36.
- Pirozhkova G. P. Istochniki formirovaniya himicheskogo sostava vody ozera // Ekosistema Onezhskogo ozera i tendencii ee izmeneniya. L.: Nauka, 1990b. S. 97–103.
- Rumyancev V. A., Kondrat’ev S. A., Pozdnyakov SH. R., Ryabchenko V. A., Basova S. L., SHmakova M. V. Osnovnye faktory, opredelyayushchie funkcionirovanie vodnoj sistemy Ladozhskoe ozero — reka Neva — Nevskaya guba — vostochnaya chast’ Finskogo zaliva v sovremennyh usloviyah // Izvestiya Russkogo geograficheskogo obshchestva. 2012. T. 144. Vyp. 2. S. 55–69.
- Rumyancev V. A., Kuderskij L. A. Ladozhskoe ozero: obshchaya harakteristika, ekologicheskoe sostoyanie // Obshchestvo. Sreda. Razvitie. 2010. № 2. S. 222–230.
- Sabylina A. V. Onezhskoe ozero i ego pritoki. Vneshnyaya nagruzka na Onezhskoe ozero // Sostoyanie vodnyh ob”ektov Respubliki Kareliya. Po rezul’tatam monitoringa 1998–2006 gg. Petrozavodsk: Karel’skij nauchnyj centr RAN, 2007a. S.19–21.
- Sabylina A. V. Onezhskoe ozero i ego pritoki. Himicheskij sostav vody pritokov // Sostoyanie vodnyh ob”ektov Respubliki Kareliya. Po rezul’tatam monitoringa 1998–2006 gg. Petrozavodsk: Karel’skij nauchnyj centr RAN, 2007b. S. 21–29.
- Sabylina A. V. Sovremennoe sostoyanie i izmenenie ekosistemy Onezhskogo ozera (Verhne-Svirskogo vodohranilishcha). Gidrohimicheskie issledovaniya. Himicheskij sostav vody pritokov // Krupnejshie ozera-vodohranilishcha Severo-Zapada evropejskoj territorii Rossii: sovremennoe sostoyanie i izmeneniya ekosistem pri klimaticheskih i antropogennyh vozdejstviyah. Petrozavodsk: Karel’skij nauchnyj centr RAN, 2015. S.
- Sabylina A. V., Efremova T. A., Ikko O. I. Himicheskij sostav poverhnostnyh, stochnyh i rechnyh vod, postupayushchih s territorii goroda Petrozavodska v Onezhskoe ozero // Izvestiya RGO. 2022. T. 154, № 4. S. 39–53. https://doi.org/10.31857/S0869607122040073
- Sabylina A. V., Lozovik P. A., Zobkov M. B. Himicheskij sostav vody Onezhskogo ozera i ego pritokov // Vodnye resursy. 2010. T. 37, № 6. S. 717–729.
- Solov’eva N. F., Raspletina G. F. Gidrohimiya pritokov Onezhskogo ozera i elementy ego himicheskogo balansa // Gidrohimiya Onezhskogo ozera i ego pritokov. L.: Nauka, 1973. S. 3–129.
- Fedorova E. V., Karpunina O. P., SHCHipacheva L. A., Belyaeva I. U. Ocenka nekontroliruemogo stoka biogennyh veshchestv s vodosbornyh territorij malyh vodotokov Srednego Urala, vklyuchennyh v sel’skohozyajstvennoe ispol’zovanie // Vodnoe hozyajstvo Rossii: problemy, tekhnologii, upravlenie. 2022. № 1. S. 68–86. https://doi.org/10.35567/19994508_2022_1_5.
- Fedorova E. V., SHCHipacheva L. A., Karpunina O. P., Maksimchuk N. S. Rol’ sel’skohozyajstvennoj deyatel’nosti v bassejne reki Kamy v formirovanii kachestva poverhnostnyh vod // Vodnoe hozyajstvo Rossii: problemy, tekhnologii, upravlenie. 2012. № 1. S. 31–46.
- Cibudeeva D. C., Rybkina I. D. Ocenka antropogennoj nagruzki na vodosbornye territorii rechnyh bassejnov Respubliki Buryatiya // Mir nauki, kul’tury, obrazovaniya, 2014. № 2 (45). S. 405–410.
- SHpejzer G. M., Selina N. A., Ivanova E. I. Gidrohimicheskaya harakteristika ozera Bajkal // Sovremennye naukoemkie tekhnologii. 2007. № 8. S. 89–90.
- Galakhina N., Zobkov M., Zobkova M. Current chemistry of Lake Onego and its spatial and temporal changes for the last three decades with special reference to nutrient concentrations. Environmental Nanotechnology, Monitoring & Management. 2022. Vol. 17. 100619. https://doi.org/10.1016/j.enmm.2021.100619
- Intercomparison 1630: pH, conductivity, alkalinity, NO3–N, Cl, SO4, Ca, Mg, Na, K, TOC, Al, Fe, Mn, Cd, Pb, Cu, Ni and Zn. Oslo (Norway): Norwegian Institute for Water Research. Report No.7081–2016 ICP Waters report 129/2016.
- Khodzher T. V., Domysheva V. M., Sorokovikova L. M., Sakirko M. V., Tomberg I. V. Current chemical composition of Lake Baikal water // Inland Waters. 2017. Vol. 7, n. 3. P. 250–258. http://dx.doi.org/10.1080/20442041.2017.1329982
- Khodzher T. V., Domysheva V. M., Sorokovikova L. M., Tomberg I. V., Sakirko M. V. Hydrochemical studies in Lake Baikal: history and nowadays // Limnology and Freshwater Biology. 2018. Vol. 1, n. 1. P. 2–9. https://doi.org/10.31951/2658-3518-2018-A-1-2
- Sindilariua P.-D., Reiter R., Wedekind H. Impact of trout aquaculture on water quality and farm effluent treatment options. Aquat. Living Resour. 2009. 22, 93–103.
- Zhang X., Ward B. B., Sigman D. M. Global Nitrogen Cycle: Critical Enzymes, Organisms, and Processes for Nitrogen Budgets and Dynamics. Chem. Rev. 2020. Vol. 120, n 12. P. 5252–5307. https://doi.org/10.1021/acs.chemrev.9b00613
Supplementary files






