Hydrogeochemistry of Carbonic Acid Water Manifestations in the Pogromka River Basin (Western Transbaikalia)
- Authors: Zamana L.V.1
-
Affiliations:
- Institute of Natural Resources, Ecology and Cryology, Siberian Branch of the Russian Academy of Sciences
- Issue: Vol 156, No 4 (2024)
- Pages: 282-292
- Section: Articles
- URL: https://journals.rcsi.science/0869-6071/article/view/281281
- DOI: https://doi.org/10.31857/S0869607124040044
- EDN: https://elibrary.ru/MOIVTZ
- ID: 281281
Cite item
Full Text
Abstract
Given the abundance of manifestations of carbonic acid water in Transbaikalia, the information on their physical and chemical characteristics dates mainly to the middle of the last century and is mainly limited to data on macrocomponents. The aim of the study is to obtain modern data on chemical, microcomponent and isotopic composition, content of balneological components in carbonic acid spring, to determine the nature of water and carbon dioxide by isotopic data. Such data were obtained for the carbon dioxide spring Pogrominsky in the Yeravninsky district of the Republic of Buryatia and the first tested borehole located near it in August 2020. The spring water is HCO3 Ca, the borehole — HCO3 Na-Ca types with CO2 content respectively 0.94 and 0.6 g/l and mineralization 0.79 and 0.65 g/l. According to the content of meta-silicic acid H2SiO3 (71.3 mg/l) and Fe (34.7 mg/l) the water of the borehole corresponds to the Kuka balneological type, it can be of interest for the organization of bottling. Mass-spectrometric method determined concentrations of 50 trace elements, of which uranium (83 µg/l) is found to be anomalously high in the spring water. According to isotopic data, water of both manifestations has infiltration genesis, carbon dioxide gas is metamorphogenic with the participation of biogenic.
Full Text
ВВЕДЕНИЕ
На правобережном водосборе р. Уды со второй половины XVIII века известен углекислый источник Погроминский, получивший свое название по р. Погромке, к долине которой он приурочен. Последние данные по химическому составу его воды относятся к 1954 г. [12] и ограничиваются только сведениями о содержании растворенной углекислоты и основных макрокомпонентов. С 1993 г. вблизи источника в течение 20 лет разрабатывалось Эгитинское флюоритовое месторождение, эксплуатация которого возобновлена в марте 2020 г., что расширило самодеятельный забор углекислой воды.
Цель настоящей статьи — привести недавние, полученные на современном химико-аналитическом уровне данные по химическому, микрокомпонентному и изотопному составу воды как самого источника, так и впервые обнаруженного вблизи него проявления углекислой воды в виде самоизливающей скважины, что расширяет базу данных по минеральным водам территории и может быть полезно для оценки качества этих проявлений в целях бальнеологии и внекурортного использования воды.
ОБЪЕКТЫ И МЕТОДЫ
Погроминский углекислый источник находится в Еравнинском районе Республики Бурятия в 1.7 км к северу от центра с. Комсомольское (рис. 1, точка УВ-20-2). Ранее указывалось, что источник находится в 3.0 км от села [12]. Современный выход его приурочен к протоке р. Погромки в точке с координатами 52°29.929' с. ш., 111°05.306' в. д. Источник имеет две головки, отстоящие на 5–6 м друг от друга, с расходами на дату опробования (15 июля 2020 г.) по 0.1–0.15 л/с каждая. Самодеятельный забор воды для питья происходит из западной головки, имеющей вид овального треугольника размером 1.0–1.2 м глубиной до 0.3 м под уступом высотой около 1 м. Газирование слабое, одиночными или короткими сериями пузырьков. Восточная головка находится в узкой слабо врезанной старице, заросла водорослями. Железистых отложений на источнике нет. Территория вокруг источника огорожена штакетником, построена беседка.
Рис. 1. Местоположение Погроминского источника, аншлаг на нем с информацией о составе воды и показаниях для лечения и фотографии выходов.
Fig. 1. Location of the Pogrominskiy spring, a placard on it with information about the composition of the water and indications for treatment and photos of the outlet.
В 1772 г. Погроминский источник, обнаруженный за 5 лет до этого местным жителем, посещал П. С. Паллас. Примерно в то же время на источнике был И. Г. Георги. Результаты их химических исследований невозможно перевести в принятые позже и существующие теперь выражения химического состава и представляют, по определению Ин. Багашева [1], лишь исторический интерес. Последний довольно подробно изложил историю изучения источника вплоть до конца XIX в. (с. 102–104) и привел первый пересчитанный им химический состав воды источника по пробе от 1828 г., согласно которому содержание свободного CO2 в воде было 4.37 г/л при общей минерализации 4.0 г/л (за вычетом CO2).
На аншлаге у источника указан сульфатно-гидрокарбонатный кальциево-натриевый состав, что по классификации С. А. Щукарева (в название входят ионы с >25 экв-%) соответствует приведенной в [7] формуле Курлова:
По данным [12] при опробовании в сентябре 1954 г. вода источника имела гидрокарбонатный натриевый по [6] или кальциево-магниево-натриевый состав (при наименовании от 20 экв-% согласно ОСТ 41-05-263-86 [8]) с содержанием CO2 980 мг/л. Большую разницу в данных по углекислоте в [12] объяснили тем, что тот выход найден не был, источник периодически исчезает. В определении минерализации (по сумме ионов) в этой работе была допущена ошибка — вместо указанных 1112 мг/л она равнялась 1.51 г/л, что было исправлено в [6]. И это последние опубликованные данные по химическому составу воды Погроминского источника, полученные к тому же по сокращенному анализу, при котором кроме CO2 напрямую определялись только HCO3–, Cl–, Ca2+ и Mg2+. По сульфату в таблице [12, с. 108] стоит прочерк, чего, если он определялся, быть не должно. При поиске летом 1957 г. Погроминский источник не обнаружен [11], что дало основание В. М. Степанову предположить, что “источник прекратил существование” (с. 126). Не нашел его и автор настоящей статьи летом 1985 г. В последнее десятилетие, по крайней мере, источник функционировал, возможно, периодически, и был опробован [9, 13 и др.], но данные по химическому и микрокомпонентному составу воды в этих публикациях отсутствуют.
Кроме источника нами опробована также самоизливающая скважина, расположенная в 0.8 км от источника ближе к селу (точка УВ-20-3 на рис. 1), вода которой оказалась углекислой. Координаты ее местоположения 52°29.206' с. ш., 111°05.621' в. д. Скважина находится в будке, пробу взяли из отводной трубы. Дебит при самоизливе был 0.3–0.4 л/с. Камни до 4 м по потоку с поверхности ожелезнены. Опубликованных сведений по этой скважине нами не найдено.
По геологической карте м-ба 1 : 200 000 (лист N-49–XXXIV) [14] источник и скважина находятся в контуре распространения эффузивно-осадочных пород удинской свиты среднеюрского возраста, представленных андезитовыми и базальтовыми порфиритами, андезитами, базальтами, кислыми эффузивами и их туфами, туфогенно-осадочными породами и алевролитами. Распространенные в районе породы кайнозойского возраста являются терригенно-осадочными, вулканогенные образования кайнозоя отсутствуют.
При отборе проб на месте измерялись температура воды, pH, Eh, электропроводность. Воду отбирали в новые пластиковые бутылки объемом 1.5 л, в отдельные пластиковые (pet) контейнеры брали пробы на изотопы воды и с подкислением азотной кислотой марки “ч.д.а.” до pH <2 – на катионы, в пробирки под давлением через фильтры 0.45 мкм – на микроэлементы. Осадок для определения изотопного состава углерода и кислорода гидрокарбонатов получали высаживанием CaCl2. На полный химический состав водные пробы проанализированы в аттестованной лаборатории ИПРЭК СО РАН по общепринятым нормативным методикам. Микроэлементы определялись методом масс-спектрометрии с индуктивно-связанной плазмой (ICP MS) в Институте геохимии СО РАН (г. Иркутск), изотопные анализы выполнены в Геологическом институте СО РАН (г. Улан-Удэ).
РЕЗУЛЬТАТЫ И ОБСУЖДЕНИЕ
По приведенным в табл. 1 данным вода источника гидрокарбонатная кальциевая, скважины — гидрокарбонатная натриево-кальциевая с формулами состава соответственно
и .
Таблица 1. Физико-химические показатели углекислых вод в бассейне р. Погромки (CO2 — Sr в мг/л)
Table 1. Physicochemical indicators of carbon dioxide waters in the river Pogromka basin (CO2 — Sr in mg/l)
Показатель | Пробы | Показатель | Пробы | Показатель | Пробы | |||
1 | 2 | 1 | 2 | 1 | 2 | |||
T, °C | 2.2 | 3.3 | SO42– | 9.45 | 3.52 | K+ | 2.18 | 4.17 |
pH* | 6.18 | 6.75 | Cl– | 5.50 | 3.30 | NH4+ | <0.1 | 0.34 |
pH | 6.39 | 6.92 | F– | 0.34 | 0.48 | *M | 789 | 646 |
Eh, мВ | 238 | –13 | NO3– | 0.67 | 0.39 | Si | 11.9 | 25.6 |
ЭП, µСм/см | 580 | 480 | NO2– | <0.003 | <0.003 | Pоб | 0.070 | 0.050 |
ПО, мгО/л | 1.96 | 3.45 | Са2+ | 238.8 | 121.4 | Fe | 0.06 | 34.7 |
СО2, мг/л | 938 | 596 | Mg2+ | 23.1 | 16.3 | Mn | 0.03 | 0.32 |
HCO3– | 457.3 | 433.4 | Na+ | 53.8 | 67.0 | *Sr | 0.508 | 0.729 |
Примечания. Пробы: 1 – Погроминский источник, 2 – скважина; ЭП – электропроводность; ПО – окисляемость перманганатная; pH* – полевые определения; *M – минерализация по сумме ионов; *Sr – по данным анализа ICP-MS. | ||||||||
По сравнению с данными предшественников катионный состав источника изменился до кальциевого, минерализация и содержание СО2 снизились до менее 1.0 г/л. Чисто кальциевый тип воды в ГОСТ Р 54316-2011 не представлен, но ранее установлен в ряде углекислых источников Восточного Забайкалья [4]. Вода скважины по содержанию метакремниевой кислоты и железа соответствует кукинскому бальнеологическому типу (более 50 и 10 мг/л соответственно), но содержание CO2 и общая минерализация ниже требуемых для этого типа 2500–3300 мг/л и 2.0–3.2 г/л [3].
В составе микроэлементов (табл. 2) по обеим пробам наиболее высокими концентрациями, превышающими допустимые для вод хозяйственно-питьевого назначения (30 мкг/л по [10]), выделяется литий, но это характерно практически для всех углекислых вод. В распределении редких щелочей наблюдается общая закономерность Li > Rb > Cs. Очень низким содержанием отличаются бор и бром. В воде источника повышена концентрация молибдена, что определяется, по-видимому, геохимическими особенностями вмещающих пород.
Таблица 2. Содержание микроэлементов (мкг/л) в углекислых водах Погроминского источника (проба 1) и скважины (проба 2)
Table 2. Content of trace elements (µg/l) in carbon dioxide waters of Pogrominskiy spring (sample 1) and borehole (sample 2)
Элемент | Пробы | Элемент | Пробы | Элемент | Пробы | |||
1 | 2 | 1 | 2 | 1 | 2 | |||
Li | 233 | 82 | Rb | 2.78 | 6.53 | Gd | 0.0066 | 0.0008 |
Be | 0.059 | 0.0015 | Y | 0.0089 | 1.99 | Tb | 0.0009 | 0.0001 |
B | 27 | 20 | Zr | 0.0076 | 1.24 | Dy | 0.0056 | 0.0004 |
Al | 9.0 | 0.88 | Nb | 0.0002 | 0.032 | Ho | 0.0014 | 0.00004 |
Sc | 0.019 | 0.023 | Mo | 5.12 | 0.33 | Er | 0.0054 | 0.0001 |
Ti | 0.21 | 0.064 | Ag | 0.0007 | 0.18 | Tm | 0.0008 | 0.00002 |
V | 0.21 | 0.0033 | Cd | 0.091 | 0.34 | Yb | 0.0063 | 0.0001 |
Cr | 0.034 | 0.010 | Sn | 0.0056 | 0.025 | Lu | 0.0011 | 0.00001 |
Co | 0.099 | 0.039 | Sb | 0.073 | 0.14 | Hf | 0.0013 | 0.0003 |
Ni | 1.46 | 1.12 | Cs | 0.075 | 0.12 | Ta | 0.0008 | 0.00006 |
Cu | 0.82 | 0.30 | Ba | 95 | 23 | W | 0.023 | 0.015 |
Zn | 14.1 | 3.84 | La | 0.0254 | 0.0054 | Re | 0.0014 | 0.00031 |
Ga | 0.0028 | 0.023 | Ce | 0.0164 | 0.0006 | Tl | 0.0007 | 0.0006 |
Ge | 0.020 | 0.10 | Pr | 0.0048 | 0.0002 | Pb | 0.0041 | <0.003 |
As | 0.28 | 0.11 | Nd | 0.0246 | 0.0030 | Th | 0.0007 | 0.00001 |
Se | 1.29 | 2.66 | Sm | 0.0049 | 0.0007 | U | 83 | 0.090 |
Br | 64 | 94 | Eu | 0.0255 | 0.0336 | – | – | – |
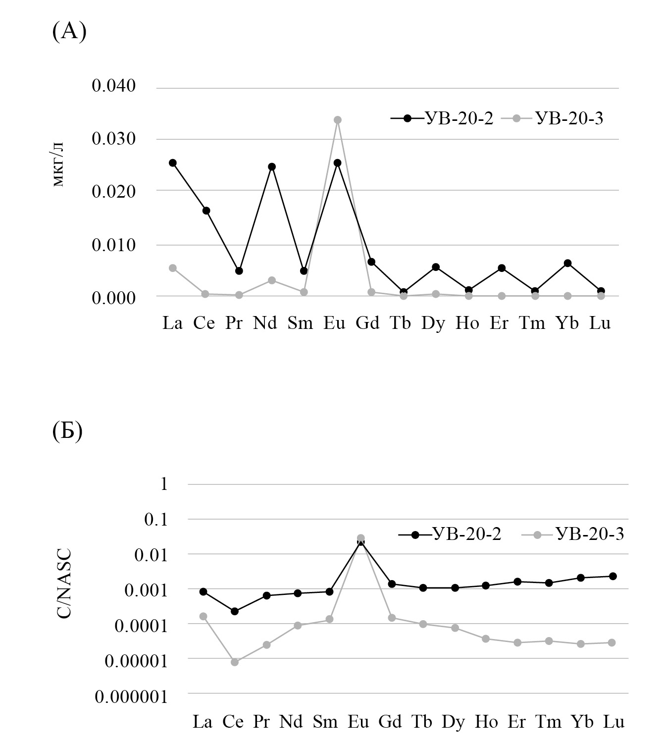
Распределение редкоземельных элементов (РЗЭ) по обеим водным пробам в основном подчиняется правилу Оддо–Гаркинса для земной коры, согласно которому содержание элементов с четными атомными номерами по таблице Д. И. Менделеева больше, чем обоих соседних нечетных номеров. Исключение составляют церий (атомный номер 58), содержание которого меньше, чем лантана (атомный номер 57), тогда как по среднему содержанию в земной коре (0.007 и 0.0029% по А. П. Виноградову [2]) эти элементы данному правилу соответствуют, и европий (атомный номер 63). Последний выделяется максимальным содержанием в обеих пробах, при этом он единственный элемент из редких земель с более высоким содержанием по скважине, чем по источнику, что наглядно представлено на рис. 2а. Аномалии в распределении церия и европия вызваны, по-видимому, различным содержанием их в водовмещающих породах.
Рис. 2. Распределение весовых (а) и нормированных по североамериканскому сланцу (NASC) [15] (б) концентраций РЗЭ в воде источника (УВ-20-2) и скважины (УВ-20-3).
Fig. 2. Distribution of weight (a) and North American shale normalized (NASC) [15] (б) REE concentrations in spring (УВ-20-2) and borehole water (УВ-20-3).
Заметно различаются распределения нормированных по североамериканскому сланцу значений по тяжелым РЗЭ, по источнику от тербия они растут, по скважине, напротив, падают (рис. 2б). Возможная причина отрицательного тренда по скважине — сорбция элементов гидроксидами железа, которые, как показано выше, отлагаются на камнях. Это же может происходить и в породах в приповерхностной зоне.
Кроме европия более высокое содержание в воде скважины имеют Sc, Ga, Ge, Se, Br, Rb, Y, Zr, Nb, Ag, Cd, Sn, Sb и Cs, а из макрокомпонентов — натрий и калий. В числе перечисленных представлены литофильные и халькофильные элементы, что может быть связано как с геохимическими особенностями взаимодействующих с углекислыми водами горных пород, так и с влиянием окислительно-восстановительных условий на миграционную подвижность элементов. Обратим внимание на антибатное поведение цинка и кадмия, концентрации которых в воде обычно изменяются согласованно ввиду единого, как правило, их источника — кадмий в основном содержится в сфалерите ZnS. Здесь кадмий имеет, по-видимому, другой источник.
Особенно различаются воды по содержанию урана — по источнику его почти на три математических порядка больше. Вода источника относится к урановым, концентрация U превышает предельно допустимую для питьевых вод норму (15 мкг/л по [10, табл. 3.13, № 1192]). Причина очень низкого содержания U по скважине в первую очередь заключается в восстановительных условиях среды, при которых он переходит в малоподвижную четырехвалентную форму. Возможно и более низкое содержание урана в пройденных скважиной породах по сравнению с местом выхода источника, где породы, судя по содержанию в воде, явно должны быть обогащены ураном. На это указывают и полученные нами концентрации U (5.3–10.0 мкг/л) в подотвальных водах разрабатываемого Эгитинского флюоритового месторождения, расположенного вблизи источника на правом склоне долины притока р. Погромки (рис. 1, точки с индексом ЭГ).
Для суждения о генезисе углекислых вод рассматриваемых проявлений приведем данные по изотопному составу их воды и растворенных гидрокарбонатов.
По нашим данным изотопные отношения воды источника равны по кислороду δ18O –12.7 и по водороду δ2H –99.0‰, скважины –12.6 и –97.0‰. Изотопные характеристики гидрокарбонатов по δ13СPDB –2.9 по источнику и –3.2‰ по скважине, кислорода соответственно 13.2 и 18.5‰ по SMOW. Приведенный в [5] изотопный состав воды источника полностью совпадает с нашими данными, тогда как по углероду сильно расходится — δ13СPDB равно 5.8‰, хотя опробование выполнено с временным разрывом всего около одного месяца. В свободном углекислом газе источника δ13С равно –6.7‰ [9]. Поскольку предполагать участие вулканогенной составляющей по геологическим условиям места локализации рассмотренных проявлений углекислых вод нет оснований, углекислый газ метаморфогенный с участием биогенного, хотя значение δ13С попадает в интервал мантийного углерода (–4… —8‰). Точки изотопного состава воды на графике δ2H – δ18O ложатся недалеко от Глобальной линии метеорных вод Крейга (рис. 3), что свидетельствует о ее инфильтрационном генезисе. Более легкий изотопный состав по кислороду по отношению к ГЛМВ вызван фракционированием в системе вода–гидрокарбонат.
Рис. 3. Положение точек изотопного состава углекислых вод по отношению к Глобальной линии метеорных вод (ГЛМВ).
Fig. 3. The position of carbonaceous water isotopic composition points in relation to the Global Meteoric Water Line (GMWL).
В газовом составе воды источника при опробовании в августе 2020 г. содержание CO2 составило (в %) 50.0, азота — 49.1, аргона — 0.73 и метана –0.004 [5]. Здесь необходимо обратить внимание на то, что в случае анализа состава газового “пузыря”, образующегося при хранении проб, получают завышенное содержание азота вследствие большего перехода его из растворенного состояния в газовую фазу по сравнению с углекислым газом из-за худшей растворимости N2 в воде.
ЗАКЛЮЧЕНИЕ
Полученные данные показали изменение химического состава воды Погроминского источника по сравнению с имевшимися почти 70-летней давности, выразившееся в переходе к монокатионному кальциевому типу, и снижение ее общей минерализации. Из представленных впервые результатов по широкому кругу микроэлементов источник отличается низкими для углекислых вод концентрациями некоторых типичных для них элементов (бор, бром и др.), повышенным содержанием молибдена и аномальным уровнем урана. Вода пробуренной в 0.8 км от Погроминского источника скважины оказалась углекислой, по содержанию кремнекислоты и железа соответствующей кукинскому бальнеологическому типу. Положение практически на региональной автодороге Улан-Удэ — Романовка рядом с населенным пунктом и горнорудным предприятием создает возможность организации розлива воды скважины для внекурортного использования как лечебно-столовой.
Подготовлено по результатам госбюджетных исследований ИПРЭК СО РАН.
About the authors
Leonid V. Zamana
Institute of Natural Resources, Ecology and Cryology, Siberian Branch of the Russian Academy of Sciences
Author for correspondence.
Email: l.v.zamana@mail.ru
Candidate of Geology and Mineralogical Sciences, Leading researcher of the laboratory of geoecology and hydrogeochemistry
Russian Federation, ChitaReferences
- Bagashev In. A. Mineral’nyye istochniki Zabaykal’ya. Izdaniye M. D. Butina. Prilozheniye k Zapiskam Chitinskogo otdeleniya Priamurskogo otdela Imp. Rus. Geogr. Obshch. M.: Tovarishchestvo tipografii A. I. Mamontova, 1905. 159 s.
- Vinogradov A. P. Sredneye soderzhaniye khimicheskikh elementov v glavnykh tipakh izverzhennykh gornykh porod zemnoy kory // Geokhimiya. 1962. № 7. S. 555–571.
- GOST R54316-2011. Vody mineral’nyye prirodnyye pit’yevyye. Obshchiye tekhnicheskiye usloviya. M.: Standartinform; 2011. 41 s.
- Zamana L. V. Khimicheskiye tipy uglekislykh vod Vostochnogo Zabaykal’ya // Kurortnaya baza i prirodnyye lechebno-ozdorovitel’nyye mestnosti Tuvy i sopredel’nykh regionov. 2017. № 3. S. 138–142.
- Lavrushin V. Yu., Chelnokov G. A., Bragin I. V., Aydarkozhina A. S. Izotopno-geokhimicheskiye osobennosti (d13C, d15N, d18O i d2H) azotnykh i uglekislykh vod Zabaykal’ya // V sb.: PODZEMNAYA GIDROSFERA. Materialy XXIII Vserossiyskogo soveshchaniya po podzemnym vodam vostoka Rossii s mezhdunarodnym uchastiyem. Irkutsk, 2021. S. 179–183.
- Mineral’nyye vody yuzhnoy chasti Vostochnoy Sibiri. T. 1. Gidrogeologiya mineral’nykh vod i ikh narodnokhozyaystvennoye znacheniye / Pod red. V. G. Tkachuk i N. I. Tolstikhina. M. -L.: Izd-vo AN SSSR; 1961. 346 s.
- Mineral’nyye istochniki i gryazevyye ozera Vostochnoy Sibiri, ikh gidrogeologiya, bal’neokhimiya i kurortologicheskoye znacheniye: materialy po geologii i poleznym iskopayemym Vostochnoy Sibiri. Vyp. 21 / Ministerstvo geologii SSSR, Sibirskoye geologicheskoye upravleniye; red.: M. P. Mikhaylov, N. I. Tolstikhin. Irkutsk, 1946. 86 s.
- OST 41-05-263-86. Vody podzemnyye. Klassifikatsiya po khimicheskomu sostavu i temperature. 1986. 9 s.
- Plusnin A. M. Geological conditions of carbonic acid water formation in Vitim Plateau // Geological evolution of water interaction with rocks. Proceedings of the Fourth All–Russian Scientific Conference with International Participation. Geological Institute SB RAS. Ulan-Ude, 2020. С. 46–48. https://doi.org/10.31554/978-5-7925-0584-1-2020-46-48
- SanPiN1.2.3685–21 “Gigiyenicheskiye normativy i trebovaniya k obespecheniyu bezopasnosti i (ili) bezvrednosti dlya cheloveka faktorov sredy obitaniya” // https//: dou.su›files/docs/SP123685_21 (data obrashcheniya 10.12.2023).
- Stepanov V. M. Mineral’nyye vody Severo–Zapadnogo Zabaykal’ya // Mineral’nyye vody Vostochnoy Sibiri. M.: Izd-vo AN SSSR. 1963. S. 119–133.
- Tkachuk V.G., Yasnitskaya N. V., Ankudinova G. A. Mineral’nyye vody Buryat–Mongol’skoy ASSR. Irkutsk, 1957. 153 s.
- Ukraintsev A.V., Plyusnin A. M. Alifaticheskiye uglevodorody uglekislykh mineral’nykh i azotnykh termal’nykh vod Zapadnogo Zabaykal’ya // Geologicheskaya evolyutsiya vzaimodey–stviya vody s gornymi porodami. Sbornik materialov chetvertoy Vserossiyskoy nauchnoy konferentsii s mezhdunarodnym uchastiyem. Geologicheskiy institut SO RAN. Ulan-Ude, 2020. S. 179–183.
- https//: Geolkarta.ru (accesses date 20.12.2023).
- Gromet L. P., Dumek R. F., Haskin L. A., Korotev R. L. The “North American shale composite”: its composition, major and trace element characteristics // Geochim. Cosmochm. Acta. 1984. V. 48. P. 2469-2482.
Supplementary files





