Тhermal history and fluid regime during the formation of Eldjurta massif of biotite granites (Greater Caucasus): reconstructions based on isotope (δ18О, δD) and geochemical data
- Authors: Dubinina Е.O.1, Аvdeenko A.S.1, Nosova A.А.1, Chizhova Y.N.1, Borisovskii S.E.1, Zhilicheva O.M.1, Dokuchaev А.Y.1
-
Affiliations:
- Institute of Geology of Ore Deposits, Petrography, Mineralogy and Geochemistry of the Russian Academy of Sciences
- Issue: Vol 32, No 5 (2024)
- Pages: 529-551
- Section: Articles
- URL: https://journals.rcsi.science/0869-5903/article/view/272244
- DOI: https://doi.org/10.31857/S0869590324050018
- EDN: https://elibrary.ru/ALVJJX
- ID: 272244
Cite item
Full Text
Abstract
Based on the geochemical and isotopic (δ18О, δD) data the thermal and fluid conditions during the formation of the Eldjurta granite massif were reconstructed. Analysis of rocks collected from the core of the Tyrnyauz Superdeep Well (TSW) within the depth range of 1427–3923 m revealed their homogeneous isotopic parameters: the δ18О values of bulk samples, quartz, feldspars, and biotite in 12 samples of biotite granites are 8.50 ± 0.33, 9.55 ± 0.22, 8.40 ± 0.33 and 5.45 ± 0.40‰, respectively. The δD values in the biotite vary from −103.3 to −95.6‰. The closure temperatures of the oxygen isotope system of quartz are 440–980°C. The rock cooling history was reconstructed using a new approach based on the analysis of single quartz grains. This approach can be used for detailed reconstructions of thermal history during formation of intrusive bodies. The definite samples were used to demonstrate that Dodson’s equation is valid for description of the δ18О values of quartz in a granite system. The data obtained suggest that the studied part of the massif was formed in at least two almost simultaneous stages. The lower part of the massif was crystallized first, and the second injection of granite melt arrived immediately after the first portion has been crystallized, but had no yet had time to cool significantly. The Тс values in the lower part of the massif indicate the reopening of the oxygen isotope system of quartz, with subsequent long-term isotope re-equilibration between minerals. This leads to decrease of the observed Тс values and the calculated cooling rates, which is related to increasing volume of the intrusive body and cooling within already heated rocks. Estimates of the isotopic parameters of the water component indicate the absence of exotic water fluid (meteoric or buried waters) during cooling of the massif. The variations of the δ18О values in the minerals of the Eldjurta biotite granites can be described only in terms of a simple retrograde exchange at the cooling stage
Full Text
Введение
Эльджуртинский массив представлен самыми молодыми биотитовыми гранитами на Земле: их возраст, определенный разными изотопными методами, составляет около 2 млн лет. По результатам K-Ar датирования он варьирует от 2.0 ± 0.2 до 1.9 ± 0.15 млн лет (Борсук и др., 1972), а по данным Rb-Sr метода – 1.982 ± 0.008 млн лет (Журавлев, Негрей, 1993). Детальные оценки, полученные 40Ar/39Ar методом по биотиту, варьируют в зависимости от глубины отбора пробы от 2.2–2.5 млн лет в верхней части массива до 1.2–1.4 млн лет на глубине ~3800 м (Hess et al., 1993). Возраст, определенный по U-Pb системе циркона, составил 2.04 ± 0.03 млн лет (Grün et al., 1999) и 2.10 ± 0.08 млн лет (Соловьев и др., 2021). В указанных интервалах оказываются и все остальные датировки биотитовых гранитов Эльджуртинского массива с несколько более молодыми возрастами, установленными для ассоциирующих с ними лейкогранитов (Аракелянц и др., 1968; Костицын, 1995; Лебедев и др., 2004; Чернышев и др., 2011 и др.).
Внимание к эльджуртинским гранитам привлекает не только их молодой возраст, но и пространственная связь с крупным W-Mo редкометальным месторождением Тырныауз. Наличие и пространственной, и генетической связи является предметом дискуссии как в прошлые годы (Пэк, 1962; Ляхович, 1976; Хитаров и др., 1980; Chernyshev, 1985; Ляхович, Гурбанов, 1992; Докучаев, Носова, 1994; Костицын, 1995), так и сейчас (например, Соловьев и др., 2021). Так или иначе, нельзя отрицать роль внедрения расплава эльджуртинских гранитов как фактора источника тепловой энергии или также возможного триггера циркуляции флюидных потоков. С этой точки зрения, термальная история и флюидный режим становления массива эльджуртинских гранитов заслуживают особого внимания.
Имеющиеся данные о тепловом и флюидном режиме становления Эльджуртинского массива противоречивы. Вероятность присутствия экзогенных метеорных вод на стадии становления массива или его отдельных фрагментов оценивается от полного отрицания (Хитаров и др., 1980, Gazis et al., 1995; Soloviev et al., 2021) до признания их доминирующей роли (Костицын, 1995). Что касается теплового режима, то часть исследований поддерживает монотонный однородный характер строения и остывания всего тела массива (например, Хитаров и др., 1980). В то же время некоторые данные указывают на различие пород верхней и нижней части массива по отдельным изотопным (Костицын, 1995) характеристикам или динамике остывания (Gazis et al., 1995). Кроме того, некоторые исследователи привлекают модели мультистадийного внедрения расплавов эльджуртинских гранитов, подразумевающие наличие гранитного прототела, так называемой первой фазы внедрения (например, Соболев, Кононов, 1993).
Как тепловой, так и флюидный режимы становления гранитных тел являются традиционными задачами для геохимии стабильных изотопов кислорода и водорода. Эти изотопные системы минералов интрузивной породы отражают не только динамику ее остывания, но также позволяют установить параметры водного компонента флюидной фазы, находившейся в равновесии с минералами на определенной стадии формирования массива. Эти задачи частично решались около 30 лет назад при изучении кернового материала глубоких скважин, пройденных в массиве (Gazis et al., 1995; Костицын, 1995). Однако указанные работы основаны на изотопно-кислородных данных, полученных методом объемного фторирования, существенно уступающих современным методам в точности и количестве анализируемого вещества. В настоящей работе мы использовали современный метод изотопного анализа кислорода, привлекли изотопно-водородные данные и применили новые подходы к оценке скоростей остывания, основанные на изотопном анализе кислорода единичных зерен кварца.
Необходимость в высоком качестве изотопного анализа связана с тем, что для оценки термальной истории породы требуется максимально точная оценка температуры закрытия изотопной системы кислорода минералов. Для этого необходимо не только точное определение величины δ18О, но и знание точного размера минеральных зерен, которые в пределах одного домена гранитной породы могут различаться на порядки. Метод оценки скоростей остывания подразумевает использование уравнения Додсона (Dodson, 1973), которое связывает температуру закрытия изотопной системы минерала со скоростью остывания породы, диффузионными свойствами минерала и размерами минеральных зерен. Подход, основанный на применении температуры закрытия, претерпевал ряд модификаций (Dodson, 1979; Jenkin et al., 1994; Ganguly, Tirone, 1999; Eiler et al., 1993 и др.), но в самом простом варианте уравнение Додсона имеет вид:
(1)
где а – линейный размер минерального зерна (например, радиус); А – фактор геометрической формы зерна (для изометричных зерен А = 55, Dodson, 1973); Do – коэффициент диффузии интересующего изотопа или элемента; δT∕δt – скорость остывания породы; Е – энергия активации (Дж/моль); R – универсальная газовая постоянная. При выводе данного уравнения и его аналогов подразумевалось, что диффузия элемента или изотопа в среде, окружающей минеральное зерно, протекает быстрее, чем в самом зерне. Этому условию в гранитах, как правило, удовлетворяет кварц, в котором скорость диффузии кислорода существенно ниже, чем в полевых шпатах и биотите (например, Farver, Yund, 1991; Farver, 2010). Однако граниты часто являются неравномерно-зернистыми, порфировидными породами, и для них сложно корректно учесть размер зерен кварца, если анализируется минеральная фракция, отобранная из дробленого образца. В этом случае используют усредненную величину размера зерна в уравнении (1), сопоставляя ее с усредненной величиной δ18О, полученной для навески минерала. В результате возникает двойная неопределенность – как в информации о размерах зерен, так и в оценке средней величины δ18О, которая при гетерогенном изотопном составе зерен не обязательно корректно отражает средний изотопный состав минерала. Как следствие, оценки скоростей остывания с помощью уравнения (1) могут различаться на порядки (Gazis et al., 1995).
В настоящей работе нами применен подход, связанный с изучением величины δ18О для отдельных (единичных) зерен кварца, для которых могут быть точно установлены размер и их форма, а сами зерна могут быть извлечены из единого фрагмента или домена породы. Как следует из уравнения (1), если остывание породы не было осложнено какими-либо термальными событиями (прогревом и/или перекристаллизацией за счет последующих магматических, метаморфических, тектонических и др. процессов), значения Тс для зерен разного размера в одном домене породы должны быть разными, а скорости остывания – близкими друг к другу, в идеале – идентичными. Протестировать данный подход именно на гранитах Эльджуртинского массива является интересной задачей, поскольку эти породы удовлетворяют всем необходимым условиям: они имеют неравномерно-зернистую порфировидную структуру и в силу молодого возраста не испытали заметных термальных изменений после формирования.
Оценка изотопных параметров флюидной фазы в настоящей работе проведена с помощью двух изотопных систем – водорода и кислорода по результатам изучения биотита. Изотопное отношение водорода в биотите не подвержено искажению за счет ретроградного обмена, поскольку в породе нет других Н-содержащих фаз, и оно контролируется исключительно равновесием с флюидом, что позволяет более четко ответить на вопрос о происхождении последнего.
Краткая характеристика Эльджуртинского массива
Эльджуртинский гранитный массив неогенового возраста (Костицын, Кременецкий, 1995; Аракелянц и др., 1968; Hess et al., 1993; Соловьев и др., 2021) расположен в южной части Эльбрусской вулканической области, в области сочленения зон Передового и Главного хребтов Большого Кавказа. Он прорывает палеозойские и мезозойские островодужные комплексы первой зоны и протерозойские-раннепалеозойские метаморфические породы второй зоны (рис. 1).
Рис. 1. Схема геологического строения Тырныаузского рудного поля (Пэк, 1962; Курдюков, 1983; Докучаев, Носова 1994).
1 – четвертичные отложения; 2–7 – зона Передового хребта: 2 – глинистые сланцы, алевролиты, песчаники (джигиатская свита), J1-2, 3 – известняки (нижняя подсвита гидамской свиты), D3–С1, 4 – алевролиты, песчаники, конгломераты (верхняя подсвита гидамской свиты), D3–С1, 5 – лавы основного, среднего и кислого составов, туфы, туффиты, песчаники, конгломераты, глинистые сланцы, линзы известняков, кремни (кизилкольская и эльмезтюбинская свиты), D2–D3, 6 – филлиты, алевролиты, песчаники (артыкчатская и картджюртская свиты), D1-2, 7 – плагиограниты (трондъемиты), PZ2; 8–10 – зона Главного хребта: 8 – кристаллические сланцы, гнейсы, амфиболиты (макерская серия, дуппухская и ктитебердинская свиты), PR2, 9 – мигматиты, мигматизированные гнейсы, сланцы, амфиболиты (гондарайский комплекс), PR2, 10 – граниты (белореченский и уллукамский комплексы), PZ2-3; 11, 12 – Бечасынская зона: 11 – песчаники, конгломераты, алевролиты, аргиллиты, С3, 12 – хлорит-мусковит-альбитовые, мусковит-альбитовые сланцы (шаукольская свита), PR2; 13–15 – Тырныаузский магматический комплекс: 13 – лейкократовые граниты, N22, 14 – эльджуртинские граниты, N22, 15 – риолиты, N22; 16 – скарново-рудные тела с Mo-W оруденением; 17 – сбросы; 18 – надвиги; 19 – местоположение Тырныаузской глубокой скважины (ТГС); 20 – двуслюдяные граниты.
Площадь массива оценивается в 20 км2 (Соловьев и др., 2021), его выходы в левом борту р. Баксан достигают максимальной абс. отметки в 2550 м, кровля массива падает к юго-западу под углом 30°, контакты крутые, около 60°. Естественные выходы и глубокие буровые скважины дают возможность проследить разрез гранитного массива более чем на 5 км (например, Докучаев, Носова, 1994; Соловьев и др., 2021; Gazis et al., 1995). Массив характеризуется относительно гомогенным строением, со скрытой расслоенностью, выраженной вариациями структур и модального состава гранитов. Граниты секутся дайками и жилами лейкогранитов и аплитов. Преобладающими типом пород являются порфировидные, крупно-среднезернистые биотитовые граниты. Их минеральный состав слабо варьирует с глубиной (см. Supplementary1 1, ESM_1) в следующих пределах: 20–45 об. % КПШ, 30–50 об. % плагиоклаза, ≈30% кварца и от 5–7 до 15 об. % биотита. Акцессорные минералы представлены ильменитом, апатитом, цирконом, сульфидами.
Граниты не несут признаков существенных гидротермально-метасоматических изменений, за исключением части разреза на глубинах 2100–3200 м, где наблюдаются следы гидротермальной проработки и содержится молибденит-висмутиновая минерализация, тогда как для выше- и нижележащих частей разреза характерна шеелит-вольфрамитовая минерализация (Докучаев, Носова, 1994). Однако эти изменения выражены слабо: породы содержат не более 1–3% новообразованных минералов (замещение биотита хлоритом, развитие серицита, карбонатов и альбита в виде тонкозернистого агрегата, замещающего, как правило, центральную часть кристаллов плагиоклаза).
Материалы
В 1987–1990 гг. ГНПП Недра в центральной части массива из долины р. Баксан (абс. отм. 1300 м) была пробурена Тырныаузская глубокая скважина (ТГС) на глубину 4001 м. В настоящей работе изучались образцы, представленные фрагментами керна с разных глубин. В соответствии с петрографическими особенностями изученной части керна, породы массива были разделены на несколько зон (Докучаев, Носова 1994), в пределах которых для настоящей работы были отобраны 13 образцов биотитовых гранитов (Эл-1 … Эл-13), три образца пород из маломощных (≈10 м) даек лейкогранитов (Эл-15 … Эл-17) и один образец двуслюдяного гранита (Эл-14). Места отбора образцов отмечены на рис. 2. Краткое описание зон в направлении сверху вниз:
а) Прикровельная зона (глубина <1857 м). За исключением маломощной апикальной зоны, породы в этом интервале наиболее однородны и представлены однообразными светлыми порфировидными крупно- и среднезернистыми биотитовыми гранитами, состоящими из КПШ, плагиоклаза, кварца и биотита. По сравнению с нижележащими гранитами, КПШ в породах зоны А заметно обогащены Ab-составляющей (до глубины 1100 м). Плагиоклазы отличаются появлением очень основных (до 64% An) составов в I генерации. На глубине 1688 м в ТГС фиксируется переход от мегапорфировидных (за счет крупных фенокристов KПШ) средне-крупнозернистых к мелко-среднезернистым порфировидным биотитовым гранитам. В последних несколько увеличивается количество биотита (до 13–15% по сравнению с 8–10% в крупнозернистых гранитах). В нижней части интервала граниты приобретают мелкозернистую и резкопорфировидную структуру. Отобраны образцы биотитовых гранитов (Эл-1 … Эл-3);
b) Верхняя часть интрузива (глубина 1857–2105 м) сложена порфировидными средне-крупнозернистыми биотитовыми гранитами и, возможно, прорывающими их биотитовыми лейкогранитами. Обогащена SiO2 и К2O и обеднена всеми прочими породообразующими оксидами, особенно TiO2 и MgO. Здесь появляются КПШ с высокой долей Or минала. Отобраны образцы биотитовых гранитов (Эл-4) и лейкогранитов (Эл-5);
c) Средняя зона интрузива (глубина 2105–3200 м) сложена биотитовыми мелко-среднезернистыми гранитами с дайками лейкогранитов, около которых развиты зоны грейзенизированных гранитов. Структура гранитов в данном интервале варьирует от равномернозернистой в верхней части до слабопорфировидной в нижней части, где доля вкрапленников составляет 5–10%, редко до 15%. Содержание биотита здесь составляет 12–13%. Среди КПШ преобладают удлиненно-таблитчатые призмы: в верхней части с отношением сторон 1 : 4, с большим количеством пойкилитовых включений кварца, плагиоклаза, биотита. Отобраны образцы биотитовых гранитов (Эл-6 … Эл-8), грейзенизированных гранитов (Эл-9) и лейкогранитов (Эл-15, Эл-16);
d) Приподошвенная зона интрузива (глубина 3200–3505 м) характеризуется сменой мелкозернистых гранитов средне-крупнозернистыми порфировидными (до 5–15% вкрапленников) биотитовыми гранитами. В последних отмечается уменьшение количества плагиоклаза и возрастание количества кварца и калиевого полевого шпата, по сравнению со всеми вышезалегающими разностями гранитов. Крупные вкрапленники представлены только КПШ и кварцем, но не плагиоклазом в отличие от вышележащих гранитов. Отобраны образцы биотитовых гранитов (Эл-10, Эл-11) и лейкогранитов (Эл-17);
e) Нижняя часть интрузива (глубина 3505–3835 м) характеризуется ростом количества вкрапленников (25–30%) в биотитовых гранитах, среди вкрапленников наряду с КПШ и кварцем вновь появляется плагиоклаз. Отобраны образцы биотитовых гранитов (Эл-12, Эл-13);
f) Основание вскрытой части массива (глубина >3800 м) представлено двуслюдяными мусковит-биотитовыми гранитами. Весь вскрытый в ТГС интервал представляется довольно однородным. Отобран образец двуслюдяных гранитов (Эл-14).
Рис. 2. Разрез гранитов Эльджуртинского массива по результатам изучения Тырныаузской глубокой скважины с отмеченными местами отбора изученных образцов. Составлено по (Докучаев, Носова, 1994).
Методы
Во всех перечисленных выше образцах были изучены: минеральный и элементный состав пород (см. Supplementary 1, ESM_1, 2), изотопный состав кислорода породообразующих минералов и валовых проб, а также изотопный состав водорода биотита (табл. 1, 2). В пяти образцах биотитовых гранитов исследовалась динамика остывания пород по единичным зернам кварца (табл. 3). Для независимых оценок температуры формирования биотита был изучен его элементный состав (см. Supplementary 1, ESM_3).
Таблица. 1. Химический состав (основные породообразующие оксиды и микроэлементы) по данным методов РФА и ICP-MS и изотопные (Sr-Nd-Pb) характеристики пород вулкана Кордиеритовый
Породообразуюшие оксиды, мас. % | Микроэлементы, г/т | ||||||||
KE-80 | KE-81А | КЕ-90 | KE-80 | KE-81А | KE-80 | KE-81А | |||
SiO2 | 64.00 | 66.58 | 62.53 | Cr | 73.3 | 61.1 | Mo | 0.53 | 0.26 |
TiO2 | 0.73 | 0.69 | 0.72 | V | 77.2 | 60.0 | Cd | 0.09 | 0.09 |
Al2O3 | 16.84 | 15.39 | 18.52 | Co | 14.8 | 13.6 | Sn | 2.77 | 1.19 |
Fe2O3 | 5.25 | 4.69 | 5.21 | Ni | 1.68 | 1.55 | Sb | 0.21 | 0.11 |
FeOt | 4.73 | 4.22 | 4.69 | Cu | 51.8 | 59.4 | Cs | 4.85 | 3.13 |
MnO | 0.11 | 0.09 | 0.11 | Zn | 76.6 | 65.3 | La | 29.9 | 28.6 |
MgO | 2.44 | 1.92 | 2.09 | Rb | 66 | 67 | Ce | 61.9 | 57.7 |
CaO | 4.03 | 3.68 | 4.29 | Sr | 397 | 397 | Pr | 7.02 | 6.61 |
Na2O | 4.22 | 4.41 | 4.13 | Zr | 193 | 199 | Nd | 25.9 | 24.6 |
K2O | 2.09 | 2.34 | 2.05 | Ba | 451 | 597 | Sm | 5.08 | 4.58 |
P2O5 | 0.22 | 0.25 | 0.26 | U | 2.21 | 1.04 | Eu | 1.34 | 1.26 |
Сумма | 99.92 | 100.04 | 99.91 | Th | 9.52 | 8.15 | Gd | 4.19 | 3.29 |
Na2O+K2O | 6.31 | 6.75 | 6.18 | Y | 17.3 | 12.1 | Tb | 0.58 | 0.48 |
Na2O/K2O | 2.02 | 1.88 | 2.01 | Nb | 8.56 | 8.27 | Dy | 3.17 | 2.25 |
Mg# | 0.48 | 0.49 | 0.45 | Pb | 20.2 | 18.8 | Ho | 0.63 | 0.44 |
al’ | 2.19 | 2.28 | 2.53 | Be | 2.26 | 1.91 | Er | 1.68 | 1.10 |
Изотопный состав | Sc | 12.1 | 9.76 | Tm | 0.23 | 0.14 | |||
87Sr/86Sr | 0.705596 | 0.705553 | Ti | 4941 | 4667 | Yb | 1.49 | 0.87 | |
143Nd/144Nd | 0.512602 | 0.512616 | Mn | 803 | 702 | Lu | 0.22 | 0.12 | |
εNd | -0.70 | -0.43 | Ga | 22.3 | 20.8 | Ta | 0.55 | 0.52 | |
206Pb/204Pb | 18.5834 | 18.5969 | Ge | <0.1 | <0.1 | W | 0.99 | 1.01 | |
207Pb/204Pb | 15.6186 | 15.6198 | As | <0.1 | <0.1 | Tl | 0.44 | 0.27 | |
208Pb/204Pb | 38.6510 | 38.6674 | Bi | <0.01 | <0.01 | ||||
Примечание. Mg# = (MgO/40)/(Mg/40+2×Fe/160), al’ = Al2O3/(Fe2O3+MgO). Полужирным выделены концентрации микроэлементов, полученные методом ICP-MS. Погрешности измерения изотопных отношений свинца в опытах (2σ) составляют 0.03 %, стронция – 0.003%, неодима – 0.002 %.
Таблица 2. Химический состав гранатов в дацитах вулкана Кордиеритовый по данным РСМА
Компоненты | 8* | 9 | 20/1 | 6 | 7 | 11 | 12 | 17 | 20 | 21 | 22 | 24 | 5 | 2 | 1 | 19 | 15 | 18 | 23 |
Grt-1 | Grt-2 | Grt-3 | |||||||||||||||||
SiO2 | 39.15 | 39.23 | 38.13 | 38.56 | 38.22 | 38.02 | 38.34 | 37.59 | 38.67 | 37.52 | 38.65 | 38.00 | 37.58 | 37.30 | 37.47 | 37.27 | 37.68 | 37.77 | 37.67 |
TiO2 | 0.20 | 0.18 | 0.19 | 0.11 | 0.02 | 0.02 | 0.21 | 0.14 | 0.16 | 0.13 | 0.13 | 0.44 | 0.05 | 0.06 | 0.06 | 0.14 | 0.04 | 0.06 | - |
Al2O3 | 22.14 | 22.46 | 20.93 | 22.49 | 21.82 | 21.94 | 21.67 | 21.79 | 22.07 | 21.70 | 22.22 | 21.69 | 21.14 | 21.68 | 21.27 | 20.25 | 21.52 | 21.72 | 21.53 |
FeO | 24.23 | 24.98 | 26.98 | 26.21 | 29.93 | 33.63 | 23.80 | 31.06 | 25.41 | 30.05 | 26.46 | 29.46 | 33.95 | 35.52 | 35.00 | 28.56 | 33.34 | 33.89 | 34.76 |
MnO | 0.55 | 0.49 | 3.17 | 1.51 | 1.48 | 0.60 | 5.09 | 0.37 | 2.71 | 3.58 | 2.51 | 0.22 | 2.07 | 0.18 | 1.73 | 5.77 | 2.23 | 0.08 | 1.30 |
MgO | 11.22 | 11.01 | 5.44 | 7.94 | 6.50 | 5.19 | 5.84 | 5.24 | 7.51 | 5.82 | 7.08 | 7.69 | 2.75 | 2.21 | 1.72 | 1.11 | 2.93 | 3.43 | 3.01 |
CaO | 1.83 | 1.66 | 4.17 | 3.35 | 1.98 | 1.19 | 5.06 | 2.47 | 3.34 | 1.22 | 3.53 | 1.51 | 2.44 | 3.41 | 3.53 | 6.06 | 3.07 | 3.50 | 2.02 |
Na2O | - | - | - | - | - | - | - | 0.35 | 0.07 | 0.07 | 0.08 | 0.06 | - | - | - | - | - | 0.05 | 0.07 |
K2O | - | - | - | - | - | - | - | 0.32 | 0.02 | - | 0.02 | - | - | - | - | - | - | 0.03 | - |
NiO | - | - | - | - | - | - | - | - | - | - | - | - | - | - | - | - | - | - | - |
Cr2O3 | 0.12 | 0.07 | - | - | - | 0.06 | - | - | 0.07 | - | - | - | - | - | - | - | - | - | - |
Сумма | 99.45 | 100.11 | 99.04 | 100.19 | 99.99 | 100.66 | 100.01 | 99.34 | 100.07 | 100.12 | 100.71 | 99.08 | 100.01 | 100.38 | 100.78 | 99.19 | 100.86 | 100.53 | 100.37 |
Формульные коэффициенты в пересчете на 8 катионов | |||||||||||||||||||
Si | 2.99 | 2.98 | 3.02 | 2.97 | 2.99 | 2.99 | 2.99 | 2.99 | 3.00 | 2.97 | 2.99 | 2.98 | 3.02 | 2.99 | 3.00 | 3.03 | 3.00 | 3.00 | 3.01 |
Ti | 0.01 | 0.01 | 0.01 | 0.01 | 0.00 | 0.00 | 0.01 | 0.01 | 0.01 | 0.01 | 0.01 | 0.03 | 0.00 | 0.00 | 0.00 | 0.01 | 0.00 | 0.00 | 0.00 |
Al | 1.99 | 2.01 | 1.96 | 2.04 | 2.02 | 2.03 | 1.99 | 2.05 | 2.01 | 2.02 | 2.02 | 2.01 | 2.00 | 2.05 | 2.01 | 1.94 | 2.02 | 2.03 | 2.03 |
Fe | 1.55 | 1.59 | 1.79 | 1.69 | 1.96 | 2.21 | 1.55 | 2.07 | 1.65 | 1.99 | 1.71 | 1.93 | 2.28 | 2.38 | 2.35 | 1.94 | 2.22 | 2.25 | 2.32 |
Mn | 0.04 | 0.03 | 0.21 | 0.10 | 0.10 | 0.04 | 0.34 | 0.02 | 0.18 | 0.24 | 0.16 | 0.01 | 0.14 | 0.01 | 0.12 | 0.40 | 0.15 | 0.01 | 0.09 |
Mg | 1.28 | 1.25 | 0.64 | 0.91 | 0.76 | 0.61 | 0.68 | 0.62 | 0.87 | 0.69 | 0.81 | 0.90 | 0.33 | 0.26 | 0.20 | 0.13 | 0.35 | 0.41 | 0.36 |
Ca | 0.15 | 0.13 | 0.35 | 0.28 | 0.17 | 0.10 | 0.42 | 0.21 | 0.28 | 0.10 | 0.29 | 0.13 | 0.21 | 0.29 | 0.30 | 0.53 | 0.26 | 0.30 | 0.17 |
Сумма | 8.00 | 8.00 | 7.99 | 8.00 | 8.00 | 7.99 | 8.00 | 7.97 | 7.99 | 8.01 | 8.00 | 7.99 | 7.98 | 7.99 | 7.99 | 7.99 | 7.99 | 7.99 | 7.98 |
Prp | 42.4 | 41.6 | 21.4 | 30.7 | 25.4 | 20.6 | 22.7 | 21.3 | 29.2 | 22.7 | 27.3 | 30.3 | 11.1 | 9.0 | 6.9 | 4.5 | 11.7 | 13.7 | 12.2 |
Alm | 51.4 | 52.9 | 59.6 | 56.7 | 65.7 | 74.7 | 51.9 | 70.7 | 55.5 | 65.9 | 57.4 | 65.0 | 77.0 | 80.7 | 79.0 | 64.7 | 74.5 | 76.0 | 78.9 |
Grs | 5.0 | 4.5 | 11.8 | 9.3 | 5.6 | 3.4 | 14.2 | 7.2 | 9.3 | 3.4 | 9.8 | 4.3 | 7.1 | 9.9 | 10.2 | 17.6 | 8.8 | 10.1 | 5.9 |
Sps | 1.2 | 1.0 | 7.1 | 3.3 | 3.3 | 1.3 | 11.3 | 0.8 | 6.0 | 7.9 | 5.5 | 0.5 | 4.8 | 0.4 | 3.9 | 13.2 | 5.0 | 0.2 | 3.0 |
*Номер точки здесь и в табл. 3 соответствует таковому на рис. 9 и 11.
Определение химического состава пород и биотита
Концентрации породообразующих элементов определялись классическим методом силикатного анализа (мокрая химия) и методом рентгенофлюоресцентного анализа (РФА) в ИГЕМ РАН (Москва). Содержания микроэлементов определены методом ICP-MS на масс-спектрометре ELAN-6100 DRC (ЦЛ ФГБУ ВСЕГЕИ, аналитики В.А. Шишлов, В.Л. Кудряшов).
Анализ состава биотита в прозрачно-полированных шлифах, изготовленных из наиболее представительных образцов, проведен на электронно-зондовом микроанализаторе JEOL JXA-8200 при ускоряющем напряжении 20 кВ и токе зонда 20 нА с использованием программы ZAF-коррекции фирмы JEOL (ИГЕМ РАН).
Изотопный анализ кислорода
Изотопный анализ кислорода проведен в ИГЕМ РАН методом фторирования с применением лазерного нагрева (Sharp, 1990). Экстракция кислорода из образцов силикатных минералов (1–1.5 мг) проводилась с помощью нагрева 30W CO2-лазером (λ = 10.63 мкм) в среде BrF5. Выделенный кислород очищали от примесей и остатков реагента и подавали в систему напуска масс-спектрометра “DELTAplus” (Finnigan). Измерения проводились относительно рабочего эталона О2, в котором изотопное отношение 18О/16О калибровано в международной шкале V-SMOW относительно пары международных стандартов NBS-28 (кварц) и NBS-30 (биотит). Воспроизводимость измерений по результатам многократного анализа внутреннего стандарта кварца POLARIS (δ18О = 13.0‰), плагиоклаза ОЛ-1 (δ18О = 7.1‰) и кварца ГИН (δ18О = 9.1‰) составляет ±0.1‰ (1σ).
При анализе растертых валовых проб гранитов применяли метод нагрева расфокусированным лазерным лучом (Spicuzza, 1998).
Изотопный анализ водорода
Анализ изотопного состава водорода биотита выполнен методом TC/EA-CF-IRMS в постоянном потоке гелия с использованием элементного анализатора FlashНТ и масс-спектрометра Delta V+ (Finnigan, Германия). В этом методе в результате реакции пиролиза при 1450°C в керамическом реакторе, заполненном стеклоуглеродом (Gehre, Strauch, 2003), происходит выделение газообразных Н2 и СО из минералов, содержащих ОН-группу. Выделенные газы очищаются от примесей хроматографическим методом и поступают в источник ионов масс-спектрометра. Измерения проводятся в онлайн режиме с использованием эталонного газа Н2. Стандартный измерительный метод включает регистрацию четырех пиков эталонного газа и одного пика образца (TC/EA Operating Manual, 2001). Навески образцов (1 мг) помещали в серебряные капсулы, которые размещали в алюминиевом планшете и просушивали в течение двух часов при 105°С. После просушки каждую капсулу немедленно запаивали и сразу анализировали. Для калибровки измеренных величин δD использовали международные стандарты, которые анализировали одновременно с образцами для соблюдения идентичности аналитической подготовки и стратегии измерения. Анализ биотита эльджуртинских гранитов проводился в две серии. В первой серии вместе с образцами анализировался международный стандарт NBS-30, во второй – международные стандарты USGS-57 (биотит) и USGS-58 (мусковит). Во второй серии были повторно проанализированы три образца из первой серии для проверки воспроизводимости, которая не превысила величину ±2‰, что указывает на отсутствие инструментального дрейфа и компресс-фактора для данного метода TC/EA CF IRMS и позволяет нормализовать все измеренные величины δD в шкале V-SMOW методом линейной регрессии по измеренным значениям стандартов USGS-57 (биотит) и USGS-58 (мусковит). Нормализованное значение для NBS-30 составило −44.9‰, что почти на 21‰ выше паспортного значения (−65.7‰, Gonfiantini, 1984; Hut, 1987). Как было показано (Qi et al., 2017), паспортное значение величины δD для стандарта NBS-30, установленное офлайн-методами, требует корректировки на указанную величину при измерении в режиме онлайн методами TC/EA-CF-IRMS. Общая точность определения величины δD оценивалась нами путем многократного анализа внутреннего стандарта (мусковит месторождения Черная Салма) и составила ±2.2‰.
Выделение единичных зерен разного размера из образца гранитной породы
Изучение динамики остывания гранитов Эльджуртинского массива проведено для пяти образцов (Эл-3, Эл-4, Эл-7, Эл-10, Эл-12), из которых были отобраны ненарушенные зерна кварца разного размера (от 1 до 8 мм, рис. 3). В этих образцах была определена позиция кварца в породе и проведено катодолюминесцентное изучение ростовых особенностей и вида возможной зональности кварца.
Рис. 3. Микрофотографии кристаллов кварца, выделенных из образцов Эл-3 и Эл-7.
В каждом из указанных образцов кроме обычного изотопного анализа кислорода всех породообразующих минералов, выделенных из дробленого образца, проведено определение значений δ18О в отдельных зернах кварца, выделенных из небольших (≈5 см3) фрагментов породы. Для этого выбранные фрагменты подвергали искусственному выветриванию с использованием шоковых перепадов температуры. Образец резко нагревали с помощью газовоздушной горелки (≈900оС) в течение 20–30 с и резко охлаждали жидким азотом (−190оС). Как правило, разрушение пластинки породы толщиной около 1 см происходило после 5–6 циклов нагрева–охлаждения. Из разрушенного образца отбирали отдельные кристаллы, форму и размеры которых фиксировали под бинокуляром (рис. 3), после чего проводили в них изотопный анализ кислорода. В некоторых зернах наблюдалась трещиноватость, возникшая за счет шоковых перепадов температуры, однако, согласно проведенным проверкам, это не влияло на получаемые изотопные данные.
Расчет температуры закрытия изотопной системы кислорода в кварце и скоростей остывания породы
Температуру закрытия (Тс) кварца для каждого зерна рассчитывали по уравнению, которое учитывает пропорции главных минералов (полевых шпатов и биотита) в породе (Дубинина и др., 2023) и предполагает, что изотопная система кислорода кварца закрывалась первой среди породообразующих минералов:
где q – кварц, b – биотит, p – полевые шпаты (плагиоклаз + калиевый полевой шпат); Xb, Xp – доля кислорода породы, приходящаяся на каждый из минералов; Ap–b и Aq–p – коэффициенты в соответствующих термометрических уравнениях (использована система согласованных термометрических уравнений (Chacko et al., 2001)); изотопный состав кислорода кварца – δq, всей породы – δR. Поскольку в лейкократовых гранитах Эльджуртинского массива плагиоклаз представлен кислыми разностями, его объединение в данном уравнении с калиевым полевым шпатом вполне допустимо из-за близости диффузионных характеристик и величин коэффициентов изотопного фракционирования кислорода в кислом плагиоклазе и КПШ. При расчете Тс использовали данные о минеральном составе пород из Supplementary 1, ESM_1. Полученные Тс оценки аналогичны таковым, определенным по методу (Farquhar et al., 1993).
При расчетах скоростей остывания по уравнению Додсона (Dodson, 1973) использовались параметры, полученные в гидротермальных условиях при диффузии в кварце параллельно оси С (Dennis, 1984), для “сухих” условий расчет проведен по параметрам, полученным при обмене в системе кварц–СО2 (Sharp et al., 1991). Расчеты проведены по уравнению (1) методом последовательных итераций, выход на постоянное значение Тс происходил на 3–4-м цикле расчета.
Результаты
Геохимические черты эльджуртинских гранитов
Данные по элементному составу, представленные в см. Supplementary 1, ESM_2 и на классификационных диаграммах (рис. 4–6), показывают, что все граниты Эльджуртинского массива являются умеренно-кремнистыми: содержание SiO2 в образцах биотитовых гранитов (Эл-1 … Эл-13) изменяется от 71 до 73 мас. %, в образцах из даек лейкогранитов (Эл-15 … Эл-17) и мусковит-биотитовом граните (Эл-14) оно увеличивается от 75.5 до 77.8 мас. %. На диаграмме Fe–SiO2 эльджуртинские граниты попадают в поле пород магнезиального типа (рис. 4а), за исключением мусковит-биотитового гранита (обр. Эл-14). На классификационной диаграмме MALI (Na2O + K2O – CaO)–SiO2 (Frost et al., 2001) эльджуртинские граниты попадают в поле щелочно-известковых гранитов (рис. 4б), их насыщение алюминием является умеренным (рис. 4в), а по соотношению основных породообразующих оксидов (Sylvester, 2001) они принадлежат к известково-щелочным гранитам, за исключением образцов из даек лейкогранитов и мусковит-биотитового гранита (обр. Эл-14), которые относятся к типу высокофракционированных гранитов (рис. 4г).
Рис. 4. Граниты Эльджуртинского массива на классификационных диаграммах (Frost et al., 2001; Sylvester, 2001). 1 – биотитовые граниты; 2 – двуслюдяные граниты; 3 – лейкограниты из даек.
По распределению элементов-примесей биотитовые и двуслюдяные граниты сходны, тогда как лейкограниты из даек имеют существенные отличия (рис. 5). Граниты обоих типов обогащены Rb относительно Ba и Sr, последние образуют отрицательные аномалии на спайдер-диаграмме, особенно такая аномалия выражена для стронция. Распределение высокозарядных элементов характеризуется отрицательными аномалиями Nb и Ta при обогащенности пород Th и U, отсутствием аномалий в распределении Zr и Hf (рис. 5б). Концентрации HFSE низкие–умеренные, за исключением высоких содержаний Th (см. Supplementary 1, ESM_2).
Рис. 5. Распределение REE (а) и микроэлементов (б) в породах Эльджуртинского массива: 1 – биотитовые граниты, 2 – двуслюдяные граниты, 3 – лейкограниты из даек. Концентрации элементов нормированы на составы хондрита (а) и примитивной мантии (б) по (McDonough, Sun, 1995).
Совокупность петрохимических характеристик: повышенные Mg# = 0.31–0.41 (Mg# = (Mg/(Mg + Fe), моль) и метаглиноземистость (рис. 4в), умеренные содержания Ti и Р, а также геохимические особенности: умеренно-фракционированное распределение REE (рис. 5а), повышенное содержание Rb и низкие Sr и Ва (см. Supplementary 1, ESM_2) указывают на их принадлежность к I-типу гранитов.
Дайки лейкогранитов демонстрируют геохимические особенности, типичные для высокофракционированных гранитов с появлением флюидной составляющей: в спектре REE проявлено обогащение тяжелыми землями, появляется глубокая аномалия Eu (рис. 5а); изменяется поведение HFSE: выделяются Nb и Та, значительно уменьшаются значения Zr/Hf (16–23 при 33–37 в биотитовых гранитах) (рис. 5; см. Supplementary 1, ESM_2).
На диаграмме Пирса (рис. 6а) эльджуртинские граниты попадают в область постколлизионных гранитоидов. Граниты I-типа характерны для ранних стадий постколлизионного этапа развития орогенов (например, Bonin, 2007).
Рис. 6. Граниты Эльджуртинского массива на диаграммах: Rb–(Nb + Y) (а) и Nb/Ta–Zr/Hf (б) (Ballouard et al., 2016). 1 – биотитовые граниты, 2 – двуслюдяные граниты, 3 – лейкограниты из даек. WPG – внутриплитные граниты; syn-COLG – синколлизионные граниты; VAG – граниты вулканических дуг; ORG – орогенные граниты; post-GOLG – постколлизионные гранитоиды (Pearce, 1996). Обозначения полей на рис. (б): 1 – безрудные граниты, 2 – граниты с Sn-W-U минерализацией, 3 – редкометальные граниты.
На диаграмме Nb/Ta–Zr/Hf (Ballouard et al., 2016), дифференцирующей рудную специфику редкометальных гранитов (рис. 6б), эльджуртинские биотитовые граниты, как и подстилающие их двуслюдяные граниты, уверенно попадают в поле безрудных пород, что согласуется с отсутствием их генетической связи с месторождением Тырныауз. Тем не менее на этой же диаграмме составы даек лейкогранитов попадают в поле, характерное для пород, несущих редкометальное оруденение.
Вариации геохимических характеристик эльджуртинских гранитов в вертикальном разрезе
Общий геохимический облик эльджуртинских гранитов остается однотипным во всем 4-км разрезе (рис. 5), однако рассмотрение вертикальных профилей распределения концентраций микроэлементов показывает их небольшие, но закономерные вариации. На рис. 7 можно видеть, что по характеру распределения микроэлементов всех геохимических групп (LILE – Rb, Sr; HFSE – Zr; REE – Ce, Yb) разрез биотитовых гранитов может быть разделен на два интервала, которые в общем совпадают с петрографическим делением разреза (рис. 2): 1) от 1200 до 2400 м, 2) от 2400 до 3800 м.
Рис. 7. Распределение микроэлементов гранитов в вертикальном разрезе Эльджуртинского массива по скважине ТГС. 1 – биотитовые граниты, 2 – двуслюдяные граниты, 3 – лейкограниты из даек. Положение образцов в вертикальном разрезе соответствует схеме, приведенной на рис. 2. Кривые линии – тенденции изменения концентраций, красными пунктирными линиями ограничена зона изломов и скачков концентраций.
В интервале 1 с глубиной происходит монотонное или почти монотонное падение концентраций Rb и Yb, возрастание Zr и Се, концентрация Sr не меняется. В интервале 2 тренд изменяется на противоположный: концентрации Rb, Sr и Yb возрастают, концентрации Zr и Се снижаются, причем в диапазоне 2400–3200 м наблюдаются скачки концентрации Rb вблизи даек лейкогранитов, а также изломы трендов концентраций.
Изотопный состав кислорода породообразующих минералов и валовых проб пород
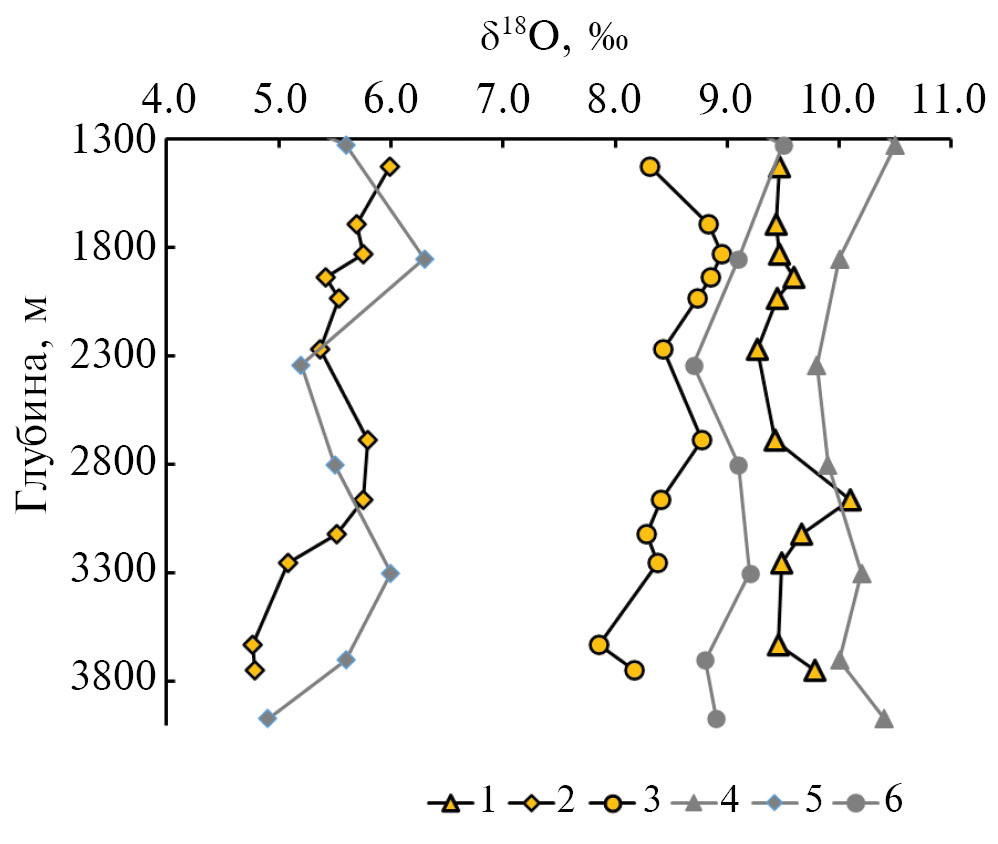
Величина δ18О отдельных минералов эльджуртинских гранитов варьирует в незначительных пределах: δ18О(Qz) от 9.3 до 10.1‰, δ18О(Kfs) от 8 до 9 ‰, δ18О(Bt) от 4.8 до 6‰. В валовых пробах пород она также изменяется незначительно – от 7.9 до 8.9‰. Исключение составляют породы даек лейкогранитов, в которых значения δ18О полевого шпата, кварца, и, как следствие, валовых проб, повышены и находятся в интервале от 9 до 10.8‰ (табл. 1). Нами получены узкие интервалы значений δ18О как для отдельных минералов, так и для валовых проб.
На рис. 8 приведены значения δ18О минералов и валовых проб биотитовых гранитов в зависимости от глубины положения образца. Гомогенные изотопные характеристики кислорода гранитов Эльджуртинского массива указывают на отсутствие контаминации расплавов и заметного внешнего флюидного воздействия на эти породы. Несколько более широкие вариации величины δ18О в минералах и породах эльджуртинских гранитов были установлены в предыдущих работах (например, Костицын, 1995; Gazis et al., 1995), что можно объяснить применением менее точных методов объемного фторирования при их анализе. Наиболее близкие к нашим данным определения (Gazis et al., 1993) показывают сходные интервалы вариации δ18О, но для кварца и валовых проб наблюдаются несколько более высокие значения δ18О (рис. 8).
Рис. 8. Изотопный состав кислорода минералов и валовых проб гранитов Эльджуртинского массива. 1, 2, 3 – кварц, биотит и валовые пробы соответственно, определенные в настоящей работе; 4, 5, 6 – опубликованные ранее данные для кварца, биотита и валовых проб (Gazis et al., 1995).
Результаты катодолюминесцентного и петрографического изучения зерен кварца
В образцах, предназначенных для реконструкции термальной истории становления Эльджуртинского массива, по единичным зернам кварца (Эл-3, Эл-4, Эл-7, Эл–10, Эл-12) проведено петрографическое и катодолюминесцентное изучение позиции кварца в породе, его однородности и зональности. В крупных кристаллах кварца наблюдается оптическая неоднородность: волнистое и блоковое погасание, а также присутствие кристаллов-фантомов (рис. 9). По петрографической позиции в породе можно выделить следующие типы кварца:
- Очень крупные 2.5 × 1.5 см зерна, как одиночные или в сростках (с 2–3 более мелкими кристаллами), с блочным и волнистым погасанием (рис. 9а), с кристаллами-фантомами (рис. 9б) и раскристаллизованными в агрегат кварца и КПШ расплавными включениями (рис. 9в). Для них характерны вростки биотита (рис. 9б). Располагаются между крупными кристаллами полевых шпатов.
- Крупные зерна (от 2–5 до 10 × 10 мм) в кластерах из последовательно сросшихся в цепочки, обычно по 5–7 зерен (рис. 9г). Располагаются между крупными кристаллами полевых шпатов.
- Мелкие зерна (0.5–5 мм) в сростках с плагиоклазом, КПШ и биотитом, заполняющие интерстиции между более крупными кристаллами полевых шпатов и кварца (рис. 9д–9ж).
- Мелкие вростки кварца, цементирующие блоки в крупных зернах КПШ (рис. 9з).
- Зерна в составе тонких кварц-полевошпатовых прожилков (рис. 10б).
Рис. 9. Микрофотографии шлифов гранитов Эльджуртинского массива, иллюстрирующие позицию кварца. (а–в) – фрагменты очень крупных зерен: (а) – с блочным погасанием, (б) – с волнистым погасанием и включением кристалла-фантома, (в) – с раскристаллизованными расплавными включениями (incl); (г) – кластер из нескольких зерен кварца; (д–ж) – мелкие зерна кварца в сростках с плагиоклазом, КПШ и биотитом, заполняющие интерстиции между более крупными кристаллами полевых шпатов; (з) – мелкие вростки кварца, цементирующие блоки в крупных зернах КПШ.
Катодолюминесценция магматического кварца обычно проявляется в синих и красно-коричневых цветах, что и наблюдается в изученных образцах (рис. 10). Синее свечение связано в основном с наличием примеси Ti, тогда как красно-коричневое связывают с присутствием Al (Muller et al., 2000). На рис. 10а демонстрируется ростовая зональность в зерне кварца с синим ядром и красно-коричневой краевой зоной (обр. Эл-3). Крупные зерна кварца в обр. Эл-12 показывают более темную синюю окраску (рис. 10в), а мелкие зерна (рис. 10г) имеют фиолетовое свечение, которое отражает понижение концентрации титана (Muller et al., 2000). Учитывая, что кварц, кристаллизующийся при более высоких температурах, обычно содержит более высокие концентрации титана (например, Huang, Audétat, 2012), различия в катодолюминесценции кварца могут указывать на разные условия кристаллизации гранитов в верхней и нижней частях изученного разреза гранитов.
Рис. 10. Катодолюминесцентные изображения кварца в гранитах Эльджуртинского массива: (а) – зональность в зерне кварца (слева вверху) с синим ядром и более темной красно-коричневой краевой зоной; (б) – вросток более позднего кварца из кварц-полевошпатового прожилка между двумя более ранними зернами этого минерала, (а, б) – обр. Эл-3; (в) – граница между крупными зернами кварца и полевого шпата; (г) – мелкое зерно кварца среди полевого шпата, (в, г) – обр. Эл-12.
Изотопный состав кислорода единичных кристаллов кварца
Значения δ18О в зернах кварца разного размера в образцах Эл-3, Эл-4, Эл-7, Эл-10 и Эл-12 возрастают в пределах 0.2–0.4‰ при увеличении радиуса зерна от 0.5 до 2.5 мм (рис. 11). Они также возрастают при переходе от центра к краю кристалла, что видно на примере анализа фрагментов крупного кристалла обр. Эл-3, в котором величина δ18О в центре (обр. Эл-3-б(ц)) имеет более низкое значение, чем на краю кристалла (обр. Эл-3-б(к)).
Рис. 11. Величины δ18О кварца в зависимости от линейного размера минерального зерна.
Значения δ18О, определенные для мономинеральных агрегатов кварца из тех же образцов, оказались во всех пяти случаях несколько ниже, чем значения, полученные для индивидуальных кристаллов разного размера (табл. 1 и 3). Это показывает, что ручная отборка мономинеральных фракций не обеспечивает реального усреднения изотопного состава кислорода в гетерогенных по составу минералах и не всегда корректно характеризует образец. Вероятной причиной является человеческий фактор, из-за которого в отборку попадают наиболее крупные и чистые фрагменты, которые являются, чаще всего, центральными частями крупных зерен кварца. Это обстоятельство следует иметь в виду при отборе мономинеральных фракций из дробленого образца, особенно если есть основания полагать, что минеральные зерна обладают зональностью или неравномерны по составу.
Обсуждение результатов
Термальная история становления Эльджуртинского массива биотитовых гранитов
Температура закрытия изотопной системы кислорода в кварце (Тс) из биотитовых гранитов массива, рассчитанная с использованием величины δ18О, варьирует от 440 до 980оС и является более высокой в верхней части массива, чем в нижней (табл. 2). Расчет проводился по уравнению (2), которое, по сути, аналогично подходу в работе (Farquhar et al., 1993) и учитывает изотопные соотношения кислорода других минералов и минеральный состав остывающей породы. Коэффициенты термометрических уравнений, входящие в него, были взяты из согласованной системы (Chacko et al., 2001). Данный подход подразумевает, что изотопные системы кислорода разных минералов при остывании породы закрываются при разной температуре: вслед за кварцем закрывается изотопная система кислорода биотита (430–380оС, табл. 2), последней закрывается изотопная система кислорода щелочных полевых шпатов и плагиоклаза. Оценки Тс минералов Эльджуртинского массива, полученные ранее (Gazis et al., 1995) для кварца (630–750оС), несколько ниже, а для биотита (510–640оС) несколько выше полученных нами. Это, возможно, связано как с использованием других уравнений для расчета (Clayton, Kieffer, 1991), так и с небольшими расхождениями в значениях δ18О, определенных методом объемного фторирования.
Значения температуры закрытия, рассчитанные для индивидуальных зерен кварца, показывают положительную связь с их линейным размером (табл. 3, рис. 11), что полностью подтверждает правоту уравнения Додсона. На рис. 12а, 12б приведены изолинии скоростей остывания, наклону которых соответствует положение точек практически всех образцов, кроме Эл-4. Это указывает на близкое к идеальному поведение изотопной системы кислорода в процессе ретроградного изотопного обмена кварца с окружающими минералами по механизму диффузии. Согласно уравнению Додсона (Dodson, 1973), значения Тс, определенные для зерен кварца разного размера, должны соответствовать конкретным изолиниям скоростей остывания породы в координатах радиус зерна–температура закрытия минерала. Таким образом, для каждого образца можно оценить скорость остывания по нескольким зернам кварца, аналогично установлению возраста породы методом построения изохроны по нескольким минералам.
Таблица 3. Химический состав осумилита-(Mg) из дацитов вулкана Кордиеритовый по данным РСМА
Компоненты | 23 | 24 | 25 | 26 | 27 | 34 | 35 | 36 | 18 | 19 | 29 | 45 | 46 | 50 | 63 |
SiO2 | 60.89 | 60.46 | 61.54 | 61.08 | 61.18 | 59.80 | 60.73 | 60.64 | 58.03 | 60.48 | 56.91 | 58.00 | 56.03 | 58.38 | 56.41 |
TiO2 | 0.06 | 0.09 | 0.07 | 0.06 | 0.11 | 0.07 | 0.07 | 0.05 | - | - | - | - | 0.15 | 0.10 | 0.13 |
Al2O3 | 21.75 | 21.85 | 21.94 | 21.92 | 22.03 | 22.82 | 22.81 | 22.70 | 21.07 | 21.47 | 20.86 | 21.18 | 20.22 | 21.19 | 20.65 |
FeO | 8.28 | 8.44 | 8.42 | 8.40 | 8.36 | 7.70 | 7.88 | 7.79 | 8.41 | 8.61 | 8.35 | 8.22 | 8.51 | 8.81 | 8.99 |
MnO | 0.26 | 0.28 | 0.29 | 0.24 | 0.32 | 0.35 | 0.30 | 0.30 | 0.32 | 0.28 | 0.23 | 0.30 | 0.29 | 0.32 | 0.26 |
MgO | 4.09 | 4.06 | 4.16 | 4.12 | 4.23 | 4.34 | 4.36 | 4.31 | 4.38 | 4.53 | 4.20 | 4.46 | 4.31 | 4.32 | 3.96 |
CaO | 0.08 | 0.07 | 0.06 | 0.08 | 0.07 | 0.12 | 0.14 | 0.12 | 0.07 | 0.12 | 0.10 | 0.18 | 0.08 | 0.11 | |
Na2O | 0.16 | 0.14 | 0.21 | 0.12 | 0.07 | 0.19 | 0.26 | 0.31 | 0.22 | 0.28 | 0.11 | 0.30 | 0.06 | 0.21 | 0.14 |
K2O | 3.32 | 3.26 | 3.27 | 3.34 | 3.40 | 3.44 | 3.50 | 3.46 | 3.14 | 3.16 | 3.20 | 3.14 | 3.37 | 3.21 | 3.22 |
Сумма | 98.91 | 98.66 | 100.00 | 99.39 | 99.77 | 98.84 | 100.05 | 99.69 | 95.71 | 98.81 | 93.98 | 95.78 | 93.12 | 96.62 | 93.87 |
Метод | РСМА | СЭМ-ЭДС | |||||||||||||
Формульные коэффициенты в пересчете на 17 катионов | |||||||||||||||
K | 0.72 | 0.71 | 0.70 | 0.72 | 0.73 | 0.75 | 0.75 | 0.74 | 0.70 | 0.69 | 0.73 | 0.70 | 0.78 | 0.71 | 0.74 |
Na | 0.05 | 0.05 | 0.07 | 0.04 | 0.02 | 0.06 | 0.09 | 0.10 | 0.07 | 0.09 | 0.04 | 0.10 | 0.02 | 0.07 | 0.05 |
Ca | 0.02 | 0.01 | 0.01 | 0.01 | 0.01 | 0.02 | 0.02 | 0.02 | 0.01 | 0.00 | 0.02 | 0.02 | 0.03 | 0.01 | 0.02 |
□ | 0.21 | 0.23 | 0.22 | 0.23 | 0.23 | 0.17 | 0.14 | 0.13 | 0.21 | 0.22 | 0.21 | 0.18 | 0.16 | 0.20 | 0.19 |
ΣC | 1.00 | 1.00 | 1.00 | 1.00 | 1.00 | 1.00 | 1.00 | 1.00 | 1.00 | 1.00 | 1.00 | 1.00 | 1.00 | 1.00 | 1.00 |
Mg | 1.04 | 1.03 | 1.05 | 1.04 | 1.06 | 1.10 | 1.09 | 1.09 | 1.15 | 1.15 | 1.12 | 1.17 | 1.16 | 1.12 | 1.06 |
Fe | 0.92 | 0.93 | 0.91 | 0.92 | 0.89 | 0.85 | 0.86 | 0.87 | 0.81 | 0.81 | 0.84 | 0.79 | 0.79 | 0.83 | 0.90 |
Mn | 0.04 | 0.04 | 0.04 | 0.03 | 0.05 | 0.05 | 0.04 | 0.04 | 0.05 | 0.04 | 0.03 | 0.04 | 0.04 | 0.05 | 0.04 |
ΣA | 2.00 | 2.00 | 2.00 | 2.00 | 2.00 | 2.00 | 2.00 | 2.00 | 2.00 | 2.00 | 2.00 | 2.00 | 2.00 | 2.00 | 2.00 |
Al | 2.74 | 2.71 | 2.72 | 2.73 | 2.70 | 2.74 | 2.74 | 2.77 | 2.56 | 2.59 | 2.59 | 2.57 | 2.48 | 2.53 | 2.53 |
Fe3+ | 0.05 | 0.17 | 0.11 | 0.13 | 0.18 | 0.22 | 0.16 | 0.08 | 0.42 | 0.35 | 0.40 | 0.38 | 0.45 | 0.45 | 0.46 |
Fe2+ | 0.21 | 0.11 | 0.16 | 0.14 | 0.11 | 0.03 | 0.09 | 0.15 | 0.01 | 0.06 | 0.01 | 0.04 | 0.05 | 0.01 | 0.00 |
Ti | 0.01 | 0.01 | 0.01 | 0.01 | 0.01 | 0.01 | 0.01 | 0.01 | 0.01 | 0.00 | 0.00 | 0.01 | 0.02 | 0.01 | 0.02 |
ΣT2 | 3.00 | 3.00 | 3.00 | 3.00 | 3.00 | 3.00 | 3.00 | 3.00 | 3.00 | 3.00 | 3.00 | 3.00 | 3.00 | 3.00 | 3.00 |
Si | 10.37 | 10.32 | 10.36 | 10.35 | 10.32 | 10.17 | 10.22 | 10.25 | 10.20 | 10.28 | 10.19 | 10.19 | 10.16 | 10.18 | 10.15 |
Al | 1.63 | 1.68 | 1.64 | 1.65 | 1.68 | 1.83 | 1.78 | 1.75 | 1.80 | 1.72 | 1.81 | 1.81 | 1.84 | 1.82 | 1.85 |
ΣT1 | 12.00 | 12.00 | 12.00 | 12.00 | 12.00 | 12.00 | 12.00 | 12.00 | 12.00 | 12.00 | 12.00 | 12.00 | 12.00 | 12.00 | 12.00 |
ХMg | 0.46 | 0.45 | 0.46 | 0.46 | 0.46 | 0.49 | 0.49 | 0.49 | 0.47 | 0.48 | 0.47 | 0.48 | 0.47 | 0.46 | 0.43 |
Примечание. ХMg = Mg/(Mg+Fe+Mn).
Таблица 4. Химический состав (мас. %) биминеральных пар Grt–Орx, использованных для реконструкции P—T условий кристаллизации расплава (данные РСМА)
Минерал | № точки на рис. 15 | SiO2 | TiO2 | Al2O3 | Cr2O3 | FeO | MnO | MgO | CaO | Na2O | K2O | NiO | Сумма |
Grt-3 | 1 | 37.30 | 0.06 | 21.68 | 0.02 | 35.52 | 0.18 | 2.21 | 3.41 | 0.00 | 0.00 | 0.01 | 100.38 |
Opx-3 | 2 | 47.95 | 0.35 | 4.78 | 0.02 | 28.00 | 0.43 | 16.91 | 0.84 | 0.04 | 0.02 | 0.03 | 99.38 |
Grt-3 | 3 | 38.02 | 0.02 | 21.94 | 0.06 | 33.63 | 0.60 | 5.19 | 1.19 | 0.00 | 0.01 | 0.00 | 100.66 |
Opx-3 | 4 | 49.47 | 0.34 | 5.28 | 0.13 | 22.51 | 0.49 | 20.51 | 0.90 | 0.03 | 0.01 | 0.04 | 99.71 |
Grt-3 | 5 | 37.77 | 0.06 | 21.72 | 0.00 | 33.89 | 0.08 | 3.43 | 3.50 | 0.05 | 0.03 | 0.01 | 100.53 |
Opx-3 | 6 | 49.41 | 0.31 | 4.44 | 0.08 | 24.22 | 0.60 | 19.24 | 0.64 | 0.04 | 0.00 | 0.00 | 98.95 |
Grt-2 | 7 | 38.34 | 0.21 | 21.67 | 0.00 | 23.80 | 5.09 | 5.84 | 5.06 | 0.00 | 0.00 | 0.01 | 100.01 |
Opx-2 | 8 | 49.41 | 0.37 | 3.24 | 0.05 | 25.55 | 2.43 | 17.13 | 1.11 | 0.05 | 0.00 | 0.02 | 99.37 |
Таблица 5. P—T условия образования минеральных парагенетических ассоциаций из дацитов вулкана Кордиеритовый
Минеральный парагенезис, стадия эволюции | Состав | P—T условия |
Метаморфогенный, представлен реликтами ассимилированных расплавом минералов гранулитов | Crn, Spl-1, Grt-1, Орx-1, Ilm-1, Amp-1, Po (включения в Орx-1) | |
Раннемагматический, кристаллизация фенокристов в глубинной камере | Grt-2, Орx-2, Spl-2, Ilm-2, Amp-2 | Т = около 1130оС, P = 17–23 кбар |
Позднемагматический, кристаллизация фенокристов и микрофенокристов в промежуточных камерах | Grt-3, Pl-1, Орx-3, Osm, Ilm-2, Zrc | Т = 1030–920оС, P = 14–9 кбар |
Излияние расплава, застывание | Pl-2, Орx-3, Osm, Ilm-2, Ap, Trd, Phl, стекло | Т = 870–950оС, Р = 1 кбар |
Автометаморфизм в процессе остывания лавы | опацит – по Орx и Amp, в розовых дацитах Hem |
Рис. 12. Температура закрытия (Тс) кварца в зависимости от размера минерального зерна (а, б) и от положения образца в разрезе массива (в).
Расчетные кривые на рисунках (а, б) – изолинии скоростей остывания в присутствии водного флюида (P > 1 кбар Н2О, Dennis, 1984) и в “сухой” системе (Sharp et al., 1991) соответственно. Цифры около линий – скорость остывания (град./млн лет). Точки, соединенные линиями на всех рисунках, – результаты определения Тс кварца по единичным зернам, линии соединяют точки для одного и того же образца. На рисунке (в) сплошные ломаные линии – результаты определения Тс кварца с использованием фракций минерала, отобранных из дробленых образцов.
На рис. 12а, 12б показаны расчеты для двух крайних случаев – диффузии кислорода в кварце в гидротермальных (D0 = 2.09Е-11 м2/с, Eакт = 138.54 кДж/моль, Dennis, 1984) и в “сухих” условиях (D0 = 2.1Е-12 м2/с, Eакт = 159 кДж/моль, Sharp et al., 1991). Видно, что выбор уравнения диффузии играет определяющую роль при оценке абсолютного значения скорости остывания, и результаты могут различаться на порядки, не только если учитывать присутствие воды в системе (Kohn, 1999; Farver, 2010), но и ориентировку кристалла (Dennis, 1984, обзоры в Farver, 2010; Valley, 2001 и др.). Например, оценки скорости остывания для обр. Эл-3 могут составить как 1500, так и 8 град./млн лет, в зависимости от выбора условий диффузии и конкретного уравнения. Эти оценки являются почти идеальными: в обоих случаях три точки из четырех в обр. Эл-3 расположены на одной изолинии скоростей остывания. Остальные образцы тоже показывают значения Тс, которые в пределах образца соответствуют близким скоростям остывания. Однако абсолютные величины скорости остывания, установленные для разных образцов, различаются на порядки: от первых градусов до первых десятков тысяч градусов за млн лет при расчете по уравнению диффузии в гидротермальных условиях (Dennis, 1984) и от сотых долей градуса до первых сотен градусов за миллион лет при расчете по уравнению диффузии в “сухих” условиях (Sharp et al., 1991). Последний вариант выглядит более реалистичным, и часть полученных оценок близка к интервалу 200–500 град./млн лет, установленному по поведению изотопной системы аргона в биотите (Gazis et al., 1995). Это соответствие указывает на остывание гранитов Эльджуртинского массива в условиях низкой активности воды. Поскольку выбор уравнения диффузии кислорода в кварце (Dennis, 1984; Freer, Dennis, 1982; Farver, Yund, 1982; Sharp et al., 1991) сильно влияет на определение скорости остывания, для дальнейших исследований желательно иметь независимую оценку возможного присутствия значительного количества водного флюида в системе.
Для обр. Эл-4 наблюдается разброс значений Тс, который не компенсируется разницей в размерах минеральных зерен (рис. 12а, 12б). Возможно, что кварц в этом образце испытывал частичное открытие изотопной системы кислорода, вероятнее всего в зерне большего размера. Это наблюдение согласуется с положением обр. Эл-4 в разрезе массива – он приурочен к зоне, в которой наблюдаются следы гидротермальных изменений (Докучаев, Носова, 1994).
Полученные Тс закономерно связаны с положением образца в вертикальном разрезе массива (рис. 12б). Более высокие Тс, как и более высокие скорости остывания, приурочены к верхней части разреза. Это вполне объяснимо, поскольку породы, находящиеся в кровле массива, остывают быстрее из-за большего градиента температуры между горячей породой и окружающей средой. Однако для Эльджуртинского массива, скорее, наблюдается разбиение оценок на две группы – для образцов из верхней и нижней частей массива. Граница между этими двумя группами пород находится на уровне 2800–3000 м, где расположена нижняя часть зоны со следами слабых гидротермальных изменений (рис. 2). Граниты верхней части массива имеют в целом более высокие скорости остывания, чем граниты из нижней части (обр. Эл-10, Эл-12). Оценки скоростей остывания для последних низкие – менее 10 град./млн лет и являются маловероятными даже при расчете по уравнению диффузии в гидротермальных условиях (Dennis, 1984). Различие в скоростях остывания верхней и нижней частей Эльджуртинского массива корреспондируется с различиями в трендах изменения концентраций микроэлементов в вертикальном разрезе (рис. 7). Зона, в которой происходят изменения трендов на противоположные, располагается на глубине 2800–3200 м (рис. 7), т.е. совпадает с границей пород с разной скоростью остывания: обр. Эл-3, Эл-4 находятся в верхней части зоны, обр. Эл-10, Эл-12 – в нижней, обр. Эл-7 попадает в область перехода (излома трендов и скачков концентраций) (рис. 7, 12б).
Совокупность полученных данных приводит к выводу о двухэтапном становлении Эльджуртинского массива гранитов, при котором первой кристаллизовалась нижняя часть разреза, а вторая инъекция гранитного расплава поступила непосредственно вслед за первой, которая к данному моменту успела закристаллизоваться, но еще не успела существенно остыть. Значения Тс в нижней части массива указывают на повторное открытие изотопной системы кислорода кварца с последующим длительным изотопным переуравновешиванием между минералами. Это приводит к снижению наблюдаемой Тс и расчетных скоростей остывания породы, поскольку возрастает объем интрузивного тела, а остывание происходит в окружении уже прогретых пород. Аналогичные соотношения кажущихся скоростей остывания были установлены нами для полифазного гранитного массива Раумид, расположенного на Южном Памире (Дубинина и др., 2023). В Эльджуртинском массиве вероятная граница между фазами внедрения маркируется лишь следами флюидной деятельности без заметных закалочных соотношений, что указывает на “горячий” контакт пород. Более четкой геологической границы на данной глубине не отмечается, что говорит о крайне малом временном перерыве между внедрениями.
Полученные оценки температуры закрытия, установленные по единичным кристаллам кварца, интересно сравнить с результатами по отборкам из дробленого образца. На рис. 10б вместе с определениями по единичным зернам показаны оценки Тс кварца, рассчитанные по данным из табл. 2, а также ранее опубликованные данные (Gazis et al., 1995). Видно, что отсутствие контроля размера минеральных зерен и анализ фрагментов кварца, отобранных из дробленой породы, приводят не только к более высоким значениям Тс, но и к более хаотичной картине распределения этой величины в вертикальном разрезе массива. Тем не менее основное наблюдение, полученное при оценке Тс по единичным зернам кварца, вновь подтверждается: верхняя часть опробованных скважиной пород характеризуется более высокими Тс, чем нижняя.
Флюидный режим формирования гранитов Эльджуртинского массива: реконструкция с использованием изотопных (δ18О, δD) параметров биотита
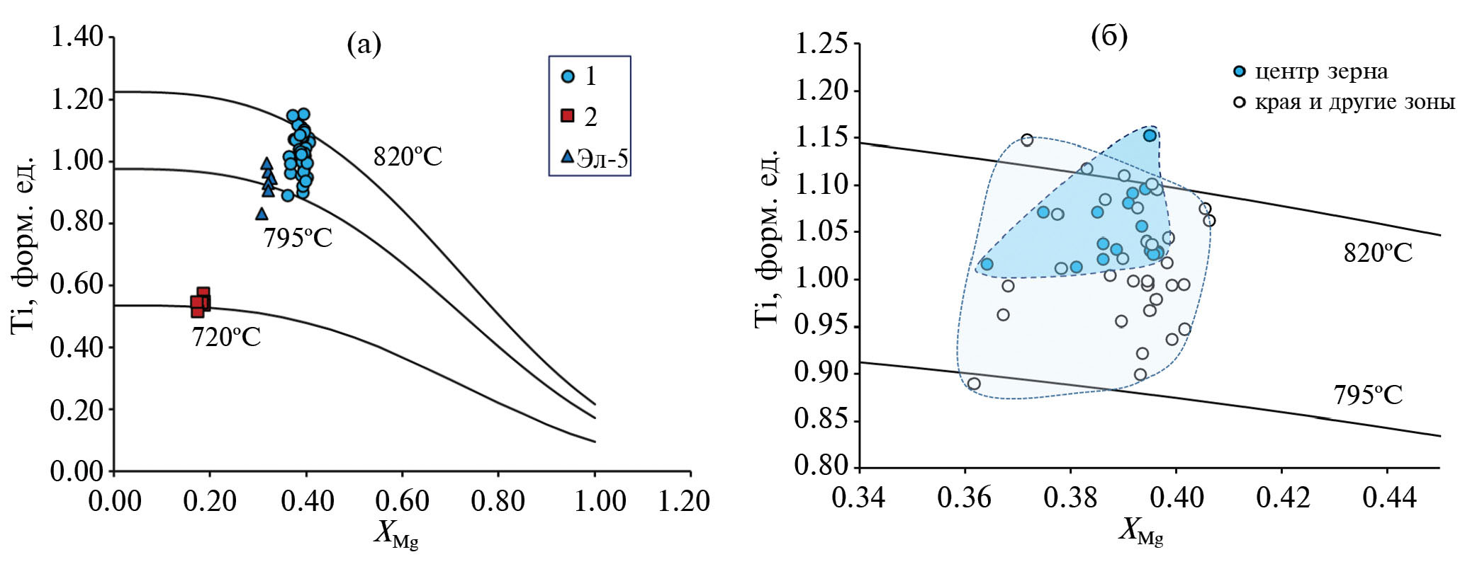
Основным минералом, несущим наиболее полную информацию о флюидном режиме гранитов, является биотит, в котором как минимум две изотопные системы (δ18О, δD) могут отражать воздействие водного флюида. Для реконструкции изотопных параметров флюида необходимо оценить температуру формирования биотита. Один из независимых способов – оценка по распределению Ti и Mg в минерале (Ti—ХMg термометр; Henry, 2005). Согласно составу проанализированных образцов биотита в эльджуртинских гранитах (см. Supplementary 1, ESM_3), интервал полученных значений температуры оказался крайне узким – от 795 до 820оС (рис. 13а), причем центральные части зерен биотита, наименее затронутые процессами диффузионного перераспределения элементов, показали еще более узкий интервал температуры, близкий к 820оС (рис. 13б). Исключение составил биотит из образца мусковит-биотитового гранита (обр. Эл-14, 720оС) и обр. Эл-5, в котором он имеет отчетливые следы хлоритизации и пониженное содержание Mg. Для остальных биотитов можно принять единый верхний предел температуры формирования, равный 820 ± 12оС (с учетом ошибки геотермометра, Henry, 2005).
Рис. 13. Температура формирования биотита по Ti–ХMg термометру (Henry, 2005).
Биотит всех образцов, кроме лейкогранитов, (а): 1 – все биотитовые граниты, 2 – двуслюдяные граниты, Эл-5 – хлоритизированный биотит из данного образца. На рисунке (б) отдельно показаны результаты анализа центральных и краевых зон зерен нехлоритизированного биотита из биотитовых гранитов.
В выборе нижнего предела температуры существует неопределенность, особенно для оценки величины δD флюида. Изотопная система водорода биотита контролируется, главным образом, наличием флюидной фазы и закрывается при температуре, заведомо ниже, чем интервал температуры закрытия изотопной системы кислорода (380–430оС), так как скорости диффузии водорода в слоистых силикатах на 2.5–4 порядка выше, чем кислорода (Farver, 2010). В результате интервал температуры, в пределах которого может фиксироваться величина δD биотита, является широким, а сама величина фиксируется в неизвестный момент прекращения изотопного обмена водорода с флюидом либо за счет остывания, либо за счет исчезновения флюида из системы.
На рис. 14 представлены варианты расчета величин δ18О и δD водного компонента флюида, равновесного с биотитом. Наиболее очевидный из них – равновесие на верхнем пределе температуры формирования биотита (820оС) – и это крайняя оценка, которая показывает, что значения δ18О, δD водного компонента флюида соответствуют интервалу, характерному для флюида с магматогенными изотопными характеристиками (расчет для кислорода проведен по уравнениям из согласованной базы Vho et al., 2019, для водорода – по уравнению Suzuoki, Epstein, 1976). При понижении температуры точки, соответствующие флюидной фазе на рис. 14, сдвигаются вверх и влево, но в основном они все равно находятся в районе “магматического” бокса. Второй вариант расчета опирается на оценки температуры закрытия изотопной системы кислорода кварца, которая фиксирует окончание обмена флюида с кварцем, третий – на оценки температуры закрытия изотопной системы кислорода биотита, т.е. на минимально возможную температуру его изотопного обмена с флюидом. Последний вариант дает маловероятные, слишком высокие значения δD флюида, что, возможно, указывает на прекращение изотопного обмена водородом еще до закрытия изотопной системы биотита. Так или иначе, расчеты показывают, что изотопные параметры флюида отвечают равновесию с магматическими породами в широком интервале температуры и не соответствуют представлениям об участии какого-либо внешнего флюида на стадии остывания эльджуртинских гранитов. Имеющиеся данные не позволяют также предполагать и значимую гидротермальную деятельность в пределах эльджуртинского массива. Собственная флюидная фаза, по-видимому, могла приводить лишь к автометасоматическим изменениям, но их слабая выраженность указывает на низкую активность и этого процесса.
Рис. 14. Изотопные характеристики (δ18О и δD) биотита гранитов Эльджуртинского массива (1) и рассчитанные параметры водного компонента флюида (2–4), равновесного с биотитом при: 2 – температуре формирования биотита, согласно Ti–ХMg термометру; 3 – температуре закрытия изотопной системы кислорода кварца; 4 – температуре закрытия биотита (расчет по методу Farquhar et al., 1993) (см. пояснения в тексте). МВох – “магматический” бокс.
Формирование Эльджуртинского массива биотитовых гранитов
Все представленные результаты позволяют составить непротиворечивую схему становления массива эльджуртинских гранитов и оценить их роль в формировании месторождения Тырныауз. Форма гранитного тела (Пэк, 1962; Chernyshev, 1985; Soloviev et al., 2021) позволяет предположить, что его внедрение происходило по системе разломов, один из которых имел субгоризонтальное положение (рис. 15а). Мы не можем оценить предысторию массива до внедрения порции расплава, которая сформировала интервал 2400–3800 м разреза на глубинах в ТГС. Однако наши данные указывают на то, что вслед за внедрением первой порции расплава последовал второй этап внедрения, который привел к дополнительному прогреву нижней части массива, “омоложению” аргонового возраста окружающих пород (Gazis et al., 1995) и искажению температуры закрытия минералов (рис. 15б).
Рис. 15. Схема становления Эльджуртинского массива: (а) – этап перед внедрением расплавов биотитовых гранитов, возникновение разломов и ослабленных зон; (б) – внедрение первой порции расплавов и начало внедрения второй порции; (в) – окончание внедрения второй порции расплавов и остывание массива как единого тела. 1 – зона Главного хребта (мигматиты, гнейсы, сланцы); 2–5 – зона Передового хребта: 2 – филлиты, алевролиты, песчаники, 3 – лавы основного, среднего и кислого составов, туфы, туффиты, песчаники, конгломераты, глинистые сланцы, 4 – алевролиты, песчаники, конгломераты, 5 – известняки; 6 – зона трещиноватости; 7 – гранитные расплавы; 8 – скарново-рудные тела с Mo-W оруденением; 9 – зоны циркуляции флюида.
Продолжающаяся дифференциация в глубинной камере сформировала расплав, внедрившийся на финальной стадии в виде даек лейкогранитов в ослабленную зону контакта двух фаз биотитовых гранитов. Внедрение и остывание сформировавшегося крупного гранитного тела могло привести к циркуляции флюида, находящегося в порово-трещинном пространстве окружающих осадочных пород и, возможно, вызвать ремобилизацию рудного вещества с формированием части метасоматитов месторождения Тырныауз (рис. 15б, 15в). Дальнейшее остывание массива происходило (и продолжается сейчас, судя по наблюдаемым температурам в забое скважин, например, Gazis et al., 1995) как остывание единого интрузивного тела.
Заключение
Геохимические и изотопные (δ18О, δD) характеристики гранитов Эльджуртинского массива не дают прямых указаний на вещественную связь с месторождением Тырныауз, однако внедрение массива могло играть существенную роль в процессах флюидного переноса и переотложения рудного вещества в окружающих породах. Все имеющиеся вариации величины δ18О в минералах биотитовых гранитов Эльджуртинского массива могут быть описаны в рамках простого ретроградного обмена на стадии остывания. Результаты определения скоростей остывания пород по единичным зернам кварца позволили установить, что становление массива протекало, по меньшей мере, в два основных этапа, очень близких по времени. Рассчитанные нами абсолютные величины скоростей остывания пород более реалистичны, если использовать уравнения диффузии кислорода в кварце, полученные при низком парциальном давлении воды. Это не позволяет считать высоким флюидный потенциал гранитов Эльджуртинского массива. Полученный вывод согласуется и с поведением изотопных систем кислорода и водорода биотита, которые также не дают оснований привлекать какие-либо гипотезы об участии экзогенных флюидов на этапе остывания гранитов Эльджуртинского массива.
Не менее важным является полученное доказательство работоспособности уравнения Додсона для описания изотопных отношений кислорода зерен кварца в остывающей гранитной породе. Предложенный нами подход к определению значений Тс для единичных зерен кварца можно рассматривать как первую попытку детальной реконструкции термальной истории становления интрузивных тел, а именно, установления полифазности внедрения расплавов, которую не всегда можно доказать непосредственными геологическими наблюдениями. Даже предварительные результаты, полученные при термометрии единичных зерен кварца, позволяют приходить к важным выводам. Например, сам факт соответствия значений Тс для зерен кварца разного размера одной и той же скорости остывания указывает на неосложненную термальную историю породы. Разброс полученных оценок скорости остывания для одного домена породы, напротив, может указывать на нарушение монотонного остывания тела. К таким нарушениям можно отнести наложенные термальные события, в том числе – внедрение последующих порций расплава или эпизоды метаморфизма. Подход, примененный нами в настоящей работе, основан на современных методах изотопного анализа кислорода, позволяющих анализировать единичные зерна минералов. Возможные пути его усовершенствования лежат в области разработки более совершенных методов извлечения ненарушенных зерен из образца породы, а также в экспериментальном уточнении параметров уравнений диффузии кислорода в силикатных минералах.
Благодарности. Авторы глубоко признательны Н.Н. Круку, конструктивные замечания которого помогли улучшить статью.
Источники финансирования. Работа выполнена в рамках государственного задания ИГЕМ РАН, тема FMMN-2021-0009 121041500219-4
1 В дополнительных материалах к русской и английской онлайн-версиям статьи на сайтах https://elibrary.ru/ и http://link.springer.com/ соответственно приведены Supplementary 1:
ESM_1 − Минеральный состав пород;
ESM_2 − Элементный состав пород;
ESM_3 − Элементный состав биотита.
About the authors
Е. O. Dubinina
Institute of Geology of Ore Deposits, Petrography, Mineralogy and Geochemistry of the Russian Academy of Sciences
Author for correspondence.
Email: elenadelta@gmail.com
Russian Federation, Moscow
A. S. Аvdeenko
Institute of Geology of Ore Deposits, Petrography, Mineralogy and Geochemistry of the Russian Academy of Sciences
Email: elenadelta@gmail.com
Russian Federation, Moscow
A. А. Nosova
Institute of Geology of Ore Deposits, Petrography, Mineralogy and Geochemistry of the Russian Academy of Sciences
Email: elenadelta@gmail.com
Russian Federation, Moscow
Yu. N. Chizhova
Institute of Geology of Ore Deposits, Petrography, Mineralogy and Geochemistry of the Russian Academy of Sciences
Email: elenadelta@gmail.com
Russian Federation, Moscow
S. E. Borisovskii
Institute of Geology of Ore Deposits, Petrography, Mineralogy and Geochemistry of the Russian Academy of Sciences
Email: elenadelta@gmail.com
Russian Federation, Moscow
O. M. Zhilicheva
Institute of Geology of Ore Deposits, Petrography, Mineralogy and Geochemistry of the Russian Academy of Sciences
Email: elenadelta@gmail.com
Russian Federation, Moscow
А. Ya. Dokuchaev
Institute of Geology of Ore Deposits, Petrography, Mineralogy and Geochemistry of the Russian Academy of Sciences
Email: elenadelta@gmail.com
Russian Federation, Moscow
References
- Аракелянц М.М., Борсук А.М., Шанин Л.Л. Новейшая гранитоидная вулкано-плутоническая формация Большого Кавказа по данным калий-аргонового датирования // Докл. АН СССР. 1968. Т. 182. № 5. С. 1157–1160.
- Борсук А.М., Аракелянц М.М., Шанин Л.Л. Этапы кайнозойского гранитоидного магматизма и молибденового оруденения на Северном Кавказе по геологическим и радиологическим данным // Изв. АН СССР. Сер. геол. 1972. № 2. С. 135–138.
- Докучаев А.Я., Носова А.А. Рудная минерализация в разрезе Тырныаузской глубокой скважины (Северный Кавказ) // Геология рудн. месторождений. 1994. № 3. С. 218–229.
- Дубинина Е.О., Авдеенко А.С., Волков В.Н. и др. Высокофракционированные граниты массива Раумид (Южный Памир): изотопное (δ18О) и геохимическое изучение // Петрология. 2023. Т. 31. № 4. С. 349–375.
- Журавлев Д.З., Негрей Е.В. Синхронность формирования Эльджуртинского гранита и рудоносных метасоматитов Тырныауза (Северный Кавказ) по данным Rb-Sr метода // Докл. АН. 1993. Т. 332. № 4. С. 483–487.
- Костицын Ю.А. Становление эльджуртинского гранита по изотопным данным (кислород и стронций) в вертикальном разрезе // Геохимия. 1995. № 6. С. 780–797.
- Костицын Ю.А., Кременецкий А.А. Возраст заключительного магматического этапа эльджуртинского гранита: Rb-Sr изотопное датирование аплитов // Геохимия. 1995. № 7. С. 925–931.
- Курдюков А.А. Структурно-магматические предпосылки оценки возраста редкометального оруденения Тырныауза // Геология рудн. месторождений. 1983. № 4. С. 49–63.
- Лебедев В.А., Чернышев И.В., Чугаев А.В., Аракелянц М.М. Продолжительность молодого (плиоценового) интрузивного магматизма в Тырныаузском рудном поле, Северный Кавказ: новые K-Ar и Rb-Sr данные // Докл. АН. 2004. Т. 396. № 2. С. 244–248.
- Ляхович В.В. Связь оруденения с магматизмом (Тырныауз). М.: Наука, 1976. 424 с.
- Ляхович В.В., Гурбанов А.Г. Геохимия и условия становления Эльджуртинского массива (Северный Кавказ) // Геохимия. 1992. № 6. С. 800–812.
- Пэк А.В. Геологическое строение рудного поля и месторождения Тырныауз. М.: Изд-во АН СССР, 1962.168 с
- Соболев Р.Н., Кононов О.В. Новые данные об этапах формирования гранитов массива Эльджурты // Докл. АН. 1993. Т. 330. № 3. С. 360–362.
- Соловьев С.Г., Кряжев С.Г., Семенова Д.В. и др. Изотопный U-Pb возраст циркона (метод LA-ICP-MS) из магматических пород Мо-W месторождения Тырныауз (Северный Кавказ, Россия) и некоторые аспекты его генезиса // Геология рудн. месторождений. 2021. Т. 63. № 5. С. 427–450.
- Хитаров Н.И., Сендеров Э.Э., Бычков А.М. и др. Особенности условий становления Эльджуртинского гранитного массива. М.: Наука, 1980. 120 с.
- Чернышев И.В., Лебедев В.А., Бубнов С.Н. и др. Плиоценовые игнимбриты Приэльбрусья и их место в истории неоген-четвертичного вулканизма Большого Кавказа // Докл. АН. 2011. Т. 436. № 2. С. 247–252.
- Ballouard C., Poujol M., Boulvais P. et al. Nb-Ta fractionation in peraluminous granites: A marker of the magmatic-hydrothermal transition // Geology. 2016. V. 44. Is. 3. P. 231–234.
- Bonin B. A-type granites and related rocks: evolution of concept, problems and prospects // Lithos. 2007. V. 97. P. 1–29.
- Chacko T., Cole D. R., Horita J. Equilibrium oxygen, hydrogen and carbon isotope fractionation factors applicable to geological systems // Rev. Mineral. Geochem. 2001. V. 43. P. 1–81.
- Chernyshev V.F. Geological-structural conditions of formation of Scheelitebearing skarns, Moscow: Nauka Publishing, 1985. 280 p. (in Russian)
- Clayton R.N., Kieffer S.W. Oxygen isotopic thermometer calibrations // Stable Isotope Geochemistry: A Tribute to Samuel Eptein. Eds. H.P. Taylor, J.R. O’NeiI, I.R. Kaplan. Geochem. Sot. Spec. Publ. 1991. V. 3. P. 3–10.
- Dennis P.F. Oxygen self-diffusion in quartz under hydrothermal conditions // J. Geoph. Res. 1984. V. 89. P. 4047–4057.
- Dodson M.H. Theory of cooling ages // Lectures in Isotope Geology. Eds. E. Jager, J.C. Hunziker. Berlin: Springer, 1979. P. 194–202.
- Dodson M.I. Closure temperature in cooling geochronological and petrological systems // Contrib. Mineral. Petrol. 1973. V. 40. P. 259–274.
- Eiler J.M., Valley J.W., Baumgartner L.P. A new look at stable isotope thermometry // Geochim. Cosmochim. Acta. 1993. V. 57. P. 2571–2583.
- Farquhar J., Chacko T., Frost B.R. Strategies for high-temperature oxygen isotope thermometry: a worked example from the Laramie Anorthosite Complex, Wyoming, USA // Earth. Planet. Sci. Lett. 1993. V. 117. P. 407–422.
- Farver J.R. Oxygen and hydrogen diffusion in minerals // Earth, Environment, and Society Faculty Publ. 2. 2010. V. 2. https://scholarworks.bgsu.edu/sees_pub/2
- Farver. J.R., Yund R.A. Oxygen diffusion in quartz: Dependence on temperature and water fugacity // Chem. Geol. 1991. V. 90. P. 55–70.
- Freer R., Dennis P.F. Oxygen diffusion studies. I. A preliminary ion microprobe investigation of oxygen diffusion in some rock-forming minerals // Mineral. Mag. 1982. V. 45. P. 179–192.
- Frost B.R., Barnes C.G., Collins W.J. et al. A geochemical classification of granitic rocks // J. Petrol. 2001. V. 42. № 11. P. 2033–2048.
- Ganguly J., Tirone M. Diffusion closure temperature and age of a mineral with arbitrary extent of diffusion: Theoretical formulation and applications // Earth Planet Sci. Lett. 1999. V. 170. P. 131–140.
- Gazis C.A., Lanphere M., Taylor H.P., Gurbanov A. 40Ar/39Ar and 18O/16O studies of the Chegem ash-flow caldera and the Eldjurta granite: Cooling of two late Pliocene igneous bodies in the Greater Caucasus Mountains, Russia // Earth Planet. Sci. Lett. 1995. V. 134. № 3–4. P. 377–391.
- Gehre M., Strauch G. High-temperature elemental analysis and pyrolysis techniques for stable isotope analysis // Rapid Commun. Mass Spectrom. 2003. V. 17. Is. 13. P. 1497–1503.
- Gonfiantini R. Advisory Group Meeting on Stable Isotope Reference Samples for Geochemical and Hydrological Investigations, Vienna, 19–21 September 1983. Rep. to Dir. Gen., Int. At. Energy Agency, 1984, Vienna, 77 p.
- Grün R., Tani A., Gurbanov A. et al. A new method for the estimation of cooling and denudation rates using paramagnetic centers in quartz: a case study on the Eldzhurtinskiy Granite, Caucasus // J. Geophys. Res. 1999. V. 104. P. 17.531–17.549.
- Henry D.J., Guidittic C.V., Thomson J.A. The Ti-saturation surface for low-to-medium pressure metapelitic biotites: implications for geothermometry and Ti-substitution mechanisms // Amer. Mineral. 2005. V. 90. P. 316–328.
- Hess J.C., Lippolt H.J., Gurbanov A.G., Michalski I. The cooling history of the late Pliocene Eldzhurtinskiy granite (Caucasus, Russia) and the thermochronological potential of grain-size/age relationships // Earth Planet. Sci. Lett. 1993. V. 117. № 3–4. P. 393–406.
- Huang R., Audétat A. The titanium-in-quartz (TitaniQ) thermobarometer: а critical examination and re-calibration // Geochim. Cosmochim. Acta. 2012. V. 84. P. 75–89.
- Hut G. Consultants’ Group Meeting on Stable Isotope Reference Samples for Geochemical and Hydrological Investigations. Vienna, 16–18 September 1985. Rep. Dir. Gen., Int. Atomic Energy Agency, Vienna, 1987. 42 p.
- Jenkin G.R.T., Farrow C.M., Fallic A.E., Higgins D. Oxygen isotope exchange and closure temperatures in cooling rocks // J. Metamorph. Petrol. 1994. V. 12. P. 221–215.
- Kohn M.J. Why most “dry” rocks should cool “wet” // Amer. Mineral. 1999. V. 84. P. 570–580.
- McDonough W.F., Sun S.-S. The composition of the Earth // Chemical Geol. 1995. V. 120. P. 223–253.
- Muller A., Seltmann R., Behr H.-J. Application of cathodoluminescence to magmatic quartz in a tin granite – case study from the Schellerhau Granite Complex, Eastern Erzgebirge, Germany // Mineralium Deposita. 2000. V. 35. P. 169–189.
- Pearce J.A. Sources and settings of granitic rocks // Episodes. 1996. V. 19. Р. 120–125.
- Qi H., Coplen T., Gehre M. et al. New biotite and muscovite isotopic reference materials, USGS-57 and USGS-58, for δ2H measurements – A replacement for NBS-30 // Chemical Geol. 2017. V. 467. doi: 10.1016/j.chemgeo.2017.07.027
- Sharp Z.D. A laser-based microanalytical method for the in situ determination of oxygen isotope ratios in silicates and oxides // Geochim. Cosmochim. Acta. 1990. V. 54. P. 1353–1357.
- Sharp Z.D., Giletti B.J., Yoder H.S. Oxygen diffusion rates in quartz exchanged with CO2 // Earth Planet. Sci. Lett. 1991. V. 107. P. 339–348.
- Soloviev S.G., Kryazhev S.G., Dvurechenskaya S.S. et al. The superlarge Tyrnyauz skarn W(-Mo) and stockwork Mo(-W) to Au(-Mo, W, Bi, Te) deposit in the Northern Caucasus, Russia: Geology, geochemistry, mineralization, and fluid inclusion characteristics // Ore Geol. Rev. 2021. V. 138. Р. 1–28.
- Spicuzza M.J., Valley J.W., Kohn M.J. et al. The rapid heating, defocused beam technique: a CO2-laser-based method for highly precise and accurate determination of δ18O values of quartz // Chemical Geol. 1998. V. 144. P. 195–203.
- Suzuoki T., Epstein S. Hydrogen isotope fractionation between OH-bearing minerals and water // Geochim. Cosmochim. Acta. 1976. V. 40. P. 1229–1240.
- Sylvester P.J. Post-collisional alkaline granites // J. Geol. 1989. V. 97. P. 261–280.
- TC/EA Operating Manual. Thermo Scientific. 2001. Is. 11.
- Valley J.W. Stable isotope thermometry at high temperatures // Stable Isotope Geochem. Rev. Mineral. Geochem. 2001. V. 43. P. 365–414.
- Vho A., Lanari P., Rubatto D. An internally-consistent database for oxygen isotope fractionation between minerals // J. Petrol. 2019. V. 60. №. 11. P. 2101–2130.
Supplementary files
Note
1Дополнительные материалы размещены в электронном виде по doi статьи.

















