Thermodynamic Model of the Fluid System H2O–CO2–NaCl–CaCl2 at P-T Parameters of the Middle and Lower Crust
- Authors: Ivanov M.V.1
-
Affiliations:
- Institute of Precambrian Geology and Geochronology RAS
- Issue: Vol 31, No 4 (2023)
- Pages: 408-418
- Section: Articles
- URL: https://journals.rcsi.science/0869-5903/article/view/137155
- DOI: https://doi.org/10.31857/S0869590323040040
- EDN: https://elibrary.ru/RBVFMZ
- ID: 137155
Cite item
Full Text
Abstract
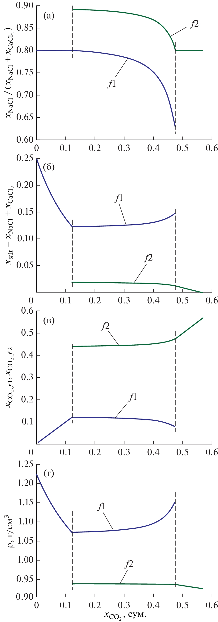
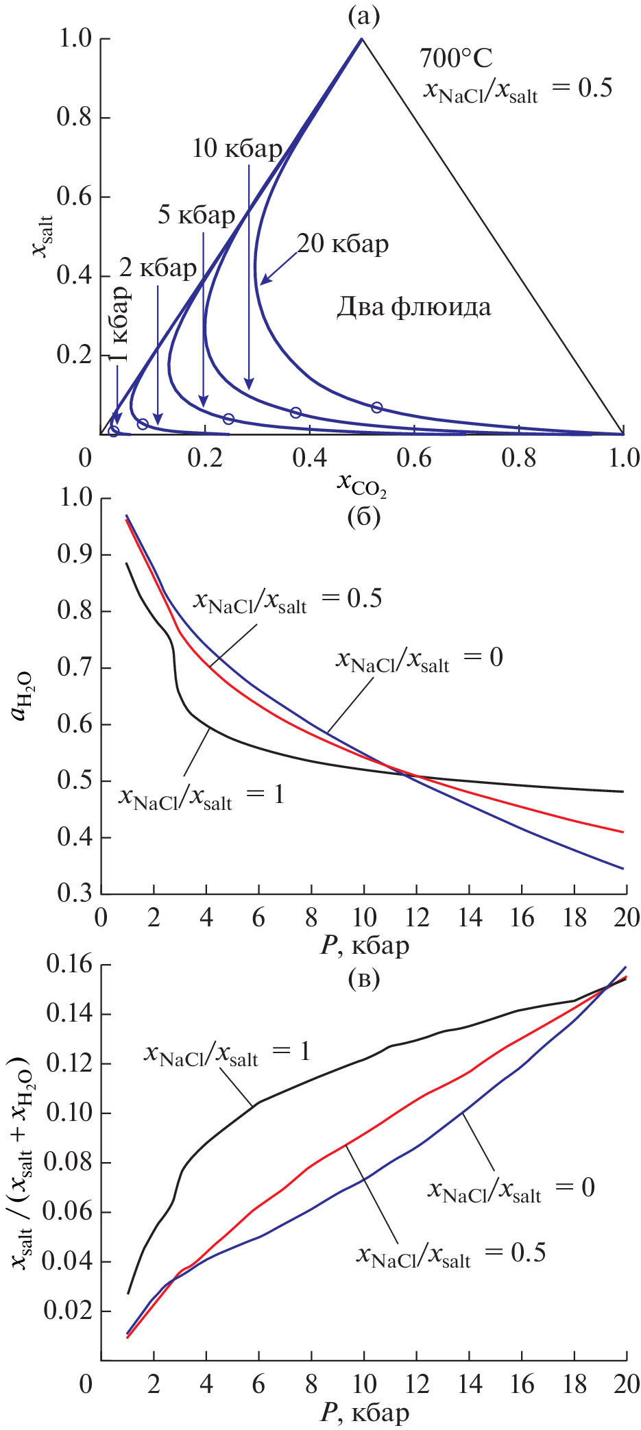
Based on the earlier obtained equations of state for the ternary systems H2O–CO2–CaCl2 and H2O–CO2–NaCl, an equation of state for the four-component fluid system H2O–CO2–NaCl–CaCl2 is derived in terms of the Gibbs excess free energy. A corresponding numerical thermodynamic model is build. The main part of the numerical parameters of the model coincides with the corresponding parameters of the ternary systems. The NaCl–CaCl2 interaction parameter was obtained from the experimental liquidus of the salt mixture. Similar to the thermodynamic models for H2O–CO2–CaCl2 and H2O–CO2–NaCl, the range of applicability of the model is pressure 1–20 kbar and temperature from 500°C to 1400°C. The model makes it possible to predict the physicochemical properties of the fluid involved in most processes of deep petrogenesis: the phase state of the system (homogeneous or multiphase fluid, presence or absence of solid salts), chemical activities of the components, densities of the fluid phases, and concentrations of the components in the coexisting phases. The model was used for a detailed study of the phase state and activity of water on the H2O–CO2–salt sections when changing the ratio \( {{{{x}_{{{\text{NaCl}}}}}} \mathord{\left/
{\vphantom {{{{x}_{{{\text{NaCl}}}}}} {\left( {{{x}_{{{\text{NaCl}}}}} + {{x}_{{{\text{CaC}}{{{\text{l}}}_{{\text{2}}}}}}}} \right)}}} \right.} {\left( {{{x}_{{{\text{NaCl}}}}} + {{x}_{{{\text{CaC}}{{{\text{l}}}_{{\text{2}}}}}}}} \right)}} \) from 1 to 0. Changes in the composition and density of coexisting fluid phases at a constant activity of water and changes in the total composition of the system are studied. A set of phase diagrams on sections H2O–NaCl–CaCl2 for different mole fractions of CO2 is obtained. Pressure dependencies of the maximal activity of water in the field of coexisting unmixable fluid phases are obtained for several salt compositions of the system. Due to removal of restrictions resulting from a smaller number of components in ternary systems, the thermodynamic behavior of systems with a mixed composition of the salt is significantly differ from the behavior of those with a single salt component.
Keywords
About the authors
M. V. Ivanov
Institute of Precambrian Geology and Geochronology RAS
Author for correspondence.
Email: m.v.ivanov@ipgg.ru
Russia, St. Petersburg
References
- Аранович Л.Я. Флюидно-минеральные равновесия и термодинамические свойства смешения флюидных систем // Петрология. 2013. Т. 21. № 6. С. 588–599.
- Аранович Л.Я. Роль рассолов в высокотемпературном метаморфизме и гранитизации // Петрология. 2017. Т. 25. № 5. С. 491–503.
- Аранович Л.Я., Закиров И.В., Сретенская Н.Г., Геря Е.В. Тройная система H2O–CO2–NaCl при высоких Р-T параметрах: Эмпирическая модель смешения // Геохимия. 2010. № 5. С. 1–10.
- Иванов М.В. Бушмин С.А. Уравнение состояния флюидной системы H2O–CO2–CaCl2 и свойства флюидных фаз при P-T параметрах средней и нижней коры // Петрология. 2019. Т. 27. № 4. С. 431–445.
- Иванов М.В., Бушмин С.А. Термодинамическая модель флюидной системы H2O–CO2–NaCl при P-T параметрах средней и нижней коры // Петрология. 2021. Т. 29. № 1. С. 90–103.
- Киссин И.Г. Флюиды в земной коре: геофизические и тектонические аспекты. М.: Наука, 2009. 328 с.
- Котельников А.Р., Котельникова З.А. Экспериментальное изучение фазового состояния системы H2O–CO2–NaCl методом синтетических флюидных включений в кварце // Геохимия 1990. № 4. С. 526–537.
- Леонов Ю.Г., Киссин И.Г., Русинов В.Л. (ред). Флюиды и геодинамика. М.: Наука, 2006. 283 с.
- Родкин М.В., Рундквист Д.В. Геофлюидогеодинамика. Приложение к сейсмологии, тектонике, процессам рудо- и нефтегенеза. Долгопрудный: Издательский дом “Интеллект”, 2017. 288 с.
- Aranovich L.Y., Newton R.C. H2O activity in concentrated NaCl solutions at high pressures and temperatures measured by the brucite – periclase equilibrium // Contrib. Mineral. Petrol. 1996. V. 125. P. 200–212.
- Aranovich L.Y., Newton R.C. H2O activity in concentrated KCl and KCl–NaCl solutions at high temperatures and pressures measured by the brucite-periclase equilibrium // Contrib. Mineral. Petrol. 1997. V. 127. P. 261–271.
- Aranovich L.Ya., Shmulovich K.I., Fed’kin V.V. The H2O and CO2 regime in regional metamorphism // Int. Geol. Rev. 1987. V. 29. P. 1379–1401.
- Bischoff J.L., Rosenbauer R.J., Fournier R.O. The generation of HCl in the system CaCl2–H2O: Vapor-liquid relations from 380–500°C // Geochim. Cosmochim. Acta. 1996. V. 60. P. 7–16.
- Chartrand P., Pelton A.D. Thermodynamic equation and optimization of the LiCl–NaCl–KCl–RbCl–CsCl–MgCl2‒CaCl2 system using the modified quasi-chemical model // Metall. Mater. Trans. A 2001. V. 32A. P. 1361–1383.
- Duan Z., Møller N., Weare J.H. Equation of state for the NaCl–H2O–CO2 system: prediction of phase equilibria and volumetric properties // Geochim. Cosmochim. Acta. 1995. V. 59. P. 2869–2882.
- Frantz J.D., Popp R.K., Hoering T.C. The compositional limits of fluid immiscibility in the system H2O–CO2–NaCl as determined with the use of synthetic fluid inclusions in conjunction with mass spectrometry // Chem. Geol. 1992. V. 98. P. 237–255.
- Heinrich W., Churakov S.S., Gottschalk M. Mineral-fluid equilibria in the system CaO–MgO–SiO2–H2O–CO2–NaCl and the record of reactive fluid flow in contact metamorphic aureoles // Contrib. Mineral. Petrol. 2004. V. 148. P. 131–149.
- Johnson E. L. Experimentally determined limits for H2O–CO2–NaCl immiscibility in granulites // Geology. 1991. V. 19. P. 925–928.
- Joyce D.B., Holloway J.R. An experimental determination of the thermodynamic properties of H2O–CO2–NaCI fluids at high temperatures and pressures // Geochim. Cosmochim. Acta. 1993. V. 57. P. 733–746.
- Liebscher A. Experimental studies in model fluid systems // Rev. Mineral. Geochem. 2007. V. 65. № 1. P. 15–47.
- Manning C.E. Fluids of the lower crust: deep is different // Annu. Rev. Earth Planet. Sci. 2018. V. 46. P. 67–97.
- Manning C.E., Aranovich L.Y. Brines at high pressure and temperature: thermodynamic, petrologic and geochemical effects // Precambr. Res. 2014. V. 253. P. 6–16.
- Markl G., Bucher K. Composition of fluids in the lower crust inferred from metamorphic salt in lower crustal rocks // Nature. 1998. V. 391. P. 781–783.
- Seltveit A., Flood H. Determination of the solidus curve by tracer technique. The system CaCl2–NaCl // Acta Chem. Scand. 1958. V. 12. P. 1030–1041.
- Shmulovich K.I., Graham C.M. An experimental study of phase equilibria in the system H2O–CO2–NaCl at 800°C and 9 kbar // Contrib. Mineral. Petrol. 1999. V. 136. P. 247–257.
- Shmulovich K.I., Graham C.M. An experimental study of phase equilibria in the systems H2O–CO2–CaCl2 and H2O–CO2–NaCl at high pressures and temperatures (500–800°C, 0.5–0.9 GPa): geological and geophysical applications // Contrib. Mineral. Petrol. 2004. V. 146. P. 450–462.
- Steele-MacInnis M., Bodnar R.J., Naden J. Numerical mo-del to determine the composition of H2O–NaCl–CaCl2 fluid inclusions based on microthermometric and microanalitic data // Geochim. Cosmochim. Acta. 2011. V. 75. P. 21–40.
- Trommsdorff V., Skippen G., Ulmer P. Halite and sylvite as solid inclusions in high-grade metamorphic rocks // Contrib. Mineral. Petrol. 1985. V. 89. P. 24–29.
- Van den Kerkhof A.M., Hein U.F. Fliud inclusion petrography // Lithos. 2001. V. 55. P. 27–47.
- Zhang Y.-G., Frantz J.D. Experimental determination of the compositional limits of immiscibility in the system CaCl2–H2O–CO2 at high temperatures and pressures using synthetic fluid inclusions // Chem. Geol. 1989. V. 74. P. 289–308.
Supplementary files







