High Fractionated Granites of the Raumid Massif (S. Pamir): O-Isotope and Geochemical Study
- Authors: Dubinina E.O.1, Avdeenko A.S.1, Volkov V.N.1, Kossova S.A.1, Kovalchuck E.V.1
-
Affiliations:
- Institute of Geology of Ore Deposits, Petrography, Mineralogy, and Geochemistry, Russian Academy of Sciences
- Issue: Vol 31, No 4 (2023)
- Pages: 349-375
- Section: Articles
- URL: https://journals.rcsi.science/0869-5903/article/view/137152
- DOI: https://doi.org/10.31857/S0869590323020024
- EDN: https://elibrary.ru/GQRRRZ
- ID: 137152
Cite item
Full Text
Abstract
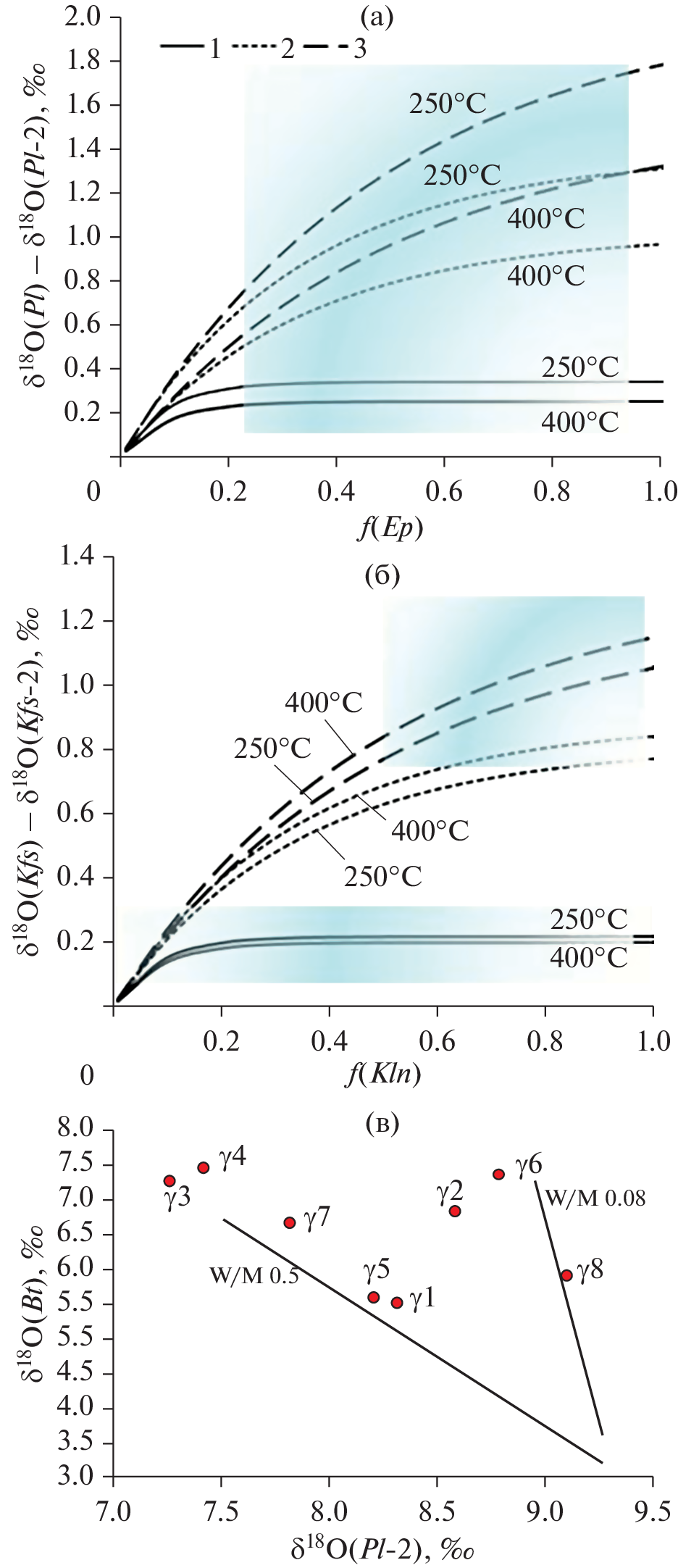
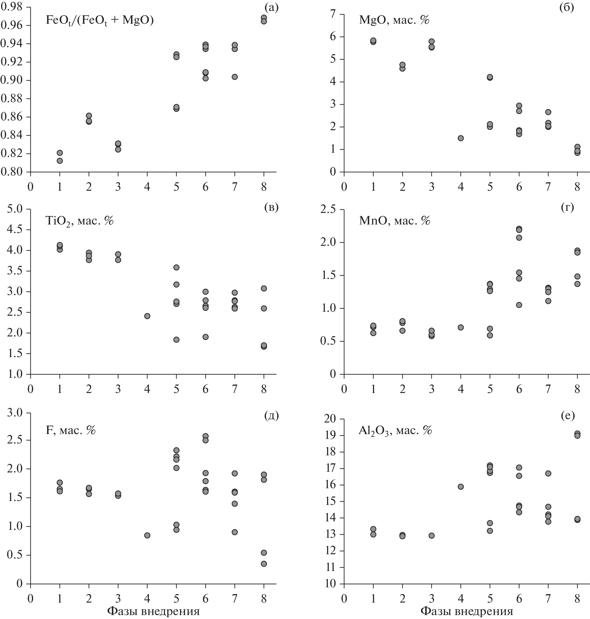
The processes of crystallization differentiation, retrograde isotopic exchange, and autometamorphism are considered using the “natural laboratory” – Eocene granites of the Raumid massif, which has eight intrusion phases. The work is based on a comprehensive (oxygen isotope, petrographic, geochemical) study of representative samples of each of the intrusion phases of the massif. Isotopic and geochemical studies of rock-forming minerals (Qz, Pl, Kfs, Bt), as well as their altered varieties, have been carried out. The geochemical features of the Raumid’s granites are correspond to both A-type granites and highly fractionated I-type granites. We show that the rocks of the Raumid massif are not the geochemical analog of the Qiangtang Eocene granitoids of the Central Tibet and the Vanj complex, as previously assumed (Chapman et al., 2018). The differentiation conditions for acidic melts that formed the Raumid pluton (T = 750–800°C, P = 4.5–7.8 kbar with predominant Pl crystallization) were estimated. The intrusion of melts into the hypabyssal zone proceeded at least in two stages: early (γ1–γ3) and late (γ4–γ8), although it is possible that the rocks of the γ7 and γ8 phases belonged to a separate stage. The closing temperature of the oxygen isotopic system of quartz (Тq) varies from 420 to 610°C, which indicates a wide range of cooling rates for these rocks. The effect of the multiphase nature of melt intrusion on the Тq and apparent cooling rates is considered. The study of altered and unaltered minerals makes it possible to establish that autometamorphism partially overlapped with the retrograde oxygen isotope exchange in the cooling rock. The modelling of the δ18О values of feldspars during autometamorphism in a system closed with respect to fluid show that the Pl saussuritization and Kfs kaolinitization proceeded at a limited fluid/mineral ratio (W/M = 0.3–0.05), which could be provided by aqueous fluid separated during the Raumid pluton cooling.
About the authors
E. O. Dubinina
Institute of Geology of Ore Deposits, Petrography, Mineralogy, and Geochemistry,Russian Academy of Sciences
Author for correspondence.
Email: elenadelta@inbox.ru
Russia, Moscow
A. S. Avdeenko
Institute of Geology of Ore Deposits, Petrography, Mineralogy, and Geochemistry,Russian Academy of Sciences
Email: elenadelta@inbox.ru
Russia, Moscow
V. N. Volkov
Institute of Geology of Ore Deposits, Petrography, Mineralogy, and Geochemistry,Russian Academy of Sciences
Email: elenadelta@inbox.ru
Russia, Moscow
S. A. Kossova
Institute of Geology of Ore Deposits, Petrography, Mineralogy, and Geochemistry,Russian Academy of Sciences
Email: elenadelta@inbox.ru
Russia, Moscow
E. V. Kovalchuck
Institute of Geology of Ore Deposits, Petrography, Mineralogy, and Geochemistry,Russian Academy of Sciences
Email: elenadelta@inbox.ru
Russia, Moscow
References
- Волков В.Н. Генезис вертикальной зональности Раумидского гранитного Плутона (Южный Памир) // Изв. АН СССР. Сер. Геолог. 1990. № 6. С. 52–63.
- Волков В.Н., Негрей Е.В. Строение плутона Раумид и проблема становления гранитных интрузивов // Сов. геология. 1974. № 3. С. 46–59.
- Волков В.Н., Шатагин К.Н., Крамчанинов А.Ю. О роли процессов контаминации и гибридизма при формировании гранитов многофазного раумидского массива (Памир) по данным изотопного Sm-Nd исследования // Докл. АН. 2016. Т. 470. № 3. С. 331–334.
- Гребенников А.В. Гранитоиды А-типа: проблемы диагностики, формирования и систематики // Геология и геофизика. 2014. Т. 55. № 9. С. 1356–1373.
- Дубинина Е.О., Носова А.А., Авдеенко А.С. и др. Изотопная (Sr, Nd, O) систематика высоко-Sr-Ba гранитоидов позднемиоценовых интрузивов района Кавказских Минеральных Вод // Петрология. 2010. Т. 18. № 3. С. 227–256.
- Дубинина Е.О., Андреева О.А., Авдеенко А.С. и др. Фракционирование изотопов кислорода в системе фенокрист–расплав: оценка равновесий в щелочных лавах вулкана Чанбайшань (Северо-Восточный Китай) // Петрология. 2020. Т. 28. № 5. С. 545–560.
- Костицын Ю.А., Волков В.Н. Неоднородность первичного изотопного состава стронция и петрогенезис гранитов Раумидского массива (Южный Памир) // Геохимия. 1989. № 6. С. 853–864.
- Костицын Ю.А., Волков В.Н., Журавлев Д.З. Редкие элементы и эволюция гранитного расплава (на примере Раумидского массива, Ю. Памир) // Геохимия. 2007а. № 10. С. 1057–1069.
- Костицын Ю.А., Белоусова Е.А., Волков В.Н. и др. Сравнительные исследования изотопного и элементного состава цирконов и материнских гранитов Раумидского массива // Материалы XVIII симпозиума по геохимии изотопов им. А.П. Виноградова, Москва, 14–16 ноября 2007 г. М.: ГЕОХИ РАН, 2007б. С. 51–52.
- Шатагин К.Н., Волков В.Н. Особенности Rb-Sr изотопной системы гранитов: результаты сравнительного изучения свежей и измененной разности плагиоклаза из лейкогранитов Раумидского массива (Памир) // Докл. АН. 2020 Т. 493. № 2 С. 41–44.
- Anderson J.L. Status of thermobarometry in granitic batholiths // Earth Environ. Sci. Trans. R. Soc. Edinburgh. 1996. V. 87. № 1–2. P. 125–138.
- Bachmann O., Bergantz G.W. On the origin of crystal-poor rhyolites: extracted from batholithic crystal mushes // J. Petrol. 2004. V. 45. № 8. P. 1565–1582.
- Bartley J.M., Glazner A.F., Stearns M.A. et al. The granite aqueduct and autometamorphism of plutons // Geosciences. 2020. V. 10. Iss. 4. P. 136.
- Boehnke P., Watson E.B., Trail D. et al. Zircon saturation re-revisited // Chem. Geol. 2013. V. 351. P. 324–334
- Bonin B. Ultrametamorphism and crustal anataxis // Geology. 2007. V. II. 7 p.
- Brown M. Granite: from genesis to emplacement // Geol. Soc. Amer. Bull. 2013. V. 125. P. 1079–1113.
- Bucholz C.E., Jagoutz O., VanTongeren J.A. et al. Oxygen isotope trajectories of crystallizing melts: Insights from modeling and the plutonic record // Geochim. Cosmochim. Acta. 2017. V. 207. P. 154–184.
- Castillo P.R. Adakite petrogenesis // Lithos. 2012. V. 134–135. P. 304–316.
- Chacko T., Cole D.R., Horita J. Equilibrium oxygen, hydrogen and carbon isotope fractionation factors applicable to geological systems // Stable isotope geochemistry. Rev. Mineral. Geochem. 2001. V. 43. P. 1–81.
- Chapman J.B., Scoggin S.H., Kapp P. et al. Mesozoic to Cenozoic magmatic history of the Pamir // Earth Planet. Sci. Lett. 2018. V. 482. P. 181–192.
- Collins W.J., Beams D.S., Whitea J.R. et al. Nature and origin of A-type granites with particular reference to southeastern Australia // Contrib. Mineral. Petrol. 1982. V. 80. P. 189–200.
- Creaser R.A., Price R.C., Wormald R.J. A-type granites revisited: assessment of a residual-source model // Geology. 1991. V. 19. P. 163–166.
- Dennis P.F. Oxygen self-diffusion in quartz under hydrothermal conditions // J. Geoph. Res. 1984a. V. 89. P. 4047–4057.
- Dennis P.F. Oxygen self-diffusion in quartz // Prog. Exp. Petrol. NERC Publ. D. 1984b. V. 25. P. 260–265.
- Dodson M.I. Closure temperature in cooling geochronological and petrological systems // Contrib. Mineral. Petrol. 1973. V. 40. P. 259–274.
- Dong Q., Du Y., Pang Z. et al. Composition of biotite within the Wushan granodiorite, Jiangxi Province, China: petrogenetic and metallogenetic implications // Earth Sci. Res. J. 2014. V. 18. № 1. P. 39–44.
- Dubinina E.O., Lakshtanov L.Z. A kinetic model of isotopic exchange in dissolution-precipitation processes // Geochim. Cosmochim. Acta. 1997. V. 61. P. 2265–2273.
- Dubinina E.O., Aranovich L.Y., van Reenen D.D. et al. Involvement of fluids in the metamorphic processes within different zones of the Southern Marginal Zone of the Limpopo complex, South Africa: an oxygen isotope perspective // Precambr. Res. 2015. V. 256. P. 48–61.
- Ducea M.N., Seclaman A.C., Murray K.E. et al. Mantle drip magmatism beneath the Altiplano-Puna plateau, central Andes // Geology. 2013. V. 41. № 8. P. 915–918.
- Eby N. Chemical subdivision of the A-type granitoids: petrogenetic and tectonic implications // Geology. 1992. № 1. P. 641–644
- Farquhar J., Chacko T., Frost B.R. Strategies for high-temperature oxygen isotope thermometry: a worked example from the Laramie Anorthosite Complex, Wyoming, USA // Earth. Planet. Sci. Lett. 1993. V. 117. P. 407–422.
- Fiebig J., Hoefs J. Hydrothermal alteration of biotite and plagioclase as inferred from intragranular oxygen isotope- and cation-distribution patterns // Eur. J. Mineral. 2002. V. 14. P. 49–60.
- Frost C.D., Frost B.R. Reduced rapakivi-type granites: the tholeiite connection // Geology. 1997. V. 25. P. 647–650.
- Frost C.D., Frost B.R. On ferroan (A-type) granitoids: their compositional Variability and Modes of Origin // J. Petrol. 2011. V. 52. № 1. P. 39–53.
- Frost B.R., Arculus R.J., Barnes C.G. et al. A geochemical classification of granitic rocks // J. Petrol. 2001. V. 42. № 11. P. 2033–2048.
- Frost C., Frost B., Bell J. et al. The relationship between A-type granites and residual magmas from anorthosite: evidence from the northern Sherman batholith, Laramie Mountains, Wyoming, USA // Precambr. Res. 2002. V. 119. P. 45–71.
- Gao P., Zhao Z.-F., Zheng Y.-F. Petrogenesis of Triassic granites from the Nanling Range in South China: implications for geochemical diversity in granites // Lithos. 2014. V. 210–211. P. 40–56.
- Gao P., Zheng Y.-F., Zhao Z.-F. Experimental melts from crustal rocks: a lithochemical constraint on granite petrogenesis // Lithos. 2016. V. 266. P. 133–157.
- Giletti B.J. Diffusion effects on oxygen isotope temperatures of slowly cooled igneous and metamorphic rocks // Earth. Planet. Sci. Lett. 1986. V. 77. P. 218–228.
- Harris C., Faure K., Diamond R.E. et al. Oxygen and hydrogen isotope geochemistry of S-and I-type granitoids: the Cape Granite suite, South Africa // Chem. Geol. 1997. V. 143. P. 95–114.
- Henry D.J., Guidittic C.V., Thomson J.A. The Ti-saturation surface for low-to-medium pressure metapelitic biotites: implications for geothermometry and Ti-substitution mechanisms // Amer. Mineral. 2005. V. 90. P. 316–328.
- Holtz F., Becker A., Freise M. et al. The water-undersaturated and dry Qz-Ab-Or system revisited. Experimental results at very low water activities and geological implications // Contrib. Mineral. Petrol. 2001. V. 141. P. 347–357.
- Jenkin G.R.T., Farrow C.M., Fallic A.E. et al. Oxygen isotope exchange and closure temperatures in cooling rocks // J. Metamorph. Petrol. 1994. V. 12. P. 221–215.
- King E.M., Valley J.W., Stockli D.F. et al. Oxygen isotope trends of granitic magmatism in the Great Basin: location of the Precambrian craton boundary as reflected in zircons // Geol. Soc. Amer. Bull. 2004. V. 116. № 3–4. P. 451–462.
- Kohn M.J. Why most “dry” rocks should cool “wet” // Amer. Mineral. 1999. V. 84. P. 570–580.
- Kohn M.J, Valley J.W. Obtaining equilibrium oxygen isotope fractionations from rocks: theory and examples // Contrib. Mineral. Petrol. 1998. V. 132. P. 209–224.
- Lee C-T. A., Morton D.M. High silica granites: Terminal porosity and crystal settling in shallow magma chambers // Earth. Planet. Sci. Lett. 2015. V. 409. P. 23–31.
- Long X., Wilde S.A., Wang Q. et al. Partial melting of thickened continental crust in central Tibet: evidence from geochemistry and geochronology of Eocene adakitic rhyolites in the northern Qiangtang Terrane // Earth Planet. Sci. Lett. 2015. V. 414. P. 30–44.
- Luth W. C., Jahns R. H., Tuttle O. F. The granite system at pressures of 4 to 10 kilobars // J. Geophys. Res. 1964. V. 69. Iss. 4. P. 759–773.
- Mohammadi N., Lentz D., McFarlane C. et al. Biotite composition as a tool for exploration: an example from Sn-W-Mo-bearing Mount Douglas Granite, New Brunswick, Canada // Lithos. 2021. V. 382–383. P. 105926.
- Moyen J.-F. High Sr/Y and La/Yb ratios: the meaning of the “adakitic signature” // Lithos. 2009. V. 112. P. 556–574.
- Nachit H., Ibhi A., Abia E. H. et al. Discrimination between primary magmatic biotites, reequilibrated biotites and neoformed biotites // C. R. Geosci. 2005. V. 337. № 16. P. 1415–1420.
- O’Neil J. R., Chappell B. W. Oxygen and hydrogen isotope relations in the Berridale Batholith // J. Geol. Soc. 1977. V. 133. P. 559–71.
- O’Neil J.R., Taylor H.P.J. The oxygen isotope and cation exchange // Amer. Mineral. 1967. V. 52. P. 1414–1437.
- Ou Q., Wang Q., Wyman D.A. et al. Eocene adakitic porphyries in the central-northern Qiangtang Block, central Tibet: partial melting of thickened lower crust and implications for initial surface uplifting of the plateau // J. Geophys. Res., Solid Earth. 2017. V. 122. P. 1025–1053.
- Pearce J.A., Harris N.B.W., Tindle A.J. Trace element discrimination diagrams for the tectonic interpretation of granitic rocks // J. Petrol. 1984. V. 25. P. 956–983.
- Savko K.A., Samsonov A.V., Kholina N.V. et al. 2.6 Ga high-Si rhyolites and granites in the Kursk Domain, Eastern Sarmatia: petrology and application for the Archaean palaeocontinental correlations // Precambri. Res. 2019. V. 322. P. 170–192.
- Sharp Z.D. A laser-based microanalytical method for the in situ determination of oxygen isotope ratios in silicates and oxides // Geochim. Cosmochim. Acta. 1990. V. 54. P. 1353–1357.
- Shabbani A.T., Lalonde A. Composition of biotite from granitic rocks of the Canadian Appalachian: a potential tectonomagmatic indicator? // Can. Mineral. 2003. V. 41. № 6. P. 1381–1396.
- Siegel K., Williams‑Jones A.E., Stevenson R. A Nd‑ and O‑isotope study of the REE‑rich peralkaline Strange Lake granite: implications for Mesoproterozoic A‑type magmatism in the Core Zone (NE‑Canada) // Contrib. Mineral. Petrol. 2017. V. 172. P. 54.
- Simon L., Lécuyer C. Continental recycling: the oxygen isotope point of view // Geochem. Geophys. Geosyst. 2005. V. 6. № 8. P. 1–10.
- Steinitz A., Katzir Y., Valley J.W. et al. The origin, cooling and alteration of A-type granites in southern Israel (northernmost Arabian–Nubian shield): a multi-mineral oxygen isotope study // Geol. Mag. 2009. V. 146. № 2. P. 276–290.
- Sylvester P.J. Post-collisional alkaline granites // J. Geol. 1989. V. 97. P. 261–280.
- Trumbull R.B., Harris C., Frindt S. et al. Oxygen and neodymium isotope evidence for source diversity in Cretaceous anorogenic granites from Namibia and implications for A-type granite genesis // Lithos. 2004. V. 73. P. 21–40.
- Uchida E., Endo S., Makino M. Relationship between solidification depth of granitic rocks and formation of hydrothermal Ore Deposits // Resour. Geol. 2007. V. 57. P. 47–56.
- Valley J.W. Stable isotope thermometry at high temperatures // Stable Isotope Geochemistry. Rev. Mineral. Geochem. 2001. V. 43. P. 365–414.
- Valley J.W., Kitchen N., Kohn M.J. et al. UWG-2, a garnet standard for oxygen isotope ratios: Strategies for high precision and accuracy with laser heating // Geochim. Cosmochim. Acta. 1995. V. 59. P. 5223–5231.
- Vho A., Lanari P., Rubatto D. An internally-consistent database for oxygen isotope fractionation between minerals // J. Petrol. 2020. https://doi.org/10.1093/petrology /egaa001
- Wang J., Dan W., Wang Q. et al. High-Mg# adakitic rocks formed by lower-crustal magma differentiation: mineralogical and geochemical evidence from garnet-bearing diorite porphyries in Central Tibet // J. Petrol. 2021. V. 62. Iss. 4. https://doi.org/%2010.1093/petrology/egaa099
- Wang Q., Wyman D.A., Xu J. et al. Eocene melting of subducting continental crust and early uplifting of central Tibet: evidence from central-western Qiangtang high-K calc-alkaline andesites, dacites and rhyolites // Earth Planet. Sci. Lett. 2008. V. 272. P. 158–171.
- Watson E.B., Harrison M. Zircon saturation revisited: temperature and composition effects in a variety of crustal magma types // Earth Planet. Sci. Lett. 1983. V. 64. P. 295–304.
- Wei C.S., Zheng Y.F., Zhao Z.F. Hydrogen and oxygen isotope geochemistry of A-type granites in the continental margins of eastern China // Tectonophysics. 2000. V. 328. P. 205–227.
- Wei C.S., Zheng Y.F., Zhao Z.F. et al. Oxygen and neodymium isotope evidence for recycling of juvenile crust in northeast China // Geology. 2002. V. 30 Iss. 4. P. 375–378.
- Weinberg R. F., Hasalova P. Water-fluxed melting of the continental crust: a review // Lithos. 2015. V. 212–215. P. 158–188.
- Whalen J.B., Currie K.L., Chappell B.W. A-type granites: geochemical characteristics discrimination and petrogenesis // Contrib. Mineral. Petrol. 1987. V. 95. P. 407–419.
- Whalen J.B., Jenner G.A., Longstaffe F.J. et al. Geochemical and isotopic (O, Nd, Pb and Sr) constraints on A-type granite petrogenesis based on the Topsails igneous suite, Newfoundland Appalachians // J. Petrol. 1996. V. 37. Iss. 6. P. 1463–1489.
- Wu F.Y., Jahn B.M., Wilde S.A. et al. Highly fractionated I-type granites in NE China (II): isotopic geochemistry and implications for crustal growth in the Phanerozoic // Lithos. 2003. V. 67. № 3–4. P. 191–204.
- Wu F.Y., Liu X.C., Ji W.Q. et al. Highly fractionated granites: recognition and research // Sci. China: Earth Sci. 2017. V. 60. № 7. P. 1201–1219.
- Yang X.M., Lentz D.R., Chi G. Ferric-ferrous iron oxide ratios: effect on crystallization pressure of granites estimated by Qtz-geobarometry // Lithos. 2021. V. 380–381. P. 105920.
- Yang W.B., Niu H.C., Hollings P. et al. The role of recycled oceanic crust in the generation of alkaline A-type granites // J. Geophys. Res. Solid Earth. 2017. V. 122. Iss. 12. Р. 9775–9783.
- Zhang B., Chen C., Gong X. et al. The Kamusite A2-type granites in the Karamaili tectonic belt, Xinjiang (NW China): tracing staged postcollisional delamination in the eastern Junggar // Geol. Mag. 2020. https://doi.org/10.1017/S0016756820000813
- Zhang X.H., Yuan L.L., Xue F.H. et al. Early permian A-type granites from central Inner Mongolia, North China: magmatic tracer of post collisional tectonics and oceanic crustal recycling // Gondwana Res. 2014. https://doi.org/10.1016/j.gr.2014.02.011
- Zhao Z.F., Zheng Y.F. Calculation of oxygen isotope fractionation in magmatic rocks // Chem. Geol. 2003. V. 193. P. 59–80.
Supplementary files

















