Synthesis of 5-Aryl-4-thioxo-2,3,4,5,6,8-hexahydro-7H-pyrido[3,2-e][1,3]thiazine-7-ones
- Authors: Frolov К.А.1, Krivokolysko B.S.1, Dotsenko V.V.2, Aksenov N.A.3, Krivokolysko S.G.1
- 
							Affiliations: 
							- V. Dahl Lugansk State University
- Kuban State University
- North Caucasus Federal University
 
- Issue: Vol 60, No 9 (2024)
- Pages: 984-991
- Section: Articles
- URL: https://journals.rcsi.science/0514-7492/article/view/284760
- DOI: https://doi.org/10.31857/S0514749224090051
- EDN: https://elibrary.ru/QNRREI
- ID: 284760
Cite item
Full Text
Abstract
Upon interaction of N-methylmorpholinium 4-aryl-5-cyano-2-oxo-1,2,3,4-tetrahydropyridine-6-thiolates with hydrogen sulfide and formaldehyde in ethanol 5-aryl-4-thioxo-2,3,4,5,6,8-hexahydro-7H-pyrido[3,2-e][1,3]thiazine-7-ones were obtained. The molecular and crystal structures of N-methylmorpholinium 5-cyano-4-(3,4,5-trimethoxyphenyl)-2-oxo-1,2,3,4-tetrahydropyridine-6-thiolate were studied using X-ray diffraction analysis.
Full Text
ВВЕДЕНИЕ
Среди производных пиридо[3,2-e][1, 3]тиазин-4-она [1–9] обнаружены соединения с выраженной биологической активностью в отношении кинетопластидного паразита Trypanosoma brucei, бактерии Mycobacterium tuberculosis. Соединения этого класса гетероциклов способны оказывать противосудорожное действие, выступать эффективными ингибиторами обратной транскриптазы ВИЧ (HIV-RT). Известны 3 соединения с частично гидрированным пиридиновым циклом [4, 10]. Пиридо[3,2-e][1, 3]тиазин-4-тионы представлены всего лишь одним соединением, полученным реакцией 3Н-[1, 2]дитиоло[3,4-b]пиридин-3-тиона с 3,4-дигидропирроло[1,2-a]пиразином [7]. Целью данной работы являлось изучение реакции тиометилирования ряда 1,4,5,6-тетрагидропиридин-2-тиолатов и возможности получения гетероциклических продуктов ряда пиридо[3,2-e][1, 3]тиазина.
РЕЗУЛЬТАТЫ И ОБСУЖДЕНИЕ
Ранее нами было показано, что взаимодействие N-метилморфолиния 4-арил-6-оксо-3-циано-1,4,5,6-тетрагидропиридин-2-тиолатов 1a–f в условиях реакции Манниха с первичными аминами и избытком формальдегида протекает с образованием производных пиридо[2,1-b][1, 3, 5]тиадиазина 2 [11]. Предполагалось, что замена в этой реакции аминов на сероводород в результате процессов циклотиометилирования [12] может привести к получению пиридо[2,1-d][1, 3, 5]дитиазинов 3.
Оказалось, что добавление к солям 1b,c избытка формалина при перемешивании в этаноле и последующее барботирование через реакционную смесь сероводорода при 20 °С приводят к образованию сложной осмолившейся смеси продуктов, которую не удалось разделить на отдельные компоненты. В случае соли 1a выделенный продукт перекристаллизовывали из этанола, в результате было получено индивидуальное соединение, идентифицированное нами как пиридо[3,2-e][1, 3]тиазин-4-тион (2а), с выходом 30%. Строение соединения 2а в растворе ДМСО-d6 дополнительно изучено с помощью комплекса методов двумерной спектроскопии ЯМР (1Н–13С HSQC и HMBC, 1Н–15N HSQC) (таблица), в спектрах HMBC корреляции 1Н–15N отсутствуют.
Таблица. Основные корреляции в двумерных спектрах ЯМР соединения 2a (химические сдвиги 1Н выделены синим цветом, 13C — красным, 15N — черным)
| δН, м. д. | δ, м. д. | ||
| 1Н–13С HSQC | 1Н–13С HMBC | 1Н–15N HSQC | |
| 2.44 уш.д (1Н, С(О)СН) | 36.8 (CC=O) | 36.5* (C5H), 138.3 (C1 Ar), 168.4 (C=O) | – | 
| 3.06 д.д (1Н, С(О)СН) | 36.8 (CC=O) | 36.5* (C5H), 111.9 (CC=S), 138.3 (C1 Ar), 168.4 (C=O) | – | 
| 4.59 д.д (1Н, NHCH) | 42.3 (SCH2) | 143.4 (NHCS), 189.6 (C=S) | – | 
| 4.70 д.д (1Н, NHCH) | 42.3 (SCH2) | 143.4 (NHCS), 189.6 (C=S) | – | 
| 5.58 уш.д (1Н, С5Н) | 36.5* (C5H) | 36.8 (CC=O), 111.9 (CC=S), 128.6* (C6H Ar), 138.3 (C1 Ar), 143.4 (NHCS), 168.4 (C=O), 189.6 (C=S) | – | 
| 7.12–7.15 м (1Н, С4Н, Ar) | 127.7* (C4H Ar) | 128.6* (C6H Ar), 132.5 (CCl) | – | 
| 7.24–7.26 м (2Н, C3H Ar и C6H Ar) | 127.5* (C3H Ar), 128.6* (C6H Ar) | 127.7* (C4H Ar), 129.9* (C5H Ar), 132.5 (CCl), 138.3 (C1 Ar) | – | 
| 7.44–7.46 м (1H, C5H Ar) | 129.9* (C5H Ar) | 127.5* (C3H Ar), 127.7* (C4H Ar), 128.6* (C6H Ar), 138.3 (C1 Ar) | – | 
| 9.90 уш.д.д (1Н, C(S)NH) | – | – | 128.7 (C(S)NH) | 
| 10.72 c (1H, C(O)NH) | – | 36.8 (CC=O), 111.9 (CC=S) | 144.1 (C(O)NH) | 
* Сигналы — в противофазе.
Вероятная схема этой реакции включает преобразование нитрильной группы под действием сероводорода в тиокарбамоильную, присоединение формальдегида к образовавшемуся аддукту с последующим формированием цикла 2,3-дигидро-4Н-1,3-тиазин-4-тиона.
С целью оптимизации подход к изучаемой реакции был изменен, растворы солей 1a–f в 70%-ном этаноле при 20 °С насыщали сероводородом до начала помутнения, добавляли избыток формалина, реакционную смесь нагревали до кипения, получали производные пиридо[3,2-e][1, 3]тиазин-4-тиона 2a–f c выходами 67–79% (схема).
Схема 1a–f, 2a–f: Ar = 2-ClC6H4 (a), 4-MeOC6H4 (b), 2-MeC6H4 (c), 2-EtOC6H4 (d), 2,5-(MeO)2C6H3 (e), 3,4,5-(MeO)3C6H2 (f)
ЭКСПЕРИМЕНТАЛЬНАЯ ЧАСТЬ
Регистрацию спектров ЯМР соединений 1f, 2а, а также двумерные эксперименты (HSQC, HMBC) проводили на спектрометре Bruker DPX-400 [400.40 (1Н), 100.63 (13С), 40.55 МГц (15N)] (Bruker, Германия), соединений 2b–f — на спектрометре Bruker Avance AV600 [600.13 (1Н), 150.90 МГц (13С)] (Bruker, Германия) в ДМСО-d6. В качестве стандарта использовали остаточные сигналы растворителя. ИК спектры соединений регистрировали на ИК спектрометре с Фурье-преобразованием Perkin Elmer Spectrum 65 FT-IR Spectrometer (PerkinElmer, Inc., США) методом нарушенного полного внутреннего отражения (НПВО) в интервале частот 400–4000 см–1. Масс-спектры высокого разрешения (HRMS) были записаны на приборе Bruker maXis Impact quadrupole TOF mass spectrometer (Bruker, Германия) в системе MeCN–вода, калибровка — по HCO2Na/HCO2H, метод ионизации — ESI-TOF. Элементный анализ проводили на приборе Elementar vario Micro cube (Elementar, Германия). Индивидуальность полученных образцов и контроль чистоты осуществляли методом ТСХ на пластинах Silufol UV254 (ООО Имид, Краснодар, Россия), элюент — ацетон–гексан (1:1), проявитель — пары йода, УФ детектор. Температуру плавления определяли на блоке Кофлера и не корректировали.
Тиолаты 1a–e получали по методикам, описанным в литературе [13–18]. Остальные реактивы коммерчески доступны (Macklin) и использовались без дополнительной очистки.
N-Метилморфолиния 4-(3,4,5-триметоксифенил)-2-оксо-5-циано-1,2,3,4-тетрагидропиридин-6-тиолат (1f) синтезировали по методике [14], приведены уточненные данные ЯМР-спектроскопии. Спектр ЯМР 1Н, δ, м.д.: 2.37 д.д (1Н, С(О)СН, 2JHH 16.0 Гц, 3JHH 5.3 Гц); 2.65 д.д (1Н, С(О)СН, 2JHH 16.0 Гц, 3JHH 7.0 Гц); 2.78 с (3Н, NMe); 3.17 уш.с (4Н, CH2NCH2); 3.35 уш.с (4Н, CH2ОCH2); 3.59 д.д (1Н, С4Н, 3JHH 5.3 Гц, 3JHH 7.0 Гц); 3.61 с (3Н, ОМе); 3.72 уш.с (6Н, 2ОМе); 6.48 уш.с (2Н, Аr); 8.64 уш.с (1Н, NH). N+H не проявляется, вероятно, вследствие дейтерообмена. Спектр ЯМР 13С (DEPTQ), δ, м.д.: 38.9* (CC=O), 40.2 (C4H), 42.7 (NMe), 52.7* (CH2NCH2), 55.8 (2OMe), 60.0 (OMe), 63.5* (CH2ОCH2), 79.3* (CC≡N), 104.3 (2CH Ar), 125.0* (C≡N), 136.1* (NCS или C1 Ar), 139.7* (C4 Ar, C1 Ar или NCS), 152.7* (C3 Ar и C5 Ar), 167.8* (C=O). * Сигналы — в противофазе.
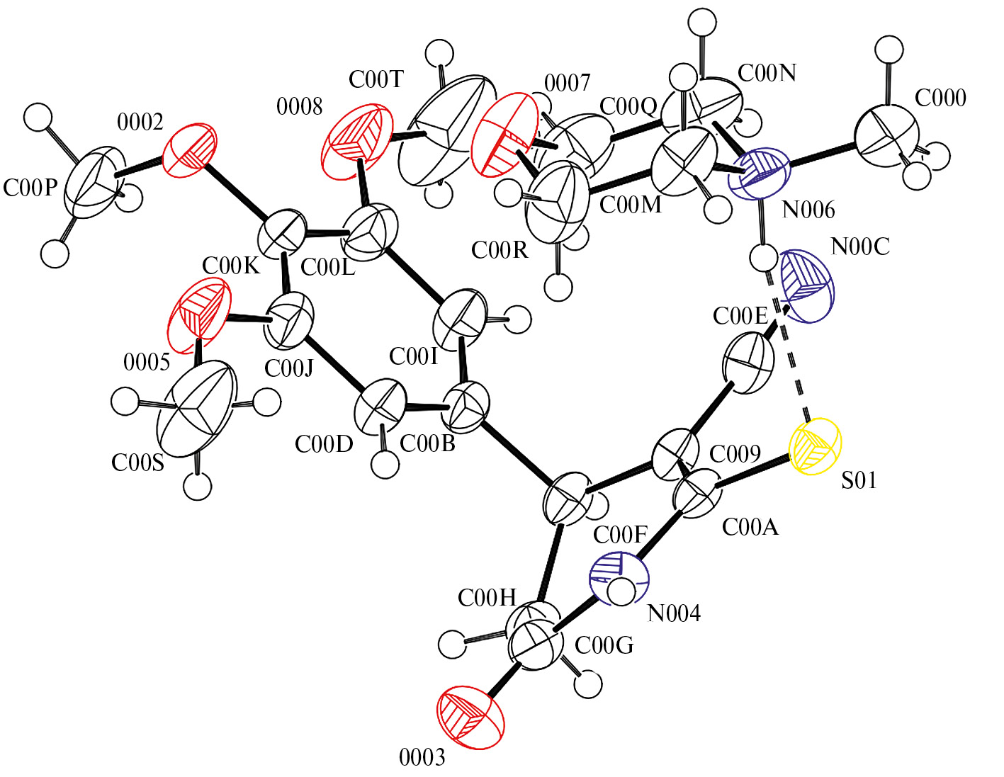
Молекулярная и кристаллическая структура соединения 1f изучена методом РСА (рисунок). Экспериментальный материал для кристалла 1f (C20H27N3O5S) получен на автоматическом четырехкружном дифрактометре Agilent Super Nova, Dual, Cu at zero, Atlas S2 при 293(2) K. Структура расшифрована прямым методом в комплексе программ Olex2 [19] и ShelXD [20] и уточнена с помощью пакета SHELXL [21]. Структура уточнена полноматричным методом наименьших квадратов в анизотропном приближении для неводородных атомов по F2. Основные характеристики эксперимента и параметры элементарной ячейки соединения 1f: размер, мм: 0.602 × 0.265 × 0.191; кристаллическая система триклинная, пространственная группа P-1; M = 421.50; параметры ячейки: а = 8.5210(2) Å, b = 10.6466(3) Å, с = 13.1385(4) Å, α = 108.998(3)°, β = 99.183(2)°, γ = 99.555(2)°, V = 1081.80(6) Å3, Z = 2; ρ(выч.) = 1.294 г/см3; μ(CuKα) = 1.631 мм-1; F(000) = 448.0; область углов съемки (θ): 7.31–153.226°; интервалы индексов отражений: –8 ≤ h ≤ 10, –13 ≤ k ≤ 13, –16 ≤ l ≤ 16; число измеренных отражений — 22931; число независимых отражений — 4530 (Rint = 0.0364, Rsigma = 0.0221); число отражений с I >2σ(I) — 4530; число уточняемых параметров — 275; GOOF по F2 — 0.984; Cu Kα (λ = 1.54184). Результаты РСА соединения 1f депонированы в Кембриджском банке структурных данных (CCDC 2090567; deposit@ccdc.cam.ac.uk или http://www.ccdc.cam.ac.uk/data_request/cif).
Рис. Атомно-молекулярная структура соединения 1f. Тепловые эллипсоиды неводородных атомов показаны на уровне 50% вероятности нахождения атома.
Cоединения 2a–e. Общая методика. Через раствор 5 ммоль соответствующей соли 1a-f в 20 мл 70%-ного этанола при 20 °С барботировали сероводород, полученный при взаимодействии сульфида алюминия и воды, после появления первых признаков помутнения добавляли 3 мл формалина (ГОСТ 1625-2016, плотность 1,1 г/см3). Смесь доводили до кипения, отфильтровывали через бумажный складчатый фильтр и оставляли на 12 ч. Образовавшийся осадок отделяли, промывали этанолом и сушили при 60°С в течение 3 ч.
4-Тиоксо-5-(2-хлорфенил)-2,3,4,5,6,8-гексагидро-7Н-пиридо[3,2-e][1, 3]тиазин-7-он (2а). Выход 1.119 г (72%), желтый мелкокристаллический порошок, т.пл. 225 °С (нач. разл.). ИК спектр, n, см-1: 3118 ш (2NH), 1695 (C=O). Спектр ЯМР 1Н, δ, м.д.: 2.44 уш.д (1Н, С(О)СН, 2JHH 16.4 Гц); 3.06 д.д (1Н, С(О)СН, 2JHH 16.4 Гц, 3JHH 8.0 Гц); 4.59 д.д (1Н, NHCH, 2JHH 12.5 Гц, 3JHH 5.9 Гц); 4.70 д.д (1Н, NHCH, 2JHH 12.5 Гц, 3JHH 3.3 Гц); 5.58 уш.д (1Н, С5Н, 3JHH 8.0 Гц); 7.12–7.15 м (1Н, С4Н Ar); 7.24–7.26 м (2Н, C3H Ar и C6H Ar); 7.44–7.46 м (1H, C5H Ar); 9.90 уш.д.д (1Н, C(S)NH, 3JHH 3.3 Гц, 3JHH 5.9 Гц); 10.72 c (1H, C(O)NH). Спектр ЯМР 13С (DEPTQ), δ, м.д.: 36.5* (C5H), 36.8 (CC=O), 42.3 (SCH2), 111.9 (CC=S), 127.5* (C3H, Ar), 127.7* (C4H, Ar), 128.6* (C6H, Ar), 129.9* (C5H, Ar), 132.5 (CCl), 138.3 (C1, Ar), 143.4 (NHCS), 168.4 (C=O), 189.6 (C=S). * Сигналы — в противофазе. Масс-спектр (HRMS, ESI-TOF), m/z: 332.9616 [M — H + Na]+, 354.9461 [M — 2H + 2Na]+ C13H11ClN2OS2. M — H + Na 332.8041, M — 2H + 2Na 354.7859.
5-(4-Метоксифенил)-4-тиоксо-2,3,4,5,6,8-гексагидро-7Н-пиридо[3,2-e][1, 3]тиазин-7-он (2b). Выход 1.027 г (67%), желтый мелкокристаллический порошок, т.пл. 224–226 °С. ИК спектр, n, см-1: 3249, 3190 (2NH), 1687 (C=O). Спектр ЯМР 1Н, δ, м.д.: 2.42 д.д (1Н, С(О)СН, 2JHH 16.1 Гц, 3JHH 3.9 Гц); 2.98 д.д (1Н, С(О)СН, 2JHH 16.1 Гц, 3JHH 7.2 Гц); 3.73 с (3Н, МеО); 4.56 д.д (1Н, NHCH, 2JHH 12.8 Гц, 3JHH 6.1 Гц); 4.69 д.д (1Н, NHCH, 2JHH 12.8 Гц, 3JHH 3.5 Гц); 5.49 уш.д (1Н, С5Н, 3JHH 7.2 Гц); 6.84 д (2Н, Ar, 3JHH 8.3 Гц); 7.08 д (2Н, Ar, 3JHH 8.3 Гц); 9.93 уш.д.д (1Н, C(S)NH, 3JHH 3.5 Гц, 3JHH 6.1 Гц); 10.69 c (1H, C(O)NH). Спектр ЯМР 13С, δ, м.д.: 36.4 (C5H), 37.1 (CC=O), 43.3 (SCH2), 55.6 (MeO), 112.1 (CC=S), 114.5 (2CH Ar), 127.8 (2CH Ar), 140.7 (C1 Ar), 143.9 (NHCS), 155.4 (C4 Ar), 169.3 (C=O), 189.7 (C=S). Найдено, %: С 54.79; Н 4.66; N 9.07. C14H14N2O2S2. Вычислено, %: С 54.88; H 4.61; N 9.14. M 306.41.
5-(2-Метилфенил)-4-тиоксо-2,3,4,5,6,8-гексагидро-7Н-пиридо[3,2-e][1, 3]тиазин-7-он (2с). Выход 1.147 г (79%), светло-желтый мелкокристаллический порошок, т.пл. 241–243 °С. ИК спектр, n, см-1: 3256, 3202 (2NH), 1683 (C=O). Спектр ЯМР 1Н, δ, м.д.: 2.29 с (3Н, Ме); 2.44 д.д (1Н, С(О)СН, 2JHH 16.3 Гц, 3JHH 3.8 Гц); 3.05 д.д (1Н, С(О)СН, 2JHH 16.3 Гц, 3JHH 7.4 Гц); 4.63 д.д (1Н, NHCH, 2JHH 12.7 Гц, 3JHH 5.8 Гц); 4.71 д.д (1Н, NHCH, 2JHH 12.7 Гц, 3JHH 3.4 Гц); 5.53 уш.д (1Н, С5Н, 3JHH 7.4 Гц); 7.07–7.15 м (4Н, Ar); 9.89–9.92 уш.м (1Н, C(S)NH); 10.75 c (1H, C(O)NH). Спектр ЯМР 13С, δ, м.д.: 18.9 (Ме), 36.3 (C5H), 37.2 (CC=O), 42.8 (SCH2), 114.2 (CC=S), 125.8, 126.2, 126.3, 126.5 (4СН, Ar), 130.5 (C2, Ar), 134.9 (C1, Ar), 143.6 (NHCS), 168.3 (C=O), 189.7 (C=S). Найдено, %: С 57.82; Н 4.95; N 9.76. C14H14N2OS2. Вычислено, %: С 57.90; H 4.86; N 9.65. M 290.41.
4-Тиоксо-5-(2-этоксифенил)-2,3,4,5,6,8-гексагидро-7Н-пиридо[3,2-e][1, 3]тиазин-7-он (2d). Выход 1.138 г (71%), бежевый мелкокристаллический порошок, т.пл. 237–239 °С. ИК спектр, n, см-1: 3125 ш (2NH), 1693 (C=O). Спектр ЯМР 1Н, δ, м.д.: 1.33 т (3Н, Ме, 3JHH 6.9 Гц); 2.45 уш.д (1Н, С(О)СН, 2JHH 16.4 Гц); 3.02 д.д (1Н, С(О)СН, 2JHH 16.4 Гц, 3JHH 8.2 Гц); 4.07 к (2Н, ОСН2, 3JHH 6.9 Гц); 4.59 д.д (1Н, NHCH, 2JHH 12.8 Гц, 3JHH 6.1 Гц); 4.70 д.д (1Н, NHCH, 2JHH 12.8 Гц, 3JHH 3.4 Гц); 5.62 уш.д (1Н, С5Н, 3JHH 8.2 Гц); 7.08 д.д (1Н, Ar, 3JHH 7.5 Гц, 3JHH 7.6 Гц); 7.15 д (1Н, Ar, 3JHH 8.3 Гц); 7.54 д.д (1Н, Ar, 3JHH 7.5 Гц, 3JHH 8.3 Гц); 7.96 д (1Н, Ar, 3JHH 7.6 Гц); 10.08–10.12 уш.м (1Н, C(S)NH); 10.93 c (1H, C(O)NH). Спектр ЯМР 13С, δ, м.д.: 14.6 (Ме), 36.6 (C5H), 37.3 (CC=O), 42.8 (SCH2), 64.3 (ОСН2), 112.1 (CC=S), 112.8, 120.7 (2СН, Ar), 120.8 (C1, Ar), 128.7, 134.2 (2CH, Ar), 143.6 (NHCS), 157.7 (C2, Ar), 168.7 (C=O), 189.5 (C=S). Найдено, %: С 56.28; Н 5.12; N 8.64. C15H16N2O2S2. Вычислено, %: С 56.22; H 5.03; N 8.74. M 320.43.
5-(2,5-Диметоксифенил)-4-тиоксо-2,3,4,5,6,8-гексагидро-7Н-пиридо[3,2-e][1, 3]тиазин-7-он (2е). Выход 1.295 г (77%), светло-желтый мелкокристаллический порошок, т.пл. 213°С (нач. разл.). ИК спектр, n, см-1: 3110–3134 ш (2NH), 1698 (C=O). Спектр ЯМР 1Н, δ, м.д.: 2.43 уш.д (1Н, С(О)СН, 2JHH 16.3 Гц); 3.03 д.д (1Н, С(О)СН, 2JHH 16.3 Гц, 3JHH 8.3 Гц); 3.75 с (3Н, МеО); 3.84 с (3Н, МеО); 4.57 д.д (1Н, NHCH, 2JHH 12.6 Гц, 3JHH 6.4 Гц); 4.68 д.д (1Н, NHCH, 2JHH 12.6 Гц, 3JHH 3.6 Гц); 5.59 уш.д (1Н, С5Н, 3JHH 8.3 Гц); 7.13 д (1Н, Ar, 3JHH 9.0 Гц); 7.18 д.д (1Н, Ar, 3JHH 9.0 Гц, 4JHH 2.9 Гц); 7.58 д (1Н, Ar, 4JHH 2.9 Гц); 9.94–9.96 уш.м (1Н, C(S)NH); 10.81 c (1H, C(O)NH). Спектр ЯМР 13С, δ, м.д.: 36.5 (C5H), 36.9 (CC=O), 42.4 (SCH2), 55.6, 56.3 (2МеО), 112.1 (CC=S), 112.9, 113.2, 119.8 (3СН, Ar), 120.9 (C1, Ar), 143.8 (NHCS), 152.8, 153.1 (2СОМе), 168.6 (C=O), 189.4 (C=S). Найдено, %: С 53.51; Н 4.78; N 8.40. C15H16N2O3S2. Вычислено, %: С 53.55; H 4.79; N 8.33. M 336.43.
5-(3,4,5-Триметоксифенил)-4-тиоксо-2,3,4,5,6,8-гексагидро-7Н-пиридо[3,2-e]-[1, 3]тиазин-7-он (2f). Выход 1.264 г (69%), светло-желтый мелкокристаллический порошок, т.пл. 252–254 °С. ИК спектр, n, см-1: 3241, 3193 (2NH), 1694 (C=O). Спектр ЯМР 1Н, δ, м.д.: 2.40 д.д (1Н, С(О)СН, 2JHH 16.2 Гц, 3JHH 4.5 Гц); 2.68 д.д (1Н, С(О)СН, 2JHH 16.2 Гц, 3JHH 7.1 Гц); 3.62 с (3Н, МеО); 3.73 уш.с (6Н, 2МеО); 4.58 д.д (1Н, NHCH, 2JHH 12.9 Гц, 3JHH 6.4 Гц); 4.72 д.д (1Н, NHCH, 2JHH 12.9 Гц, 3JHH 3.8 Гц); 5.52 уш.д (1Н, С5Н, 3JHH 7.1 Гц); 6.49 уш.с (2Н, Ar); 9.96 уш.д.д (1Н, C(S)NH, 3JHH 3.8, 6.4 Гц); 10.73 c (1H, C(O)NH). Спектр ЯМР 13С, δ, м.д.: 36.9 (C5H), 37.3 (CC=O), 43.7 (SCH2), 55.7 (2MeO), 59.9 (MeO), 113.1 (CC=S), 104.2 (2CH, Ar), 136.5, 140.7, 141.3 (C1 Ar, C4 Ar, NHCS), 152.7 (С3, Ar; C5, Ar), 169.1 (C=O), 189.9 (C=S). Найдено, %: С 52.38; Н 4.91; N 7.72. C16H18N2O4S2. Вычислено, %: С 52.44; H 4.95; N 7.64. M 366.46.
ЗАКЛЮЧЕНИЕ
При последовательном взаимодействии N-метилморфолиния 4-арил-2-оксо-5-циано-1,2,3,4-тетрагидропиридин-6-тиолатов с сероводородом и формальдегидом в этаноле получены 5-арил-4-тиоксо-2,3,4,5,6,8-гексагидро-7Н-пиридо[3,2-e][1, 3]тиазин-7-оны с выходами 67–79%. Молекулярная и кристаллическая структура N-метилморфолиния 4-(3,4,5-триметоксифенил)-2-оксо-5-циано-1,2,3,4-тетрагидропиридин-6-тиолата изучены с помощью метода РСА.
БЛАГОДАРНОСТИ
Авторы выражают благодарность С. Ю. Савельевой (Лаборатория магнитной томографии и спектроскопии факультета фундаментальной медицины Московского государственного университета им. М.В. Ломоносова) за помощь в регистрации спектров ЯМР 1H, 13C синтезированных соединений.
ФИНАНСОВАЯ ПОДДЕРЖКА
Работа выполнена при финансовой поддержке Минобрнауки России в рамках государственного задания Луганского государственного университета им. Владимира Даля (рег. номер — 1023030900103-8-1.4.1, код научной темы — FREE-2023-0002).
КОНФЛИКТ ИНТЕРЕСОВ
Авторы заявляют об отсутствии конфликта интересов.
About the authors
К. А. Frolov
V. Dahl Lugansk State University
							Author for correspondence.
							Email: ksg-group-lugansk@mail.ru
				                	ORCID iD: 0000-0002-8045-7582
				                																			                								
Chemex Lab
Russian Federation, kv. Molodyozhny 20-A/7, Lugansk, 291034B. S. Krivokolysko
V. Dahl Lugansk State University
														Email: ksg-group-lugansk@mail.ru
				                	ORCID iD: 0000-0002-3181-7609
				                																			                								
Chemex Lab
Russian Federation, kv. Molodyozhny 20-A/7, Lugansk, 291034V. V. Dotsenko
Kuban State University
														Email: ksg-group-lugansk@mail.ru
				                	ORCID iD: 0000-0001-7163-0497
				                																			                												                	Russian Federation, 							ul. Stavropolskaya, 149, Krasnodar, 350040						
N. A. Aksenov A. Aksenov
North Caucasus Federal University
														Email: ksg-group-lugansk@mail.ru
				                	ORCID iD: 0000-0002-7125-9066
				                																			                												                	Russian Federation, 							ul. Pushkina, 1-A, Stavropol, 355009						
S. G. Krivokolysko
V. Dahl Lugansk State University
														Email: ksg-group-lugansk@mail.ru
				                	ORCID iD: 0000-0001-9879-9217
				                																			                								
Chemex Lab
Russian Federation, kv. Molodyozhny 20-A/7, Lugansk, 291034References
- Hua С., Le H., Mo Z., Tianyu Y., Sinan W., Zhanbin Q., Pingzhu Z., Xiaoliu L. Bioorg. Med. Chem. Lett. 2014, 24, 3426–3429. doi: 10.1016/j.bmcl.2014.05.079
- Silverberg L.J., Mal T.K., Pacheco C.N., Povelones M.L., Malfara M.F., Lagalante A.F., Olsen M.A., Yennawar H.P., Sobhi H.F., Baney K.R., Bozeman R.L., Eroh C.S., Fleming M.J., Garcia T.L., Gregory C.L., Hahn J.E., Hatter A.M., Johns L.L., Klinger T.L., Li J.J. Molecules. 2021, 26, 6099. doi: 10.3390/molecules26206099
- Hiroshi I., Jun-Ichi Sh., Tomoyuki Y., Kazushige O., Hiroshi Y., Kota K., Shuichi S. Bioorg. Med. Chem. 2015, 23, 1788–1799. doi: 10.1016/j.bmc.2015.02.033
- Hamed E.O., Assy M.G., Shalaby A.M., Sayed R.E. ЖОрХ. 2020, 11, 2005–2013. [Hamed E.O., Assy M.G., Shalaby A.M., Sayed R.E. Russ. J. Org. Chem. 2020, 56, 2005–2013.] doi: 10.1134/S1070428020110159
- Kapil A., Pooja T., Jyoti S. RSC Adv. 2014, 4, 3060–3064. doi: 10.1039/C3RA43908A
- Hamama W.S., Waly M.A., El-Hawary I.I., Zoorob H.H. J. Heterocycl. Chem. 2016, 53, 953–957. doi: 10.1002/jhet.1631
- Ogurtsov V.A., Karpychev Yu.V., Nelyubina Yu.V., Primakov P.V., Koutentis P.A., Rakitin O.A. Eur. J. Org. Chem. 2019, 26, 4149–4158. doi: 10.1002/ejoc.201900142
- Shengzheng W., Kun F., Guoqiang D., Shuqiang Ch., Na L., Zhenyuan M., Jianzhong Y., Jian L., Wannian Zh., Chunquan Sh. J. Med. Chem. 2015, 58, 6678–6696. doi: 10.1021/acs.jmedchem.5b00910
- Silverberg L. J. Пат. WO2020/237063 (2020). США.
- Краузе А., Дубурс Г. ХГС. 2001, 3, 404–405. [Krauze A., Duburs G. Chem. Heterocycl. Comp. 2001, 37, 378–379.] doi: 10.1023/A:1017535922740
- Dotsenko V.V., Frolov K.A., Pekhtereva T.M., Papaianina O.S., Suykov S.Yu., Krivokolysko S.G. ACS Comb. Sci. 2014, 16, 543–550. doi: 10.1021/co5000807
- Ахметова В.Р., Рахимова Е.Б. ЖОрХ. 2014, 50, 1727–1749. [Akhmetova V.R., Rakhimova E.B. Russ. J. Org. Chem. 2014, 50, 1711–1731.] doi: 10.1134/S107042801412001X
- Нестеров В.Н., Кривоколыско С.Г., Дяченко В.Д., Доценко В.В., Литвинов В.П. Изв. АН. Сер. хим. 1997, 5, 1029–1034. [Nesterov V.N., Krivokolysko S.G., Dyachenko V.D., Dotsenko V.V., Litvinov V.P. Russ. Chem. Bull. 1997, 46, 990–996.] doi: 10.1007/BF02496132
- Dotsenko V.V., Frolov K.A., Pekhtereva T.M., Papaianina O.S., Suykov S.Yu., Krivokolysko S.G. ACS Comb. Sci. 2014, 16, 543–550. doi: 10.1021/co5000807
- Дяченко В.Д., Кривоколыско С.Г., Литвинов В.П. Изв. АН. Сер. хим. 1997, 10, 1852–1856. [Dyachenko V.D., Krivokolysko S.G., Litvinov V.P. Russ. Chem. Bull. 1997, 46, 1758–1762.] doi: 10.1007/BF02495131
- Dotsenko V.V. Bushmarinov I.S., Goloveshkin A.S., Chigorina E.A., Frolov K.A., Krivokolysko S.G. Phosph., Sulfur Silicon Relat. Elem. 2017, 192, 47–52. doi: 10.1080/10426507.2016.1224877
- Доценко В.В., Кривоколыско С.Г., Чернега А.Н., Литвинов В.П. Докл. АН. 2003, 389, 763–767. [Dotsenko V.V., Krivokolysko S.G., Chernega A.N., Litvinov V.P. Doklady Chem. 2003, 389, 92–96.] doi: 10.1023/A:1023492608275
- Доценко В.В., Лебедева И.А., Кривоколыско С.Г., Повстяной М.В., Повстяной В.М., Костирко Е.О. ХГС. 2012, 48, 492–499. [Dotsenko V.V., Lebedeva I.A., Krivokolysko S.G., Povstyanoi M.V., Povstyanoi V.M., Kostyrko E.O. Chem. Heterocycl. Comp. 2012, 48, 462–469.] doi: 10.1007/s10593-012-1016-0
- Dolomanov O.V., Bourhis L.J., Gildea R.J, Howard J.A.K., Puschmann H. J. Appl. Cryst. 2009, 42, 339–341. doi: 10.1107/S0021889808042726
- Sheldrick G.M. Acta Cryst. 2008, A64, 112–122. doi: 10.1107/S0108767307043930
- Sheldrick G. M. Acta Cryst. 2015, C71, 3–8. doi: 10.1107/S2053229614024218
Supplementary files
 
				
			 
					 
						 
						 
						 
						 
				
 
  
  
  Email this article
			Email this article 




