Synthesis and Antioxidant Activity (4-(Benzo[d][1,3]-dioxol-6-yl)-tetrahydro-2H-pyran-4-yl)methylsubstituted Aryloxypropanolamines, Aminoamides and Sulfanilamides
- Authors: Arustamyan Z.S.1, Margaryan R.E.1, Mkryan G.G.1, Aghekyan A.A.1, Panosyan G.A.1, Buniatyan Z.M.1, Muradyan R.E.1
-
Affiliations:
- The Scientific Technological Centre of Organic and Pharmaceutical Chemistry NAS RA
- Issue: Vol 60, No 1 (2024)
- Pages: 86-93
- Section: Articles
- URL: https://journals.rcsi.science/0514-7492/article/view/272384
- DOI: https://doi.org/10.31857/S0514749224010072
- EDN: https://elibrary.ru/ENFSQA
- ID: 272384
Cite item
Full Text
Abstract
Alkylation of 3,4-methylenedioxyphenylacetоnitrile with 2,2-dichlorodiethyl ether gave the corresponding nitrile the reduction of which with lithium aluminum hydride isolated (4-(benzo[d][1,3]dioxol-6-yl)-tetrahydro-2H-pyran-4-yl)methylamine. The interaction of the latter with aryloxymethyloxiranes gave the corresponding 1-((4-(benzo[d][1,3]dioxol-6-yl)-tetrahydro-2H-pyran-4-yl)methylamino)-3-aryloxypropan-2-ols. By the reaction of the same amine with chloroacetyl chloride isolated chloroacetamide, the interaction of which with a variety of secondary amines and heterylthiols synthesized the corresponding substituted amino- and sulfanylacetamides - derivatives of (4-(benzo[d][1,3]dioxol-6-yl)-tetrahydro-2H-pyran-4-yl)methylamine. The antioxidant activity of the obtained compounds was studied.
Full Text
ВВЕДЕНИЕ
Структура бензо[d][1, 3]диоксола входит в состав многих природных и синтетических соединений, обладающих широким спектром биологической активности. В частности, они проявляют седативную, гипотензивную, противосудорожную, антибактериальную, противоопухолевую, спазмолитическую активность и др. [1–6]. Исследования выявили соединения с широким спектром действия также среди производных арилтетрагидропиранилметиламина [7, 8]. В то же время одними из наиболее распространенных фармакофорных фрагментов в биологически активных соединениях являются амидная, аминоамидная, аминопропанольная группы [9–12]. В связи с этим и по сей день aктуальна задача синтеза ряда соединений, включающих вышеназванные фрагменты. Представленная работа посвящена синтезу новых производных (4-(бензо[d][1, 3]диоксол-6-ил)-тетрагидро-2H-пиран-4-ил)метиламина с арилоксипропанольными, аминоацетильными и гетерилсульфанилацетильными заместителями.
РЕЗУЛЬТАТЫ И ОБСУЖДЕНИЕ
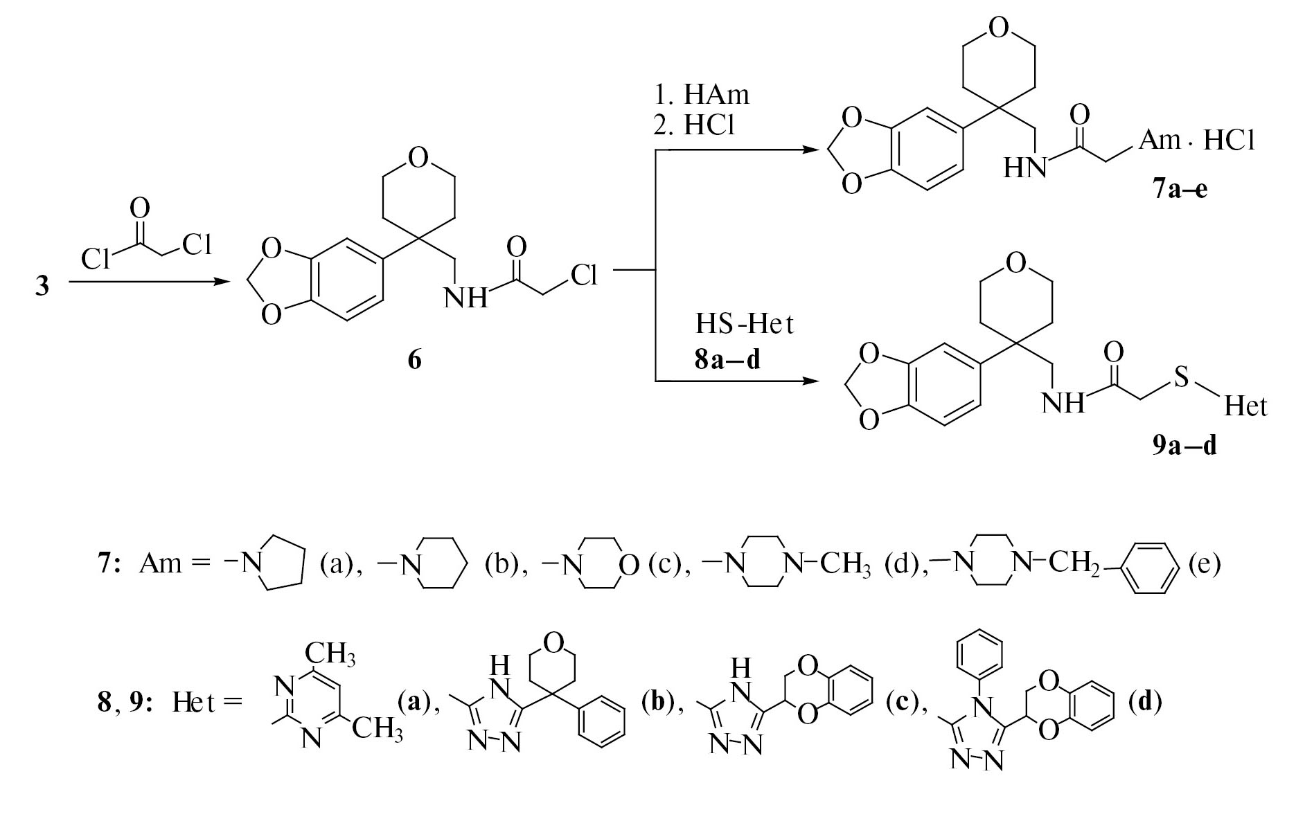
В качестве исходного продукта нами использован 2-(бензо[d][1, 3]диоксол-6-ил)ацетонитрил (1). Последний конденсацией с 2,2’-дихлордиэтиловым эфиром в среде диметилформамида в присутствии едкого натра и при температурном режиме 70–75°С с выходом 65% переведен в соответствующий 4-(бензо[d][1, 3]диоксол-6-ил)-тетрагидро-2H-пиран-4-кабонитрил (2), восстановлением которого алюмогидридом лития выделен ключевой (4-(бензо[d][1, 3]диоксол-6-ил)-тетрагидро-2H-пиран-4-ил)метиламин (3). Реакцией последнего как с 2-(феноксиметил)оксираном (4а), так и с замещенными в пара-положении ароматического кольца арилоксиметилоксиранами 4b–d в среде изопропилового спирта и каталитических количеств воды синтезированы целевые арилоксиаминопропанолы, действием эфирного раствора хлористого водорода переведенные в соответствующие гидрохлориды 5а–d (схема 1).
Cхема 1
Для синтеза амино- и сульфанилацетильных производных проведено ацилирование амина 3 хлорангидридом хлоруксусной кислоты, в результате которого с выходом 73% выделен N-((4-(бензо[d][1, 3]диоксол-6-ил)тетрагидро-2H-пиран-4-ил)метил)-2-хлорацетамид (6). Конденсацией последнего с гетероциклическими аминами (пирролидин, пиперидин, морфолин, N-метил- и N-бензилпиперазины) в смеси диоксана и этилового спирта (10 : 1) в присутствии каталитических количеств KI синтезирован ряд аминоацетамидов 7а–e, охарактеризованных в виде гидрохлоридов. Реакцией того же хлорамида 6 с замещенными пиримидин- и триазолтиолами 8а–d в спиртовой среде в присутствии KOH получены соответствующие гетерилсульфанилзамещенные производные 9а–d (схема 2).
Схема 2
СТРОЕНИЕ И ЧИСТОТА ПОЛУЧЕННЫХ ВЕЩЕСТВ ПОДТВЕРЖДЕНЫ ФИЗИКО-ХИМИЧЕСКИМИ МЕТОДАМИ И ТСХ.
Изучена антиоксидантная активность синтезированных соединений в гомогенатах ткани головного мозга крыс в опытах in vitro [13, 14]. Об антиоксидантной активности судили по процентным изменениям количества малонового диальдегида (МДА) в опытных пробах по сравнению с контролем. Соединения изучали в концентрации 10–3 М и вносили в инкубационную среду непосредственно перед инкубацией. В качестве контроля выступала проба, в которую вместо соединений вносили растворитель.
Результаты исследований показали, что все соединения в разной степени проявляют антиоксидантную активность. Наиболее выраженное действие выявлено у соединений 5b и 5d, под влиянием которых наблюдается ингибирование процесса окисления липидов в виде снижения количества МДА на 45 и 41% соответственно по сравнению с контролем. Относительно слабое действие в ряду амидов отмечается у соединений 7a–e и 9b и в среднем составляет 24%. Остальные соединения проявляют незначительную ингибирующую активность (17%).
ЭКСПЕРИМЕНТАЛЬНАЯ ЧАСТЬ
ИК-спектры сняты на спектрометре Nicolet Avatar 330 FT-IR (США) в вазелиновом масле, спектры ЯМР 1Н и 13С _ на спектрометре Varian Mercury-300 (США) в ДМСО-d6, рабочая частота 300 МГц, внутренний стандарт — ТМС. Температуры плавления определены на микронагревательном столике “Boёtius”(Германия). ТСХ проведена на пластинах Silufol UV-254, подвижная фаза для гидрохлоридов 5а–d и 7а–e бензол_ацетон, 1 : 5, пары аммиака, а для соединений 9а–d бензол_ацетон, 2 : 3, проявитель — пары иода. Часть использованных реактивов — арилоксиметилоксираны и гетерилтиолы, синтезированы нами ранее, а остальные-приобретены из фирмы “Sigma-Aldrich”.
4-(Бензо[d][1, 3]диоксол-6-ил)тетрагидро-2H-пиран-4-карбонитрил (2). К 32.0 г (0.2 моль) нитрила 1 в 100 мл абсолютного ДМФА при перемешивании прибавляли 24.0 г (0.6 моль) мелкоизмельченного NaOH, перемешивали 0.5 ч при температуре 50–55°С и прибавляли по каплям 43.0 г (0.3 моль) 2,2’-дихлордиэтилового эфира, поддерживая температуру на уровне 70–75°С. По окончании прибавления смесь перемешивали при этой же температуре в течение 6 ч. К охлажденной смеси прибавляли 80 мл воды, продукт реакции экстрагировали дихлорэтаном (3 × 80 мл), экстракт сушили CaCl2, растворитель отгоняли и остаток перегоняли в вакууме. Выход 29.7 г (65%), т.кип.180–186°С (2 мм рт.ст.), т.пл. 92–93°С (гексан), Rf 0.62 (бензол–эфир, 6 : 1). ИК-спектр, ν, см–1: 2230 (CN). Спектр ЯМР 1Н, δ, м.д.: 1.98–2.09 м (4H, CH2), 3.69–3.78 м (2H) и 3.96–4.03 м (2H, ОCH2), 6.00 с (2H, ОCH2О), 6.82 д.д (1H, J 8.1, 0.5 Гц), 6.96 д.д (1H, J 8.1, 2.0 Гц) и 7.00 д.д (1H, C6H3, J 2.0, 0.5 Гц). Спектр ЯМР 13С, δ, м.д.: 36.0 (2С), 40.5, 64.0 (2С), 100.8, 105.8, 107.8, 118.3, 120.9, 133.4, 146.8, 147.7. Найдено, %: С 67.48; Н 5.45; N 5.92. С13Н13NО3. Вычислено, %: С 67.52; Н 5.67; N 6.06.
(4-(Бензо[d][1, 3]диоксол-6-ил)тетрагидро-2H-пиран-4-ил)метиламин (3). К 7.6 г (0.2 моль) LiAlH4 в 150 мл абсолютного эфира при перемешивании прибавляли по каплям 23.1 г (0.1 моль) нитрила 2 в 150 мл абсолютного бензола и реакционную смесь кипятили 18 ч. Комплекс разлагали водой, отфильтровывали, фильтрат сушили, отгоняли растворитель и остаток перегоняли. Выход 15.7 г (67%), т.кип.162–165°С (2 мм рт.ст.), т.пл. 80–81°С (гептан), Rf 0.48 (бензол–ацетон, 1 : 1, пары аммиака). ИК-спектр, ν, см–1: 3310, 3210 (NH2). Спектр ЯМР 1Н, δ, м.д.: 0.79 ш.с (2H, NH2), 1.74 д.д.д (2H, J 13.9, 9.0, 3.8 Гц) и 1.94–2.03 м (2H, CH2), 2.64 с (2H, NCH2), 3.43 д.д.д (2H, J 11.5, 9.0, 2.8 Гц) и 3.65 д.д.д (2H, ОCH2, J 11.5, 5.5, 3.8 Гц), 5.94 с (2H, ОCH2О), 6.71 д.д (1H, J 8.2, 1.8 Гц), 6.75 д.д (1H, J 8.2, 0.5 Гц) и 6.79 д.д (1H, C6H3, J 1.8, 0.5 Гц). Спектр ЯМР 13С, δ, м.д.: 33.5 (2С), 40.8, 53.0, 63.2 (2С), 100.2, 107.1, 107.3, 119.6, 137.6, 145.0, 147.4. Найдено, %: С 66.28; Н 7.11; N 5.83. С13Н17NО3. Вычислено, %: С 66.36; Н 7.28; N 5.95.
Гидрохлориды замещенных арилоксипропаноламинов 5а–d. Общая методика. Смесь 1.0 г (0.004 моль) амина 3, 0.004 моль арилоксиметилоксирана 4а–d и 2–3 капель воды в 50 мл изопропилового спирта кипятили 12 ч. Растворитель отгоняли досуха, к остатку прибавляли 10% HCl до pH 2.0, экстрагировали примеси бензолом и кислый слой подщелачивали 10% NaOH до pH 8.0. Выделившееся масло экстрагировали бензолом, экстракт промывали водой, сушили Na2SO4, отгоняли растворитель, остаток — маслообразные основания. Действием эфирного раствора HCl на эфирные растворы оснований получали соответствующие гидрохлориды 5а–d, которые перекристаллизовывали из этанола.
Гидрохлорид 1-((4-(бензо[d][1, 3]диоксол-6-ил)-тетрагидро-2H-пиран-4-ил)метиламино)-3-фено-ксипропан-2-ола (5a). Получен из 0.6 г оксирана 4a. Выход 1.17 г (65%), т.пл.140–142°С, Rf 0.64. Спектр ЯМР 1Н, δ, м.д.: 1.95–2.07 м (2H) и 2.20–2.34 м (2H, CH2), 2.76–3.06 м (2H, NCH2), 3.16–3.32 м (2H, NCH2), 3.38–3.52 м (2H) и 3.67–3.78 м (2H, ОCH2), 3.82 д.д (1H, J 9.9, 5.9 Гц) и 3.94 д.д (1H, CH2ОC6H4, J 9.9, 4.8 Гц), 4.22–4.34 м (1H, СН), 5.73 ш.с (1H, OH), 5.92 с (2H, ОCH2О), 6.79–6.98 м (3H) и 7.19–7.26 м (2Н, С6Н5), 7.02 д (1H, J 8.1 Гц), 7.14 д.д (1H, J 8.1, 1.9 Гц) и 7.21 д (1H, C6H3, J 1.9 Гц), 8.56 ш.с (1H, NH), 9.42 ш.с (1H, HCl). Спектр ЯМР 13С, δ, м.д.: 33.8, 33.9, 38.6, 51.7, 57.4, 62.7 (2С), 64.1, 69.8, 100.6, 107.5, 108.0, 115.8 (2С), 120.5, 124.7, 128.6 (2С), 134.0, 146.0, 147.9, 156.7. Найдено, %: С 62.48; Н 6.56; Cl 8.32; N 3.21. С22Н27NО5·HCl. Вычислено, %: С 62.63; Н 6.69; Cl 8.40; N 3.32.
Гидрохлорид 1-((4-(бензо[d][1, 3]диоксол-6-ил)-тетрагидро-2H-пиран-4-ил)метиламино)-3-(4-хлорфенокси)пропан-2-ола (5b). Получен из 0.73 г оксирана 4b. Выход 1.16 г (60%), т.пл. 197–198°С, Rf 0.56. Спектр ЯМР 1Н, δ, м.д.: 1.96–2.07 м (2H) и 2.18–2.31 м (2H, CH2), 2.79–3.07 м (2H, NCH2), 3.15–3.31 м (2H, NCH2), 3.40–3.50 м (2H) и 3.68–3.78 м (2H, ОCH2), 3.84 д.д (1H, J 9.9, 5.8 Гц) и 3.92 д.д (1H, CH2ОC6H4, J 9.9, 4.9 Гц), 4.23–4.32 м (1H, СНОH), 5.77 ш.с (1H, OH), 5.98 с (2H, ОCH2О), 6.83 д (1H, J 8.2 Гц), 6.93 д.д (1H, J 8.2, 1.9 Гц) и 7.01 д (1H, C6H3, J 1.9 Гц), 6.85–6.91 м (2H) и 7.18–7.23 м (2H, C6H4), 8.47 ш.с (1H, NH), 8.71 ш.с (1H, HCl). Спектр ЯМР 13С, δ, м.д.: 33.76, 33.84, 38.6, 51.6, 57.5, 62.7 (2С), 64.1, 69.9, 100.5, 107.6, 108.0, 115.8 (2С), 120.5, 124.7, 128.6 (2С), 134.0, 146.0, 147.9, 156.8. Найдено, %: С 57.77; Н 5.73; Cl 15.48; N 3.02. С22Н26ClNО5·HCl. Вычислено, %: С 57.90; Н 5.96; Cl 15.54; N 3.07.
Гидрохлорид 1-((4-(бензо[d][1, 3]диоксол-6-ил)-тетрагидро-2H-пиран-4-ил)метиламино)-3-(4-фторфенокси)пропан-2-ола (5c). Получен из 0.67 г оксирана 4c. Выход 1.0 г (62%), т.пл. 183–184°С, Rf 0.58. Спектр ЯМР 1Н, δ, м.д.: 1.95–2.08 м (2H) и 2.18–2.32 м (2H, CH2), 2.79–3.07 м (2H, NCH2), 3.16–3.30 м (2H, NCH2), 3.39–3.51 м (2H) и 3.68–3.77 м (2H, ОCH2), 3.81 д.д (1H, J 9.8, 5.9 Гц) и 3.91 д.д (1H, CH2ОC6H4, J 9.8, 4.8 Гц), 4.22–4.31 м (1H, СНОH), 5.76 ш.с (1H, OH), 5.98 с (2H, ОCH2О), 6.83 д (1H, J 8.2 Гц), 6.94 д.д (1H, J 8.2, 1.8 Гц) и 7.01 д (1H, C6H3, J 1.8 Гц), 6.84–6.99 м (4H, C6H4), 8.47 ш.с (1H, NH), 8.71 ш.с (1H, HCl). Спектр ЯМР 13С, δ, м.д.: 33.77, 33.84, 38.6, 51.6, 57.5, 62.7 (2С), 64.1, 70.2, 100.6, 107.6, 108.0, 115.2 (2С), 115.4 (2С), 120.5, 134.0, 146.0, 147.9, 154.2, 156.6. Найдено, %: С 59.92; Н 6.11; Cl 7.93; F 4.21; N 3.01. С22Н26FNО5·HCl. Вычислено, %: С 60.07; Н 6.19; Cl 8.06; F 4.32; N 3.18.
Гидрохлорид 1-((4-(бензо[d][1, 3]диоксол-6-ил)-тетрагидро-2H-пиран-4-ил)метиламино)-3-(p-толилокси)пропан-2-ола (5d). Получен из 0.65 г оксирана 4d. Выход 1.1 г (59.4%), т.пл. 178–180°С, Rf 0.62. Спектр ЯМР 1Н, δ, м.д.: 1.96–2.08 м (2H) и 2.18–2.32 м (2H, CH2), 2.26 с (3H, CH3), 2.78–3.08 м (2H, NCH2), 3.14–3.30 м (2H, NCH2), 3.40–3.50 м (2H) и 3.68–3.76 м (2H, ОCH2), 3.77 д.д (1H, J 9.8, 6.2 Гц) и 3.90 д.д (1H, CH2ОC6H4, J 9.8, 4.8 Гц), 4.21–4.30 м (1H, СНОH), 5.73 ш.с (1H, OH), 5.98 с (2H, ОCH2О), 6.72–6.77 м (2H) и 6.98–7.03 м (2H, C6H4), 6.83 д (1H, J 8.2 Гц), 6.94 д.д (1H, J 8.2, 1.9 Гц) и 7.01 д (1H, C6H3, J 1.9 Гц), 8.49 ш.с (1H, NH), 8.72 ш.с (1H, HCl). Спектр ЯМР 13С, δ, м.д.: 19.9, 33.8, 33.9, 38.6, 51.8, 57.5, 62.7 (2С), 64.1, 69.5, 100.5, 107.5, 108.0, 114.0 (2С), 120.5, 129.0, 129.2 (2С), 134.0, 146.0, 147.9, 155.9. Найдено, %: С 63.15; Н 6.78; Cl 8.03; N 3.19. С23Н29NО5·HCl. Вычислено, %: С 63.37; Н 6.94; Cl 8.13; N 3.21.
N-((4-(Бензо[d][1, 3]диоксол-6-ил)тетра-гидро-2H-пиран-4-ил)метил)-2-хлорацетамид (6). К смеси 12.0 г (0.05 моль) амина 3 и 3.95 г (0.05 моль) безводного пиридина в 100 мл абсолютного бензола при перемешивании и охлаждении ледяной водой прибавляли по каплям 5.64 г (0.05 моль) хлорангидрида хлоруксусной кислоты в 40 мл абсолютного бензола. Продолжали перемешивание при комнатной температуре 4 ч и еще 1 ч при 60°С. По охлаждении прибавляли 30 мл воды, слои разделяли, бензольный слой промывали водой, сушили Na2SO4 и растворитель отгоняли. Остаток кристаллизовали и перекристаллизовывали из эфира. Выход 11.7 г (73%), т.пл.168–170°С, Rf 0.65 (бензол–ацетон, 1 : 1). ИК-спектр, ν, см–1: 3276 (NH), 1664 (NC=O). Спектр ЯМР 1Н, δ, м.д.: 1.79 д.д.д (2H, J 14.0, 8.6, 3.7 Гц) и 1.90–1.99 м (2H, CH2), 3.28 д (2H, NСH2, J 6.3 Гц), 3.44 д.д.д (2H, J 11.5, 8.6, 3.0 Гц) и 3.69 д.д.д (2H, ОCH2, J 11.5, 5.7, 3.7 Гц), 3.88 с (2H, CH2Cl), 5.96 с (2H, OCH2O), 6.75–6.76 м (2H) и 6.83 д.д (1H, C6H3, J 1.5, 0.7), 7.35 уш.т (1H, NH, J 6.3 Гц). Спектр ЯМР 13С, δ, м.д.: 33.1 (2С), 40.2, 42.0, 48.6, 63.0 (2С), 100.3, 107.0, 107.5, 119.4, 137.1, 145.3, 147.4, 165.3. Найдено, %: С 57.62; Н 5.73; Cl 11.22; N 4.31. С15Н18ClNО4. Вычислено, %: С 57.79; Н 5.82; Cl 11.37; N 4.49.
Гидрохлориды замещенных аминоацетамидов 7a–e. Общая методика. К 1.5 г (0.005 моль) хлорамида 6, растворенного в смеси 20 мл диоксана и 2 мл абсолютного этанола, прибавляли 0.01 моль соответствующего амина и 10 мг KI. Реакционную смесь кипятили с обратным холодильником 10 ч. Растворитель отгоняли, к остатку прибавляли 10% HCl до pH 2.0, экстрагировали бензолом. Отделяли слои, кислый слой подщелачивали 10% NaOH до pH 8.0, выделившееся масло экстрагировали бензолом (3 × 30 мл). Бензольные экстракты промывали водой, сушили Na2SO4 и растворитель отгоняли. Остаток — маслообразные основания — действием эфирного раствора HCl перевели в гидрохлориды 7а–е, которые перекристаллизовывали из этанола.
Гидрохлорид N-((4-(бензо[d][1, 3]диоксол-6-ил)-тетрагидро-2H-пиран-4-ил)метил)-2-(пирролидин-1-ил)ацетамида (7a). Получен из 0.7 г пирролидина. Выход 1.12 г (61%), т.пл.182–184°С, Rf 0.72. Спектр ЯМР 1Н, δ, м.д.: 1.84 д.д.д (2H, J 14.1, 9.3, 3.7 Гц) и 1.90–2.12 м (6H, CH2), 3.03 ш.с (2H, NCH2), 3.30 д (2H, NНCH2, J 6.2 Гц), 3.40 ш.с (2H, NCH2), 3.43 д.д.д (2H, J 11.6, 9.3, 2.5 Гц) и 3.69 д.д.д (2H, ОCH2, J 11.6, 5.0, 3.7 Гц), 3.93 с (2H, NCH2СО), 5.94 с (2H, ОCH2О), 6.75 д (1H, J 8.2 Гц), 6.80 д.д (1H, J 8.2, 1.8 Гц) и 6.88 д (1H, C6H3, J 1.8 Гц), 8.62 уш.т (1H, NH, J 6.2 Гц), 11.20 уш.с (1H, HCl). Спектр ЯМР 13С, δ, м.д.: 22.8 (2С), 33.5 (2С), 40.1, 49.0, 52.5 (2С), 53.8, 63.0 (2С), 100.2, 107.3, 107.4, 119.9, 136.8, 145.1, 147.2, 163.8. Найдено, %: С 59.45; Н 6.98; Cl 9.15; N 7.28. С19Н26N2О4·HCl. Вычислено, %: С 59.60; Н 7.11; Cl 9.26; N 7.32.
Гидрохлорид N-((4-(бензо[d][1, 3]диоксол-6-ил)-тетрагидро-2H-пиран-4-ил)метил)-2-(пиперидин-1-ил)ацетамида (7b). Получен из 0.8 г пиперидина. Выход 1.2 г (63%), т.пл.192–194°С, Rf 0.68. Спектр ЯМР 1Н, δ, м.д.: 1.35–1.51 м (6Н, β,γ-CH2), 1.77 д.д.д (2H, J 13.8, 7.7, 3.4 Гц) и 1.94 д.д.д (2H, CH2, J 13.8, 6.5, 3.1 Гц), 2.30–2.41 м (4H, α-CH2), 2.78 уш.с (2H, NCH2СО), 3.36 д (2H, NНCH2, J 6.3 Гц), 3.50 д.д.д (2H, J 11.6, 7.7, 3.1 Гц) и 3.71 д.д.д (2H, ОCH2, J 11.6, 6.5, 3.4 Гц), 5.96 с (2H, ОCH2О), 6.74 д.д (1H, J 8.2, 1.7 Гц), 6.78 д (1H, J 8.2 Гц) и 6.83 д (1H, C6H3, J 1.7 Гц), 6.89 уш.д (1H, NH, J 6.3 Гц), 10.20 уш.с (1H, HCl). Спектр ЯМР 13С, δ, м.д.: 23.0, 25.3(2С), 33.5 (2С), 39.6, 47.4, 54.1 (2С), 61.4, 62.9 (2С), 100.3, 106.7, 107.5, 119.0, 137.5, 145.3, 147.6, 168.2. Найдено, %: С 60.37; Н 7.23; Cl 8.68; N 7.02. С20Н28N2О4·HCl. Вычислено, %: С 60.52; Н 7.36; Cl 8.93; N 7.06.
Гидрохлорид N-((4-(бензо[d][1, 3]диоксол-6-ил)-тетрагидро-2H-пиран-4-ил)метил)-2-морфолино-ацетамида (7c). Получен из 0.9 г морфолина. Выход 1.2 г (64%), т.пл.188–190°С, Rf 0.70. Спектр ЯМР 1Н, δ, м.д.: 1.78–1.88 м (2Н) и 2.03–2.12 м (2H, CH2), 3.12 ш.с (4H, NCH2), 3.33 д (2H, NНCH2, J 6.2 Гц), 3.40–3.48 м (2Н) и 3.66–3.74 м (2H, ОCH2), 3.80–3.90 м (6H, ОCH2 и NCH2СО), 5.95 с (2H, ОCH2О), 6.76 д (1H, J 8.2 Гц), 6.80 д.д (1H, J 8.2, 1.8 Гц) и 6.88 д (1H, C6H3, J 1.8 Гц), 8.59 ш.с (1H, NH), 11.65 ш.с (1H, HCl). Спектр ЯМР 13С, δ, м.д.: 33.6 (2С), 40.1, 49.0, 50.6 (2С), 56.1, 62.8 (2С), 63.1 (2С), 100.3, 107.4, 107.5, 120.0, 136.8, 145.1, 147.2, 163.0. Найдено, %: С 57.13; Н 6.69; Cl 8.81; N 6.93. С19Н26N2О5·HCl. Вычислено, %: С 57.21; Н 6.82; Cl 8.89; N 7.02.
Дигидрохлорид N-((4-(бензо[d][1, 3]диоксол-6-ил)-тетрагидро-2H-пиран-4-ил)метил)-2-(4-метил-пиперазин-1-ил)ацетамида (7d). Получен из 1.0 г N-метилпиперазина. Выход 1.3 г (59%), т.пл.192– 194°С, Rf 0.65. Спектр ЯМР 1Н, δ, м.д.: 1.74–1.87 м (2Н) и 1.96–2.08 м (2H, CH2), 2.23 (с, 3Н, NСН3), 3.30 д (2H, NНCH2, J 6.3 Гц), 3.41 уш.т (2H, J 10.3 Гц) и 3.64–3.73 м (2H, ОCH2), 3.43–3.61 м (8H, CH2), 3.92 уш.с (2H, NCH2СО), 5.98 с (2H, ОCH2О), 6.75–6.83 м (2H) и 6.90 уш.с (1H, C6H3), 8.25 уш.с (1H, NH), 12.3 ш.с (2H, HCl). Спектр ЯМР 13С, δ, м.д.: 22.8, 33.4 (2С), 40.1, 41.5, 47.7, 48.8, 55.7(2С), 63.1 (2С), 100.5, 107.4, 107.6, 119.9, 136.9, 145.2, 147.3, 163.6. Найдено, %: С 53.45; Н 6.82; Cl 15.65; N 9.28. С20Н29N3О4·2HCl. Вычислено, %: С 53.57; Н 6.97; Cl 15.81; N 9.37.
Дигидрохлорид N-((4-(бензо[d][1, 3]диоксол-6-ил)-тетрагидро-2H-пиран-4-ил)метил)-2-(4-бензилпи-перазин-1-ил)ацетамида (7e). Получен из 1.8 г N-бен-зилпиперазина. Выход 1.7 г (68%), т.пл.178–180°С, Rf 0.63. Спектр ЯМР 1Н, δ, м.д.: 1.74–1.85 м (2Н) и 1.96–2.06 м (2H, CH2), 3.30 д (2H, NНCH2, J 6.3 Гц), 3.36–3.58 м (10H, ОCH2 и NCH2), 3.63–3.72 м (2H, ОCH2), 3.91 ш.с (2H, NCH2СО), 4.41 уш.с (2H, NCH2Ar), 5.94 с (2H, ОCH2О), 6.74–6.80 м (2H) и 6.89 уш.с (1H, C6H3), 7.40–7.47 м (3H) и 7.69–7.74 м (2H, C6H5), 8.22 уш.т (1H, NH, J 6.3 Гц), 12.1 ш.с (2H, HCl). Спектр ЯМР 13С, δ, м.д.: 33.4 (2С), 40.1, 46.3 (2С), 47.5 (2С), 48.8, 63.1 (4С), 100.4, 107.4, 107.5, 119.8, 128.3 (3С), 129.0, 131.7 (2С), 136.9, 145.2, 147.3, 163.5. Найдено, %: С 59.39; Н 6.58; Cl 13.42; N 7.93. С26Н33N3О4·2HCl. Вычислено, %: С 59.54; Н 6.73; Cl 13.52; N 8.01.
Замещенные сульфанилацетамиды 9a–d. Общая методика. К раствору 0.0032 моль соответствующего тиола 8a–d в 40 мл этанола прибавляли 0.34 г (0.006 моль) КОН и перемешивали 1 ч при температуре 30–40°С. Затем прибавляли по каплям 1.0 г (0.0032 моль) хлорацетамида 6 в 30 мл этанола и нагревали 3 ч при 50–60°С. Отгоняли этанол, к остатку прибавляли 30 мл воды, образовавшиеся кристаллы отфильтровывали, промывали водой, сушили и перекристаллизовывали из этанола.
2-(4,6-Диметилпиримидин-2-илтио)-N-((4-(бензо[d][1, 3]диоксол-6-ил)тетрагидро-2H-пиран-4-ил)-метил)ацетамид (9a). Получен из 0.45 г тиола 8a. Выход 0.9 г (67%), т.пл.148–150°С, Rf 0.45. Спектр ЯМР 1Н, δ, м.д.: 1.67–1.87 м (4H, CH2), 2.31 с (6H, CH3), 3.33 д (2H, NCH2, J 6.4 Гц), 3.39–3.48 м (2H, ОCH2), 3.59 с (2H, SCH2), 3.63–3.72 м (2H, ОCH2), 5.92 с (2H, ОCH2О), 6.46–6.54 м (2H) и 6.62 уш.с (1H, C6H3), 6.83 с (1H), 7.09 уш.т (1H, NH, J 6.4 Гц). Спектр ЯМР 13С, δ, м.д.: 22.9 (2С), 33.2 (2С), 33.4, 40.1, 47.8, 63.0 (2С), 100.2, 106.3, 107.1, 115.5, 119.0, 137.7, 144.9, 147.2, 166.3(2С), 167.8, 169.1. Найдено, %: С 60.53; Н 5.92; N 10.00; S 7.61. С21Н25N3О4S. Вычислено, %: С 60.70; Н 6.06; N 10.11; S 7.72.
2-(5-(Тетрагидро-4-фенил-2H-пиран-4-ил)-4H-1,2,4-триазол-3-илтио)-N-((4-(бензо[d][1, 3]диоксол-6-ил)тетрагидро-2H-пиран-4-ил)метил)ацетамид (9b). Получен из 0.78 г тиола 8b. Выход 1.18 г (69%), т.пл.118–120°С, Rf 0.58. Спектр ЯМР 1Н, δ, м.д.: 1.64–1.74 м (2Н) и 1.77–1.87 м (2H, CH2), 2.12 д.д.д (2H, J 13.2, 11.0, 4.2 Гц) и 2.58 уш.д (2H, CH2, J 13.2 Гц), 3.22 д (2H, NCH2, J 6.3 Гц), 3.33–3.44 м (4H, ОCH2), 3.58–3.67 м (2Н) и 3.77 д.д.д (2H, ОCH2, J 11.6, 4.2, 3.0 Гц), 3.63 с (2H, SCH2), 5.93 с (2H, ОCH2О), 6.57 д.д (1H, J 8.2, 1.7 Гц), 6.64 д (1H, J 8.2 Гц) и 6.76 д (1H, C6H3, J 1.7 Гц), 7.10–7.20 м (1H) и 7.21–7.31 м (4H, C6H5), 7.33 уш.т (1H, NH, J 6.3 Гц), 13.50 уш.с (1H, NH). Спектр ЯМР 13С, δ, м.д.: 33.1 (2С), 34.78, 34.85 (2С), 40.1, 41.0, 48.6, 63.0 (2С), 63.9 (2С), 100.3, 106.8, 107.4, 119.4, 125.3 (2С), 125.9, 127.8 (2С), 137.2, 145.2, 145.5, 147.5, 155.7, 162.5, 167.3. Найдено, %: С 62.53; Н 5.93; N 10.32; S 5.81. С28Н32N4О5S. Вычислено, %: С 62.67; Н 6.01; N 10.44; S 5.98.
2-(5-(2,3-Дигидробензо[b][1, 4]диоксин-2-ил)-4H-1,2,4-триазол-3-илтио)-N-((4-(бензо[d][1, 3]диоксол-6-ил)тетрагидро-2H-пиран-4-ил)метил)ацетамид (9c). Получен из 0.75 г тиола 8c. Выход 1.1 г (65%), т.пл.130–132°С, Rf 0.56. Спектр ЯМР 1Н, δ, м.д.: 1.69–1.79 м (2Н) и 1.84–1.93 м (2H, CH2), 3.28 д (2H, NCH2, J 6.3 Гц), 3.37–3.45 м (2Н) и 3.62–3.70 м (2H, ОCH2), 3.72 с (2H, SCH2), 4.30 д.д (1H, J 11.5, 8.0 Гц) и 4.44 д.д (1H, ОCH2СН, J 11.5, 2.6 Гц), 5.22 д.д (1H, СН, J 8.0, 2.6 Гц), 5.92 с (2H, ОCH2О), 6.62 д.д (1H, J 8.2, 1.8 Гц), 6.67 д (1H, J 8.2 Гц) и 6.76 д (1H, C6H3, J 1.8 Гц), 6.79–6.89 м (4H, C6H4), 7.44 уш.т (1H, NH, J 6.3 Гц), 13.52 уш.с (1H, NH). Спектр ЯМР 13С, δ, м.д.: 33.2 (2С), 34.8, 40.2, 48.6, 63.0 (2С), 65.4, 68.2, 100.3, 106.8, 107.4, 116.6, 116.8, 119.3, 120.9, 121.0, 137.2, 142.4, 142.5, 145.1, 147.3, 154.6, 156.0, 167.1. Найдено, %: С 58.73; Н 5.08; N 10.83; S 6.16. С25Н26N4О6S. Вычислено, %: С 58.81; Н 5.13; N 10.97; S 6.28.
2-(5-(2,3-Дигидробензо[b][1, 4]диоксин-2-ил)-4-фенил-4H-1,2,4-триазол-3-илтио)-N-((4-(бензо[d]-[1, 3]диоксол-6-ил)тетрагидро-2H-пиран-4-ил)метил)ацетамид (9d). Получен из 1.0 г тиола 8d. Выход 1.0 г (53%), т.пл.196–198°С, Rf 0.42. Спектр ЯМР 1Н, δ, м.д.: 1.78–1.89 м (2Н) и 1.93–2.02 м (2H, CH2), 3.32 д (2H, NCH2, J 6.4 Гц), 3.41–3.48 м (2Н) и 3.65–3.73 м (2H, ОCH2), 3.75 с (2H, SCH2), 4.32 д.д (1H, J 11.6, 8.0 Гц) и 4.45 д.д (1H, ОCH2СН, J 11.6, 2.5 Гц), 4.85 д.д (1H, СН, J 8.0, 2.5 Гц), 5.93 с (2H, ОCH2О), 6.60 д.д (1H, J 8.2, 1.8 Гц), 6.65 д (1H, J 8.2 Гц) и 6.74 д (1H, C6H3, J 1.8 Гц), 6.76–6.86 м (4H, C6H4), 7.32 уш.т (1H, NH, J 6.4 Гц), 7.38–7.43 м (2Н) и 7.48–7.56 м (3H, C6H5). Спектр ЯМР 13С, δ, м.д.: 33.1 (2С), 34.8, 40.2, 48.6, 63.0 (2С), 65.3, 68.3, 100.2, 106.7, 107.3, 116.6, 116.8, 119.4, 120.9, 121.0, 125.3 (2С), 125.9, 127.8 (2С), 137.2, 142.4, 142.5, 145.1, 147.5, 154.3, 156.0, 162.5, 167.3. Найдено, %: С 63.28; Н 5.11; N 9.48; S 5.31. С31Н30N4О6S. Вычислено, %: С 63.47; Н 5.15; N 9.55; S 5.47.
ЗАКЛЮЧЕНИЕ
Разработан оптимальный метод синтеза (4-(бензо[d][1, 3]диоксол-6-ил)тетрагидро-2H-пиран-4-ил)метиламина алкилированием нитрила 3,4-метилендиоксифенилуксусной кислоты 2,2-дихлордиэтиловым эфиром и последующим восстановлением выделенного нитрила. В результате раскрытия оксиранового кольца вышеуказанным амином получен ряд арилоксиметилпропаноламинов. Изучена возможность синтеза аминометил- и сульфанилметиламидов на основе полученного из амина хлорацетамида.
About the authors
Zh. S. Arustamyan
The Scientific Technological Centre of Organic and Pharmaceutical Chemistry NAS RA
Author for correspondence.
Email: aaghekyan@mail.ru
ORCID iD: 0000-0002-0541-5315
Armenia, Yerevan
R. E. Margaryan
The Scientific Technological Centre of Organic and Pharmaceutical Chemistry NAS RA
Email: aaghekyan@mail.ru
ORCID iD: 0000-0002-5066-0870
Armenia, Yerevan
G. G. Mkryan
The Scientific Technological Centre of Organic and Pharmaceutical Chemistry NAS RA
Email: aaghekyan@mail.ru
ORCID iD: 0000-0001-9879-9524
Armenia, Yerevan
A. A. Aghekyan
The Scientific Technological Centre of Organic and Pharmaceutical Chemistry NAS RA
Email: aaghekyan@mail.ru
ORCID iD: 0000-0001-6151-4951
Armenia, Yerevan
G. A. Panosyan
The Scientific Technological Centre of Organic and Pharmaceutical Chemistry NAS RA
Email: aaghekyan@mail.ru
Armenia, Yerevan
Zh. M. Buniatyan
The Scientific Technological Centre of Organic and Pharmaceutical Chemistry NAS RA
Email: aaghekyan@mail.ru
ORCID iD: 0000-0001-8311-6276
Armenia, Yerevan
R. E. Muradyan
The Scientific Technological Centre of Organic and Pharmaceutical Chemistry NAS RA
Email: aaghekyan@mail.ru
ORCID iD: 0000-0002-4110-9454
Armenia, Yerevan
References
- Hikichi Y. Jap. J. Phytopath. 1993, 59, 369–374. doi: 10.3186/jjphytopath.59.369
- Nagate T., Kurashige S., Mitsuhashi S. Antimicrob. Agents Chemother. 1980, 17, 203–208. doi: 10.1128/AAC.17.2.203
- сrestey F., Jensen A.A., Borch M., Andreasen J.T., Andersen J., Balle T., Kristensen J.L. J. Med. Chem. 2013, 56 (23), 9673–9682. doi: 10.1021/jm4013592
- Коноваленко А.С., Шаблыкин О.В., Броваретс В.С., Шаблыкина О.В., Москвина В.С., Козитский А.В. ХГС. 2020, 56 (8), 1021–1029. [Konovalenko A.S., Shablykin O.V., Brovarets V.S., Shablykina O.V., Moskvina V.S., Kozytskiy A.V. Chem. Heterocycl. Compd. 2020, 56 (8), 1021–1029.] doi: 10.1007/s10593-020-02769-3
- сrestey F., Jensen A.A., Soerensen C., Magnus C.B., Andreasen J.T., Peters G.H. J., Kristensen J.L. J. Med. Chem. 2018, 61, 1719–1729. doi: 10.1021/acs.jmedchem.7601895
- Хушматов Ш.С., Жумаев И.З., Журакулов Ш.Н., Саидов А.Ш., Виноградова В.И. Хим.-фарм. ж. 2020, 54 (1), 9–13. [Khushmatov Sh.S., Zhumaev I.Z., Zhurakulov Sh.N., Saidov A.Sh., Vinogradova V.I. Pharm. Chem. J. 2020, 54 (1), 7–11.] doi: 10.1007/s11094-020-02148-4
- Watanuki S., Matsuura K., Tomura Y., Okada M., Okazaki T., Ohta M., Tsukamoto S. Bioorg. Med. Chem. 2011, 19, 5628–5638. doi: 10.1016/j.bmc.2011.07.030
- Агекян А.А., Мкрян Г.Г., Цатинян А.С., Норавян О.С., Гаспарян Г.В. ЖОрХ. 2016, 52 (2), 226–230. [Aghekyan A.A., Mkryan G.G., Tsatinyan A.S., Noravyan O.S., Gasparyan G.V. Russ. J. Org. Chem. 2016, 52 (2), 209–213.] doi: 10.1134/S1070428016020081
- Kankanala J., Marchand Ch., Abdelmalak M., Aihara H., Pommier Y., Wang Z. J. Med. Chem. 2016, 59, 2734. doi: 10.1021/acs.jmedchem.5b01973
- Davies S.G., Fletcher A.M., Frost A.B., Kennedy M.S., Roberts P.M., Thomson J.E. Tetrahedron. 2016, 72, 2139. doi: 10.1016/j.tet.2016.03.008
- Lacivita E., Schepetkin I.A., Stama M.L., Kirpotina L.N., Colabufo N.A., Perrone R., Khlebnikov A.I., Quinn M.T., Leopoldo M. Bioorg. Med. Chem. 2015, 23 (14), 3913–3924. doi: 10.1016/j.bmc.2014.12.007
- Агекян А.А., Мкрян Г.Г., Цатинян А.С., Норавян О.С., Гаспарян Г.В. ЖОрХ. 2017, 53 (3), 364–367. [Aghekyan A.A., Mkryan G.G., Tsatinyan A.S., Noravyan O.S., Gasparyan G.V. Russ. J. Org. Chem. 2017, 53 (3), 362–365.] doi: 10.1134/S1070428017030083
- Арутюнян А.В., Дубинина Е.Е., Зыбина Н.А. Методы оценки свободнорадикального окисления и антиоксидантной системы организма. СПб, 2000, 90–94.
- Владимиров Ю.А., Азизова О.А., Даев А.И., Козлов А.В. Свободные радикалы в живых системах. ВИНИТИ, 1991, 29, 126–130.




