Resistance and chemosensitivity restoration in human cytomegalovirus-infected tumor cells to doxorubicin through combined treatment with aqueous fullerene dC60
- Authors: Chernoryzh Y.Y.1, Yurlov K.I.1, Grebennikova T.V.1, Andreev S.M.2, Lesnova E.I.1, Simonov R.A.1, Fedorova N.E.1, Kushch A.A.1
-
Affiliations:
- National Research Center for Epidemiology and Microbiology named after Honorary Academician N.F. Gamaleya of the Ministry of Health of the Russian Federation
- National Research Center – Institute of Immunology Federal Medical-Biological Agency of Russia
- Issue: Vol 70, No 5 (2025)
- Pages: 444-454
- Section: ORIGINAL RESEARCHES
- URL: https://journals.rcsi.science/0507-4088/article/view/353627
- DOI: https://doi.org/10.36233/05074088300
- EDN: https://elibrary.ru/cdagan
- ID: 353627
Cite item
Abstract
Introduction. Human cytomegalovirus infection can induce tumor cell resistance to chemotherapeutic agents through modulation of apoptotic pathways. In the search for alternative approaches to overcome virus-associated drug resistance, the application of nanomaterials (aqueous fullerene dC60) represents a promising strategy. The potential to overcome human cytomegalovirus mediated chemoresistance opens new avenues for developing combined therapeutic approaches in oncology.
Aim – to evaluate the impact of human cytomegalovirus infection on the resistance of hepatocellular carcinoma and promyelocytic leukemia cells to doxorubicin, as well as the potential of aqueous fullerene dC60 to restore chemosensitivity in monocytic leukemia cells.
Materials and methods. Hepatocellular carcinoma cells (Huh 7.5), promyelocytic leukemia cells (HL-60), monocytic leukemia cells (THP-1), and HCMV AD169 were used. The experimental procedures included standard cell culture techniques, virological methods, immunocytochemistry, Western blotting, Real-Time Polymerase Chain Reaction, Quantitative Reverse Transcription Polymerase Chain Reaction and MTT assay.
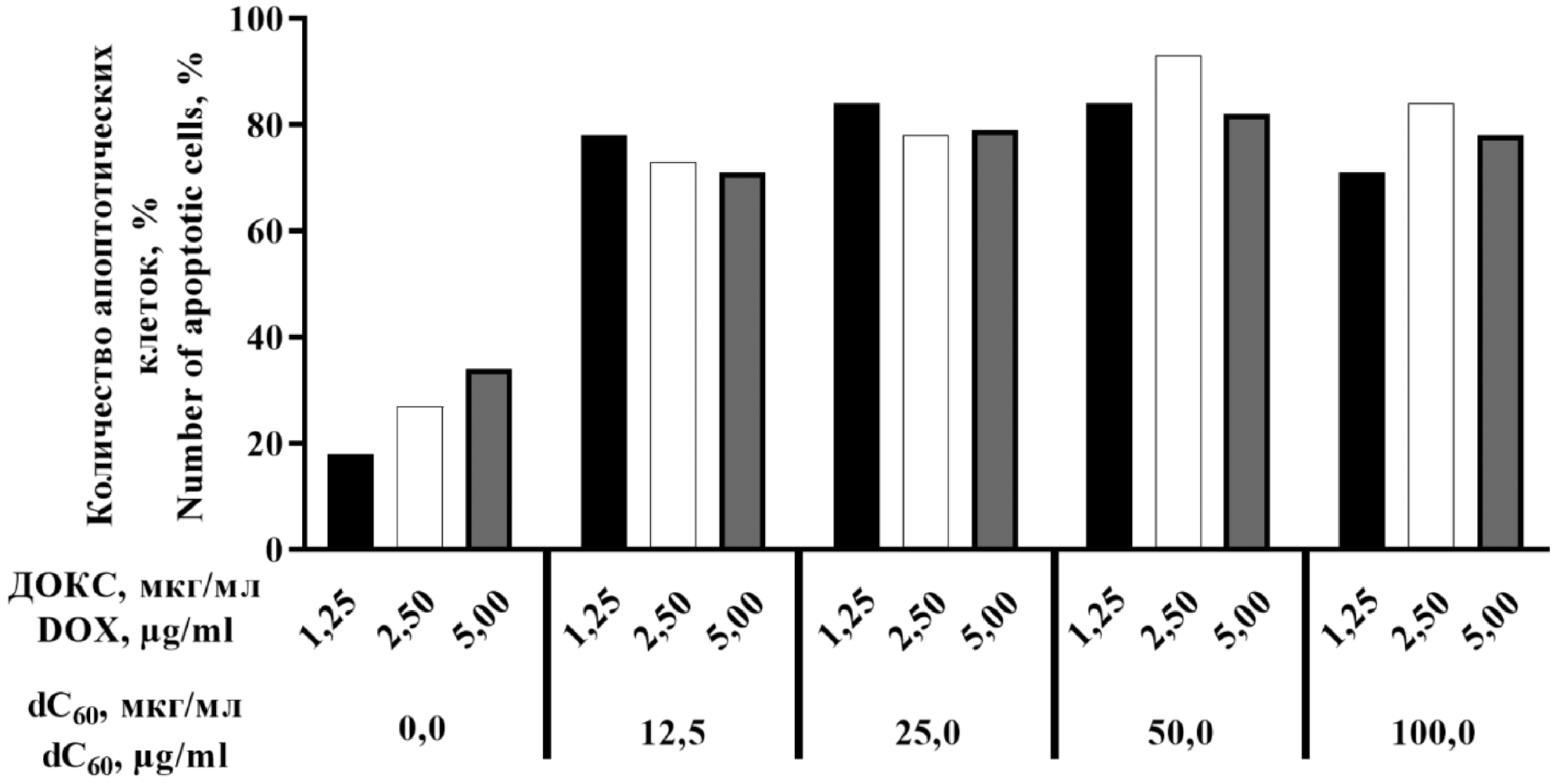
Results. Human cytomegalovirus infection reduced doxorubicin cytotoxicity by 30% in both hepatocellular carcinoma and promyelocytic leukemia cells. In monocytic leukemia cells, combined treatment with doxorubicin and dC60 restored chemosensitivity to human cytomegalovirus infected cells, achieving 93% tumor cell death at half the standard doxorubicin concentration.
Conclusion. Human cytomegalovirus infection induces doxorubicin resistance in both hematopoietic (promyelocytic leukemia, monocytic leukemia) and solid (hepatocellular carcinoma) tumor models. Importantly, combined treatment doxorubicin with aqueous fullerene dC60 not only overcomes virus-mediated drug resistance in monocytic leukemia cells but also enhances cytotoxicity at reduced doxorubicin concentrations, offering prospects for developing less toxic combined therapeutic regimens.
Full Text
##article.viewOnOriginalSite##About the authors
Yana Yu. Chernoryzh
National Research Center for Epidemiology and Microbiology named after Honorary Academician N.F. Gamaleya of the Ministry of Health of the Russian Federation
Author for correspondence.
Email: revengeful_w@mail.ru
ORCID iD: 0000-0001-9848-8515
PhD, Candidate of Medical Sciences, Researcher, laboratory of molecular diagnostics
Russian Federation, Moscow, 123098Kirill I. Yurlov
National Research Center for Epidemiology and Microbiology named after Honorary Academician N.F. Gamaleya of the Ministry of Health of the Russian Federation
Email: kir34292@yandex.ru
ORCID iD: 0000-0002-4694-2445
Researcher at the Laboratory of Cellular Engineering
Russian Federation, Moscow, 123098Tatyana V. Grebennikova
National Research Center for Epidemiology and Microbiology named after Honorary Academician N.F. Gamaleya of the Ministry of Health of the Russian Federation
Email: t_grebennikova@mail.ru
ORCID iD: 0000-0002-6141-9361
Doctor of Biological Sciences, Professor, Corresponding Member RAS, deputy Director for Science of the Division of the Ivanovsky Virology Institute Head of the Control Center
Russian Federation, Moscow, 123098Sergey M. Andreev
National Research Center – Institute of Immunology Federal Medical-Biological Agency of Russia
Email: andsergej@yandex.ru
ORCID iD: 0000-0001-8297-579X
PhD, Head of the of the Peptide Immunogens Lab.
Russian Federation, Moscow, 115522Ekaterina I. Lesnova
National Research Center for Epidemiology and Microbiology named after Honorary Academician N.F. Gamaleya of the Ministry of Health of the Russian Federation
Email: wolf252006@yandex.ru
ORCID iD: 0000-0002-2801-6843
Researcher
Russian Federation, Moscow, 123098Ruslan A. Simonov
National Research Center for Epidemiology and Microbiology named after Honorary Academician N.F. Gamaleya of the Ministry of Health of the Russian Federation
Email: simonoff.ra@mail.ru
ORCID iD: 0000-0002-7706-8228
Laboratory Research Assistant
Russian Federation, Moscow, 123098Natalia E. Fedorova
National Research Center for Epidemiology and Microbiology named after Honorary Academician N.F. Gamaleya of the Ministry of Health of the Russian Federation
Email: ninani@mail.ru
ORCID iD: 0000-0001-8466-7993
PhD, Senior Researcher
Russian Federation, Moscow, 123098Alla A. Kushch
National Research Center for Epidemiology and Microbiology named after Honorary Academician N.F. Gamaleya of the Ministry of Health of the Russian Federation
Email: vitallku@mail.ru
ORCID iD: 0000-0002-3396-5533
Professor, Dr. Sci. (Biology), Leading Researcher
Russian Federation, Moscow, 123098References
- Cao J., Li D. Searching for human oncoviruses: Histories, challenges, and opportunities. J. Cell. Biochem. 2018; 119(6): 4897–906. https://doi.org/10.1002/jcb.26717
- de Wit R.H., Mujić-Delić A., van Senten J.R., Fraile-Ramos A., Siderius M., Smit M.J. Human cytomegalovirus encoded chemokine receptor US28 activates the HIF-1α/PKM2 axis in glioblastoma cells. Oncotarget. 2016; 7(42): 67966–85. https://doi.org/10.18632/oncotarget.11817
- Lepiller Q., Abbas W., Kumar A., Tripathy M.K., Herbein G. HCMV activates the IL-6-JAK-STAT3 axis in HepG2 cells and primary human hepatocytes. PLoS One. 2013; 8(3): e59591. https://doi.org/10.1371/journal.pone.0059591
- El Baba R., Herbein G. Immune landscape of CMV infection in cancer patients: from “canonical” diseases toward virus-elicited oncomodulation. Front. Immunol. 2021; 12: 730765. https://doi.org/10.3389/fimmu.2021.730765
- Herbein G. Tumors and cytomegalovirus: an intimate interplay. Viruses. 2022; 14(4): 812. https://doi.org/10.3390/v14040812
- Fedorova N.E., Chernoryzh Y.Y., Vinogradskaya G.R., Emelianova S.S., Zavalyshina L.E., Yurlov K.I., et al. Inhibitor of polyamine catabolism MDL72.527 restores the sensitivity to doxorubicin of monocytic leukemia THP-1 cells infected with human cytomegalovirus. Biochimie. 2019; 158: 82–9. https://doi.org/10.1016/j.biochi.2018.12.012
- Chernoryzh YA.YU., Yurlov K.I., Simonov R.A., Fedorova N.E., Kushch A.A. Cytomegalovirus immediate-early proteins mediate doxorubicin resistance in THP-1 leukemia cells. Aktual’naya biotekhnologiya. 2019; (3): 385–8. https://elibrary.ru/xabsiq (in Russian)
- Osman A.M., Bayoumi H.M., Al-Harthi S.E., Damanhouri Z.A., Elshal M.F. Modulation of doxorubicin cytotoxicity by resveratrol in a human breast cancer cell line. Cancer Cell Int. 2012; 12(1): 47. https://doi.org/10.1186/1475-2867-12-47
- Schroeter A., Marko D. Resveratrol modulates the topoisomerase inhibitory potential of doxorubicin in human colon carcinoma cells. Molecules. 2014; 19(12): 20054–72. https://doi.org/10.3390/molecules191220054
- Daglioglu C., Okutucu B. Therapeutic effects of AICAR and DOX conjugated multifunctional nanoparticles in sensitization and elimination of cancer cells via survivin targeting. Pharm. Res. 2017; 34(1): 175–84. https://doi.org/10.1007/s11095-016-2053-7
- Gu Y., Li J., Li Y., Song L., Li D., Peng L., et al. Nanomicelles loaded with doxorubicin and curcumin for alleviating multidrug resistance in lung cancer. Int. J. Nanomedicine. 2016; 11: 5757–70. https://doi.org/10.2147/ijn.s118568
- Herath N.I., Devun F., Herbette A., Lienafa M.C., Chouteau P., Sun J.S., et al. Potentiation of doxorubicin efficacy in hepatocellular carcinoma by the DNA repair inhibitor DT01 in preclinical models. 2017; 27(10): 4435–44. https://doi.org/10.1007/s00330-017-4792-1
- Goodarzi S., Ros T.D., Conde J., Sefat F., Mozafari M. Fullerene: Biomedical engineers get to revisit an old friend. Materials Today. 2017; 20(8): 460–80. https://doi.org/10.1016/j.mattod.2017.03.017
- Shershakova N.N., Andreev S.M., Tomchuk A.A., Makarova E.A., Nikonova A.A., Turetskiy E.A., et al. Wound healing activity of aqueous dispersion of fullerene C60 produced by “green technology”. Nanomedicine. 2023; 47: 102619. https://doi.org/10.1016/j.nano.2022.102619
- Xu P.Y., Li X.Q., Chen W.G., Deng L.L., Tan Y.Z., Zhang Q., et al. Progress in antiviral fullerene research. Nanomaterials (Basel). 2022; 12(15): 2547. https://doi.org/10.3390/nano12152547
- Sinegubova E.O., Kraevaya O.A., Volobueva A.S., Zhilenkov A.V., Shestakov A.F., Baykov S.V., et al. Water-soluble fullerene C60 derivatives are effective inhibitors of influenza virus replication. Microorganisms. 2023; 11(3): 681. https://doi.org/10.3390/microorganisms11030681
- Mashino T. Development of bio-active fullerene derivatives suitable for drug. Yakugaku Zasshi. 2022; 142(2): 165–79. https://doi.org/10.1248/yakushi.21-00188 (in Japanese)
- Klimova R., Andreev S., Momotyuk E., Demidova N., Fedorova N., Chernoryzh Y., et al. Aqueous fullerene C60 solution suppresses herpes simplex virus and cytomegalovirus infections. Fuller. Nanotub. Carbon Nanostructures. 2020; 28(6): 487–99. https://doi.org/10.1080/1536383X.2019.1706495
- Schiller J.T., Lowy D.R. An introduction to virus infections and human cancer. Recent Results Cancer Res. 2021; 217: 1–11. https://doi.org/10.1007/978-3-030-57362-1_1
- Chen C.J., You S.L., Hsu W.L., Yang H.I., Lee M.H., Chen H.C., et al. Epidemiology of virus infection and human cancer. Recent Results Cancer Res. 2021; 217: 13–45. https://doi.org/10.1007/978-3-030-57362-1_2
- Herbein G. High-risk oncogenic human cytomegalovirus. Viruses. 2022; 14(11): 2462. https://doi.org/10.3390/v14112462
- Francis S.S., Wallace A.D., Wendt G.A., Li L., Liu F., Riley L.W., et al. In utero cytomegalovirus infection and development of childhood acute lymphoblastic leukemia. Blood. 2017; 129(12): 1680–4. https://doi.org/10.1182/blood-2016-07-723148
- Chernoryzh Y.Y., Fedorova N.E., Yurlov K.I., Simonov R.A., Kushch A.A., Gintsburg A.L., et al. Resistance of THP-1 leukemia cells infected with cytomegalovirus to anti-tumor antibiotic doxorubicin and restoration of the sensitivity by inhibitors of the PI3K/Akt/mTOR molecular pathway. Doklady Biochemistry and Biophysics. 2019; 489(1): 388–91. https://doi.org/10.1134/S1607672919060073 https://elibrary.ru/atorde
- Emel’yanova S.S., Chernoryzh YA.YU., Yurlov K.I., Zakirova N.F., Vinogradskaya G.R., Verbenko V.N. Cytomegalovirus induces chemoresistance in THP-1 tumor cells by modulating polyamine metabolism. Aktual’naya biotekhnologiya. 2019; (3): 585–8. https://elibrary.ru/ivwogg (in Russian)
- Xu S., Schafer X., Munger J. Expression of oncogenic alleles induces multiple blocks to human cytomegalovirus infection. J. Virol. 2016; 90(9): 4346–56. https://doi.org/10.1128/jvi.00179-16
- Chernorizh Ya.Yu., Fedorova N.E., Yurlov K.I., Ivanov A.V., Kushch A.A. Combined application of anti-tumor antibiotic doxorubicin and inhibitor mTOR-rapamicine restores the sensitivity of leukemia cells ТНР-1 infected with human cytomogalovirus. Geny i kletki. 2019; 14(3): 70–1. https://elibrary.ru/yrchfk (in Russian)
- Chernoryzh YA.YU., Fedorova N.E., Kornev A.B., Ivanov A.V., Kushch A.A. mTOR inhibitors reverse HCMV-induced apoptosis blockade in doxorubicin-treated THP-1 tumor cells. Vestnik Biomeditsina i sotsiologiya. 2018; 3(4): 45–8. https://elibrary.ru/vqfxea (in Russian)
Supplementary files






