Comparative Study of 1,3,5-Trinitrobenzene and 2,4,6-Trinitrotoluene Hydrogenation over Copper-Aluminum Oxide Catalyst in a Flow Reactor
- Authors: Nuzhdin A.L.1, Shchurova I.А.1,2, Bukhtiyarova M.V.1, Plyusnin P.E.3, Alekseyeva .A.1,2, Sysolyatin S.V.2, Bukhtiyarova G.A.1
- 
							Affiliations: 
							- Boreskov Institute of Catalysis SB RAS
- Institute for Problems of Chemical and Energetic Technologies SB RAS
- Nikolaev Institute of Inorganic Chemistry SB RAS
 
- Issue: Vol 64, No 1 (2023)
- Pages: 31-38
- Section: ARTICLES
- URL: https://journals.rcsi.science/0453-8811/article/view/137007
- DOI: https://doi.org/10.31857/S0453881123010045
- EDN: https://elibrary.ru/KHAEGN
- ID: 137007
Cite item
Full Text
Abstract
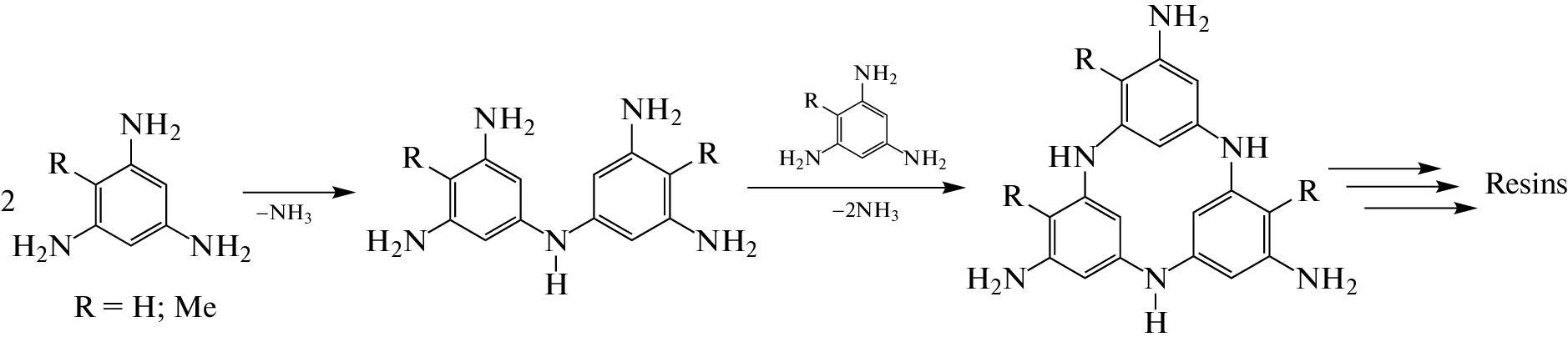
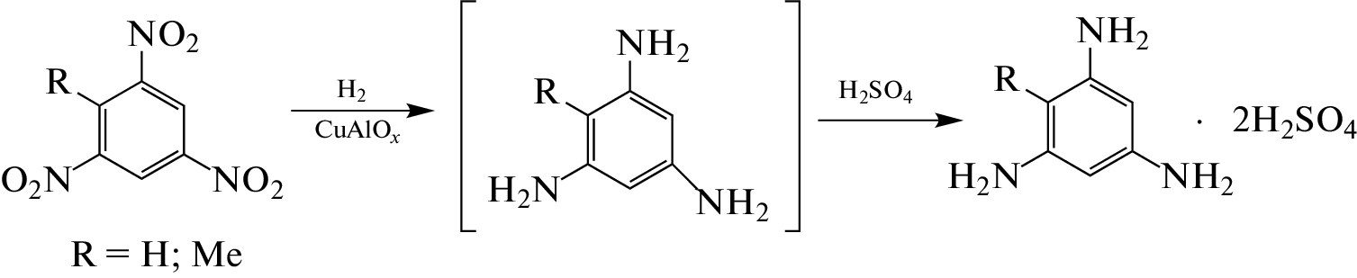
The catalytic properties of a copper-aluminum oxide catalyst obtained from double layered hydroxide have been studied in hydrogenation of 1,3,5-trinitrobenzene (TNB) and 2,4,6-trinitrotoluene (TNT) in a flow reactor. The reaction was carried out at temperature of 120°C, total pressure of 30 bar and substrate concentration of 0.10–0.15 M, using methanol as a solvent. 1,3,5-Triaminobenzene (TAB) and 2,4,6-triaminotoluene (TAT) were isolated from the reaction mixture in the form of double salts with sulfuric acid TAB⋅2H2SO4 and TAT⋅2H2SO4, the yield of which was 92 and 98%, respectively. At an initial trinitroarene concentration of 0.10 M, the hydrolysis of triaminobenzene salts made it possible to synthesize phloroglucinol and methylphloroglucinol in 78 and 91% yields. Increasing the concentration to 0.15 M reduces the yield to 71 and 88%, respectively. According to thermal analysis data, the observed differences in the yields of triaminobenzene salts and polyphenols are explained by the formation of different amounts of resinous by-products on the catalyst surface during hydrogenation of trinitroarene. Hydrogenation of TNT produces less resin, resulting in higher yields of TAT⋅2H2SO4 and methyl phloroglucinol. This is probably due to the presence of an electron-donating methyl substituent, which slows down polycondensation of TAT molecules.
About the authors
A. L. Nuzhdin
Boreskov Institute of Catalysis SB RAS
							Author for correspondence.
							Email: anuzhdin@catalysis.ru
				                					                																			                												                								Russia, 630090, Novosibirsk, Ave. Lavrentiev 5						
I. А. Shchurova
Boreskov Institute of Catalysis SB RAS; Institute for Problems of Chemical and Energetic Technologies SB RAS
														Email: anuzhdin@catalysis.ru
				                					                																			                												                								Russia, 630090, Novosibirsk, Ave. Lavrentiev 5; Russia, 659322, Biysk, Sotsialisticheskaja str. 1						
M. V. Bukhtiyarova
Boreskov Institute of Catalysis SB RAS
														Email: anuzhdin@catalysis.ru
				                					                																			                												                								Russia, 630090, Novosibirsk, Ave. Lavrentiev 5						
P. E. Plyusnin
Nikolaev Institute of Inorganic Chemistry SB RAS
														Email: anuzhdin@catalysis.ru
				                					                																			                												                								Russia, 630090, Novosibirsk, Ave. Lavrentiev 3						
N. A. Alekseyeva
Boreskov Institute of Catalysis SB RAS; Institute for Problems of Chemical and Energetic Technologies SB RAS
														Email: anuzhdin@catalysis.ru
				                					                																			                												                								Russia, 630090, Novosibirsk, Ave. Lavrentiev 5; Russia, 659322, Biysk, Sotsialisticheskaja str. 1						
S. V. Sysolyatin
Institute for Problems of Chemical and Energetic Technologies SB RAS
														Email: anuzhdin@catalysis.ru
				                					                																			                												                								Russia, 659322, Biysk, Sotsialisticheskaja str. 1						
G. A. Bukhtiyarova
Boreskov Institute of Catalysis SB RAS
														Email: anuzhdin@catalysis.ru
				                					                																			                												                								Russia, 630090, Novosibirsk, Ave. Lavrentiev 5						
References
- Lee H., Park R.Y., Park K. // Bull. Korean Chem. Soc. 2021. V. 42. P. 66.
- Teng X., Wang Y., Gu J., Shi P., Shen Zh., Ye L. // Molecules. 2018. V. 23. № 3116.
- Mittal N., Tesfu H.H., Hogan A.M., Cardona S.T., Sorensen J.L. // J. Antibiot. 2019. V. 72. P. 253.
- Verbanac D., Jain S.C., Jain N., Chand M., Paljetak H.C., Matijašic M., Peric M., Stepanic V., Saso L. // Bioorg. Med. Chem. 2012. V. 20. P. 3180.
- Sun Q., Schmidt S., Tremmel M., Heilmann J., Konig B. // Eur. J. Med. Chem. 2014. V. 85. P. 621.
- Li N., Khan S.I., Qiu S., Li X.-C. // Molecules. 2018. V. 23. № 3232.
- Fiege H., Voges H.W., Hamamoto T., Umemura S., Iwata T., Miki H., Fujita Y., Buysch H.J., Garbe D., Paulus W. / In: Phenol derivatives, Ullmann’s Encyclopedia of Industrial Chemistry. Wiley-VCH Verlag GmbH & Co: Weinheim, 2012. V. 26. P. 557.
- Abdel-Ghany S.E., Day I., Heuberger A.L., Broeckling C.D., Reddy A.S.N. // Sci. Rep. 2016. V. 6. P. 38483.
- Ушкаров В.И., Кобраков К.И., Алафинов А.И., Шевелев С.А., Шахнес А.Х. // Химическая технология. 2006. Т. 8. С. 5.
- Kastens M.L., Kaplan J.F. // Ind. Eng. Chem. 1950. V. 42. P. 402.
- Blaser H.-U., Steiner H., Studer M. // ChemCatChem. 2009. V. 1. P. 210.
- Formenti D., Ferretti F., Scharnagl F.K., Beller M. // Chem. Rev. 2019. V. 119. P. 2611.
- Cardenas-Lizana F., Keane M.A. // J. Mater. Sci. 2013. V. 48. P. 543.
- Kürschner U., Ehwald H., Alscher G. // Catal. Lett. 1995. V. 34. P. 191.
- Belskaya O.B., Mironenko R.M., Talsi V.P., Rodionov V.A., Sysolyatin S.V., Likholobov V.A. // J. Mol. Catal. A: Chem. 2016. V. 420. P. 190.
- Belskaya O.B., Mironenko R.M., Talsi V.P., Rodionov V.A., Gulyaeva T.I., Sysolyatin S.V., Likholobov V.A. // Catal. Today. 2018. V. 301. P. 258.
- Мироненко Р.М., Бельская О.Б., Талзи В.П., Родионов В.А., Сысолятин С.В., Лихолобов В.А. // Изв. Акад. Наук. Сер. хим. 2016. № 6. С. 1535.
- Бельская О.Б., Мироненко Р.М., Гуляева Т.И., Тренихин М.В., Лихолобова В.А. // Изв. Акад. Наук. Сер. хим. 2018. № 1. С. 71.
- Talsi V.P., Belskaya O.B., Yurpalov V.L. // Magn. Reson. Chem. 2020. V. 58. P. 84.
- Кашаев В.А., Хисамутдинов Г.X., Шевелев С.А., Валешний С.И., Шахнес А.X., Баврина А.П. // Химическая технология. 2007. Т. 8. С. 346.
- Scholles H., Luebben M., Reichelt K., Kluger K., Niehoff W. // DE Patent 4131471, 1993.
- van Gelder K.B., Damhof J.K., Kroijenga P.J., Westerterp K.R. // Chem. Eng. Sci. 1990. V. 45. P. 3159.
- Halcour K., Schwerdtel W., Swodenk W., Thelen H. // DE Patent 2135154, 1973.
- Temme O., Dickner T., Laschat S., Fröhlich R., Kotila S., Bergander K. // Eur. J. Org. Chem. 1998. P. 651.
- Kim H.J., Lee W.S. // WO Patent 2007126262, 2007.
- Schuster L. // DE Patent 3218665, 1981.
- Yu T., Jiao J., Song P., Nie W., Yi C., Zhang Q., Li P. // ChemSusChem. 2020. V. 13. P. 2876.
- Masuda K., Ichitsuka T., Koumura N., Sato K., Kobayashi S. // Tetrahedron. 2018. V. 74. P. 1705.
- De Risi C., Bortolini O., Brandolese A., Di Carmine G., Ragno D., Massi A. // React. Chem. Eng. 2020. V. 5. P. 1017.
- Kirichenko O., Kapustin G., Mishin I., Nissenbaum V., Shuvalova E., Redina E., Kustov L. // Molecules. 2022. V. 27. № 5147.
- Nuzhdin A.L., Shchurova I.A., Bukhtiyarova M.V., Bulavchenko O.A., Alekseyeva N.A., Sysolyatin S.V., Bukhtiyarova G.A. // Synthesis. 2022. V. 54. P. 3605.
- Nuzhdin A.L., Bukhtiyarova M.V., Bukhtiyarova G.A. // J. Chem. Technol. Biotechnol. 2020. V. 95. P. 3292.
- Nuzhdin A.L., Bukhtiyarova M.V., Bulavchenko O.A., Bukhtiyarova G.A. // Mol. Catal. 2020. V. 494. № 111 132.
- Нуждин А.Л., Симонов П.А., Бухтияров В.И. // Кинетика и катализ. 2021. Т. 62. № 4. С. 459.
- Nuzhdin A.L., Reshetnikov S.I., Bukhtiyarova G.A., Moroz B.L.,·Gerasimov E.Yu., Pyrjaev P.A., Bukhtiyarov V.I. // Catal. Lett. 2017. V. 147. P. 572.
- Рассолов А.В., Иванов Г.А., Брагина Г.О., Баева Г.Н., Смирнова Н.С., Казаков А.В., Усачев Н.Я., Стахеев А.Ю. // Кинетика и катализ. 2021. Т. 62. № 5. С. 591.
Supplementary files
 
				
			 
					 
						 
						 
						 
						 
				
 
  
  
  Email this article
			Email this article 








