Electric double layer capacitors (review)
- Authors: Volfkovich Y.M.1
-
Affiliations:
- Institute of Physical Chemistry and Electrochemistry named after A.N. Frumkin RAS
- Issue: Vol 60, No 10 (2024): Спецвыпуск “Электрохимия-2023”, часть 1
- Pages: 654-691
- Section: Articles by participants of the All-Russian Conference “Electrochemistry-2023” (Moscow, October 23–26, 2023)
- URL: https://journals.rcsi.science/0424-8570/article/view/281210
- DOI: https://doi.org/10.31857/S0424857024100022
- EDN: https://elibrary.ru/OHSSHF
- ID: 281210
Cite item
Full Text
Abstract
A review of modern scientific literature on electric double layer capacitors (EDLCs), which are based on the recharging of an electrical double layer (EDL), is offered. EDLCs are used in pulse technology devices, as electrical energy storage devices, for starter starting and for recuperating braking energy of internal combustion engines; for smoothing peak loads of electrical networks and in various portable devices. EDLCs are divided into power EDLCs (PEDLCs) and energy (EEDLCs) type. PEDLCs (pulse) have a high specific power (up to hundreds of kW/kg), and EEDSC have a high specific energy (~25 Wh/kg and above). Compared to batteries, PEDLCs have a much higher power density and cycleability – up to hundreds of thousands and millions of cycles. Publications on EDLCs self-discharge were reviewed.
Full Text
Сокращенные обозначения
АУ активированный уголь
АУТ активированные углеродные ткани
АУЭ активированный угольный электрод
ВДУМ высокодисперсные углеродные материалы
ВОГ восстановленный оксид графена
ДСК двойнослойный конденсатор
ДЭС двойной электрический слой
ОВЭ потенциал относительно водородного электрода
ОГ оксид графена
ОСУНТ одностенные углеродные нанотрубки
ПП поверхностная проводимость
ТЭМ Просвечивающая электронная микроскопия
УНТ углеродные нанотрубки
ПГ поверхностные функциональные группы
ЦВА циклическая вольтамперометрия
ЭХСК электрохимический суперконденсатор
ОГЛАВЛЕНИЕ
1. Введение
1.1 Основные свойства двойнослойных конденсаторов
1.2 Удельная энергия и удельная мощность ДСК
1.3 Основы макрокинетики ДСК
1.4 Пористая структура и гидрофильно-гидрофобные свойства высокодисперсных углеродных электродов
1.4.1 Измерение разными методами площади удельной поверхности (УП) углеродных наноматериалов
1.4.2 Пористая структура углеродных электродов и ее влияние на характеристики ЭХСК
1.4.3 Понятие о равновесных и неравновесных циклических вольт-амперных кривых
1.5 Влияние соотношения размеров ионов и молекул с размерами пор
1.6 Влияние функциональных поверхностных групп на характеристики ДСК
1.7 Влияние редокс-реакций функциональных поверхностных групп на КПД по энергии ЭХСК
1.8 Электролиты, используемые в ДСК
1.9 Нанопористые угли, полученные разными методами
1.9.1 Активированные угли
1.9.2 Карбидные производные углерода
1.9.3 Углеродные нанотрубки
1.9.4 Графены и их производные
2. Саморазряд суперконденсаторов
2.1 Способы исследования саморазряда суперконденсаторов
2.2 Механизмы саморазряда
2.2.1 Перераспределение катионов и анионов в пористом электроде по толщине и по порам разных размеров
2.2.2 Челночный перенос ионов – продуктов редокс-реакций с одного электрода на другой и обратно
2.2.3 Перенос ионов из мест с высокой концентрацией в места с более низкой концентрацией
2.3 Разработка новых суперконденсаторов для повышения их характеристик и минимизации саморазряда
2.3.1 Введение специальных добавок в электролит
2.3.2 Твердотельные суперконденсаторы
2.3.3 Суперконденсаторы с ионообменными мембранами
2.3.4 Использование беспримесных электролитов
2.3.5 Методы химической модификации электродов для снижения саморазряда
2.4 Саморазряд суперконденсаторов с электродами на основе активированных углей
2.5 Перспективы двойнослойных конденсаторов
ВВЕДЕНИЕ
Согласно определению, впервые сделанному Конвеем и затем ставшему общепринятым, электрохимическими суперконденсаторами называются электрохимические устройства, в которых протекают квазиобратимые электрохимические зарядно-разрядные процессы и форма гальваностатических зарядных и разрядных кривых которых близка к линейной, т.е. близка к форме соответствующих зависимостей для обычных электростатических конденсаторов [1]. ЭХСК подразделяются на двойнослойные конденсаторы [1, 2], псевдоконденсаторы (ПсК) [1, 2] и гибридные суперконденсаторы (ГСК) [2]. ДСК, основанные на заряжении двойного электрического слоя электродов, содержат электроды из высокодисперсных углеродных материалов с высокой удельной поверхностью (УП) ~500–2500 м2/г. К ВДУМ относятся активированные угли (АУ), карбидные угли, аэрогели, ксерогели, сажи, нанотрубки, нановолокна, графены и др. В электродах ПсК протекают быстрые квазиобратимые электрохимические реакции. В них в качестве основы электродов используются электронопроводящие полимеры (ЭПП) (полианилин, политиофен, полипиррол и др.) или некоторые оксиды металлов, обладающие несколькими степенями окисления (RuOх, MnOx и др.). Преимуществами ЭХСК по сравнению с аккумуляторами являются:
- Более высокие мощностные характеристики.
- Более высокая циклируемость, доходящая до сотен тысяч и более 1 млн циклов для высокомощных ЭХСК.
- ЭХСК, в основном ДСК, надежно работают в условиях экстремальных температур от –50 до +60оС, поскольку они не лимитируются кинетикой электрохимических реакций, а управляются законами электрофизики.
- В принципе, у ДСК КПД по энергии (это отношение энергии разряда к энергии заряда) может приближаться к 100%, поскольку, в отличие от аккумуляторов, у ДСК нет потерь энергии, обусловленных поляризацией электродных реакций. Величина КПД по энергии для ДСК ограничивается только омическими потерями энергии. Очень высокая величина КПД по энергии дает возможность применения ЭХСК в различных устройствах для аккумулирования, хранения и выдачи энергии электрических сетей и для сглаживания пиковых нагрузок электрических сетей.
- Разные виды ЭХСК могут заряжаться и разряжаться в течение очень широкого диапазона времен от долей секунды до часов.
- Многие виды ЭХСК обладают еще одним преимуществом – экологическим. Дело в том, что миллиарды свинцовых, щелочных и литиевых аккумуляторов после выработки своего ресурса оказываются в мусоре или в земле. Таким образом, туда попадают такие токсичные элементы, как свинец, кадмий, никель, литий, фтор, и др. В противоположность этому, ЭХСК с углеродными электродами и с водными электролитами являются вполне экологическими, т.е. практически безвредными. Недостатки ЭХСК по сравнению с аккумуляторами: меньшая удельная энергия и больший саморазряд. Для снижения саморазряда требуется создание высокочистых ЭХСК, поскольку растворимые примеси в электролите и в электродах приводят к саморазряду.
ЭХСК применяются в электромобилях, автомобилях, тепловозах – для стартерного запуска двигателей внутреннего сгорания (ДВС), и в различных электронных устройствах. В электромобилях ЭХСК может применяться в комбинации с топливными элементами – для форсажных режимов. ЭХСК также применяются для использования энергии торможения транспортных средств с ДВС. ЭХСК подразделяются на два основных типа – мощностные (или импульсные), обладающие высокой удельной мощностью, и энергетические, обладающие высокой удельной энергией. Соответственно, для каждого типа ЭХСК существуют свои области применения.
Для получения ДСК с очень высокой удельной мощностью используется ряд приемов. В [3] на основе углеродных нанотрубок были изготовлены ДСК с очень высокой удельной мощностью 48 кВт/кг. В работе [4] в качестве электродного материала для ДСК был изготовлен тиол-функционализированный, легированный азотом, восстановленный оксид графена. Такой суперконденсатор продемонстрировал высокую плотность мощности/энергии 58.5 кВт/кг.
Мощность ЭХСК сильно зависят от морфологии материалов их электродов. Идеальной является электропроводящая трехмерная пористая структура, обладающая большой УП для доступа ионов. Используя вспышку света, в [5] был разработан метод создания сильно взаимосвязанных трехмерных графеновых архитектур с большой УП и хорошей проводимостью. Такой флэш-графен позволяет получать суперконденсаторы сверхвысокой удельной мощностью (500–700 кВт/кг).
В работе [6] представлен эффективный метод получения высокопроводящих, гибких пористых углеродных тонких пленок, изготовленных путем химической активации восстановленной бумаги из оксида графена. Эти гибкие углеродные тонкие пленки обладают очень высокой УП (2400 м2/г) при высокой электропроводности. ДСК, содержащий такие углеродные пленки в качестве электродов, продемонстрировал очень высокую удельную мощность около 500 кВт/кг.
В [7] представлен простой и недорогой метод получения углерода с иерархической пористой структурой на основе графена из источника биомассы. Трехмерные (3D) углеродные материалы на основе графена были получены путем последовательных стадий, таких как формирование и трансформация полимеров на основе глюкозы в 3D-пеноподобные структуры и их последующая карбонизация с образованием соответствующих макропористых углей с тонкими углеродными стенками на основе графена и поперечными углеродными каркасами и с последующей активацией. ДСК, изготовленный с использованием этого угля, показал максимальную плотность мощности 408 кВт/кг.
1.1 Основные свойства двойнослойных конденсаторов (ДСК)
ДСК состоит из двух пористых поляризуемых электродов. Процесс энергосбережения в ДСК осуществляется посредством разделения заряда на двух электродах с достаточно большой разностью потенциалов между ними. Электрический заряд ДСК определяется емкостью ДЭС. Электрохимический процесс в ДСК можно представить как [2]:
положительный электрод Γs + A– ↔ Γ+s // А– + е–, (1)
отрицательный электрод Γs + C+ + е– ↔ Γ–s // C+, (2)
суммарная реакция Γs + Γs + C+ + A– ↔ Γ–s // C+ + Γ+s //A–, (3)
где Гs представляет поверхность электрода; // – ДЭС, где заряд аккумулируется на обеих его сторонах; С+ и А– – катионы и анионы электролита.
Во время заряда электроны переносятся от положительного электрода к отрицательному через наружный источник тока. Ионы из объема электролита двигаются к электродам. Во время разряда электроны перемещаются от отрицательного электрода к положительному через нагрузку и ионы возвращаются с поверхности в объем электролита. Во время заряда и разряда изменяются плотность заряда на границе раздела и концентрация электролита. Теоретические представления об удельной (на единицу истинной поверхности электрода) емкости ДЭС основаны на известных классических теориях двойного слоя Гельмгольца, Штерна, Гуи–Чапмена, Грэма и др. [8].
Для более детального по сравнению с гальваностатическими кривыми электрохимического анализа электродов ЭХСК, как и других электрохимических систем, измеряются циклические вольтамперограммы, т.е. зависимости тока от потенциала при заданной скорости развертки потенциала (В/с). На рис. 1 показаны схематические циклические вольтамперограммы. На верхнем рисунке (рис. 1a) изображены такие зависимости для электрода идеального ДСК, в котором происходит только заряжение – разряжение ДЭС. Эти зависимости в первом приближении представляют собой прямоугольник с прямыми линиями, параллельными и перпендикулярными оси абсцисс. На нижнем рисунке (рис. 1б) изображены схематические ЦВА-зависимости для электрода ПсК, в которые вносят вклад псевдоемкость и емкость ДЭС.
Рис. 1. Схематические ЦВА-зависимости для электрода идеального ДСК, в котором происходит заряжение ДЭС (a) и для электрода ПсК с псевдоемкостью (б) [2].
Для ДСК, как и для всех идеальных конденсаторов, емкость обратно пропорциональна толщине обкладки:
С = ε / (4πd), (4)
где ε – диэлектрическая проницаемость, d – толщина обкладки конденсатора.
Например, для классических бумажных конденсаторов обкладкой является бумага, расположенная между электродами. Ее толщина имеет несколько десятков мкм, и соответственно такие конденсаторы имеют низкую величину удельной емкости. В электроде ДСК толщиной обкладки является толщина ДЭС, которая порядка десятых долей нанометра. В результате удельная емкость Сs на единицу истинной межфазной поверхности электрод/жидкий электролит на много порядков выше, чем у обычных конденсаторов, для водных электролитов 10–20 мкФ/см2 [1], для неводных электролитов несколько мкФ/см2.
Удельная емкость на грамм электрода:
Сg = Сs × S, (5)
где S – удельная поверхность (см2/г). Для получения высокой емкости в ДСК применяются электроды, обладающие высокой удельной поверхностью S ~ 500–2500 м2/г, в качестве основы которых используются высокодисперсные углеродные материалы: активированные угли [1, 2], аэрогели, сажи, углеродные нанотрубки, нановолокна, карбидные угли, графены и др.
В табл. 1 приведены типичные удельные характеристики различных конденсаторов: бумажных конденсаторов (БК) (это электрические конденсаторы, в которых диэлектриком служит особая бумага; они используются в низкочастотных цепях высокого напряжения), электролитических конденсаторах (ЭК) и ДСК. Как видим, в ряду БК → ЭК → ДСК уменьшается толщина обкладки и соответственно возрастает удельная энергия, а удельная мощность уменьшается.
Таблица 1. Основные удельные характеристики конденсаторов
Тип конденсатора | Толщина обкладки, нм | Удельная энергия, Вт/л | Удельная мощность, Вт ч/л |
ДСК | 0.3–1 | 1–20 | 5·10–2 – 5·10–4 |
Электролитический | 103 | 3·10–2 | 104–105 |
Бумажный | 2·104–4·104 | <10–3 | >107 |
Поскольку размер ионов и молекул, а значит и толщина ДЭС, для водных электролитов меньше, чем для неводных электролитов, то величины удельной емкости для водных электролитов в большинстве случаев больше, чем для неводных электролитов. Измеренные величины удельной емкости углеродных материалов, используемых в ЭХСК, находятся в диапазоне 75–200 Ф/г для водных электролитов и 40–100 Ф/г для органических электролитов, потому что для большинства углеродных материалов относительно большая доля площади поверхности лежит в микропорах, в которые не могут проникнуть ионы [1, 2].
1.2 Удельная энергия и удельная мощность ДСК
Для идеальных ДСК с идеально поляризуемыми электродами удельная энергия разряда равна [1]:
A = 1/2 C (V2max – V2min), (6)
где С – средняя емкость электродов, Vmax и Vmin – исходное и конечное значения разрядного напряжения. Если Vmin = 0, то
A = Аmax = 1/2 C V2max. (7)
Вследствие малой растворимости неводных электролитов удельная энергия ДСК с неводным электролитом зависит не только от емкости, но и от концентрации электролита.
Из уравнения (7) видно, что максимальная удельная энергия ДСК пропорциональна емкости в первой степени, а максимальному напряжению в квадрате. Сравнивая величины удельной энергии ДСК с водными и неводными электролитами, нужно учитывать, что для водных электролитов величины удельной емкости и электропроводности больше, чем для неводных электролитов, а величины максимального напряжения для водных электролитов меньше, чем для неводных электролитов. В результате в [2] было установлено, что величины удельной энергии при малых плотностях тока выше для ДСК с неводным электролитом, а для больших плотностей тока, наоборот, величины удельной энергии больше для ДСК с водным электролитом.
Суперконденсаторы разрабатывались в качестве альтернативы импульсным аккумуляторам. Чтобы быть альтернативой, суперконденсаторы должны иметь гораздо большие мощность и время циклирования. Существуют два подхода к расчету пиковой плотности мощности ДСК и аккумуляторов, указанных в табл. 1. Первый и более стандартный подход заключается в определении мощности при так называемом соответственном состоянии импеданса, при котором половина энергии разряда переходит в электричество и половина в тепло. Максимальная мощность на данный момент определяется следующим уравнением:
, (8)
где Voc – напряжение разомкнутой цепи аккумулятора и максимальное напряжение суперконденсатора, Rb является cопротивлением соответствующего устройства. Эффективность разряда в этом состоянии 50%. Для многих приложений, в которых значительная доля энергии хранится в накопителе энергии перед тем, как она будет использована в системе, эффективность заряд/разрядных циклов имеет большое значение для эффективности системы. В этих случаях использование накопителя энергии должно быть ограничено условиями, которые приводят к высокой эффективности как для заряда, так и разряда. Разряд/зарядная мощность аккумулятора и ЭХСК как функция эффективности определяется уравнением:
, (9)
где EF является эффективностью импульса высокой мощности. Для EF = 0.95, Рef /Рmi = 0.19. Таким образом, в приложениях, в которых эффективность является главной задачей, полезная мощность аккумулятора и ДСК значительно меньше, чем пиковая мощность Рmi, которую чаще всего приводит производитель аккумулятора и ДСК. В случае ДСК пиковая мощность для разряда между напряжениями Vo и Vo /2, где Vo – номинальное напряжение устройства, приводится следующая формула:
, (10)
где Ruc – сопротивление ДСК. Это уравнение учитывает уменьшение напряжения при разряде устройства. Очевидно, что почти во всех случаях мощность суперконденсаторов выше чем у аккумуляторов. Опыт показал, что ДСК можно не использовать в течение нескольких лет и по-прежнему они будут пребывать в практически первоначальном состоянии. Суперконденсаторы могут глубоко циклироваться при высоких скоростях (разряд за секунды) до сотен тысяч и миллиона циклов с относительно небольшими изменениями характеристик (10–20% деградации в емкости и сопротивлении). Это невозможно проделать с аккумуляторами, даже с небольшой глубиной разряда (10–20%).
Таким образом, по сравнению с аккумуляторами, ДСК как импульсные устройства высокой мощности обладают следующими преимуществами: более высокий КПД по энергии, обусловленный отсутствием поляризации электродных реакций; более высокая удельная мощность; длительный срок хранения и циклирования, отсутствие благородных металлов и других дорогостоящих компонентов. Разность (Vmax – Vmin) называют окном потенциалов. Чем шире это окно, тем выше величины удельной энергии и удельной мощности ДСК. Использование неводных электролитов в ДСК с электродами на основе ВДУМ позволяет достигать высоких (до 3–3.5 В) значений окна потенциалов, что значительно повышает удельную энергию (см. уравнение (7)). Для неводных электролитов высокие значения окна потенциалов действуют также в направлении увеличения удельной мощности (см. уравнение (7), однако в обратном направлении действуют следующие факторы: меньшие величины удельной емкости (вследствие большого размера молекул растворителя по сравнению с микропорами) и удельной электропроводности по сравнению с водными электролитами. Водные растворы H2SO4 и KOH с концентрациями от 30 до 40 вес. %, вследствие высокой электропроводности, позволяют достигать достаточно высоких мощностей, но низкий интервал рабочих напряжений (около 1 В) снижает энергетические характеристики ДСК. В итоге в каждом конкретном случае следует подбирать оптимальные условия для достижения более высоких величин удельной мощности.
В отличие от аккумуляторов, суперконденсаторы могут функционировать в очень широком диапазоне времен заряда–разряда от долей секунды до часов. В соответствии с этим ЭХСК подразделяются на два основных типа – мощностные, обладающие высокой удельной мощностью, и энергетические, обладающие высокой удельной энергией. К мощностным ЭХСК относятся двойнослойные конденсаторы. Мощностные суперконденсаторы позволяют проводить процессы заряда и разряда за очень короткие времена (от долей секунды до минут) и получать при этом высокие мощностные характеристики от 1 до сотен кВт/кг в концентрированных водных электролитах. Измерения для высокодисперсных углеродных электродов в режимах работы энергетических ЭХСК обычно дают величины удельной емкости в водных растворах в пределах от 50 до 200 Ф/г. Для углеродных материалов была достигнута предельная емкость 320 Ф/г за счет существенного вклада псевдоемкости квазиобратимых редокс-реакций поверхностных групп углей. Таким образом, это уже не в чистом виде ДСК.
В [9] был исследован очень широкий диапазон характерных времен заряда – разряда для различных перезаряжаемых электрохимических устройств, которые представляют собой зоны функционирования этих устройств в координатах: удельная мощность – удельная энергия. Были исследованы различные виды аккумуляторов (свинцовые, никель-металлогидридные и литий-ионные), а также электролитические конденсаторы и ЭХСК. Было показано, что диапазон функционирования ЭХСК простирается на 7 порядков характерных времен, что намного порядков больше по сравнению с любым типом аккумуляторов. ЭХСК имеют свою нишу. По сравнению с аккумуляторами они обладают меньшими величинами удельной энергии, но намного большими величинами удельной мощности. Кроме того, они на много порядков превосходят аккумуляторы по циклируемости, которая достигает сотен тысяч и даже миллионов циклов, в то время как для аккумуляторов – от нескольких сотен до нескольких тысяч циклов.
1.3 Основы макрокинетики ДСК
Следует отметить, что в большинстве обзоров по ДСК не рассматриваются вопросы макрокинетики, что на наш взгляд, является их недостатком. Принимая, что пористый электрод ДСК является идеально поляризуемым, то в общем случае основными процессами, происходящими при работе ДСК, являются: нестационарный процесс заряжения ДЭС на развитой межфазной поверхности электрод/электролит в порах, диффузионно-миграционный перенос ионов в электролите, содержащемся в порах, и омические потери энергии. Из теории пористых электродов следует следующее уравнение для распределения потенциала Е по толщине электрода, т.е. по координате x [10]:
, (11)
где κ – эффективная электропроводность электролита в порах, S – удельная площадь поверхности электрода [см2/см3], i(E) – зависимость локальной плотности тока i на межфазной поверхности электрод/электролит от потенциала. Плотность тока i определяется заряжением ДЭС:
, (12)
где Cs – удельная емкость ДЭС на единицу площади поверхности, τ – время. Для гальваностатического режима граничные и начальные условия для системы уравнений (11) и (12) имеют вид:
, (13)
где I – плотность тока на единицу видимой поверхности электрода. Для системы (11)–(13) в [10] было впервые получено аналитическое решение, и оно было сопоставлено с экспериментальными разрядными и зарядными кривыми для симметричного ДСК с двумя одинаковыми электродами из активированной углеродной ткани АУТ-600 с водным электролитом 10 М КОН и с неводным электролитом 1M LiAlF4 + γ-бутиролактон (ГБЛ). В результате было получено близкое совпадение расчетных кривых с экспериментальными, что свидетельствует о корректности принятой модели для расчета и оптимизации ДСК.
1.4 Пористая структура и гидрофильногидрофобные свойства высокодисперсных углеродных электродов
Для исследования пористой структуры и гидрофильно-гидрофобных свойств высокодисперсных углеродных электродов в ряде работ использовался метод эталонной контактной порометрии (МЭКП) [11, 12]. В отличие от других порометрических методов, в том числе БЭТ, МЭКП позволяет не только исследовать пористую структуру любых материалов в максимально широком диапазоне радиусов пор ~ от 1 до 3·105 нм, но и изучать их гидрофильно-гидрофобные свойства. При использовании в качестве измерительной жидкости октана измеряются порометрические кривые для всех пор, а при использовании воды – только гидрофильных пор. Этот метод был признан IUPAC [13].
Как уже отмечалось выше, в качестве электродов ЭХСК используются высокодисперсные углеродные материалы с удельной поверхностью ~500–2500 м2/г. Известно, что углеродные материалы в отличие от других материалов обладают переходными гидрофильно-гидрофобными свойствами, т.е. они имеют как гидрофильные, так и гидрофобные поры. В [2] с использованием в качестве измерительных жидкостей октана и воды была исследована АУ-ткань СН900 японской компании Курарай. По октану измеряются порометрические кривые для всех пор, а по воде – только для гидрофильных пор. Было установлено, что эта ткань имеет очень широкий спектр пор: от микропор с радиусами r ≤ 1 нм, до макропор с r > 100 мкм, т.е. в интервале более 5 порядков. В данной ткани содержатся микропоры, а также макропоры с r > 1 мкм, но практически отсутствуют мезопоры с 1 нм < r < 100 нм. Микропоры обеспечивают высокую полную удельную поверхность с Sп = 1520 м2/г и гидрофильную удельную поверхность Sfi = 850 м2/г, полная пористость (по октану) равна 86%, гидрофильная пористость – 78.5%, а гидрофобная пористость – 7.5%.
Из рис. 2 видно, что АУТ СН900 имеет большой объем макропор с размерами от 1 до 100 мкм.
Рис. 2. СЭМ-фото для АУ-ткани СН900 [2].
1.4.1 Измерение разными методами площади удельной поверхности (УП) углеродных наноматериалов
Поскольку емкость ДЭС пропорциональна величине площади удельной поверхности, то встает вопрос о корректности измерения этой величины для разных углеродных наноматериалов (УНМ), используемых в электродах ЭХСК. В работах [14, 15] были проведены измерения УП тремя разными порометрическими методами для следующих УНМ: одностенных УНТ, многостенных УНТ (МСУНТ) и восстановленного оксида графена. Были использованы следующие порометрические методы: БЭТ, МЭКП и метод измерения емкости ДЭС (МИЕДЭС).
Емкостные измерения проводились в растворе 32% КОН + 6% LiOH.
В табл. 2 приведены результаты этих измерений.
Таблица 2. Результаты измерений УП [15]
Углеродный материал | SБЭТ, м2/г | SМЭКП, м2/г | SДЭС, м2/г |
ОСУНТ | 200 | 550 | 552 |
МСУНТ | 67 | 325 | 350 |
ВОГ | 600 | 2000–2400 | 2130 |
Из этой таблицы видно, что для всех трех исследованных УНМ было показано, что, во-первых, МЭКП и емкостной метод дают близкие величины УП, и во-вторых, что эти величины в 2.8–5.2 раза больше соответствующих величин, полученных методом БЭТ. По мнению авторов работы [15], сильно заниженные величины УП, полученные методом БЭТ, объясняются тем, что единичные углеродные нанотрубки и графеновые листы, как известно, прилипают друг к другу, образуя агломераты, тяжи или стопки, а молекулы азота при низкой температуре около –200°С (условия измерений БЭТ) не проникают между отдельными трубками и графеновыми слоями. С другой стороны, хорошо смачивающие углеродные материалы (особенно при комнатной температуре) молекулы октана, применявшегося в МЭКП, благодаря расклинивающему давлению в процессе измерений внедряются между отдельными УНТ и графеновыми слоями и тем самым существенно увеличивают межфазную поверхность. Электролит при комнатной температуре так же, как октан, обладает расклинивающим давлением (вследствие наличия в УНМ существенной доли гидрофильной поверхности) и обеспечивает величины УП, близкие к полученным МЭКП. Таким образом, МЭКП и МИЕДЭС позволяют оценивать величины УП, реализуемые для рабочих условий электрохимических экспериментов.
1.4.2 Пористая структура углеродных электродов и ее влияние на характеристики ЭХСК
Пористая структура углеродных электродов очень разнообразна, и вследствие этого разнообразно ее влияние на характеристики ЭХСК. В ряде работ [16–27] авторы считают перспективным иерархический тип пористой структуры электродов ЭХСК. Под этим понимается структура, состоящая из мелких агломератов, которые в свою очередь входят в состав более крупных агломератов и так в несколько структурных “этажей”. В результате структуры такого типа имеют очень широкий спектр размеров пор от нанометров до ~100 микрон в диапазоне примерно 5 порядков [2, 11]. Наноразмерные поры находятся внутри самого мелкого (первого) “этажа” этой иерархической структуры, и на него чаще всего приходится максимальная доля УП. Более крупные поры, расположенные между агломератами, играют роль транспортных, поскольку они обеспечивают быстрый транспорт ионов к нанопорам и мезопорам при достаточно больших токах. Оптимизационный смысл иерархической структуры понятен, если учесть, что емкость ДЭС пропорциональна удельной поверхности (УП), что было прямо установлено, например в [28].
В работе [16] было сделано заключение, что емкость электродов ЭХСК на основе углерода десятилетиями оставалась на среднем уровне между 100 и 200 Ф/г. Однако после создания нового семейства углеродных материалов, имеющих иерархическую пористую структуру, емкость была увеличена до новых значений, превышающих 300 Ф/г, что активизировало дальнейшие исследования углеродных материалов для ЭХСК.
В работе [17] было сообщено, что полые углеродные сферы (ПУС) привлекли большое внимание благодаря своей уникальной структуре, но они обладают неудовлетворительной транспортной способностью из-за отсутствия мезопор. В [17] была предложена новая стратегия изготовления ПУС с макро-мезо-нанопористой иерархической структурой пор без травления и щелочной активации. Было показано, что ПУС могут обеспечить достаточно высокую плотность энергии 6.2 Вт ч/кг при плотности мощности 25 Вт/кг, а также плотность энергии 3.6 Вт ч/кг при высокой плотности мощности 2.2 кВт/кг.
В работе [18] описан способ создания иерархической структуры АУ путем активации CO2 мезопористых углеродных материалов. По сравнению с первичными мезопористыми углеродными материалами образцы, подвергнутые обработке CO2, продемонстрировали значительное улучшение текстурных свойств. Электрохимические измерения в электролите 6 М КОН показали, что активация CO2 обеспечила величину удельной емкости 223 Ф/г и объемной емкости 54 Ф/см3 при скорости сканирования 2 мВ/с и 73% сохраняемый коэффициент при 50 мВ/с. Хорошие емкостные характеристики электродов объяснялись иерархической структурой пор, высокой УП (2749 м2/г по БЭТ), большим объемом пор (2.09 см3/г), а также хорошо сбалансированной нанопористостью и мезопористостью.
В работе [19] описан способ синтеза пористого углеродного материала для ЭХСК с иерархической структурой путем пиролиза C10H14N2Na2O8/KOH и кожуры грецкого ореха вместе с травлением раствором HCl. Такая уникальная стратегия двойного порообразования открывала закрытые поры и расширяла диапазон распределения нанопор для углеродного материала с 0.55–1.76 нм до 0.59–2.53 нм, Таким способом была достигнута удельная емкость 557.9 Ф/г (при 1 А/г) и 291.0 Ф/г (при 30 А/г), плотность мощности 5679.62 Вт/кг и плотность энергии 12.44 Вт ч/кг.
В работе [20] был описан многообещающий углеродный материал для ЭХСК в виде графена с иерархической структурой пор. В качестве электрода в ЭХСК удельная емкость на площадь истинной поверхности достигала 20.7 мкФ/см2, благодаря высокой эффективности использования поверхности, которая намного выше, чем у традиционного АУ (6.0 мкФ/см2) и пористого графена (6.5 мкФ/см2). Пектин как функциональный биополимер был успешно использован в [19] для получения легированной 3D углеродной архитектуры с иерархическими порами. Простой и новый шаблон in situ в сочетании с методом активации KOH использовался для получения пористого углеродного материала с применением ацетата кальция в качестве источника шаблона и мочевины в качестве легирующей добавки. Высокая УП по БЭТ (2928 м2/г) и подходящее соотношение нанопор/мезопор способствовало повышению удельной емкости и производительности. Были получены следующие характеристики: удельная емкость 338 Ф/г при 1 A/г, плотность энергии 22.4 Вт ч/кг при 880 Вт/кг в 1 М Na2SO4.
В ряде работ [29–41] из характеристик пористой структуры, влияющих на электрохимические характеристики углеродных электродов, основное внимание уделялось величине УП. В работе [29] сообщается о создании серии АУ с различной морфологией пористой структуры и содержанием кислорода из глюкозы с помощью гидротермального синтеза с последующей одностадийной (H2O-пар или KOH) или двухстадийной (H2O-пар-KOH и KOH-H2O-пар) активацией. Наибольшая УП по БЭТ была более 3400 м2/г, а соответствующий объем мезопор составил 1.21 см3/г. Получены следующие оптимальные величины удельной емкости симметричных ЭХСК, измеренные для этих АУ в различных водных электролитах: 421 Ф/г при 0.5 А/г и 304 Ф/г при 10 А/г.
В [27] была предложена эффективная стратегия получения легированных азотом пористых графитизированных углеродных нанослоев, заключающаяся в использовании в качестве прекурсора вспененного крахмала, его каталитической графитизации и последующей активации KOH. Оптимальный образец продемонстрировал однородную листовидную морфологию с толщиной ≈80 нм, с высокой УП по БЭТ 2129.8 м2/г и большим объемом пор 0.97 см3/г. Действуя в качестве электрода ЭХСК в электролите 6 М КОН, он обладал высокой удельной емкостью 337.6 Ф/г при 0.5 А/г. Кроме того, была собрана двухэлектродная симметричная ячейка в 1 M TEABF4/ацетонитрил, которая продемонстрировала высокую плотность энергии 27.5 Вт ч/кг, а также очень высокую циклическую стабильность с сохранением 87.6% после 5000 циклов.
В работе [36] был синтезирован АУ, совместно легированный азотом и бором (BKACS). Изготовленные образцы были охарактеризованы методами XRD, SEM, Raman, XPS и БЭТ для получения характеристик их структуры, морфологии, УП и элементного состава. Полученный BKACS имел УП 1129.6 м2/г и был применен в качестве электродного материала для ДСК. Он показал высокую удельную емкость 316 Ф/г при 0.2 А/г в электролите 6 М КОН и высокую циклическую стабильность с сохранением 94.08% емкости после 10 000 циклов при 10 А/г.
В ряде работ были созданы электроды с высокой УП и с иерархической структурой. Например, в [38] были изготовлены высокопористые углеродные материалы на основе графена с иерархическими пористыми структурами, в которых мезопоры интегрированы в макропористые каркасы. Макропоры были введены путем сборки полых сфер на основе графена, а мезопоры были получены в результате химической активации гидроксидом калия. Уникальные трехмерные структуры пор в полученных материалах имели высокие величины УП по БЭТ до 3290 м2/г и обеспечивали краткий путь диффузии ионов к внутренним поверхностям частиц электрода. В результате была получена высокая для неводного электролита удельная емкость 174 Ф/г в ацетонитриле. Была получена также высокая плотность энергии ЭХСК 74 Вт ч/кг.
В ряде публикаций были описаны способы изготовления электродов из смешанных углеродных нанотрубок с различными проводящими пористыми структурами [38, 39]. Например, в [38] путем смешивания мелкодисперсных агрегатных структур одного типа УНТ были получены пленки УНТ, состоящие из взаимно переплетающихся сетчатых структур, которые обеспечивали требуемую как мезо-, так и макропористость (общий объем пор 1.10–3.81 см/г) и электропроводность (6–358 См/см). Во многих работах было оптимизировано соотношение между объемными долями нанопор, мезопор и макропор [42–51]. Интересно, что при этом в [43] для АУ была получена очень высокая величина УП по БЭТ – 4279 м2/г.
В работе [52] было исследовано влияние пористой структуры на электрохимические характеристики ДСК с нанокомпозитными бумажными электродами на основе углеродных нанотрубок и резорцин-формальдегидного ксерогеля. (Эти электроды были изготовлены в [53].) Методом эталонной контактной порометрии была исследована пористая структура и гидрофильно-гидрофобные свойства этих электродов в диапазоне радиусов пор от ~1 до 105 нм. Величины площади удельной поверхности (УП) находились в пределах от 780 до 960 м2/г. Образцы содержали как гидрофильные, так и гидрофобные поры. ЦВА-кривые и спектры импеданса в 1 М H2SO4 показали практически только заряжение ДЭС без заметного влияния псевдоемкости фарадеевских реакций. При изменении скорости развертки напряжения в 100 раз величины равновесной удельной емкости изменялись незначительно от 1.25 до 1.36 раза, что свидетельствует об оптимальности пористой структуры и о доминирующем вкладе емкости ДЭС в суммарную емкость. Была установлена пропорциональная зависимость удельной емкости от УП электродов. Это обусловлено высокой пористостью электродов (~80 об. %) и регулярностью их пористой структуры. Кроме того, по оценкам от 87 до 89% доли поверхности приходились на гидрофильные, т.е. на функционирующие поры, и только от 13 до 11% – на гидрофобные поры. Была достигнута высокая величина удельной мощности СК 45.8 кВт/кг. Это показывает перспективность использования данной нанокомпозитной бумаги для ЭХСК.
1.4.3 Понятие о равновесных и неравновесных циклических вольт-амперных кривых
Как известно, ЦВА-кривые являются одними из наиболее информативных характеристик электродных процессов. Измерение ЦВА-кривых осуществляется в двух вариантах: 1) при исследовании ЭХСК измерения производятся по двухэлектродной схеме в виде зависимости тока от напряжения; 2) при исследовании отдельного суперконденсаторного электрода измерения проводятся по трехэлектродной схеме: исследуемый электрод, противоэлектрод, электрод сравнения.
Для получения ЦВА-кривых токи измеряются при различных скоростях развертки потенциала или напряжения w, в основном от 1 до 1000 мВ/с, а потом строится кривая зависимости тока от напряжения или от потенциала. При этом важно добиваться равновесности, чтобы скорость развертки потенциала или напряжения не превышала скорости электродных процессов. Тогда получаются равновесные ЦВА-кривые, которые можно корректно использовать для анализа процессов, происходящих в электрохимических ячейках. На рис. 3 равновесной является верхняя кривая, которая получается, когда не превышена предельная для данного ДСК скорость развертки потенциала (wпред). При превышении этой скорости форма ЦВА-кривых отклоняется от прямоугольной и принимает форму вытянутых “рыбок”, наклоненных под углом к оси потенциала или напряжения. В литературе часто приводятся такие неравновесные ЦВА- кривые. Такой пример, взятый из работы [54], приведен на рис. 3. На этом рисунке только кривую с w = 5 мВ/с можно считать равновесной. Остальные кривые с w > 5 мВ/с в виде “рыбок” являются неравновесными. Доказательством их неравновесности является то, что при обратном ходе кривой, т.е. при разряжении, для части этой кривой при отрицательной величине тока потенциалы имеют положительный знак. Это означает, что неравновесная кривая “помнит” предыдущую ЦВА-кривую, т.е. не является самодостаточной.
Рис. 3. ЦВА-кривые для cкоростей развертки потенциала 5, 10, 20, 50 и 100 мВ/с [54].
Важной проблемой является разработка теории расчета ЦВА-кривых для суперконденсаторов. В [10] было впервые получено аналитическое решение для расчета ЦВА-кривых симметричного ДСК (с двумя одинаковыми электродами), работающего в гальваностатическом режиме, а также достигнуто хорошее согласие с экспериментами. Математическая модель [10] была основана на развитой в работах 1963 и 1964 гг. де Леви [55, 56] и ставшей общепринятой эквивалентной электрической схеме пористого электрода в виде бесконечной трансмиссионной линии, состоящей из последовательных элементов в виде параллельно соединенных сопротивления и емкости.
В [57] была разработана математическая модель расчета ЦВА-кривых для общего случая равновесных и неравновесных кривых, т.е. для любых скоростей развертки напряжений. Эта модель получила экспериментальное подтверждение, продемонстрированное на рис. 4.
Рис. 4. Экспериментальные (сплошные линии) и рассчитанные (пунктир) по модели ЦВА-кривые для w = 10, 50 и 100 мВ/с [57].
На рис. 4 показано удовлетворительное согласие экспериментальных и расчетных ЦВА для w = 100 и 50 мВ/с. Однако при w = 10 мВ/с такое согласие имеет место лишь в диапазоне напряжений от 0 до ~1.2 В. В этой области оказывают влияние только зарядно-разрядные процессы в ДЭС. Однако в диапазоне напряжений ~1.2–2 В происходит отклонение расчетных ЦВА от экспериментальных, вероятно, из-за начала реакции Фарадея. При высоких скоростях развертки окислительно-восстановительная реакция не успевает протекать, а при низких она может произойти. Таким образом, применение математической модели к экспериментальным ЦВА-кривым позволяет выявить наличие реакций Фарадея.
В работах [58, 59] были обобщены исследования по влиянию пористой структуры электродов на электрохимические характеристики суперконденсаторов.
1.5 Влияние соотношения размеров ионов и молекул с размерами пор
Основным механизмом работы ДСК является заряд–разряд ДЭС в угольном электроде. В [60] наблюдаемая емкость Cobs (Ф/г) была проанализирована и поделена на две части: на емкость за счет поверхности микропор Smicro и на емкость, определяемую поверхностью более крупных пор (в основном мезопор), которая была названа внешней поверхностью Sext:
Cobs = Cext × Sext + Cmicro × Smicro, (14)
где Cmicro и Cext являются емкостями, приведенными на 1 м2 для области микропор и более крупных пор, соответственно уравнению (14):
. (15)
Это предполагает линейную зависимость между параметрами (Сobs /Sext) и (Smicro /Sext), оба из которых определяются экспериментально. На рис. 5 показаны соответствующие зависимости для различных активированных углей, охватывающих широкий спектр величин SBET, Smicro и Sext, где SBET – площадь удельной поверхности, полученная методом ВЕТ. На одних и тех же углях измерялась емкость в неводных (a) и водных (б) электролитах (1 М TEMABF4 /PC и 1 М H2SO4, соответственно) при разных плотностях тока 100 и 1000 мА/г. Было показано, что для водного электролита при токе 100 мА/г С = 0.12 Smicro + 0.29 Sext, а при токе 1000 мА/г С = 0.10 Smicro + 0.28 Sext, в то время как для неводного электролита при токе 100 мА/г С = 0.05 Smicro + 0.20 Sext, а при токе 1000 мА/г С = 0.03 Smicro + 0.20 Sext.
Рис. 5. Зависимости соотношения Cobs / Sext от соотношения Smicro /Sext для различных АУ для неводного (а) и водного (б) электролитов и плотностей тока 100 и 1000 мА/г [60].
Соотношения между Сobs /Sext и Smicro /Sext хорошо аппроксимируются линейной зависимостью как для водных, так и для неводных электролитов для двух плотностей тока [60]. Результаты показывают, что вклад микропор и мезопор в измеряемую емкость, т.е. Cmicro и Cext, отличаются в водных и неводных электролитах. В неводных электролитах величина Cext не изменяется при изменении плотности тока и остается около 0.2 Ф/м2, но Cmicro очень мала (0.04 Ф/м2) и уменьшается с ростом плотности тока. В водном электролите, с другой стороны, Cext почти постоянна на уровне 0.3 Ф/м2 с быстрым ростом при низкой плотности тока менее 100 мА/г; однако Cmicro постепенно уменьшается при увеличении плотности тока. Cmicro в неводных электролитах намного меньше, чем в водных (около 0.04 и 0.1 Ф/м2 соответственно), а величины Cext приблизительно равны 0.2 и 0.3 Ф/м2 соответственно. Эти результаты становятся понятными при учете того факта, что размеры протона H+ в водном электролите намного меньше, чем размеры катиона TEMA+ в неводном электролите.
1.6 Влияние функциональных поверхностных групп (ПГ) на характеристики ДСК
Известно, что в активированных углях содержится большое количество функциональных поверхностных групп [61, 62], например:
Эти ПГ встроены в углеродные шестигранники АУ. Данные по исследованию химии поверхности активированных углей АГ-3 и СКТ-6А были получены по стандартизованному методу Боэма [54, 63, 64]. Из этих данных видно, что на поверхности обеих марок углей преобладают основные группы, причем на АУ СКТ-6А их в 2 раза больше, чем на угле АГ-3. На угле СКТ-6А отсутствуют фенольные группы, а на угле АГ-3 карбоксильные и фенольные группы. В [62] были получены концентрации гидроксильных, карбоксильных и лактонных функциональных поверхностных групп (ПГ) исходного и окисленного АУ Norit DLC Supra 30. Было установлено, что окисление АУ привело к существенному увеличению концентрации ПГ в основном за счет гидроксигрупп. Для ДСК наличие ПГ на поверхности ВДУМ электродов влияет на электрохимию межфазного состояния углеродной поверхности и на свойства ДЭС, которые включают: смачиваемость, потенциал нулевого заряда, электрическое контактное сопротивление, адсорбцию ионов (емкость), и на характеристики саморазряда. Многие ПГ активированных углей обладают ионообменными свойствами (табл. 3).
Таблица 3. Катионообменная и анионообменная емкость АУ [65]
Активированные угли | Катионообменная емкость, ммоль/г | Анионообменная емкость, ммоль/г |
Norit | 0.56 | 0.20 |
CH900 | 0.06 | 0.70 |
Таким образом, активированные угли обладают как катионообменными, так и анионообменными свойствами, т.е. являются электроно–ионообменниками, в отличие от ионообменных мембран и смол, которые являются только ионообменниками. Угли легко хемосорбируют на воздухе молекулярный кислород окружающей среды. Хемосорбция кислорода увеличивается с ростом температуры и формирует различные ПГ на углеродной поверхности, например –СООН, =СО, хинон-гидрохинонные и другие. Углерод-кислородные комплексы являются наиболее важными ПГ на углях [66]. Виды ПГ сильно зависят от прекурсоров и условий подготовки углеродного материала. После электрохимического окисления графита на его поверхности увеличивается концентрация сильных и слабых кислотных групп, что было установлено методом титрования. Предварительное электрохимическое окисление приводит к возрастанию емкости графита и АУТ. Из данных импедансных измерений была рассчитана емкость: 160 Ф/г для электродов без окисления и 220 Ф/г для электродов после окисления. Добавочный вклад в суммарную емкость обусловлен псевдоемкостью редокс-реакций поверхностных групп.
Кислородные ПГ влияют на стационарный потенциал АУ, который, как оказалось, пропорционален логарифму содержания кислорода или концентрации кислых поверхностных групп. Угли с высоким стационарным потенциалом вызывают нежелательно высокое напряжение при заряде, и это может привести к газовой генерации.
Следует также учитывать, что при накоплении заряда на угольных электродах поверхностные функциональные группы вносят вклад в основную емкость; они могут быстро заряжаться и разряжаться и приводить к существенному росту псевдоемкости.
Одним из примеров обратимых редокс-реакций функциональных ПГ, вносящих вклад в псевдоемкость угольных электродов, является восстановление–окисление циклической диацилпероксидной группы до двух карбоксильных групп по следующей реакции:
Наиболее распространенными являются кислородсодержащие [67, 68] и азотосодержащие [69–74] ПГ, хотя существуют и серосодержащие, борсодержащие [75–77] и другие ПГ. Кислородсодержащие функциональные группы образуются при обычной активации и независимо получаются на поверхности при окислении углерода кислородом или HNO3 и в результате электрохимического окисления. Внедрение кислорода вредно для углеродных материалов, использующихся в неводных растворах электролитов, потому что они оказывают неблагоприятное воздействие на надежность конденсаторов в отношении стабильности напряжения, саморазряда, тока утечки, и др. И наоборот, кислородсодержащие ПГ увеличивают общую емкость в водном растворе электролита, например в большинстве случаев, в растворах H2SO4, генерируя псевдоемкость.
1.7 Влияние редокс-реакций функциональных поверхностных групп на КПД по энергии ЭХСК
В [78, 79] было обнаружено влияние редокс-реакций функциональных поверхностных групп на КПД по энергии (это отношение энергии разряда к энергии заряда) ЭХСК на основании измерений гальваностатических кривых с электродами на основе ВДУМ. Здесь следует подчеркнуть важный факт, что КПД по энергии ДСК не лимитируется поляризацией электродных реакций, в отличие от аккумуляторов, а ограничивается только омическими потерями энергии. Поэтому в принципе КПД ДСК может приближаться к 100%. Величины удельной энергии, емкости АУЭ на основе АУ Norit были рассчитаны из соответствующих экспериментальных гальваностатических кривых, т.е. из зависимостей напряжения от времени разряда и заряда.
На рис. 6 представлены экспериментальная (2) и теоретическая (1) зависимости КПД от тока для симметричного ЭХСК (с двумя одинаковыми электродами) на основе АУ Norit [78]. Как видим, эти зависимости имеют колоколобразный вид. Из этих зависимостей видно, что величина КПД при движении в сторону больших токов сначала возрастает, затем достигает максимума КПД (около 90%), а затем уменьшается. Это объясняется тем, что при малых токах в суммарную емкость вносит заметный вклад псевдоемкостной (аккумуляторный) процесс, у которого КПД мал вследствие поляризации электродной реакции, а при больших токах проявляются омические потери. При средних же токах имеет место практически только заряжение ДЭС без псевдоемкостных процессов и омических потерь. Поскольку заряжение ДЭС является обратимым процессом, то и КПД этого процесса максимален. Эта зависимость важна для практики применения ЭХСК для сглаживания пиковых нагрузок электрических сетей, поскольку в этом случае нужно стремиться работать в области максимального КПД.
Рис. 6. Теоретическая (1) и экспериментальная (2) зависимости КПД от тока для ЭХСК на основе АУ Norit [78].
В [78] была развита математическая модель, учитывающая как заряжение ДЭС, так псевдоемкость редокс-реакций ПГ. Из рис. 6 видно, что рассчитанная таким образом зависимость КПД от тока близка к экспериментальной, что подтверждает принятый механизм работы ЭХСК.
Из [78] также следует, что емкость возрастает с уменьшением тока. В области больших токов возрастание достаточно медленное; оно обусловлено снижением омических потерь. Однако при малых токах имеет место резкое возрастание емкости до величин 170 и 240 Ф/г соответственно для разряда и заряда. Это обусловлено появлением существенного вклада псевдоемкости редокс-реакций поверхностных групп.
Влияние редокс-реакций ПГ было также исследовано в суперконденсаторе на основе близкой по свойствам к АУ сажи KJEC600 с неводным электролитом: 1 М раствор LiPF6 в смеси этиленкарбонат (1/3), диэтилкарбонат (1/3), диметилкарбонат (1/3) [79]. Этот электролит позволяет поляризовать электроды до потенциала не менее 4.1 В относительно Li [79]. На рис. 7 приведены измеренные МЭКП в октане и в воде интегральные кривые распределения пор по эффективным радиусам r *.
Рис. 7. Интегральные кривые распределения пор по эффективным радиусам, измеренные для сажи KJEC600 МЭКП в октане (1) и в воде (2) [79].
Из этого рисунка видно, что пористость по октану существенно больше, чем пористость по воде, что говорит о наличии как гидрофильных, так и гидрофобных пор. Величины полной пористости по октану – 7.8 см3/г, гидрофильной пористости – 4.9 см3/г, гидрофобной пористости 2.9 см3/г. Интересно, что в области мелких пор с r ~ 10 нм эти кривые пересекаются, т.е. кривая по воде сдвинута в сторону меньших величин r * = r /cos θ по сравнению с октановой кривой, где r – истинный радиус пор, а θ – краевой угол смачивания в воде. Поскольку октан практически идеально смачивает все материалы, то для него θ ~ 0; следовательно, это пересечение означает, что данный материал (KJEC600) смачивается водой еще лучше, чем октаном. Это явление можно назвать “супергидрофильностью”. Его можно объяснить наличием большого количества поверхностных групп, которые гидратируются в воде, что приводит к набуханию материала. Из данных порометрических кривых согласно [12, 13] были рассчитаны величины площади удельной поверхности по октану (2500 м2/г) и воде (2600 м2/г) (см. табл. 2).
На рис. 8 представлены гальваностатические зарядные и разрядные кривые для суперконденсатора KJEC600/Li для разных удельных токов [79]. Из этих кривых была рассчитана зависимость КПД по энергии от разрядного тока (рис. 9). Как видим, эта зависимость имеет максимум, как и у кривой на рис. 6 для АУ Norit, измеренной в водном электролите 1N LiClO4. Наличие этого максимума объяснено выше. В [79] было осуществлено математическое моделирование, которое учитывает оба этих процесса. Из сопоставления рассчитанных и измеренных зарядноразрядных кривых, приведенных на рис. 8, видно, что эти кривые вполне удовлетворительно согласуются между собой, что может говорить о корректности модели. Найденные с помощью фитинга плотность тока обмена и удельная емкость ДЭС на истинную поверхность оказываются равны соответственно i0, ad = 3.6 · 10–29A/см2 и Cdl = 4.7 мкФ/см2. Столь малые токи обмена начинают играть заметную роль при достижении значительных перенапряжений, что видно по изменению наклона кривых заряжения.
Рис. 8. Гальваностатические зарядные и разрядные кривые для суперконденсатора KJEC600/Li при удельных токах 500 мА/г, 1000 мА/г и 2500 мА/г [79].
Рис. 9. Зависимость КПД по энергии от разрядного тока для суперконденсатора KJEC600/Li в неводном электролите [79].
1.8 Электролиты, используемые в ДСК
Согласно разделу 1.2, для получения высокой удельной энергии используемые в ДСК электролиты должны иметь максимально высокое напряжение разложения и широкую рабочую область потенциалов. Кроме того, они должны обладать устойчивостью в области температур от –30 до +70°С. Основными недостатками водных электролитов являются: низкое разрядное напряжение, узкая рабочая температурная область, высокая коррозионная активность. Неводные жидкие электролиты имеют более высокое напряжение разложения (>2.3 В), широкие области рабочих температур, высокую коррозионную устойчивость. К их недостаткам относятся низкая электропроводность и небольшие величины удельной емкости углеродных электродов, необходимость тщательной изоляции от внешних воздействий, высокая стоимость. Однако ДСК с водными электролитами имеют более высокую общую емкость, чем с неводными электролитами.
Емкость ДСК с неводными электролитами увеличивается с уменьшением размера ионов [2]: BF4– > PF6– > Et4N– > В4N– > B4N–.
В качестве растворителей для органических жидких электролитов применяются: ПК [51, 86–88], ГБЛ [58, 89], N-N-диметилформамид [58], этиленкарбонат [89], сульфолен, 3–метилсульфолен [88]. LiClO4 применяется как растворенное вещество в органических жидких электролитах. Высокой электропроводностью обладают четвертичные аммонийные соли. Et4NBF4/ПК наиболее часто используется в качестве органического жидкого электролита для ДСК. ДС емкость для активированного угля в растворе четвертичных аммонийных солей составляет ~130–150 Ф/г [83].
Электрохимические свойства органических электролитов на основе четвертичных аммонийных солей зависят от химических структур трех компонентов: растворителя, катиона и аниона [86, 90]. Электропроводность симметричных тетраалкиламмонийных солей с различными анионами снижается в следующем ряду [84]:
Для катионов: Et4N+ > Pr4N+ > Bu4N+ > Li+ > > Me4N+.
Потенциал восстановления Et4NBF4/РС (пропиленкарбонат) ограничивается разложением Et4N+ и РС. Многие растворители имеют подобный ограничивающий потенциал 3 В (с. к. э.), который связан с разложением катиона Et4N+. Были исследованы свойства электролитов, основанных на циклических ароматических солях имидазола [2]. Они имеют высокую электропроводность (>20 мСм/см), широкую область электрохимической стабильности (>3.5 В), высокую растворимость. Ёмкость ДСК с угольными электродами и электролитами из солей имидазола составила около 125 Ф/г [2]. Часто в ЭХСК в качестве неводных электролитов с относительно высокой электропроводностью используются электролиты с растворителем ацетонитрилом. Недостаток ацетонитрила – его высокая токсичность.
Среди неводных электролитов особое место занимают так называемые ионные жидкости (ИЖ), представляющие собой органические соли, жидкие при комнатной или близкой к ней температуре. Они состоят из большого органического катиона и существенно меньшего по размерам неорганического или органического аниона. По сравнению с обычными электролитами ИЖ не содержат растворителя. Повышенное внимание к ионным жидкостям обусловлено наличием у них таких свойств, как широкий интервал жидкого состояния (>300°С); некоторые ионные жидкости характеризуются относительно высокой ионной проводимостью [>10–4 (Ом см)–1] и широким окном потенциалов, негорючестью, способностью функционировать в высокотемпературных режимах, которые не достижимы для других жидких электролитов, нелетучестью (очень низкое давление паров) и взрывобезопасностью; большинство ИЖ нетоксичны. В ряде работ исследовали применение ионных жидкостей в качестве электролитов суперконденсаторов [80–93]. Наиболее широко используемыми в ЭХСК являются соли имидазолия и пирролидиния, которые облают наиболее высокой электропроводностью, в то время как окно электрохимической стабильности (ОЭС) достигает даже 5 В (однако эти данные получены в основном для гладких электродов); хотя при этом пока не достигнута высокая циклируемость. Видимо, существует пока еще не установленная причина, почему для пористых электродов реальное окно потенциалов существенно меньше. В [80] были разработаны квазитвердотельные углеродные суперконденсаторы с ИЖ (гидросульфат IL-1-этил-3-метилимидазолия (EMIHSO4)) на основе полимерной смеси поливинилового спирта и поливинилпирролидона и были получены высокая удельная емкость 485 Ф/г и удельная энергия 24.3 Вт ч/кг с длительной циклической работой до 5000 циклов при ОЭС 1.6 В.
Для получения высокой емкости ЭХСК с ИЖ должны иметь достаточно большой объем мезопор с размерами, большими, чем размер крупных катионов ИЖ. Однако, с другой стороны, емкость ДСК пропорциональна удельной поверхности. Следовательно, удельная поверхность углеродных пористых электродов должна определяться именно мезопорами, а не микропорами. В [82] были разработаны ЭХСК с АУ-электродами и с электролитом на основе ИЖ, АУ-электроды на основе биомассы обладали сверхвысоким объем мезопор 1.85 см3/г и площадью удельной поверхности 1771 м2/г. Была получена емкость ДЭС до 188 Ф/г при плотности тока 1 А/г, высокая удельная энергия 80 Вт ч/кг и удельная мощность 870 Вт/кг с длительной циклической работой до 5000 циклов при окне ОЭС 2.7 В. В [83] сообщается о достижении в ЭХСК с ИЖ ОЭС до 4.0 В, удельной энергии 20 кВт ч/кг и удельной мощности 3.1 кВт/кг при циклируемости до 1000 циклов. Как видим, большая величина ОЭС была достигнута при невысокой циклируемости. В [88] была развита теория для описания влияния небольшого количества воды, растворенной в ионной жидкости вблизи поверхности электрода. Были описаны короткодействующие взаимодействия между ионами, молекулами воды и электродом. Было исследовано: (1) специфическое взаимодействие ионов и молекул с электродом, которое отвечает за их специфическую адсорбцию; (2) гидрофильность/гидрофобность ионов. Получены изотермы электросорбции в зависимости от падения потенциала в ДЭС. Было рассчитано влияние электросорбции воды на дифференциальную емкость ДЭС. Эта интересная работа, являющаяся практически первой в области теории ДСК с ИЖ, представляет существенный интерес, однако она развита для гладких электродов и не учитывает влияние пористой структуры реальных ДСК, что нам представляется важным, поскольку на практике для ДСК с пористыми электродами не удается получить максимальных величин ОЭС.
1.9 Нанопористые угли, полученные разными методами
1.9.1 Активированные угли (АУ)
АУ являются одними из наиболее распространенных электродных материалов для ЭХСК [1, 2, 9, 10, 94–100]. Обычно АУ получают в процессе карбонизации и последующей активации целого ряда природных и синтетических углеродсодержащих материалов. Для приготовления АУ могут быть использованы растительное и животное сырье (древесина, сахар, кокос, скорлупа орехов, фруктовые косточки, кофе, кости и др.), минеральное сырье (торф, угли, пек, смола, кокс), синтетические смолы и полимеры. В ходе карбонизации происходит разложение исходных веществ (прекурсоров) и удаление неуглеродных элементов. В процессе газовой активации водяным паром, диоксидом углерода и кислородом при температурах 500–900оС имеет место окисление, выгорание части неорганизованного углерода и элементарных кристаллитов и формирование развитой пористой структуры частиц АУ. Применяют также жидкофазную активацию с применением щелочи и азотной кислоты. В зависимости от технологии изготовления измеренная методом БЭТ удельная площадь поверхности активированных углей находится в очень широком диапазоне ~ от 500 до 3000 м2/г. АУ содержат три вида пор: микропоры, мезопоры и макропоры, причем наибольший вклад в величину площади удельной поверхности вносят микропоры, а затем мезопоры (см. раздел 1.4). Одновременно с изменением пористой структуры углеродных материалов в ходе их обработки происходит формирование химической поверхностной (двумерной) структуры и изменение электрофизических характеристик. Химический состав поверхности АУ, их электрофизические характеристики и пористая структура оказывают важнейшее влияние на электрохимические и емкостные свойства ЭХСК. Величины удельной емкости за счет заряжения ДЭС обычно находятся в пределах от 50 до 200 Ф/г. С увеличением тока для гальваностатических кривых и скорости развертки потенциала для ЦВА происходит уменьшение емкости.
Обычно угольные электроды в водных растворах циклируют в диапазоне потенциалов от 0 до 1 В (о. в. э.). Нижний предел потенциалов обусловлен выделением водорода на металлических токоотводах, а верхний предел – окислительной коррозией угля. В [99, 100] при исследовании электродов на основе активированного угля ADG и активированных угольных тканей (AУТ) CH900–20 и ТСА были применены графитовые токоотводы. Это позволило циклировать эти электроды в максимальном диапазоне потенциалов от –1 до 1 В (о. в. э.), вследствие высокого перенапряжения выделения водорода на графите и угле. Данные, полученные методом ЦВА, для более наглядного представления применительно к емкостным свойствам, особенно измеренные при разных скоростях развертки потенциала (w), удобно представлять в виде вольт-фарадных кривых, построенных в координатах дифференциальная емкость (С) – потенциал (E), где С = I dτ /dE = I/w, I – ток, w = dE/dτ, τ – время.
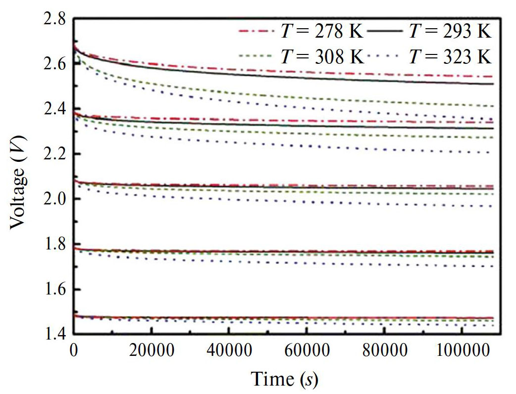
На рис. 10 для АУТ СН900 приведено сравнение циклических вольт-фарадных кривых, измеренных в 48.5% H2SO4 при разных величинах w в двух областях потенциалов: в области обратимости (от 0.25 до 0.8 В) и в области глубокого заряжения (от –0.5 до 0.8 В). Из кривой 4, измеренной в области обратимости, следует, что здесь имеет место практически только заряжение ДЭС. Из этой кривой следует, что величина емкости ДЭС равна 170 Ф/г. В области отрицательных потенциалов (< –0.1 В) (кривые 1–3) наблюдается протекание фарадеевских процессов с очень большой псевдоемкостью.
Рис. 10. Вольт-фарадные циклические кривые для АУТ СН900. Скорости развертки потенциалов 0.5 (1), 1.0 (2) и 2.0 мВ/с (3, 4) [100].
Методом гальваностатических кривых была измерена зависимость величины количества электричества Q в 40.3% H2SO4 после длительного заряда при потенциале Е = –250 мВ. Величина Q очень быстро возрастала при очень малых временах заряда в секунды и минуты, и далее продолжала очень медленно возрастать в течение многих десятков часов. Такой очень медленный рост можно объяснить очень медленной диффузией атомов водорода. Известно, что наиболее низкие коэффициенты диффузии имеют место в твердой фазе, на порядки ниже, чем в жидкой фазе. В связи с этим было предположено, что протекание процесса интеркаляции водорода в углерод АУ контролируется замедленной твердофазной диффузией водорода. Было показано, что при глубоком катодном заряжении АУ в процессе интеркаляции водорода в углерод образуется соединение СхН, а в пределе – С6Н. Было установлено, что сопротивление АУ-электрода возрастает со временем глубокого катодного заряжения. Эта зависимость объясняется изменением химического состава твердой фазы электрода в процессе заряжения: от С к СхН, а в пределе до С6Н. Максимальный удельный заряд – 1560 Кл/г, что соответствует удельной емкости 1110 Ф/г, – был получен после заряда в течение 22 ч при потенциале E = –0.31 В (о. в. э.) в 56.4% H2SO4. Эта величина емкости намного превосходит соответствующие величины, полученные в литературе для углеродных электродов. Как указано выше, удельный заряд, обусловленный заряжением ДЭС, для СН900 равен 240 Кл/г. Разность 1560 Кл/г – 240 Кл/г = 1320 Кл/г. Поскольку, согласно закону Фарадея, для получения соединения С6Н требуется затратить именно 1320 Кл/г, то это доказывает образование в пределе катодного заряжения АУ именно неизвестного ранее соединения С6Н, т.е. гидрида углерода или карбида водорода. Была развита и подтверждена экспериментально математическая модель, описывающая процессы заряда –разряда АУ-электродов и учитывающая заряжение ДЭС, интеркаляцию водорода в углерод и его нестационарную твердофазную диффузию, электродную кинетику, ионный перенос по толщине электрода и характеристики его пористой структуры.
На рис. 11 приведена зависимость максимального удельного заряда СН900 от концентрации серной кислоты для времени потенциостатического заряда 18 ч. Как видим, удельный заряд возрастает с увеличением концентрации серной кислоты. Как известно, в концентрированных растворах серной кислоты происходит ее интеркаляция в графит и в графитоподобные материалы, возрастающая с ростом этой концентрации. При этом происходит расширение щели между графеновыми слоями, куда проникает кислота, и в данном случае имеет место двойная интеркаляция. Серная кислота интеркалирует в АУ, расширяя межслоевое (межграфеновое) пространство, и в это пространство при глубоком катодном заряжении АУ устремляются атомы водорода. Затем они взаимодействуют с графеновыми слоями с образованием в пределе соединения С6Н [99, 100] (гидрид углерода или карбид водорода). В [99, 100] была разработана двумерная математическая модель заряда–разряда ВДУМ, учитывающая заряжение ДЭС, интеркаляцию водорода в углерод, твердофазную диффузию водорода, кинетику Батлера–Фольмера, ионный перенос и распределение потенциала в пористом электроде. На рис. 12 представлен фитинг разрядной кривой для плотности тока 2 мА/см2. Как видим, расчетная кривая близка к экспериментальной, что говорит о корректности принятой математической модели. На основании этого фитинга была получена величина коэффициента твердофазной диффузии водорода в углерод АУ 10–14 см2/с, а также плотность тока обмена интеркаляции водорода 0.5 · 10–8 А/см2.
Рис. 11. Зависимость максимального удельного заряда СН900 от концентрации серной кислоты для времени потенциостатического заряда 18 ч [100].
Рис. 12. Фитинг разрядной кривой для плотности тока 2 мА/см2. I – экспериментальная, II – расчетная кривые [99, 100].
Из рис. 13 следует, что при заряжении-разряжении АУ-электрода АГ-3 в 30% H2SO4 вклад в емкость вносят заряжение ДЭС, псевдоемкость процесса интеркаляции водорода в углерод, а также псевдоемкость редокс- реакций ПГ [100, 101].
Рис. 13. ЦВА-кривые для АУ АГ-3 в 30% H2SO4. Скорости развертки потенциала, мВ/с: 0.5 (1), 1.0 (2), 2.0 (3, 4) [102].
На рис. 14 приведены ЦВА-кривые для АУЭ Norit, исходного, восстановленного и окисленного, при скорости развертки потенциала 5 мВ/с [21]. Как видим, у окисленного угля, обладающего большим количеством ПГ, имеет место существенная псевдоемкость за счет редокс-реакций ПГ.
Рис. 14. ЦВА-кривые для АУЭ Norit, исходного, восстановленного и окисленного, при скорости развертки потенциала 5 мВ/с [63].
1.9.2 Карбидные производные углерода [101–106]
Из различных карбидов металлов (TiC, В4С, SiC и др.) можно изготавливать высоко-микропористые угли путем термообработки при температуре от 400 до 1200°C в потоке Cl2, который растворяет металлы и кремний [101]. SBET составляла 1000–2000 м2/г. Пористая структура этих углей сильно зависит от карбидных исходников (прекурсоров) и температуры термообработки (ТТО). В этих карбид-производных углях до 800°C формируются в основном микропоры, но при нагревании выше 800°C начинают преобладать мезопоры, и как следствие, SBET имеет максимумом при 800°C для большинства углей. С помощью этих карбидных микропористых углей были созданы ЭХСК и изучено их поведение в различных неводных и водных электролитах, а также обсуждались эффекты влияния размеров ионов электролитов и молекул органических растворителей. Для TiC-производных угли были изготовлены при 500–1000°C, в результате чего средние размеры микропор и SBET изменялись от 0.7 до 1.1 нм и от 1000 до 1600 м2/г. В4С производные углерода дали хорошие результаты по скоростям работы в растворе KOH и 86%-ное удержание емкости при изменении скорости развертки потенциала от 2 до 50 мВ/с.
Анализ емкостей карбидных углей (КУ) из SiC (электролит – ионная жидкость) в широком интервале потенциалов показал приблизительную пропорциональность среднеинтегральной удельной емкости и удельной поверхности для КУ-600С и КУ-1500 С. Оценка предельных величин разрядных емкостей при глубоком катодном заряжении дает 1500 Кл/г для SiC-600C и 1250 Кл/г для ТiC-600C. Они согласуются с предельной величиной емкости в 1560 Кл/г (или 1100 Ф/г), полученной ранее для активированной углеродной ткани СН900 (см. раздел 1.9.1). Эта величина обусловлена образованием соединения С6Н.
В [104] были синтезированы карбидные угли на основе TiC с использованием никелевого катализатора. Варьирование количества катализатора позволяло заданным образом изменять пористую структуру карбидного угля. В результате получалась УП в интервале от 1500 до 300 м2/г. В [105] для изготовления прекурсора SiC был применен известный в промышленности метод для производства полиорганосилесквиоксанов с различным соотношением фенильных и винильных функциональных групп, которые затем подверглись пиролизу с получением оксикарбидов кремния. Такие керамические материалы на основе полимера хорошо подходят в качестве прекурсора для карбидных материалов. Удаление кремния и кислорода в результате хлорного травления при 1200оС приводило к образованию нанопористого углерода с УП от 2014 до 2114 м2/г. В результате такие карбидные угли являются привлекательными для электродов суперконденсаторов большой мощности. Для таких ЭХСК при низких скоростях в 1М тетрафторборате тетраэтиламмония в ацетонитриле была получена емкость 116 Ф/г при 5 мА/г и 80 Ф/г при очень высоких скоростях (100 А/г). В последние годы в качестве прекурсора карбидных углей стали использовать WC. В [106] испытания в 1М H2SO4 полученных таким образом ДСК дали довольно высокую удельную емкость 477 Ф/г.
1.9.3 Углеродные нанотрубки
Углеродные нанотрубки являются перспективными для применения в качестве электродных материалов ЭХСК [106–115]. Их отличительными чертами являются не только большая площадь открытой поверхности и разные пространства для хранения ионов электролита, но также высокая электропроводность.
Внешняя поверхность стенок УНТ состоит в основном из базальной плоскости графита. На такой идеальной поверхности, как у УНТ, вследствие высокой поляризации большая емкость ДЭС имеет место при широком окне потенциалов. Большинство из УНТ соединены друг с другом за счет сил Ван-дер-Ваальса, где только внешние трубки в пучке подвергаются воздействию электролита и расслоению пространства между трубками, которое с трудом используется для формирования ДЭС. Внутренняя поверхность нанотрубок в принципе также подходит для проникновения ионов электролита, однако здесь есть определенные ограничения: во-первых, вследствие очень малого внутреннего диаметра (1.3–1.6 нм) большинство ионов не может проникнуть внутрь нанотрубок, во- вторых, из-за гидрофобности внутренней поверхности водные электролиты не смачивают это внутреннее пространство. Межслоевое пространство в стенках многостенных нанотрубок может быть доступным для интеркаляции ионов электролита, таких как Li+. Таким образом, может быть возможной как интеркаляция, так и фарадеевская реакция, генерируя при этом псевдоемкость.
В ряде работ для ДСК на основе ОСУНТ в сернокислотном электролите были получены высокие мощностные характеристики – более 20 кВт/кг при очень высоких плотностях тока до нескольких сотен А/г. Такие высокие мощностные характеристики объясняются регулярной структурой пор, расположенных между отдельными нанотрубками и их тяжами [108]. Регулярность пористой структуры означает практическое отсутствие извилистых и гофрированных пор, а значит, максимальную электропроводность электролита в порах.
Для некоторых тщательно очищенных от примесей ОСУНТ было обнаружено появление на кривых ЦВА характерного участка потенциалов с резким падением емкости, что отличает ОСУНТ от других углеродных материалов [2, 108]. Сравнение средней емкости и емкости в области провала показывает соотношение около 3:1, а ширина области провала около 500 мВ. Анализ возможных объяснений подобного вольт-амперного поведения ОСУНТ показывает прямую корреляцию между наблюдаемым эффектом и полупроводниковыми свойствами нанотрубок. С увеличением концентрации серной кислоты потенциал локализации провала смещается в отрицательную область, приводя к некоторому росту перенапряжения выделения водорода. Благодаря подобному эффекту максимальное напряжение для суперконденсаторов с ОСУНТ-электродами в серной кислоте может достигать 1.4 В. Для того, чтобы использовать внутреннюю поверхность ОСУНТ, было проведено раскрытие отверстий на концах трубок путем окисления. Если внутренняя поверхность открытых ОСУНТ может быть полностью использована для формирования ДЭС, то в пределе емкость должна удваиваться. При оптимизации условий окисления супер-ОСУНТ были получены SBET более 2000м2/г, а суперконденсатор, использующий TEABF4/PC, дал очень высокие величины удельной энергии (24.7 Вт ч/кг) и удельной мощности (98.9 кВт/кг). Основным недостатком ОСУНТ является их большая дороговизна, которая в ближайшее время не дает возможности их широкого практического применения.
По сравнению с ОСУНТ, свойства суперконденсаторов на основе двухстенных углеродных нанотрубок (ДСУНТ) не были столь часто публикуемы, потому что чистые ДСУНТ очень трудно получить. В принципе ДСУНТ и многостенные углеродные нанотрубки обладают меньшей площадью поверхности для формирования ДЭС по сравнению с ОСУНТ [60, 111, 112]. С другой стороны, было опубликовано множество работ по емкости для МСУНТ, так как они относительно легко синтезируются и значительно дешевле по сравнению с ОСУНТ [2, 114]. В зависимости от методов синтеза и модификаций были получены различные типы МСУНТ с различными величинами удельной поверхности. Их удельные емкости, полученные в водных и неводных электролитах, составляли от 10 до 100 Ф/г. Однако, они не столь велики по сравнению с AУ. С другой стороны, надо отметить, что объемная емкость Cv относительно высока из-за большой объемной плотности МСУНТ. Синтез МСУНТ часто проводится пиролизом этилена с использованием катализаторов, например, Fe–Co.
В [115] отмечается, что емкость ДЭС для водных электролитов ограничивается гидрофобностью микропор и поэтому эта емкость недостаточно велика (93 Ф/г) по сравнению с графенами. Поэтому в последнее время УНТ часто используются в качестве электропроводных дисперсных носителей для неэлектропроводных оксидов металлов или для некоторых электронопроводящих полимеров [111, 112].
В работе [116] сообщается о синтезе и применении в суперконденсаторах многосегментных коаксиальных массивов Au-нанотрубок (УНТ) (см. рис. 15). Эти многосегментные коаксиальные массивы изготавливаются внутри шаблонов из пористого оксида алюминия с использованием комбинации методов электроосаждения, инфильтрации и химического осаждения из паровой фазы. УНТ служат альтернативной добавкой для улучшения электропроводности электродов из оксида марганца в дополнение к характеристикам активного электрода. Результаты показывают, что данные гибридные коаксиальные массивы являются эффективными электродами для применения в суперконденсаторах. В результате были созданы суперконденсаторы с удельной мощностью 33 кВт/кг.
Рис. 15. Принципиальная схема, показывающая устройство суперконденсатора с электродами УНТ/Au. Сегмент Au каждого контактирующего электрода со слоем Cu действует как токосъемник. [116]. Separator – Сепаратор, Cu current collector – Медный токоотвод, CNT/Au electrode –УНТ/золотой электрод (40 мкм), CNT– УНТ
1.9.4 Графены и их производные
Графены были открыты всего около 12 лет назад, за что их создатели получили Нобелевскую премию. И практически сразу были обнаружены замечательные свойства графенов, которые открывают широкие возможности их применения в различных отраслях народного хозяйства, в том числе и в химических источниках тока и в электрохимических конденсаторах, в частности. Единичный слой графенового листа обеспечивает максимальную удельную внешнюю поверхность вплоть до 2675 м2/г, доступную для жидкого электролита. На практике графеновые слои образуют пластинки из нескольких единичных графеновых слоев, в результате чего доступная для электролита поверхность уменьшается. Тем не менее, в последнее время были получены обнадеживающие результаты для ЭХСК с графеновыми электродами. Часто графеновые электроды кроме емкости ДЭС обладают также псевдоемкостью фарадеевских редокс- реакций. Восстановленный оксид графена был получен по модифицированному методу Хаммерса. Согласно этой методике, исходный порошок графита при перемешивании и охлаждении добавлялся в смесь концентрированных серной и азотной кислот, и через некоторое время в эту же смесь добавлялось трехкратное по отношению к графиту количество перманганата калия. Затем к ней добавляли раствор пероксида водорода и через час разбавляли троекратным количеством дистиллированной воды. После отстаивания в течение нескольких часов верхний прозрачный слой декантировали. Взвешенный осадок фильтровали, промывали дистиллированной водой и сушили при комнатной температуре до постоянного веса. В результате получали сухой порошкообразный оксид графита. Его подвергали восстановлению методом быстрого нагревания до температуры 1000оС. В момент восстановления происходило расслоение материала с многократным увеличением его объема (эксфолиация). Конечный продукт представлял собой порошок из тонких нанослоев, содержащих от 1 до 10 графеновых монослоев в пластинке (см. рис. 16), которые имели разброс по размерам от 1 до 10 мкм в латеральном направлении. На рис. 17 приведено схематическое изображение графеновых слоев оксида графена.
Рис. 16. ТЭМ-микрофотография оксида графена [2].
Рис. 17. Схематическое изображение графеновых слоев оксида графена [2].
Графеновые монослои группируются в агломераты, между которыми образуются поры с широким (в 4–5 порядков) спектром размеров: микропоры, мезопоры и макропоры. В последнее время в качестве перспективных электродных материалов для ЭХСК стали использовать графены и их производные [117–133].
Графеновые электроды отличаются высокой обратимостью зарядно-разрядных процессов. В [60] показано, что при изменении на порядок удельного тока емкость почти не изменилась. Было также установлено, что в течение 500 циклов емкость практически оставалась постоянной.
В [132] было установлено, что оксид графена обладает протонной проводимостью, а в [133] на этом основании был изготовлен суперконденсатор, состоящий из сепаратора из оксида графена и двух электродов на основе восстановленного оксида графена. В [131] были получены новые нанокомпозиты на основе частиц сульфида кобальта (Co3S4), в форме нанолистков из композита (УНТ) / ВОГ. В качестве оптимального электрода был выбран электрод rGO100-CNT50-Co3S4, который показал отличные электрохимические характеристики со сверхвысокой удельной емкостью 977 Ф/г при 1 А/г и замечательную возможность увеличения скорости до 63% после увеличения плотности тока в 40 раз. При этом получена максимальная плотность энергии 43.5 Вт ч/кг и удельная мощность до 6.9 кВт/кг.
В работе [3] в качестве электродного материала для ДСК был изготовлен тиол-функционализированный, легированный азотом, восстановленный оксид графена. Такой суперконденсатор продемонстрировал высокую плотность энергии/мощности 206 Вт ч/кг (59.74 Вт ч/л)/496 Вт/кг при плотности тока 0.25 А/г) и высокую плотность мощности/энергии 32 кВт/кг (9.8 кВт/л)/9.58 Вт ч/кг при плотности тока 50 А/г). Он работал в широком диапазоне напряжений 0–4 В с превосходной циклической стабильностью более 20 000 циклов. В качестве электролита использовалась ионная жидкость EMIMBF4.
Суперконденсаторы известны своими свойствами быстрого заряда-разряда, часто в десять-сотни раз быстрее, чем аккумуляторы. Тем не менее, по-прежнему существует спрос на суперконденсаторы с еще более быстрыми характеристиками заряда-разряда, чтобы соответствовать требованиям новых технологий. Мощность и скорость у ЭХСК сильно зависят от морфологии материалов их электродов. Идеальной является электропроводящая трехмерная пористая структура, обладающая большой УП для доступа ионов. Используя вспышку света, в [5] был разработан метод создания тесно взаимосвязанных трехмерных графеновых архитектур с большой площадью поверхности и хорошей проводимостью. Преобразованный флэш-графен синтезируется путем восстановления лиофилизированного оксида графена с использованием обычной фотовспышки в качестве фототермического источника. Такой флэш-графен используется в суперконденсаторах типа “таблетка”. Электроды изготавливаются с использованием флэш-преобразования предварительного покрытия или флэш-преобразования оксида графена после нанесения покрытия. Оба метода позволяют получать суперконденсаторы сверхвысокой мощности (500–700 кВт/кг). Более того, оптимизированные суперконденсаторы сохраняют >50% своей емкости при работе при сверхвысокой плотности тока до 220 А/г.
В работе [6] представлен эффективный метод получения высокопроводящих, гибких пористых углеродных тонких пленок, изготовленных путем химической активации восстановленной бумаги из оксида графена. Эти гибкие углеродные тонкие пленки обладают очень высокой УП (2400 м2/г) при высокой электропроводности в плоскости (5880 См/м). ДСК, содержащий такие углеродные пленки в качестве электродов, продемонстрировал очень высокую высокочастотную характеристику, чрезвычайно низкое эквивалентное последовательное сопротивление порядка 0.1 Ом и выдачу очень высокой мощности около 500 кВт/кг. Хотя сообщалось о более высоких значениях частоты и мощности для графеновых материалов, это самые высокие значения, достигнутые при одновременном сохранении очень высокой удельной емкости и плотности энергии 120 Ф/г и 26 Вт ч/кг соответственно.
В [7] представлен простой и недорогой метод получения иерархически пористого углерода на основе графена из источника биомассы. Трехмерные (3D) углеродные материалы на основе графена были получены путем последовательных стадий, таких как формирование и трансформация полимеров на основе глюкозы в 3D-пеноподобные структуры и их последующая карбонизация с образованием соответствующих макропористых углей с тонкими углеродными стенками на основе графена и поперечными углеродными каркасами. Затем была проведена физическая и химическая активация этого угля для создания микро- и мезопор, тем самым производя иерархически пористые угли на основе графена, полученные из биомассы, с очень высокой УП по БЭТ (3657 м2/г). Благодаря своей исключительно высокой УП, взаимосвязанным иерархическим сетям пор и высокой степени графитизации, этот уголь продемонстрировал высокую удельную емкость 175 Ф/г в электролите в виде ионной жидкости (ИЖ). Суперконденсатор, изготовленный с использованием этого угля, показал максимальную плотность энергии 74 Вт ч/кг и максимальную плотность мощности 408 кВт/кг. Такой подход открывает перспективы для недорогого и легко масштабируемого производства высокоэффективных электродных материалов для суперконденсаторов.
В работе [4] описывается композитная пленка из графена и одностенных углеродных нанотрубок (ОСУНТ), приготовленная в процессе смешивания, для использования в качестве электродов в суперконденсаторах с высокой плотностью энергии. Удельные емкости 290.6 Ф/г и 201.0 Ф/г были получены для одного электрода в водном и органическом электролитах, соответственно, с использованием более практичной испытательной системы с двумя электродами. В органическом электролите плотность энергии достигла 62.8 Вт ч/кг, а удельная мощность 58.5 кВт/кг. Добавление одностенных углеродных нанотрубок повысило плотность энергии на 23% и плотность мощности на 31% по сравнению с графеновыми электродами. Электроды графен/УНТ продемонстрировали сверхвысокую плотность энергии 155.6 Вт ч/кг в ионной жидкости при комнатной температуре. Кроме того, удельная емкость увеличивалась на 29% после 1000 циклов в ионной жидкости, что свидетельствует об их отличной цикличности. ОСУНТ действовали как проводящая добавка, разделитель и связующее вещество в суперконденсаторах типа графен/УНТ. Эта работа предполагает, что данные суперконденсаторы графен/УНТ могут быть сравнимы по производительности с никель- металлогидридными аккумуляторами и перспективны для применения в гибридных транспортных средствах и электромобилях. На рис. 18 приведены измеренные в данной работе ЦВА-кривые для УНТ, графенов и композита графен + УНТ. Как видим, во- первых, все эти кривые равновесные, поскольку форма всех этих кривых близка к прямоугольной, и во-вторых, наибольшая емкость получена для композита графен + УНТ.
Рис. 18. ЦВА-кривые суперконденсаторов на основе УНТ, графена и УНТ + графен для скорости развертки потенциала 10 мВ/с [4].
2. САМОРАЗРЯД СУПЕРКОНДЕНСАТОРОВ
В разделе 1 были подробно перечислены преимущества суперконденсаторов перед аккумуляторами. Однако существенным недостатком ЭХСК является их относительно быстрый саморазряд, выражающийся в снижении напряжения и запасенной энергии после заряжения и размыкания внешней электрической цепи [134–136]. В подавляющем большинстве публикаций, посвященных ЭХСК (а их уже многие тысячи), в рекламных целях отсутствует упоминание о саморазряде, поэтому очень важным является систематическое исследование этого отрицательного явления и выработка мер, снижающих скорость саморазряда, а значит, способствующих расширению применения ЭХСК в различных областях народного хозяйства и обороны.
В [137, 138] предположено, что явление саморазряда свидетельствует о том, что ЭХСК находится в неравновесном состоянии и стремится к термодинамическому равновесию. Был сделан вывод о том, что саморазряд – это неизбежная проблема для ЭХСК с углеродными электродами. В работах [139, 140] было установлено, что скорость саморазряда зависит от таких факторов, как начальное напряжение, температура, продолжительность заряда и предыстория.
2.1 Способы исследования саморазряда суперконденсаторов
На рис. 19 приведены кривые профилей саморазряда, т.е. зависимости изменения напряжения от времени для разных начальных напряжений для коммерческих ЭХСК марки Supercup с ацетонитрильным, т.е. неводным, электролитом [140].
Рис. 19. Зависимости [U(t) – U(0)] от времени, где U(0) – начальное напряжение, U(t) – текущее напряжение для коммерческого ЭХСК марки Supercup с ацетонитрильным электролитом [140]. (Обозначения: U – напряжение, V – вольт).
Из этого рисунка видно, что скорость снижения напряжения со временем после размыкания электрической цепи, характеризующая саморазряд, возрастает с увеличением начального напряжения U(0). В работе [140] была развита простая математическая модель, объясняющая механизмы спада напряжения и токи утечки. Было также показано, что саморазряд увеличивается при повышении температуры.
Другим способом исследования саморазряда является измерение тока утечки, которое заключается в задании определенного напряжения ЭХСК и измерении изменения тока во времени. Обычно через какое-то, часто длительное время, эта падающая зависимость выходит на плато, которое характеризует ток утечки. Чем больше величина тока утечки, тем больше саморазряд. На рис. 20 приведены зависимости токов утечки при различных напряжениях с течением времени: (a) – 1 В и (б) – 1.2 В [141].
Рис. 20. Токи утечки при различных напряжениях с течением времени: (a) –1 В, (b) – 1.2 В [141]. (Обозначение: Pure – чистый образец, т.е. без добавок)
В [141] было проведено сравнительное электрохимическое исследование ЭХСК, содержащего водный электролит 1 М Li2SO4 и ЭХСК с жидкокристаллической (ЖК) добавкой 2% 4-n-пентил-4'-цианобифенил (5CB). В результате было показано, что ЭХСК, содержащий ЖК-добавку 5CB, проявляет пониженный саморазряд и меньший ток утечки без ущерба для емкостных характеристик при различных исходных напряжениях по сравнению с поведением устройства без 5CB. Объяснение этих различий в саморазряде заключалось в более медленной диффузии ионов, которая затрудняет саморазряд и снижает ток утечки. Ток утечки пропорционален скорости фарадеевской реакции. Скорость переноса электрона зависит от потенциала редокс-реакции. Согласно уравнению Тафеля, скорость фарадеевской реакции экспоненциально связана с перенапряжением и приводит к тому, что ток утечки увеличивается экспоненциально с увеличением напряжения. В идеале, при отсутствии фарадеевских реакций ток утечки равен нулю. При этом емкость равна емкости ДЭС.
В целом ряде работ саморазряд исследовался методом электрохимического импеданса [142–149]. На рис. 21 приведены измеренные и вычисленные частотные зависимости импеданса для ЭХСК с применением ультратонкого блокирующего слоя электроосажденного поли (п-фениленоксида) (PPO) для уменьшения саморазряда [143].
Рис. 21. Измеренные (measured) и вычисленные (simulated) частотные характеристики импеданса СК с РРО (w) и без РРО (wо) [143].
Эти зависимости рассчитывались путем использования эквивалентной электрической схемы, изображенной на рис. 22.
Рис. 22. Электрическая эквивалентная схема для ЭХСК, где Ceq – ДЭС, Rs – последовательное сопротивление, Rp – параллельное сопротивление [143].
Из рис. 21 видно, что применение блокирующего слоя приводит к увеличению импеданса в диапазоне частот от 10–2 до103 Гц.
2.2 Механизмы саморазряда
На основании многочисленных исследований ЭХСК с различными углеродными материалами были установлены следующие механизмы саморазряда.
2.2.1. Перераспределение катионов и анионов в пористом электроде по толщине и по порам разных размеров [150–152]
Длительное заряжение позволяет ионам равномерно распределяться по порам разных размеров и по толщине электродов, и поэтому падение напряжения в период покоя (холостого хода) после заряжения существенно снижается. Данная модель способна предсказывать влияние продолжительности заряжения, начального напряжения и температуры на спад напряжения холостого хода [150–162]. Перераспределение заряда обусловлено разницей в доступности ионов к внутренней поверхности электрода. При более высоком начальном напряжении ЭХСК демонстрируют больший саморазряд, однако при достаточно длительном времени предварительного удержания заряда скорость саморазряда мала.
2.2.2. Челночный перенос ионов – продуктов редокс-реакций с одного электрода на другой и обратно [1, 152, 158–163]
Распространенным случаем такого челночного переноса является процесс, обусловленный наличием в электролите примесей ионов железа. Ионы Fe+3 путем электромиграции переносятся на отрицательный электрод, на котором они восстанавливаются до Fe+2; затем они мигрируют на положительный электрод, на котором окисляются до Fe+3, и т. д. Источником ионов железа в электролите в основном является зола или коррозия корпуса ЭХСК. В [162] было исследовано влияние на саморазряд аналогичного челночного механизма, обусловленного многовалентными ионами марганца и титана. Ионы переменной валентности могут содержаться не только в виде примесей в электролите, а также в виде противоионов поверхностных групп (ПГ) в АУ. Челночный перенос ионов может ограничиваться на разных стадиях [151, 156, 162]:
- 3а – на стадии поляризации электродных реакций, зависящей от каталитической активности этих реакций;
- 3б – на стадии барьера в виде ДЭС;
- 3в – на стадиях диффузионного и электрического переноса ионов между электродами. В [156] было показано, что диффузионно-контролируемый механизм за счет примесей наблюдался при Е>1.4 В для положительного электрода и при Е<1.2 В для отрицательного электрода.
Согласно Конвею [1], скорости саморазряда определяются следующими механизмами процессов:
(а) Если саморазряд контролируется диффузией ионов, являющихся продуктами перезаряжения, или редокс-реакций примесей, например, Fe2+∕Fe3+, или других ионов элементов с переменной валентностью, то зависимость падения напряжения V от логарифма времени (lg t) будет линейной:
, (16)
где А – энергия, t – время, θ – константа интегрирования.
(б) Если саморазряд контролируется полубесконечной диффузией в пористом электроде с участием примесей, то падение потенциала во времени определяется зависимостью от квадратного корня от t:
, (17)
где D – коэффициент диффузии, с – концентрация ионов, Vt – текущее напряжение, V1 – исходное напряжение, S – УП пористого электрода.
(в) Если саморазряд обусловлен током утечки “короткого замыкания” между двумя электродами, например, вследствие погрешностей в сборке батареи биполярных суперконденсаторов, то зависимость lnVt от t будет линейной:
, (18)
где R – омическое сопротивление току утечки.
2.2.3 Перенос ионов из мест с высокой концентрацией в места с более низкой концентрацией [162]
Было установлено, что для углеродных электродов с большой концентрацией ПГ процесс саморазряда протекает быстрее [140, 152, 164]. В работах [165, 166] были описаны специальные методы химической модификации электродов для снижения саморазряда, обусловленного наличием определенных ПГ. В [163] был исследован саморазряд для одностенных углеродных наноторубок с большим количеством ПГ и было установлено, что саморазряд с исходного напряжения 1 В протекает быстрее в первые 0.5 ч и еще 4.15 ч до 0.5 В, т.е. до “периода полусаморазряда”.
В [165] саморазряд исследовали с помощью электродов, состоящих из многостенных углеродных нанотрубок трех диаметров: 20, 30 и 50 нм. Характеристики диффузии, полученные на основе разработанной модели, согласуются с измеренными скоростями саморазряда, которые повышаются с увеличением диаметра МСУНТ. Было также установлено, что процессы саморазряда зависят от распределения пор по размерам. Показано также, что процесс саморазряда существенно связан с площадью удельной поверхности электродов [166]. Удаление активных участков поверхности в результате электрохимического циклирования значительно уменьшает саморазряд, обусловленный положительными углеродными электродами ЭХСК с водными электролитами. Это показано в [155] для ЭХСК с электродами из восстановленного оксида графена.
2.3 Разработка новых суперконденсаторов для повышения их характеристик и минимизации саморазряда
2.3.1 Введение специальных добавок в электролит
Специальные добавки вводились в электролит для увеличения вязкости, которые приводят к увеличению сопротивления и снижают саморазряд. В [162] в электролит вводили жидкие кристаллы 4-n-пентил-4'-цианобифенил (5CB) для подавления саморазряда ДСК. Когда ДСК заряжен, то электрическое поле в ДЭС вблизи поверхности электрода индуцирует выравнивание молекул 5CB, вызывая значительно повышенную вязкость жидкости с помощью электрореологического эффекта. В результате диффузия ионов затрудняется, и скорость саморазряда уменьшается.
В работе [167] в качестве добавки к электролиту был использован лиотропный жидкий кристалл (LLC) для подавления саморазряда суперконденсаторов за счет электрореологического эффекта LLC. Этот жидкий кристалл, образованный триблок-сополимером Pluronic L64 в ионной жидкости [Bmim] BF4, проявляет диэлектрическую анизотропию и может переориентировать ионы в электрическом поле, вызывая повышенную вязкость и более медленную диффузию ионов.
В [168] добавка на основе изоцианата 2-изоцианатоэтилметакрилата (ICEMA) полимеризовалась двумя методами: электрополимеризацией in-situ (EP) и радикальной полимеризацией (RP) на электроде из AУ для уменьшения диффузии и саморазряда. Хотя радикально-полимеризационный метод (RP) продемонстрировал существенное подавление саморазряда, однако он показал резкое увеличение всех параметров импеданса и ухудшенные характеристик заряда/разряда. Метод же EP не имел этого недостатка и продемонстрировал сохраненную емкость и подавление саморазряда.
2.3.2 Твердотельные суперконденсаторы
Другими новыми типами ЭХСК для существенной минимизации саморазряда являются твердотельные суперконденсаторы. Существует ряд вариантов создания твердотельных ЭХСК. В [169] был разработан твердотельный ЭХСК с использованием цвиттерионного гелевого электролита. Этот электролит наделяет твердотельные ЭХСК низким саморазрядом во время работы при разомкнутой цепи, сохраняя при этом высокие электрические характеристики во время работы в замкнутой цепи. В данной работе был использован поли(пропилсульфонат диметиламмоний пропилметакриламид) (PPDP) для изготовления полицвиттерионного гелевого электролита со структурной формулой
В работе [150] редокс-медиатор метиленовый синий (MB) был введен в смесь поливинилового спирта и поливинилпирролидона (ПВС/PVP), чтобы приготовить гелевый полимерный электролит (ПВС-PVP-H2SO4-MB) для квазитвердотельного ЭХСК. При добавлении медиатора MB удельная емкость электрода ЭХСК с электролитом ПВС-PVP-H2SO4-MB составляла в H2SO4 328 Ф/г, увеличиваясь на 164% по сравнению с таковой у нелегированной системы MB при той же плотности тока 1 А/г. Плотность энергии ЭХСК увеличивалась с 3.2 до 10.3 Вт ч/кг. Квазитвердотельный ЭХСК показал отличную циклируемость в течение 2000 циклов заряда/разряда.
В [166] сообщалось о создании твердотельных батарей на основе гибких микро-суперконденсаторов (МСК) с электродами, состоящими из узорчатого многослойного графена (МГ), функционализированных многостенных углеродных нанотрубок и гелевого электролита из поливинилового спирта (ПВС)–H3PO4. Такой МСК показал поверхностную емкость 2.54 мФ/см2 при скорости сканирования 10 мВ/с, что в 150 раз выше, чем у МСК с электродами из МГ. Эти МСК продемонстрировали сниженный саморазряд.
2.3.3 Суперконденсаторы с ионообменными мембранами
В последние годы были начаты исследования по использованию ионообменных мембран (ИОМ) в ЭХСК [170–173]. Это обусловлено удобной для практики твердотельной конструкцией таких ЭХСК, а также уменьшением саморазряда. В [170] были исследованы твердотельные гибридные суперконденсаторы (ГСК) АУ/MnO2 с электродами, нанесенными на углеродную нановолокнистую тканевую основу. Они показали стабильную производительность в водной среде для диапазона напряжений 0–1.6 В, низкий саморазряд и хорошие емкостные характеристики 138 и 134 Ф/г с пористой бумагой и ионообменной мембраной Нафион, соответственно. Твердотельный гибридный суперконденсатор показал очень низкий саморазряд даже после длительных испытаний на долговечность в течение 270 ч.
В [171] было исследовано электрохимическое поведение мембран Нафион в твердотельных ЭХСК с композитами: восстановленный оксид графена – мембрана Нафион 117 – УНТ – полипиррол. Мембраны Нафион 117 были применены в качестве сепараторов при приготовлении твердотельных симметричных ЭХСК в 1 М LiCl. Была получена удельная емкость 258.3 Ф/г при скорости развертки напряжения 10 мВ/с; также был получен существенно сниженный саморазряд.
Хотя в большинстве работ по ЭХСК с ИОМ применялись протонообменные мембраны, однако в ряде работ были исследованы ЭХСК с анионообменными мембранами в среде OH–. В [172] были исследованы ЭХСК в щелочной среде с проводимостью по анионам ОН– в полимерной матрице, а также установлены несколько интересных взаимосвязей между свойствами полимерного электролита и характеристиками твердотельного ЭХСК. Чтобы создать экономически обоснованный, легкий, тонкий и гибкий твердый ЭХСК с анионообменной мембраной, полимерные электролиты должны удовлетворять следующим требованиям: большая ионная проводимость; широкое окно напряжения; способность достигать надежных контактов электрод/электролит; механическая прочность, химическая стабильность при длительном циклировании [173].
2.3.4 Использование беспримесных электролитов
Как следует из вышеизложенного, одним из основных механизмов саморазряла является челночный перенос ионов – продуктов окислительно-восстановительных реакций – c одного электрода на другой и обратно. Типичным случаем такого челночного переноса ионов является процесс, вызванный присутствием в растворе электролита примесей ионов железа. Поэтому важнейшей мерой для существенного уменьшения скорости саморазряда является достижение беспримесной чистоты электролита. Основным источником примесей в электролите ЭХСК с АУ-электродами является зола, состоящая из неорганических компонентов, содержащаяся в прекурсорах из растительных материалов: древесины, скорлупы орехов, кокосов и т. п. Для удаления золы ее растворяют в концентрированных кислотах. Кардинальным решением этой проблемы является применение прекурсоров из синтетических полимеров, например полиэтилена, полиакрилонитрила и т. п. Другим способом получения беспримесных электролитов является использование в качестве электродов карбидных углей.
Производители коммерческих ЭХСК предпринимают необходимые меры, чтобы практически исключить наличие примесей в электролитах с целью минимизации саморазряда. Например, в [174] проводились измерения саморазряда для коммерческого ЭХСК Maxwell BCAP 3000 с номинальной емкостью 3000 Ф и напряжением 2.7 В. Исследования осуществлялись при температурах 278, 293, 308 и 323 К и при начальных напряжениях: 2.7, 2.4, 2.1, 1.8 и 1.5 В. На рис. 23 показаны результаты измерений саморазряда такого ЭХСК. Из этого рисунка следует, что для не очень высоких температур (278, 293 и 308К) саморазряд был ничтожен на протяжении более 100000 с. Следует отметить, что столь низкий саморазряд был поучен для ЭХСК с неводным электролитом.
Рис. 23. Профили саморазряда ЭХСК Maxwell BCAP 3000 при разных температурах и начальных напряжениях. (Обозначения: Voltage – напряжение, V – Вольт, Time – время, s – секунды) [174]
Из этого рисунка видно, что падение напряжения на клеммах увеличивается с увеличением исходного напряжения и температуры. Ничтожный саморазряд был достигнут также для коммерческих ЭХСК A600 F компании Nesscap [175].
2.3.5 Методы химической модификации электродов для снижения саморазряда
В [155] было показано, что устранение активных центров поверхности посредством электрохимического или химического окисления существенно снижает скорость саморазряда положительных углеродных электродов в водных ЭХСК. Для суперконденсаторов с электродами на основе ВОГ было показано, что вольт-амперное циклирование в определенном диапазоне потенциалов очищает поверхность электродов от ПГ и существенно снижает саморазряд. Было также установлено, что этот метод применим к СК с другими ВДУМ.
2.4 Саморазряд суперконденсаторов с электродами на основе активированных углей
В работе [176] было проведено исследование саморазряда суперконденсатора с электродами на основе активированной углеродной (АУ) ткани СН 900 компании Kuraray с водным электролитом 1 М MgSO4. Элементные составы положительного и отрицательного электродов после электрохимической обработки до 1.6 В стали радикально различаться между собой. На положительном электроде возникла очень большая концентрация водорода и кислорода, что объясняется образованием поверхностных групп (ПГ). Установлено, что логарифм скорости саморазряда через ~70 мин после его начала пропорционален напряжению заряда. Зависимость же скорости саморазряда через 2000 мин после его начала от напряжения имеет минимум. Этот минимум объясняется действием двух противонаправленных механизмов. Во-первых, существенный вклад в емкость вносит псевдоемкость фарадеевских редокс-реакций ПГ, а во-вторых, само наличие этих групп увеличивает скорость саморазряда. В области низких напряжений доминирует первый фактор, а в области высоких напряжений – второй фактор.
На основании импедансных измерений для области малых времен саморазряда разработана эквивалентная электрическая схема ячейки ЭХСК. Показано, что сопротивление току утечки уменьшается при увеличении напряжения, что согласуется с измерениями скорости саморазряда. Показано, что скорость саморазряда СК после 2000 заряд-разрядных циклов меньше по сравнению с соответствующей для исходного состояния ячейки, что объясняется наличием ПГ.
В работе [177] в результате исследования саморазряда симметричного суперконденсатора с электродами на основе АУ Norit и водного электролита 1 М MgSO4 были получены следующие основные выводы. Показано, что при длительном периоде стабилизации путем потенциостатического заряда наблюдается снижение разрядной емкости в области напряжений, превышающих 0.8 В. Процесс саморазряда может быть условно разделен на две стадии: первичную и основную. Для первичной стадии (время около часа) падение напряжения заряженной ячейки определяется процессами перераспределения заряда по толщине электрода и по порам разных радиусов. Для основной стадии падение напряжения ячейки обусловлено процессами переноса заряда между электродами. Скорость саморазряда в первичной стадии снижается с ростом времени стабилизации. Скорость саморазряда основной стадии (20 ч) имеет минимум от времени стабилизации.
Методом эталонной контактной порометрии была исследована пористая структура и гидрофильно-гидрофобные свойства АУ Норит и соответствующего электрода (АУЭ) в широком интервале радиусов пор от десятых долей нанометра до 100 мкм. Установлено, что АУ и АУЭ обладают как гидрофильными, таки гидрофобными порами. В данном случае водного электролита электрохимические процессы протекают только в гидрофильных порах. Показано, что основной вклад в УП вносят микропоры с радиусами менее 1 нм. По данным измерения угла смачивания была установлена гидрофилизация не только положительного, но и отрицательного электрода, возникающая в процессе длительных поляризаций ячейки. При этом методами РФЭС и ИК-спектроскопии установлено, что поляризация сопровождается окислением углеродной основы как положительного (что было ожидаемо), так и отрицательного (в меньшей степени) электрода. В частности, на разностных ИК-спектрах отрицательного электрода наблюдали максимум, отвечающий колебаниям эпоксидных функциональных групп. Основываясь на указанных данных, сделано предположение об участии в основной стадии саморазряда частиц, обладающих высокой окислительной способностью.
2.5 Перспективы двойнослойных конденсаторов
Имеются несколько перспективных направлений, в которых будут развиваться суперконденсаторы в ближайшем будущем и в среднесрочной перспективе.
- В настоящее время из многочисленных видов углеродных электродных материалов наиболее высокими кинетическими характеристиками обладают одностенные углеродные нанотрубки. На их основе были получены в лабораториях импульсные ЭХСК с очень высокой удельной мощностью, приближающейся к 100 кВт/кг при достаточно высокой удельной энергии 20–25 Вт ч/кг. Однако существенным недостатком ОСУНТ является их дороговизна. Поэтому можно предположить, что в среднесрочной перспективе будет разработана массовая достаточно дешевая технология получения ОСУНТ, которая приведет к промышленному выпуску ЭХСК на основе дешевых ОСУНТ.
- Ожидается усовершенствование технологии получения графенов с целью оптимизации их пористой иерархической структуры таким образом, чтобы существенно увеличить межфазную поверхность углерод/электролит. Графены обладают быстрой кинетикой зарядно-разрядных процессов в отличие от большинства активированных углей и саж, и поэтому их следует в первую очередь использовать в ЭХСК мощностного (импульсного) типа. По своим кинетическим емкостным свойствам существующие графены приближаются к ОСУНТ, но значительно их дешевле.
- Разработка усовершенствованных ЭХСК с электролитами в виде ионных жидкостей, направленная на решение задачи значительного увеличения окна потенциалов, а значит, и удельной энергии.
- Вследствие функционирования электродов ЭХСК в очень широком диапазоне времен заряда–разряда (от долей секунды до часов) предполагается существенное расширение областей применения ЭХСК для различных типов потребителей и устройств от высокочастотных электронных схем до электротранспорта и других применений ЭХСК энергетического типа. Из новых областей применения ЭХСК нужно особо выделить хранение и выдачу энергии электрических сетей для сглаживания пиковых нагрузок электрических сетей с разными временами заряда и разряда, рекуперацию энергии торможения двигателей внутреннего сгорания (тепловозы, автомобили, самолеты, судна), для резервирования энергии в железнодорожном транспорте, метро и других видах общественного электротранспорта, для создания больших буферных накопителей энергии в электроэнергетике, телекоммуникационных системах, системах бесперебойного питания особо ответственных объектов, в альтернативной электроэнергетике, для замены аккумуляторных батарей на подстанциях, обеспечение пикового спроса на электроэнергию.
- Российские ученые из Сколковского института науки и технологий Сколтех (Сколково) в 2019 г. разработали новый способ замещения части атомов углерода на атомы азота в кристаллической решетке суперконденсаторов, который позволяет шестикратно увеличить их емкость, а также увеличить стабильность в циклах заряда-разряда. Изобретенный способ плазменной обработки углеродных наностенок структурной решетки ЭХСК замещает до 3% атомов углерода на атомы азота. Удельная емкость наностенки после такой обработки достигает 600 Ф/г. Данное исследование открывает путь к созданию гибких тонкопленочных суперконденсаторов на основе углеродных наностенок [168].
- Вследствие очень высокой наукоемкости ЭХСК можно прогнозировать существенный рост их характеристик в ближайшие годы.
Широкое применение ДСК для опреснения воды. Емкостная деионизация воды (ЕДВ). В последние годы в развитых странах стал разрабатываться метод ЕДВ, который является эффективным методом обессоливания солоноватой, морской и промышленной воды [178–190]. В установке ЕДВ поток опресняемой воды прокачивается между двумя пористыми углеродными электродами с высокой удельной поверхностью 300–2500 м2/г, между которыми задается разность потенциалов >1.2 В. Ионы электростатически адсорбируются на внутренней поверхности электрода противоположного знака. Таким образом, происходит заряжение ДЭС аналогично тому, как это имеет место в ДСК [1, 2, 4]. В конце концов поверхность электродов становится насыщенной ионами и должна быть регенерирована. Это осуществляется размыканием электрической цепи или переполюсовкой. При этом происходит десорбция ионов из электродов и из установки, и образуется более концентрированный поток раствора. Емкостная опреснительная установка, состоящая как минимум из двух электрохимических ячеек, в целом работает непрерывно, при том, что каждая из ячеек часть времени работает как деионизационная, а другая в этот же период времени – как концентрационная (регенеративная). В итоге получаются два продукта: деионизованная вода и концентрат, который может быть использован на практике. Общность между процессами в ЕДВ и ДСК подтверждается и тем фактом, что одни и те же углеродные электроды на основе ВДУМ могут использоваться в обеих этих системах [2, 178, 180]. Основным преимуществом ЕДВ является самый низкий расход энергии, составляющий примерно одну треть от главного конкурирующего метода – обратного осмоса, который в настоящее время в основном применяется в промышленности.
В [184] было установлено, что измеренная для ЕДВ энергия удаления соли приближается к термодинамическому минимуму для опреснения таких концентрированных растворов, как морская вода. В стадии регенерации энергия возвращается в установку для ЕДВ и поэтому происходит частичная компенсация затрат на деионизацию. Поэтому результирующая энергия деионизации WЕДВ равна разности
WЕДВ = Wдеион – Wконц, (19)
где Wдеион – энергия, затраченная на стадии деионизации, а Wконц – энергия, высвободившаяся при концентрировании. Энергия WЕДВ должна учитываться при работе установки, так как она учитывает выигрыш за счет энергии на стадии концентрирования. Этот фактор объясняет минимальные затраты энергии в ЕДВ по сравнению с другими опреснительными методами. В стадии деионизации имеет место заряжение ДСК, а в стадии концентрирования происходит разряжение ДСК. Огромное значение метода ЕДВ в качестве определяющего класса технологий опреснения было показано в принципиальной статье большого количества признанных авторитетов в области опреснения воды [190].
Анализ показал, что применение метода ЕДВ для получения чистой питьевой воды лимитируется очень высоким электрическим сопротивлением чистой воды в порах углеродных электродов и спейсера (сепаратора). С другой стороны, давно известно, что активированные угли имеют большое количество ионогенных поверхностных групп [61, 62, 191], которые обеспечивают достаточно высокую ионную поверхностную проводимость (ПП) АУ-электродов даже в чистой воде.
После установления факта наличия существенной ПП у АУ стало ясно, что реальным препятствием для получения чистой воды в установках ЕДВ является чрезвычайно высокое сопротивление такой воды в порах обычных пористых сепараторов (спейсеров). Однако, затем в [192, 193] была решена и эта проблема путем замены такого пористого спейсера (обычно стеклянного) на катионо-анионообменную мембрану мозаичной структуры. Мозаичная мембрана (ММ) содержит перемешанные между собой катионитовые и анионитовые частицы в приблизительно одинаковом количестве. Было установлено, что удельная электропроводность (т.е., поверхностная проводимость) ММ, пропитанной чистой водой, достаточно велика, поскольку она обусловлена проводимостью противокатионов и противоанионов.
В результате в [192, 193] был сделан вывод о том, что для получения чистой питьевой воды в установках ЕДВ необходимо заменить пористые спейсеры на мозаичные мембраны, а в качестве электродов необходимо использовать АУ-электроды, обладающие существенной поверхностной проводимостью.
ФИНАНСИРОВАНИЕ РАБОТЫ
Работа выполнена при поддержке Министерства науки и высшего образования Российской Федерации.
КОНФЛИКТ ИНТЕРЕСОВ
Автор заявляет, что у него нет конфликта интересов.
About the authors
Yu. M. Volfkovich
Institute of Physical Chemistry and Electrochemistry named after A.N. Frumkin RAS
Author for correspondence.
Email: yuvolf40@mail.ru
Russian Federation, Moscow
References
- Conway, B., Electrochemical Supercapacitors: Scientific Fundamentals and Technological Applications, Berlin: Springer Science & Business Media, 2013.
- Bagotsky, V.S., Skundin, A.M., and Volfkovich, Yu.M., Electrochemical Power Sources. Batteries, Fuel Cells, Supercapacitors, N.J.: Jhon Wiely & Sons Inc. Publisher, 2015.
- Rani, J.R., Thangavel, R., Oh, S.I., Lee, Y.S., and Jang, J.H., An ultra-high-energy density supercapacitor; fabrication based on thiol-functionalized graphene oxide scrolls, Nanomaterials, 2019, vol. 9, p. 148.
- Cheng, Q, Tang, J., Ma, J., Zhang, H., Shinya, N., and Qin, L.C., Graphene and carbon nanotube composite electrodes for supercapacitors with ultra-high energy density, Phys. Chem. Chem. Phys., 2011, vol. 13, p. 17615.
- Wang, L.J., El‐Kady, M.F., and Dubin, S., Flash converted graphene for ultra‐high power supercapacitors, Advanced Energy Mater., 2015, vol. 5, p. 1500786.
- Zhang, L.L., Zhao, X., Stoller, M.D., Zhu, Y., Ji, H., and Murali, S., Highly conductive and porous activated reduced graphene oxide films for high-power supercapacitors, Nano Lett., 2012, vol. 12, p. 1806.
- Jung, S.H., Myung, Y., and Ki, B.N., Activated biomass-derived graphene-based carbons for supercapacitors with high energy and power density, Scientific REPOrTS, 2018, vol. 8, p. 1915. https://doi.org/10.1038/s41598-018-20096-8
- Vorotyntsev, M., Modern Aspects of Electrochemistry, N.Y.: Plenum Press, 1986, vol. 17, p. 131.
- Pandolfo, A.G. and Hollenkamp, A.F., Carbon properties and their role in supercapacitors, J. Power Sources, 2006, vol. 157, p. 11.
- Вольфкович, Ю.М., Мазин, В.М., Уриссон, Н.А. Исследование работы двойнослойных конденсаторов на основе углеродных материалов. Электрохимия. 1998. Т. 34. С. 825. [Volfkovich, Y.M, Mazin, V.M, and Urisson, N.A., The influence of the porous structure, microkinetics and diffusion properties on the charge-discharge behaviour of conducting polymers, Russ. J. Electrochem., 1998, vol. 34, p. 740.]
- Volfkovich, Yu.M., Filippov, A.N., and Bagotsky, V.S., Structural properties of porous materials and powders used in different fields of science and technology, London: Springer Publisher, 2014.
- Volfkovich, Yu.M., Sakars, A.V., and Volinsky, A.A., Application of the standard porosimetry method for nanomaterials, Intern. J. Nanotechnol., 2005, vol. 2, p. 292.
- Rouquerol, J., Baron, G., Denoyel, R., Giesche, H., Groen, J., Klobes, P., Levitz, P., Neimark, A.V., Rigby, S., Skudas, R., Sing, K., Thommes, M., and Unger, K., Pure Appl. Chem., 2012, vol. 84, p. 107.
- Miller, J.R., Engineering electrochemical capacitor applications, J. Power Sources, 2016, vol. 326, p. 726.
- Вольфкович, Ю.М., Рычагов, А.Ю., Сосенкин, В.Е., Ефимов, О.Н., Осьмаков, М.И., Селиверстов, А.Ф. Измерение разными методами удельной поверхности углеродных наноматериалов. Электрохимия. 2014. Т. 50. С. 1222. [Volfkovich, Yu. M., Rychagov, A. Yu., Sosenkin, V.E., Efimov, O.N., Os’makov, M.I., and Seliverstov, A.F., Measuring the Specific Surface Area of Carbon Nanomaterials by Different Methods, Russ. J. Electrochem., 2014, vol. 50, p. 1099.]
- Xia, K., Gao, Q., Jiang, J., and Hu, J., Hierarchical porous carbons with controlled micropores and mesopores for supercapacitor electrode materials, Carbon, 2008, vol. 46, p. 1718.
- Xu, H., Wang, L., Zhang, Y., Chen, Y., and Gao, S., Pore-structure regulation of biomass-derived carbon materials for an enhanced supercapacitor performance, Nanoscale, 2021, vol. 13, р. 10051.
- Tang, Z., Li, X., Sun, T., Shen, S., Huixin, X., and Yang, J., Porous crumpled graphene with hierarchical pore structure and high surface utilization efficiency for supercapacitor, Microporous and Mesoporous Mater., 2018, vol. 272, p. 40.
- Zhou, Y., Ren, X., Du, Y., Jiang, Y., Wan, J., and Ma, F., In-situ template cooperated with urea to construct pectin-derived hierarchical porous carbon with optimized pore structure for supercapacitor, Electrochim. Acta, 2020, vol. 355, 136801.
- Xing, W., Huang, C.C., Zhuo, S.P., Yuan, X., and Wang, G.Q., Hierarchical porous carbons with high performance for supercapacitor electrodes, Carbon, 2009, vol. 47, p. 1715.
- Yang, X., Zhao, S., Zhang, Z., Chi, Y., and Yang, C., Pore structure regulation of hierarchical porous carbon derived from coal tar pitch via pre-oxidation strategy for high-performance supercapacitor, J. Colloid Interface Sci., 2022, vol. 614, p. 298.
- Li, Z., Cheng, A., Zhong, W., Ma, H., Si, M., Ye, X., and Li, Z., Facile fabrication of carbon nanosheets with hierarchically porous structure for high-performance supercapacitor, Microporous and Mesoporous Mater., 2020, vol. 306, 110440.
- Kim, J., Eum, J.H., Kang, J., Kwon, O., Kim, H., and Kim, D.W., Tuning the hierarchical pore structure of graphene oxide through dual thermal activation for high-performance supercapacitor, Scientific reports, 2021, vol. 11, p. 2063.
- Zhang, X., Zhang, H., Li, C., Wang, K., Sun, X., and Ma, Y., Recent advances in porous graphene materials for supercapacitor applications, RSC Advances, 2014, vol. 4, р. 45862.
- Chen, H., Liu, D., Shen, Z., Bao, B., Zhao, S., and Wu, L., Functional biomass carbons with hierarchical porous structure for supercapacitor electrode materials, Electrochim. Acta, 2015, vol. 180, p. 241.
- Volfkovich, Yu. M., Rychagov, A. Yu., and Sosenkin, V.E., Effect of the Porous Structure on the Electrochemical Characteristics of Supercapacitor with Nanocomposite Electrodes Basedon Carbon Nanotubes and Resorcinol–Formaldehyde Xerogel, Russ. J. Electrochem., 2022, vol. 58, p. 730.
- Chang, B., Yin, H., Zhang, X., Zhang, S., and Yang, B., Chemical blowing strategy synthesis of nitrogen-rich porous graphitized carbon nanosheets: morphology, pore structure and supercapacitor application, Chem. Engineering J., 2017, vol. 312, p. 191.
- Вольфкович, Ю.М., Михалин, А.А., Рычагов, А.Ю., Сосенкин, В.Е., Бограчев, Д.А. Активированные угли как нанопористые электроно-ионообменники. Электрохимия. 2020. T. 56. С. 963. [Volfkovich, Yu. M., Mikhalin, A.A., Rychagov, A. Yu., Sosenkin, V.E., and Bograchev, D.A., Activated Carbons as Nanoporous Electron-Ion-Exchangers, Russ. J. Electrochem., 2020, vol. 56, p. 869.]
- Lee, E.J., Lee, L., Abbas, M.A., and Bang, J.H., The influence of surface area, porous structure, and surface state on the supercapacitor performance of titanium oxynitride: implications for a nanostructuring strategy, Phys. Chem., 2017, vol. 19, p. 21140.
- Luo, X., Chen, X., and Mo, Y., A review of charge storage in porous carbon-based supercapacitors, New Carbon Materials, 2021, vol. 36, p. 49.
- Zhang, X., Li, H., Zhang, K., Wang, Q., and Qin, B., Strategy for preparing porous graphitic carbon for supercapacitor: balance on porous structure and graphitization degree, J. Electrochem. Soc., 2018, vol. 165, p. A2084.
- Xie, L., Su, F., Xie, L., Guo, X., Wang, Z., and Kong, Q., Effect of pore structure and doping species on charge storage mechanisms in porous carbon-based supercapacitors, Mater. Chem. Front, 2020, vol. 4, р. 2610.
- Heo, Y.J., Lee, H.I., Lee, J.W., Park, M., and Rhee, K.Y., Optimization of the pore structure of PAN-based carbon fibers for enhanced supercapacitor performances via electrospinning, Composites Part B: Engineering, 2019, vol. 161, p. 10.
- Lin, Z., Xiang, X., Peng, S., Jiang, X., and Hou, L., Facile synthesis of chitosan-based carbon with rich porous structure for supercapacitor with enhanced electrochemical performance, J. Electroanal. Chem., 2018, vol. 823, p. 563.
- Long, C., Jiang, L., Wu, X., Jiang, Y., Yang, D., and Wang, C., Facile synthesis of functionalized porous carbon with three-dimensional interconnected pore structure for high volumetric performance, Carbon, 2015, vol. 93, p. 412.
- Kim, T.Y., Jung, G., Yoo, S., Suh, K.S., and Ruoff, R.S., Activated graphene-based carbons as supercapacitor electrodes with macro-and mesopores, ACS Nano, 2013, vol. 7, p. 6899.
- Hao, P., Zhao, Z., Tian, J., Li, H., Sang, Y., Yu, G., Cai, H., and Liu, H., Hierarchical porous carbon aerogel derived from bagasse for high performance supercapacitor electrode, Nanoscale, 2014, vol. 6, p. 12120.
- Shimizu, T., Kobashi, K., and Nakajima, H., Supercapacitor Electrodes of Blended Carbon Nanotubes with Diverse Conductive Porous Structures Enabling High Charge/Discharge Rates, ACS Appl. Energy Mater., 2021, vol. 4, p. 9712.
- Fisher, R.A., Watt, M.R. and Ready, W.J., Functionalized Carbon Nanotube Supercapacitor Electrodes: A Review on Pseudocapacitive Materials, J. Solid State Sci. Technol., 2013, vol. 2, p. 2 M3170.
- Zhang, Y., Chen, H., Wang, S., Zhao, X., and Kong, F., Regulatory pore structure of biomass-based carbon for supercapacitor applications, Microporous and Mesoporous Mater., 2020, vol. 297, 110032.
- Liu, X., Li, S., Mi, R., Mei, J., Liu, L.M., Cao, L., Lau, W.M., and Liu, H., Porous structure design of carbon xerogels for advanced supercapacitor, Appl. Energy, 2015, vol. 153, p. 32.
- Zhi, M., Yang, F., Meng, F., and Li, M., Effects of pore structure on performance of an activated-carbon supercapacitor electrode recycled from scrap waste tires, ACS Sustainable Chem. Eng., 2014, vol. 2, p. 1592.
- Zhao, J., Lai, C., Dai, Y., and Xie, J., Pore structure control of mesoporous carbon as supercapacitor material, Mater. Lett., 2007, vol. 61, p. 4639.
- Jung, S.M., Mafra, D.L., Lin, C.T., Jung, H.Y., and Kong, J., Controlled porous structures of graphene aerogels and their effect on supercapacitor performance, Nanoscale, 2015, vol. 7, p. 4386.
- Xiong, C., Li, B., Lin, X., Liu, H., Xu, Y., Mao, J., and Duan, C., The recent progress on three-dimensional porous graphene-based hybrid structure for supercapacitor, Composites Part B: Engineering, 2019, vol. 165, p. 10.
- Celzard, A., Collas, F., Mareche, J.F., and Furdin, G., Porous electrodes-based double-layer supercapacitors: pore structure versus series resistance, J. Power Sources, 2002, vol. 108, p. 153.
- Song, M., Zhou, Y., Ren, X., Wan, J., Du, Y., and Wu, G., Biowaste-based porous carbon for supercapacitor: The influence of preparation processes on structure and performance, J. Colloid Interface Sci., 2019, vol. 535, p. 276.
- Gang, B., Zhang, F., Li, X., Zhai, B., Wang, X., and Song, Y., A lactuca-derived porous carbon for high-performance electrode materials in supercapacitor: Synergistic effect of porous structure and graphitization degree, J. Energy Storage, 2021, vol. 33, 102132.
- Borchardt, L., Oschatz, M., and Kaskel, S., Materials Horizons, Tailoring porosity in carbon materials for supercapacitor applications, Mater. Horiz., 2014, vol. 1, p. 157.
- Snook, G.A., Kao, P., and Best, A.S., Conducting-polymer-based supercapacitor devices and electrodes, J. Power Sources, 2011, vol. 196, p. 1.
- Peng, C., Zhang, S., Jewell, D., and Chen, G.Z., Carbon nanotube and conducting polymer composites for supercapacitors, Progress in Natural Sci., 2008, vol. 8, p. 777.
- Вольфкович, Ю.М., Рычагов, А.Ю., Сосенкин, В.Е. Влияние пористой структуры на электрохимические характеристики суперконденсатора с нанокомпозитными электродами на основе углеродных нанотрубок и резорцин-формальдегидного ксерогеля. Электрохимия. 2022. Т. 58. р. 496. [Volfkovich, Yu.M., Rychagov, A. Yu., and Sosenkin, V.E., Effect of the Porous Structure on the Electrochemical Characteristics of Supercapacitor with Nanocomposite Electrodes Based on Carbon Nanotubes and Resorcinol–Formaldehyde Xerogel. Russ. J. Electrochem., 2022, vol. 58, p. 730.]
- Крестинин, А.В., Кнерельман, Е.И., Дремова, Н.Н., Голодков, О.Н. Углеродная нанобумага, изготовленная из углеродных нанотрубок/резорцин-формальдегидного ксерогелевого нанокомпозита для электрохимических суперконденсаторов. Электрохимия. 2023. Т. 59. С. 517. [Krestinin, A.V., Knerel’man, E.I, Dremova, N.N., and Golodkov, O.N., Carbon Nanopaper Produced from Carbon Nanotubes/Resorcinol–Formaldehyde Xerogel Nanocomposite for Electrochemical Supercapasitors, Russ. J. Electrochem., 2023, vol. 59, p. 666.]
- Ермакова, А.С., Попова, А.В., Чайка, М.Ю., Кравченко, Т.А. Окислительно-восстановительная функционализация углеродных электродов электрохимических конденсаторов. Электрохимия. 2017. Т. 53. С. 687. [Ermakova, A.S., Popova, A.V., Chayka, M.Y., and Kravchenko, T.A., Redox functionalization of carbon electrodes of electrochemical capacitors, Russ. J. Electrochem., 2017, vol. 53, p. 608.]
- de Levie, R., On porous electrodes in electrolyte solutions. I. Capacitance effects, Electrochim. Acta, 1963, vol. 8, p. 751.
- de Levie, R., On porous electrodes in electrolyte solutions – IV, Electrochim. Acta, 1964, vol. 9, p. 1231.
- Bograchev, D.A., Volfkovich, Yu.M., and Martemianov, S., Diagnostics of supercapacitors using cyclic voltammetry: Modeling and experimental applications, J. Electroanal. Chem., 2023, vol. 935, p. 117322.
- Вольфкович, Ю.М. Электрохимические суперконденсаторы (обзор). Электрохимия. 2021. Т. 57. С. 197. [Volfkovich, Yu. M., Electrochemical Supercapacitors (a Review), Russ. J. Electrochem., 2021, vol. 57, p. 311.]
- Volfkovich, Yu.M., The Effect of Structure of Porous Components of Electrochemical Devices on Their Characteristics (A Review), Russ. J. Electrochem., 2023, vol. 59, p. 347.
- Inagaki, M., Konno, H., and Tanaike, O., Carbon materials for electrochemical capacitors, J. Power Sources, 2010, vol. 195, p. 7880.
- Tarasevich, М.R. Electrochemistry of carbon materials, Мoscow.: Nauka, 1984.
- Tarkovskaya, I.A. Oxidized carbon, Kiev: Naukova dumka, 1981.
- Соляникова, А.С. (Ермакова, А.С.), Чайка, М.Ю., Парфенов, В.А., Кирик, С.Д., Кравченко, Т.А. Активация мезоструктурированных электродных материалов электрохимических конденсаторов. Электрохимия. 2015. Т. 51. С. 863. [Solyanikova, A.S., Chayka, M. Yu., Parfenov, V.A., Kirik, S.D., and Kravchenko, T.A., Activation of Mesostructured Electrode Materials for Electrochemical Capacitors, Russ. J. Electrochem., 2015, vol. 51, p. 764.]
- Вольфкович, Ю.М., Горончаровская, И.В., Евсеев, А.К., Сосенкин, В.Е. Гольдин, М.М. Влияние электрохимического модифицирования активированных углей полипирролом на их структурные характеристики, состав поверхностных соединений и адсорбционные свойства. Электрохимия. 2017. Т. 53. С. 1616. [Volfkovich, Yu.M., Goroncharovskaya, I.V., Evseev, A.K., Sosenkin, V.E., and Gol’din, M.M., The Effect of Electrochemical Modification of Activated Carbons by Polypyrrole on Their Structure Characteristics, Composition of Surface Compounds, and Adsorption Properties, Russ. J. Electrochem., 2017, vol. 53, p. 1363.]
- Volfkovich, Yu.M., Rychagov, А. Yu., Mikhalin, А.А., Kardash, М.М., Kononenko, N.А., Ainetdinov, D.V., Shkirskaya, S.A., and Sosenkin, V.Е., Capacitive deionization of water using mosaic membrane, Desalination, 2018, vol. 426, p. 1.
- Oda, H.H., Yamashita, A.S., Minoura, M. Okamoto, and Morimoto, T., Modification of the oxygen-containing functional group on activated carbon fiber in electrodes of an electric double-layer capacitor, J. Power Sources, 2006, vol. 158, p. 1510.
- Kodama, M, Yamashita, J., Soneda, Y., Hatori, H., and Kamegawa, H., Preparation and electrochemical characteristics of N-enriched carbon foam, Carbon, 2007, vol. 45, p. 1105.
- Hulicova, D., Kodama, M., and Hatori, H., Electrochemical performance of nitrogen-enriched carbons in aqueous and non-aqueous supercapacitors, Chem. Mater., 2006, vol. 18, p. 2318.
- Guo, B., Ma, R., Li, Z., Guo, S., Luo, J., Yang, M., Liu, Q., Thomas, T., and Wang, J., Hierarchical N-Doped Porous Carbons for Zn–Air Batteries and Supercapacitors, Nano-Micro Letters, 2020, vol. 12, p. 2.
- Ghosh, S., Jeong, S.M., and Polaki, S.R., A review on metal nitrides/oxynitrides as an emerging supercapacitor electrode beyond oxide, Korean J. Chem. Eng., 2018, vol. 35, p. 1389.
- Kodama, M., Yamashita, J., Soneda, Y., Hatori, H., Kamegawa, K., and Moriguchi, I., Structure and electrochemical capacitance of nitrogen-enriched mesoporous carbon, Chem. Lett., 2006, vol. 35, p. 680.
- Li, W., Chen, D., Li, Z., Shi, Y., Wang, Y., Huang, J., Zhao, D., and Jiang, Z., Nitrogen enriched mesoporous carbon spheres obtained by a facile method and its application for electrochemical capacitor, Electrochim. Commun., 2007, vol. 9, p. 569.
- Konno, H., Onishi, H., Yoshizawa, N., and Azumi, K., MgO-templated nitrogen-containing carbons derived from different organic compounds for capacitor electrodes, J. Power Sources, 2010, vol. 195, p. 667.
- Frackowiak, E., Lota, G., Machnikowski, J., Vix-Gutrl, C., and Beguin, F., Optimisation of supercapacitors using carbons with controlled nanotexture and nitrogen content, Electrochim. Acta, 2006, vol. 51, p. 2209.
- Guo, H. and Gao, Q., Boron and nitrogen co-doped porous carbon and its enhanced properties as supercapacitor, J. Power Sources, 2009, vol. 186, p. 551.
- Konno, H., Ito, T., Ushiro, M., Fushimi, K., and Azumi, K., High capacitance B/C/N composites for capacitor electrodes synthesized by a simple method, J. Power Sources, 2010, vol. 195, p. 1739.
- Sepehri, S., Garcia, B.B. Zhang, Q., and Cao, G., Enhanced electrochemical and structural properties of carbon cryogels by surface chemistry alteration with boron and nitrogen, Carbon, 2009, vol. 47, p. 1436.
- Volfkovich, Yu.M., Bograchev, D.A., Rychagov, A. Yu, Sosenkin, V.E., and Chaika, M. Yu., Supercapacitors with carbon electrodes. Energy efficiency: modeling and experimental verification, J. Solid State Electrochem., 2015, vol. 19, p. 1.
- Bograchev, D.A., Gryzlov, D. Yu., Sosenkin, V.E., and Volfkovich, Yu.M., Modeling and experimental verification of operation of supercapacitors with carbon electrodes in non-aqueous electrolytes. The energy efficiency, Electrochim. Acta, 2019, vol. 319, p. 552.
- Yadav, N., Yadav, Ne., and Hashmi, S.A., Ionic liquid incorporated, redox-active blend polymer electrolyte for high energy density quasi-solid-state carbon supercapacitor, J. Power Sources, 2020, vol. 451, p. 1.
- Vancov, T., Alston, A.S., Brown, T., and McIntosh, S., Use of ionic liquids in converting lignocellulosic material to biofuels, Renewable Energy, 2012, vol. 45, p. 1.
- Lu, Y., Zhang, S., Yin, J., Bai, C., Zhang, J., Li, Y., Yang, Z., Ge, M., Zhang, L., Wei, M., Ma, M., Ma, Y., and Chen, Y., Mesoporous activated carbon materials with ultrahigh mesopore volume and effective specific surface area for high performance supercapacitors, Carbon, 2017, vol. 124, р. 64.
- Eftekhari, A., Supercapacitors utilising ionic liquids, Energy Storage Mater., 2017, vol. 9, р. 47.
- Lane, G.H., Electrochemical reduction mechanisms and stabilities of some cation types used in ionic liquids and other organic salts, Electrochim. Acta, 2012, vol. 83, p. 513.
- Bodin, C., Mourad, E., Zigah, D., Le, S., Vot, S.A., Freunberger, F., Favier, and Fontaine, O., Biredox ionic liquids: new opportunities toward high performances supercapacitors, Faraday Discussions, 2017, vol. 22, p. 1.
- Denshchikov, K.K., Izmaylova, M.Y. Zhuk, A.Z., Vygodskii, Y.S., Novikov, V.T., and Gerasimov, A.F., 1-Methyl-3-butylimidazolium tetraflouroborate with activated carbon for electrochemical double layer supercapacitors, Electrochim. Acta, 2010, vol. 55, p. 7506.
- Kondrat, S., Wu, P, Qiao, R., and Kornyshev, A.A., Accelerating charging dynamics in subnanometre pores, Nature Mater., 2014, vol. 13, p. 387.
- Budkov, Y.A., Kolesnikov, A.L., Goodwin, Z.A., Kiselev, M.G., and Kornyshev, A.A., Theory of electrosorption of water from ionic liquids, Electrochim. Acta, 2018, vol. 284, p. 346.
- Lazzari, M., Mastragostino, M., and Soavi, F., Capacitance response of carbons in solvent-free ionic liquid electrolytes, Electrochem. Commun., 2007, vol. 9, p. 1567.
- Lin, Z., Barbara, D., Taberna, P.L, Katherine, Van Aken, L., Anasori, B., Gogotsi, Y., and Simon, P., Capacitance of Ti3C2TxM. Xene in ionic liquid electrolyte, J. Power Sources, 2016, vol. 326, p. 575.
- Yochelis, A., Transition from non-monotonic to monotonic electrical diffuse layers: impact of confinement on ionic liquids, Phys. Chem. Chem. Phys., 2014, vol. 16, p. 2836.
- Arbizzani, C., Biso, M, Cericola, D., Lazzari, M., Soavi, F., and Mastragostino, M., Safe, high-energy supercapacitors based on solvent-free ionic liquid electrolytes, J. Power Sources, 2008, vol. 185, p. 1575.
- Lane, G.H., Electrochemical reduction mechanisms and stabilities of some cation types used in ionic liquids and other organic salts, Electrochim. Acta, 2012, vol. 83, p. 513.
- Rychagov, А. Yu, Izmailova, М. Yu., Socenkin, V.E., Volfkovich, Yu.М., and Denshchikov, К.К., Electrochemical behavior of dispersed carbon in electrolytes based on the ionic liquid 1-methyl-3-butylimidazolium tetrafluoroborate, Electrochem. Energetics, 2015, vol. 15, p. 3.
- Lu, Y., Zhang, S., Yin, J., Bai, C., Zhang, J., Li, Y., Yang, Y., Ge, Z., Zhang, M., Wei, L., Ma, M., Ma, Y., and Chen, Y., Mesoporous activated carbon materials with ultrahigh mesopore volume and effective specific surface area for high performance supercapacitors, Carbon, 2017, vol. 124, p. 64.
- Efimov, M.N., Sosenkin, V.E., Volfkovich, Yu.M., Vasilev, A.A., Muratov, D.G., Baskakov, S.A., Efimov, O.N., and Karpacheva, G.P., Electrochemical performance of polyacrylonitrile-derived activated carbon prepared via IR pyrolysis, Electrochem. Commun., 2018, vol. 96, p. 98.
- Borenstein, A., Hanna, O., Attias, R., and Luski, S., Thierry Brousse and Doron Aurbach. Carbon-based composite materials for supercapacitor electrodes: a review, J. Mater. Chem. A, 2017, vol. 5, p. 12653.
- Wang, H., Zhong, Y., Li, Q., Yang, J., and Dai, Q., Cationic starch as a precursor to prepare porous activated carbon for application in supercapacitor electrodes, J. Phys. and Chem. Solids, 2008, vol. 69, p. 2420.
- Volfkovich, Y.M., Mikhailin, A.A., Bograchev, D.A., Sosenkin, V.E., and Bagotsky, V.S., Studies of supercapacitor carbon electrodes with high pseudocapacitance, Recent Trend in Electrochem. Sci. and Technology, 2012, p. 159.
- Volfkovich, Yu.M., Bograchev, D.A., Mikhalin, A.A., and Bagotsky, V.S., Supercapacitor carbon electrodes with high capacitance, J. Solid State Electrochem., 2014, vol. 18, p. 1351.
- Rychagov, А. Yu., Volfkovich, Yu.М., Vorotyntsev, М.А., Kvacheva, L.D., Konev, D.V., Krestinin, А.V., Kryazhev, Yu.G., Kuznetsov, V.L, Kukushkina, Yu.А., Mukhin, V.М., Sokolov, V.V., and Chervonobrodov, S.P., Promising electrode materials for supercapacitors, Electrochem. Energetics, 2012, vol. 12, p. 167.
- Rychagov, A. Yu. and Volfkovich, Yu.M., Interaction of activated carbon electrodes with sulfuric acid solutions, Russ. J. Electrochem., 2007, vol. 43, p. 1273.
- Nishihara, H., Itoi, H., Kogure, T., Hou, P., Touhara, H., Okino, F., and Kyotani, T., Investigation of the ion storage/transfer behavior in an electrical double layer capacitor by using ordered microporous carbons as model materials, Chemistry Eur. J., 2009, vol. 15, p. 5355.
- Krüner, B., Odenwald, C., Tolosa, A., Schreiber, A., Aslan, M., Kickelbick, G., and Presser, V., Carbide-derived carbon beads with tunable nanopores from continuously produced polysilsesquioxanes for supercapacitor electrodes, Sustainable Energy Fuels, 2017, vol. 1, p. 1588.
- Presser, V., Heon, M., and Gogotsi, Y., Carbide‐derived carbons–from porous networks to nanotubes and graphene, Advanced Functional Materials, 2011, vol. 21, p. 810.
- Dhaka, T.P., Chapter 8 – Simple Parallel-Plate Capacitors to High–Energy Density Future Supercapacitors: A Materials Review (Carbide-Derived Carbon – an overview), Emerging Mater. for Energy Conv. and Storage, 2018, p. 247
- Yang, X., Fei, B., Ma, J., Liu, Liu, X., Yang, S., Tian, G., Jiang, Z., Yang, S., Tian, G., and Jiang, Z., Porous nanoplatelets wrapped carbon aerogel by pyrolysis of regenerated bamboo cellulose aerogels as supercapacitor electrodes, Carbohydrate Polymers, 2018, vol. 180, p. 385.
- Volfkovich, Yu.M.., Rychagov, А. Yu., Sosenkin, V.Е., and Krestinin, А.V., Power electrochemical supercapacitor based on carbon nanotubes, Electrochem. Energetics, 2008, vol. 8, p. 106.
- Yang, Z., Tian, J., Yin, Z., Cui, C., Qian, W., and Wei, F., Carbon nanotube- and graphene-based nanomaterials and applications in high-voltage supercapacitor: A review, Carbon, 2019, vol. 141, p. 467.
- Вольфкович, Ю.М., Рычагов, А.Ю., Сосенкин, В.Е., Ефимов, О.Н., Осьмаков, М.И., Селиверстов, А.Ф. Измерение разными методами удельной поверхности углеродных наноматериалов. Электрохимия. 2014. Т. 50. С. 1222. [Volfkovich, Yu.M., Rychagov, A. Yu., Sosenkin, V.E., Efimov, O.N., Os’makov, M.I., and Seliverstov, A.F., Measuring the Specific Surface Area of Carbon Nanomaterials by Different Methods, Russ. J. Electrochem., 2014, vol. 50, p. 1099.]
- Dong, B., He, B.L., Xu, C.L., and Li, H.L., Preparation and electrochemical characterization of polyaniline/multi-walled carbon nanotubes composites for supercapacitor, Mater. Sci. and Engineering B., 2007, vol. 143, p. 7.
- Wang, J., Xu, Y., Chen, X., and Sun, X., Capacitance properties of single wall carbon nanotube/polypyrrole composite films, Composites Sci. and Technol., 2007, vol. 67, p. 2981.
- Dong, B., He, B.L., Xu, C.L., and Li, H.L., Preparation and electrochemical characterization of polyaniline/multi-walled carbon nanotubes composites for supercapacitor, Mater. Sci. and Engineering B, 2007, vol. 143, p. 7.
- Honda, Y., Takeshige, M., Shiozaki, H., Kitamura, T., Yoshikawa, K., Chakarabarti, S., Suekane, O., Pan, L., Nakayama, Y., Yamagata, M., and Ishikawa, M., Vertically aligned double-walled carbon nanotube electrode prepared by transfer methodology for electric double layer capacitor, J. Power Sources, 2008, vol. 185, p. 1580.
- Chee, W.K., Lim, W.K., Zainal, H.N., Huang, Z., Harrison, N.M., and Andou, Y., Flexible Graphene-Based Supercapacitors: A Review, J. Phys. Chem. C, 2016, vol. 120, p. 4153.
- Reddy, A.L., Shaijumon, M.M., and Gowda, S.R., Multisegmented Au-MnO2/Carbon Nanotube Hybrid Coaxial Arrays for High-Power Supercapacitor Applications, J. Phys. Chem.C, 2010, vol. 114, p. 658.
- Huang, Y., Liang, J., and Chen, Y., An overview of the applications of graphene‐based materials in supercapacitors, Mano-Micro Small, 2012, vol. 8, p. 1805.
- Eftekhari, A., Shulga, Y.M., Baskakov, S.A., and Gutsev, G.L., Graphene oxide membranes for electrochemical energy storage and conversion, Intern. J. Hydrogen energy, 2018, vol. 43, p. 2307.
- Shulga, Yu.M., Baskakova, S.A., Baskakova, Yu.V., Lobach, A.S., Kabachkov, E.N., Volfkovich, Yu.M., Sosenkin, V.E., Shulga, N. Yu., Nefedkin, S.I., Kumar, Y., and Michtchenko, A., Preparation of graphene oxide-humic acid composite-based ink for printing thin film electrodes for micro-supercapacitors, J. Alloys and Compounds, 2018, vol. 730, p. 88.
- Shulga, Yu.M., Baskakov, S.A., Baskakova, Y.V., Lobach, A.S., Volfkovich, Yu.M., Sosenkin, V.E., Shulga, N.Y., Parkhomenko, Y.N., Michtchenko, A., and Kumar, Y., Hybrid porous carbon materials derived from composite of humic acid, Microporous and Mesoporous Mater., 2017, vol. 245, p. 24.
- Кряжев, Ю.Г., Вольфкович, Ю.М., Мельников, И.П., Рычагов, А.Ю., Тренихин, М.В., Солодовниченко, В.С., Лихолобов, В.А. Синтез и исследование электрохимических свойств нанокомпозита с графеноподобными частицами, встроенными в высокопористую углеродную матрицу. Журн. физикохимия поверхности и защита материалов. 2017. Т. 53. С. 422. [Kryazhev, Yu.G., Volfkovich, Yu.M., Mel’nikov, V.P., Rychagov, A. Yu., Trenikhin, M.V., Solodovnichenko, V.S., and Likholobov, V.A., Synthesis and study of electrochemical properties of nanocomposites with graphene-like particles integrated into a high-porosity carbon matrix, Protection of Metals and Physical Chemistry of Surfaces, 2017, vol. 53, p. 422.]
- Shulga, Yu.M., Baskakov, S.A.,. Baskakova, Yu.V., Volfkovich, Yu.M., Shulga, N. Yu., Skryleva, E.A., Parkhomenko, Y.N., Belay, K.G., Gutsev, G.L., Rychagov, A.Y., Sosenkin, V.E., and Kovalev, I.D., Supercapacitors with graphene oxide separators and reduced graphite oxide electrodes, J. Power Sources, 2015, vol. 279, p. 722.
- Ke, Q. and Wang, J., Graphene-based materials for supercapacitor electrodes e A review, J. Materiomics, 2016, vol. 2, p. 37.
- Lee, H. and Lee, K.S., Interlayer distance controlled graphene, supercapacitor and method of producing the same, US Patent 10, 214, 422 B2, 2019.
- Yang, X., Cheng, C., Wang, Y., Qiu, L., and Li, D., Liquid-Mediated Dense Integration of Graphene Materials for Compact Capacitive Energy Storage, Science, 2013, vol. 341, p. 534.
- Liu, H., Wang, Y., Gou, X., Qi, T., Yang, J., and Ding, Y., Three-dimensional graphene/polyaniline composite material forhigh-performance supercapacitor applications, Mater. Sci. and Engineering B, 2013, vol. 178, p. 293.
- Aboutalebi, H., Chidembo, A.T., Salari, M., Konstantinov, K., Wexler, D., Liu, H.K., and Dou, S.X., Comparison of GO, GO/MWCNTs composite and MWCNTs as potential electrode materials for supercapacitors, Energy Environ. Sci., 2011, vol. 4, p. 1855.
- Zhong, M., Song, Y., Li, Y., Ma, C., Zhai, X., Shi, J., Guo, Q., and Liu, L., Effect of reduced graphene oxide on the properties of an activated carbon cloth/polyaniline flexible electrode for supercapacitor application, J. Power Sources, 2012, vol. 217, p. 6.
- Sun, D., Yan, X., Lang, J., and Xue, Q., High performance supercapacitor electrode based on graphene paper via flame-induced reduction of graphene oxide paper, J. Power Sources, 2013, vol. 222, p. 52.
- Zhou, Z. and Wu, X.F., Graphene-beaded carbon nanofibers for use in supercapacitor electrodes: Synthesis and electrochemical characterization, J. Power Sources, 2013, vol. 222, p. 410.
- Mohammadi, A., Arsalani, N., Tabrizi, A.G., Moosavifard, S.E., Naqshbandi, Z., and Ghadimi, L.S., Engineering rGO-CNT wrapped Co3S4 nanocomposites for high-performance asymmetric supercapacitors, Chem. Engineering Journal, 2018, vol. 334, p. 66.
- Smirnov, V.A., Denisov, N.N., Dremova, N.N., Volfkovich, Yu.M., Rychagov, A. Yu., Sosenkin, V.E., Belay, K.G., Gutsev, G.L., Shulga, N. Yu., and Shulga, Yu.M., A comparative analysis of graphene oxide films as proton conductors, Appl. Phys. A, 2014, vol. 117, p. 1859.
- Volfkovich, Yu. M., Lobach, A.S., Spitsyna, N.G., Baskakov, S.A., Sosenkin, V.E., Rychagov, A.Yu., Kabachkov, E.N., Sakars, A., Michtchenko, A., and Shulga, Yu.M., Hydrophilic and Hydrophobic Pores in Reduced Graphene Oxide Aerogel, J. Porous Mater. 2019, vol. 26, p. 1111.
- Evlashin, S.A., Maksimov, Y.M., Dyakonov, P.V., Pilevsky, A.A., Maslakov, K.I., Mankelevich, Y.A., Voronina, E.N., Vavilov, S.V., Pavlov, A.A., Zenova, E.V., Akhatov, I.S., and Suetin, N.V., N-Doped Carbon NanoWalls for Power Sources, Scientific Reports, 2019, vol. 9, р. 6716.
- Oren, Y., Capacitive deionization (CDI) for desalination and water treatment – past, present and future (a review), Desalination, 2008, vol. 10, p. 228.
- Nimmakayala, and Srivastava, S., Self‐discharge in supercapacitors. Part I: Conway's diagnostics. Nimmakayala, and Srivastava, S., Reviews: Energy and Environment, 2024, vol. 13, p. 515.
- Вольфкович, Ю.М, Сердюк, Т.М. Электрохимические конденсаторы. Электрохимия. 2002. Т. 38. С. 1043. [Volfkovich, Yu.M. and Serdyuk, T.M., Electrochemical capacitors, Russ. J. Electrochem, 2002, vol. 38, p. 935.]
- Fic, K., Meller, M., Menzel, J., and Frackowiak, E., Specific carbon/iodide interactions in electrochemical capacitors monitored by EQCM technique, Electrochim. Acta, 2016, vol. 206, p. 496.
- Yang, X., Fei, B., Ma, J., Liu, L., Liu, X., Yang, S., Tian, G., Jiang, Z., Yang, S., Tian, G., and Jiang, Z., Porous nanoplatelets wrapped carbon aerogels by pyrolysis of regenerated bamboo cellulose aerogels as supercapacitor electrodes, Carbohydrate Polymers, 2018, vol. 180, p. 385.
- Kowal, J., Avaroglu, E., Chamekh, F., and Šenfelds, A., Detailed analysis of the self-discharge of supercapacitors, J. Power Sources, 2011, vol. 196, p. 573.
- Kurzweil, P. and Shamonin, M., State-of-charge monitoring by impedance spectroscopy during long-term self-discharge of supercapacitors and Lithium-Ion batteries, Batteries, 2018, vol. 4, p. 35.
- Liu, K., Yu, C., Guo, W., Ni, L., Yu, J., Xie, Y., and Wang, Z., Recent research advances of self-discharge in supercapacitors: Mechanisms and suppressing strategies, J. Energy, 2021, vol. 58, p. 94.
- Tevi, T., Yaghoubi, H., Wang, J., and Takshi, A., Understanding performance limitation and suppression of leakage current or self-discharge in electrochemical capacitors: a review, J. Power Sources, 2013, vol. 241, p. 586.
- Shen, J.F., He, Y.J., and Ma, Z.F., A systematical evaluation of polynomial based equivalent circuit model for charge redistribution dominated self-discharge process in supercapacitors, J. Power Sources, 2016, vol. 303, p. 294.
- Saha, P. and Khanra, M., Equivalent circuit model of supercapacitor for self-discharge analysis. comparative study, 2016. Intern. Conf. on Signal, India. https://doi.org/10.1109/SCOPES.2016.7955667
- Brouji, H.E., Vinassa, J.M., and Briat, O., Ultracapacitors self discharge modelling using a physical description of porous electrode impedance. 2008. IEEE Vehicle Power and Propulsion Conference IEEE, Harbin, China. https://doi.org/ 10.1109/VPPC.2008.4677493
- Bamgbopa, M.O., Belaineh, D., Mengistie, D.A., Edberg, J., Engquist, I., Berggren, M., and Tybrandt, K., Modelling of heterogeneous ion transport in conducting polymer supercapacitors. J. Mater. Chem. A, 2021, vol. 9, p. 2184.
- Rizoug, N. and Bartholomeus, P., Modeling and characterizing supercapacitors using an online method, IEEE Transactions on Industrial Electronics, 2010, vol. 57, p. 3980.
- Huang, M., Wu, M., Qiu, Z., Fan, L., Lin, J., and Lin, Y., A redox‐mediator‐doped gel polymer electrolyte applied in quasi –solid -state supercapacitors, J. Appl. Polym. Sci., 2014, vol. 131, p. 39784.
- Wang, H., Zhou, Q., Yao, D., and Ma, H., Suppressing the Self‐Discharge of Supercapacitors by Modifying Separators with an Ionic Polyelectrolyte, Adv. Mater. Interfaces, 2018, vol. 5, p. 1701547.
- Ricketts, B.W. and Ton-That, C., Self-discharge of carbon-based supercapacitors with organic electrolytes, J. Power Sources, 2000, vol. 89, p. 64.
- Ceraolo, M. and Lutzemberger, G., State-of-charge evaluation of supercapacitors, J. Energy Storage, 2017, vol. 11, p. 211.
- Yang, H. and Zhang, Y., Ammonia and related chemicals as potential indirect hydrogen storage materials, J. Power Sources, 2011, vol. 196, p. 8173.
- Davis, M.A. and Andreas, H.A., Identification and isolation of carbon oxidation and charge redistribution as self-discharge mechanisms in reduced graphene oxide electrochemical capacitor, Carbon, 2018, vol. 139, p. 299.
- Oickle, A.M., Tom, J., and Andreas, H.A., Carbon oxidation and its influence on self-discharge in aqueous electrochemical capacitors, Carbon, 2016, vol. 110, p. 232.
- Okhay, O., Tkach, A., Staiti, P., and Lufrano, F., Long term durability of solid-state supercapacitor based on reduced graphene oxide aerogel and carbon nanotubes composite electrodes, Electrochim. Acta, 2020, vol. 353, p. 136540.
- Andreas, H.A., Black, J.M., and Oickle, A.A., Self-discharge in manganese oxide electrochemical capacitor electrodes in aqueous electrolytes with comparisons to faradaic and charge redistribution models, Electrochim. Acta, 2014, vol. 140, p. 116.
- Yumak, T., Bragg, D., and Sabolsky, E.M., Cost-effective synthesis of NiCo2O4@ nitrogen-doped carbon nanocomposite using waste PET plastics for high-performance supercapacitor, Appl. Surface Sci., 2019, vol. 469, p. 983.
- Rafik, F., Gualous, H., Gallay, R., and Crausaz, A., Frequency, thermal and voltage supercapacitor characterization and modeling, J. Power Sources, 2007, vol. 165, p. 928.
- Kazaryan, S.A., Litvinenko, S.V., and Kharisov, G.G., Self-discharge of heterogeneous electrochemical supercapacitor of PbO2| H2SO4| C related to manganese and titanium ions, J. Electrochem. Soc., 2008, vol. 155, p. A464.
- Xia, M., Nie, J., Zhang, Z., Lu, X., and Wang, Z.L., Facile and fast synthesis of SnO2 quantum dots for high performance solid-state asymmetric supercapacitor, J. Power Sources, 2018, vol. 47, p. 43.
- Zhang, Q., Cai, C., Qin, J., and Wei, B., Tunable self-discharge process of carbon nanotube based supercapacitors, Nano Energy, 2014, vol. 4, p. 14.
- Miniguano, H., Barrado, A., Fernández, C., Zumel, P., and Lázaro, A., A general parameter identification procedure used for the comparative study of supercapacitors models, Energies, 2019, vol. 12, p. 1.
- Subramanian, S., Johny, M.A., Neelanchery, M.M., and Ansari, S., Self-discharge and voltage recovery in graphene supercapacitors, IEEE Transactions on Power Electronics, 2018, vol. 33, p. 10410.
- Yun, J., Kim, D., Lee, G., and Ha, J.S., All-solid-state flexible micro-supercapacitor arrays with patterned graphene/MWNT electrodes, Carbon, 2014, vol. 79, p. 156.
- Satpathy, S., Dhar, M., and Bhattacharyya, B.K., Why supercapacitor follows complex time-dependent power law and does not obey normal exponential (e– t (RC)) rule? J. Energy Storage, 2020, vol. 31, p. 101606.
- Chung, J., Park, H., and Jung, C., Electropolymerizable isocyanate-based electrolytic additive to mitigate diffusion-controlled self-discharge for highly stable and capacitive activated carbon supercapacitors, Electrochim. Acta, 2021, vol. 369, p. 137698.
- Ge, K. and Liu, G., Suppression of self-discharge in solid-state supercapacitors using a zwitterionic gel electrolyte, Chem. Commun., 2019, vol. 55, p. 7167.
- Mishra, R.K., Choi, G.J., Sohn, Y., Lee, S.H., and Gwag, J.S., Reduced graphene oxide based supercapacitors: Study of self-discharge mechanisms, leakage current and stability via voltage holding tests, Mater. Letters, 2019, vol. 253, p. 250.
- Hosseini, M.G., Rasouli, H., Shahryari, E., and Naji, L., Electrochemical behavior of a Nafion‐membrane‐based solid‐state supercapacitor with a graphene oxide – multiwalled carbon nanotube – polypyrrole, J. Appl. Polym. Sci., 2017, vol. 13, p. 44926.
- Łatoszynska, A.A., Taberna, P., Simon, P., and Wieczorek, W., Plasticized polymer blend electrolyte based on chitosan for energy storage application: Structural, circuit modeling, morphological and electrochemical properties, Electrochim. Acta, 2017, vol. 242, p. 31.
- Li, J., Qiao, J., and Lian, K., Hydroxide ion conducting polymer electrolytes and their applications in solid supercapacitors: a review, Energy Storage Mater., 2020, vol. 24, p. 6.
- Liu, K., Yu, C., Guo, W., Ni, L., Yu, J., Xie, Y., and Wang, Z., Recent research advances of self-discharge in supercapacitors: Mechanisms and suppressing strategies, J. Energy Chem., 2021, vol. 58, p. 94.
- Shen, J.F., He, Y.J., and Ma, Z.F., A systematical evaluation of polynomial based equivalent circuit model for charge redistribution dominated self-discharge process in supercapacitors, J. Power Sources, 2016, vol. 303, p. 294.
- Zhongxue, L.I. and Fu, W., Diagnostic identification of self-discharge mechanisms for carbon-based supercapacitors with high energy density. IEEE2011 Asia-Pacific Power and Energy Engineering Conference (APPEEC). https://doi.org/ 10. 1109/APPEEC. 2011. 5748403
- Volfkovich, Yu.M., Rychagov, A. Yu., Mikhalin, A.A., Sosenkin, V.E., Kabachkov, E.N., Shulga, Yu.M., and Michtchenko, A., Self-discharge of a supercapacitor with electrodes based on activated carbon cloth, J. Electroanal. Chem., 2022, vol. 910, p. 116198.
- Rychagov, A. Yu., Sosenkin, V.E., Izmailova, M.Yu., Kabachkov, E. N., Shulga, Yu.M., Volfkovich, Yu.M., and Gutsev, G.L., Self-discharge processes in symmetrical supercapacitors with activated carbon electrodes, Materials, 2023, vol. 16, p. 6415. https://doi.org/10.3390/ma16196415
- Zhao, X., Wei, H., Zhao, Y., Wang, and Tang, N., Electrode materials for capacitive deionization: A review, J. Electroanal. Chem., 2020, vol. 873, p. 114416.
- Strathmann, H., Ion-Exchange Membrane Processes in Water Treatment Sustainability Scienceand Engineering, Elsevier Pabl., 2010.
- Вольфкович, Ю.М. Емкостная деионизация воды. Электрохимия. 2020. Т. 56. С. 20. [Volfkovich, Yu.M., Capacitive Deionization of Water (A Review), Russ. J. Electrochem., 2020, vol. 56, p. 18.]
- Suss, M.E., Baumann, T.F., Bourcier, W.L., Spadaccini, C.M., Rose, K.A., Santiago, J.G., and Stadermann, M., Capacitive desalination with flow-through electrodes, Energy Environ. Sci., 2012, vol. 5, p. 9511.
- Volfkovich, Yu.M., Bograchev, D.A., Mikhalin, A.A., Rychagov, A. Yu., Sosenkin, V.E., and Park, D., Capacitive deionization of aqueous solutions. modeling and experiments, Desalination and water treatment, 2017, vol. 69, p. 130.
- Volfkovich, Yu.M., Bograchev, D.A., Mikhalin, A.A., Rychagov, A. Yu., Sosenkin, V.E., Milyutin, V.V., and Park, D., Electrodes Based on Carbon Nanomaterials: Structure, Properties and Application to Capacitive Deionization in Static Cells. Cahapter 9. Nano-Optics, Nanophotonics, Nanomaterials, and Their Applications. Edited by Olena Fesenko and Leonid Fesenko. Shpringer publ, 2018, p. 127.
- Rica, R.A., Ziano, R., Salerno, D., Mantegazza, F., and Brogioli, D., Thermodynamic Relation between Voltage-Concentration Dependence and Salt Adsorption in Electrochemical Cells, Phys. Rev. Lett., 2012, vol. 109, p. 156103.
- Evlashin, S.A., Maksimov, Y.M., Dyakonov, P.V., Pilevsky, A.A., Maslakov, K.I., Mankelevich, Y.A., Voronina, E.N., Vavilov, S.V., Pavlov, A.A., Zenova, E.V., Akhatov, I.S., and Suetin, N.V., N-Doped Carbon NanoWalls for Power Sources, Scientific Reports, 2019, vol. 9, р. 6716.
- Porada, S., Zhao, R., Van Der Wal, A., Presser, V., and Biesheuvel, P.M., Review on the science and technology of water desalination by capacitive deionization, Prog. Mater. Sci., 2013, vol. 58, p. 1388.
- Jia, B. and Zhang, W., Preparation and application of electrodes in capacitive deionization (CDI): a state-of-art review, Nanoscale res. lett., 2016, vol. 11, p. 64.
- Oladunni, J., Zain, J.H., Hai, A., Banat, F., and Bharath, G., A comprehensive review on recently developed carbon based nanocomposites for capacitive deionization: from theory to practice, Separation and Purification Technol., 2018, vol. 22, p. 291.
- Andelman, M., Flow Through Capacitor basics, Separation and Purification Technol., 2011, vol. 80, p. 262.
- Biesheuvel, P.M., Bazant, M.Z., Cusick, R.D., Hatton, T.A., Hatzell, K.B., Hatzell, M.C., Liang, P., Lin, S., Porada, S., Santiago, J.G., Smith, K.C., Stadermann, M., Su, X., Sun, X., Waite, T.D., van der Wal, A., Yoon, J., Zhao, R., Zou, L., and Suss, M.E., Capacitive Deionization–defining a class of desalination technologies, Appl. Phys., 2017, vol. 16, p. 134.
- Вольфкович, Ю.М., Михалин, А.А., Рычагов, А.Ю. Измерение поверхностной проводимости пористых углеродных электродов. Электрохимия. 2013. Т. 49. С. 667. [Volfkovich, Yu.M., Mikhalin, A.A., and Rychagov, A. Yu., Surface Conductivity Measurements for Porous Carbon Electrodes, Russ. J. Electrochem., 2013, vol. 49, p. 594.]
- Volfkovich, Yu.M., Kononenko, N.A., Mikhalin, A.A., Kardash, M.M., Rychagov, A. Yu., Tsipliaev, S.V., Shkirskaya, S.A., and Sosenkin, V.E., Capacitive deionization of water involving mosaic membranes based on fibrous polymer matrices, Desalination and water treatment, 2020, vol. 182, p. 77.
- Volfkovich, Yu.M., Mikhalin, A.A., Rychagov, A. Yu., and Kardash, M.M., Capacitive Deionization of Water with Electrodes Based on Nanoporous Activated Carbon and a Mosaic Cation-Anion Exchange Membrane, Protection Metals and Phys. Chem. Surfaces, 2021, vol. 57, p. 68.
Supplementary files




























