Analysis of the electrochemical impedance spectra and the structure of the solid electrolyte interphase on electrodeposited metallic lithium using the distribution of relaxation times method
- Authors: Alpatov S.S.1, Vasiliev F.A.1, Aleshina V.K.2, Vagramyan T.A.2, Semenikhin O.A.1
-
Affiliations:
- Lomonosov Moscow State University M. V. Lomonosov, Faculty of Chemistry
- Russian University of Chemical Technology DI. Mendeleev
- Issue: Vol 60, No 5 (2024)
- Pages: 361-372
- Section: Articles
- URL: https://journals.rcsi.science/0424-8570/article/view/268080
- DOI: https://doi.org/10.31857/S0424857024050041
- EDN: https://elibrary.ru/qnpwor
- ID: 268080
Cite item
Full Text
Abstract
The goal of this work was to confirm our earlier conclusion that the regularities observed during the electrodeposition of metallic lithium on copper and lithium electrodes can be associated with differences in the properties of the so-called solid electrolyte interphase (SEI), which is formed on these electrodes in contact with the electrolyte. To do this, we analyzed the electrochemical impedance spectra measured during the above processes by the method of distribution of relaxation times (DRT). It was shown that the addition of surfactants to the electrolyte such as cetyltrimethylammonium bromide and hexadecylpyridinium bromide lead to a significant change in the properties of the SEI layers and a noticeable increase in the values of the impedance components associated with the Faradaic processes on these electrodes, which indicates inhibition of the lithium electrodeposition processes and the related process of dendrite formation under these conditions. At the same time, no such impedance components were observed on the freshly formed deposit, which confirms our earlier conclusion that the effects of surfactants on dendrite formation are associated with the changes in the properties of SEI layers in the presence of surfactants rather than the surfactants adsorbing on lithium and blocking the dendrite growth.
Full Text
ВВЕДЕНИЕ
В нашей предыдущей работе [1] мы исследовали методами транзиентов тока и электрохимической импедансной спектроскопии процессы, протекающие на медном и литиевом электродах в процессе электроосаждения лития из неводных электролитов, аналогичных используемым в коммерческих литий–ионных аккумуляторах. В частности, мы пришли к выводу, что наблюдаемые при введении в состав электролита добавок некоторых поверхностно–активных веществ закономерности можно связать с различиями в свойствах так называемого слоя SEI (solid electrolyte interphase, твердоэлектролитная интерфаза), который образуется на этих электродах в контакте с электролитом. Однако этот вывод был сделан на основе качественных изменений спектров электрохимического импеданса без их детального анализа. В этой статье мы дополняем сделанные нами выводы и приводим результаты анализа спектров электрохимического импеданса, полученных на медном и литиевом электродах, а также на осадках металлического лития, полученных на этих электродах, с использованием метода распределения времен релаксации, distribution of relaxation times (DRT).
Спектроскопия электрохимического импеданса является мощным инструментом исследования строения межфазных границ и кинетики электрохимических процессов в самых разнообразных системах. Однако зачастую возможности метода используются не в полной мере из–за затруднений с анализом получаемых экспериментальных данных. Метод электрохимического импеданса является интегральным методом, то есть, получаемый в его рамках отклик системы представляет собой сумму откликов ее индивидуальных компонентов по всему частотному спектру. В то же время целью анализа, как правило, является именно нахождение откликов отдельных компонентов системы на внешнее воздействие, то есть, необходимо решать задачу реконструкции составляющих сигнала из интегральной кривой.
Такая задача более–менее успешно решается, если указанные составляющие, их число, а также их параметры могут быть оценены из независимых данных. Тогда применяется следующая процедура. Выбирается эквивалентная схема, или схема замещения, элементы которой соответствуют известным или предполагаемым компонентам системы. Далее с помощью методов нелинейной многомерной оптимизации (также известной под англоязычным термином фитинг) осуществляется подгонка параметров этих элементов с целью получения наилучшего соответствия (наименьшей суммы среднеквадратичных отклонений) экспериментальных данных и интегральной кривой, рассчитанной в соответствии с выбранной эквивалентной схемой. Если удовлетворительной подгонки достигнуть не удается, выбирают другую эквивалентную схему, и весь процесс повторяется.
Подобная процедура работает, если нам с достаточной степенью точности известна эквивалентная схема. Однако, это резко сужает рамки использования метода. Если же нам необходимо использовать электрохимическую импедансную спектроскопию для анализа поведения системы, эквивалентная схема для которой точно не известна, и мы хотим ее определить или как минимум уточнить на основе тех же самых импедансных данных, а именно такова ситуация на практике в огромном большинстве случаев, то мы сталкиваемся с существенными ограничениями.
Первое, поскольку подгоняемая кривая является интегральной, она недостаточно чувствительна к варьированию вкладов ее составляющих. Эту ситуацию также называют некорректно поставленной задачей (ill–defined problem). В результате один и тот же интегральный отклик может удовлетворительно описываться несколькими значительно различающимися эквивалентными схемами. Соответственно, однозначно судить о системе на основании импедансных измерений с помощью такой процедуры не удается. Второе ограничение связано с природой изучаемых систем, которые в большом числе случаев представляют системы с распределенными параметрами, частотные отклики которых в значительной степени перекрываются. Соответственно, зачастую наилучшей эквивалентной схемой будет являться схема, включающая один или несколько так называемых элементов постоянной фазы, появление которых и отвечает отклику систем с распределенными параметрами. Однако физический смысл таких элементов, которые сами являются интегральными по своей сути, а также их параметров, как правило, остаются недоступными для удовлетворительной интерпретации с точки зрения их соответствия протекающим в системе конкретным процессам. В результате импедансные измерения в значительной степени обесцениваются, поскольку физический смысл определяемых из них параметров остается не раскрытым.
Таким образом, для значительного числа практических систем метод эквивалентных схем не подходит, и желательно иметь альтернативную процедуру анализа импедансных данных, которая позволила бы однозначно и независимо, без подключения априорной информации, определять как минимум количество (и тип, если возможно) имеющихся в системе элементов, дающих наблюдаемый интегральный отклик. Как уже отмечалось, указанная проблема представляет собой некорректно поставленную задачу, решение которой обычной подгонкой не представляется возможным. Однако в литературе был разработан ряд подходов для решения некорректно поставленных задач с помощью так называемой регуляризации, в частности, регуляризации Тихонова [2]. Суть метода регуляризации состоит в том, что плохо определенный локальный минимум среднеквадратичного отклонения амплифицируется с использованием специально задаваемого параметра регуляризации, значение которого далее оптимизируется после решения проблемы оптимизации основной задачи. Использование метода регуляризации позволяет однозначно определять число компонентов определенного типа, дающих данный интегральный отклик. В частности, можно отметить метод распределения времен релаксации (distribution of relaxation times, DRT), развиваемый работающим в Гонконге итальянским исследователем Ф. Сиуччи (F Ciucci) [3–5].
В рамках этого метода отклик системы представляется в виде суммы так называемых элементов Фойгта (Voigt elements), представляющих собой параллельно соединенные резистор и конденсатор и обладающих временами релаксации τ = RC, а также величины R∞, соответствующей мгновенному отклику системы (τ = 0). При этом указанные времена релаксации распределены некоторым образом по временному диапазону. Метод распределения времен релаксации использует регуляризацию Тихонова для нахождения вида распределения по временному диапазону в логарифмическом масштабе, γ(lnτ), где γ – интенсивность элемента распределения с характерным временем τ [3–5]. При этом ищется такой вид распределения, при котором достигается минимум среднеквадратичного отклонения от экспериментально измеренных значений действительной и мнимой частей импеданса системы при частоте f следующей функции [4]:
(1)
Далее ищется вид функции распределения γ(lnτ), соответствующий минимуму среднеквадратичного отклонения по всем экспериментальным точкам. Необходимо еще раз подчеркнуть, что эта задача представляет собой некорректно поставленную проблему, и такой минимум должен находиться с помощью регуляризации Тихонова или другого схожего метода. С практической точки зрения, указанный подход позволяет вычленить из интегрального отклика системы компоненты, доминирующие в определенном диапазоне времен/частот посредством нахождения зависимости функции распределения γ(lnτ) от частоты/времени. Метод позволяет определить число таких компонент (пиков функции распределения) и их относительные интенсивности.
В принципе, на основе данной информации можно предлагать более обоснованные эквивалентные схемы и продолжать анализ экспериментальных данных методом эквивалентных схем, однако даже без такого анализа вид распределения времен релаксации позволяет делать ценные заключения об электрохимической системе и протекающих в ней процессах. Например, его можно использовать для сравнения систем между собой, их эволюции в определенных условиях и пр. Часто представляет значительный интерес сам факт наличия определенных процессов в данном диапазоне времен релаксации. Например, в электрохимических системах, как правило, процессы при высокой частоте включают в себя заряжение двойного электрического слоя, а при низкой – диффузионный импеданс и фарадеевское сопротивление стадии переноса заряда. Среднечастотная область может включать в себя, например, транспорт частиц в ионных проводниках. Также общий вид кривых распределения можно использовать в качестве “отпечатков пальцев”, как это делается, например, в случае ИК–спектров сложных систем. Важным достоинством метода является тот факт, что в лаборатории Ф. Сиуччи был разработан программный код [6] для имплементации метода распределения времен релаксации на основе программной среды Matlab. Этот код является открытым и доступным для всех исследователей.
В настоящей работе мы использовали метод распределения времен релаксации для анализа спектров электрохимического импеданса, полученных в ходе исследования процессов электроосаждения металлического лития на медный и литиевый электроды. Данное исследование проводилось с целью определения влияния добавок некоторых поверхностно–активных веществ на процессы дендритообразования в таких системах. Само исследование с помощью электрохимических методов было описано в нашей предыдущей статье [1]; здесь мы сосредоточимся на дополнительном анализе импедансных данных с целью подтверждения сделанных в работе [1] выводов. В частности, мы подтвердили сделанный нами вывод, что наблюдаемые при электроосаждении металлического лития на медных и литиевых электродах закономерности можно связать с различиями в свойствах так называемого слоя SEI (solid electrolyte interphase, твердоэлектролитная интерфаза), которые образуются на этих электродах в контакте с электролитом.
ЭКСПЕРИМЕНТАЛЬНАЯ ЧАСТЬ
Электроды
Исследования проводились на электродах из металлической меди и металлического лития. Электроды изготавливали из меди (лист марки M1, 99.9%Cu) и металлического лития (лента толщиной 1.5 мм, 99.9% Li, Sigma–Aldrich). В перчаточном боксе в инертной атмосфере с помощью вальцов литиевую ленту раскатывали в тонкую фольгу, затем вырубали диски диметром 16 мм. Поверхность лития очищали механически. Медные диски вырубали диаметром 16 мм, поверхность травили в 20%–ной натриевой щелочи в течение 20 мин. После диски были промыты три раза бидистиллированной водой, высушены в сушильном шкафу при t = 60°C в течение 30 мин и внесены в перчаточный бокс. Для того чтобы удалить следы оксидов меди, которые могли присутствовать на поверхности электрода после его обработки на воздухе, перед началом измерений медные электроды потенциостатировались при потенциале +0.2 В относительно литиевого электрода в течение 24 ч.
Ячейки
Использовались стандартные двухэлектродные ячейки типа “coin cell” с сепараторами из стекловолокна толщиной 0.5 мм. В качестве рабочего электрода использовались диски из меди или из лития, описанные выше. В качестве противоэлектрода использовались диски из металлического лития диаметром 16 мм. В качестве электролита использовался стандартный электролит производства компании Riol Chemie, состоящий из 1М раствора LiPF₆ в 1 : 1 смеси EC : DEC, как без добавления, так и с добавлением ПАВ. Объем электролита в ячейке составлял 0.125 мл. Ячейки собирались в перчаточном боксе MBraun Unilab в атмосфере аргона.
ПАВ
В качестве поверхностно–активных добавок использовались следующие вещества: бромид цетилтриметиламмония (C₁₆Me₃Br) ⩾ 98% и бромид гексадецилпиридиния (C₁₆PyBr) ⩾ 97.0%. Вещества были поставлены компанией Sigma–Aldrich и использовались без дополнительной очистки. Растворы электролита готовились добавлением к 1 мл стандартного электролита 5.4 мг C₁₆Me₃Br и 3.5 мг C₁₆PyBr.
Электрохимические измерения
Электрохимические измерения проводились в двухэлектродной конфигурации с использованием потенциостата/гальваностата Biologic VMP–3 с пакетом программного обеспечения EC–Lab. Электродные потенциалы измерялись и везде приводятся относительно литиевого противоэлектрода. Спектры импеданса снимались в диапазоне частот от 200 кГц до 100 мГц с использованием модуляции потенциала амплитудой 5 мВ. Импеданс измерялся при потенциале разомкнутой цепи, который устанавливался на электроде после соответствующего эксперимента и выдержке при разомкнутой цепи в течение 5 мин. Измерения проводились как на медном и литиевом электродах без какого–либо осадка, так и после электроосаждения металлического лития на этих электродах при различных потенциалах. Более детально процедура электроосаждения металлического лития и измерения импедансных и электрохимических данных описана в нашей предыдущей статье [1].
Обработка спектров электрохимического импеданса
Анализ спектров электрохимического импеданса методом распределения времен релаксации осуществлялся с использованием программы DRTtools [6], разработанной в лаборатории Ф. Сиуччи. Программа была написана для среды Matlab и имела открытый исходный код. Использовалась версия программы от 9.12.2021. Использовались следующие значения основных параметров: метод дискретизации – гауссовский; вид данных – комбинированный, действительная и мнимая части, без использования индуктивных параметров; тип производной для регуляризации – второй порядок; параметр регуляризации – как правило, 5 × 10–4; контроль формы пика – полуширина.
РЕЗУЛЬТАТЫ И ОБСУЖДЕНИЕ
Сравнение результатов анализа с использованием метода распределения времен релаксации и метода эквивалентных схем
Мы начнем со сравнения результатов анализа импедансных спектров методом распределения времен релаксации с результатами анализа, проведенного традиционным методом эквивалентных схем. На рис. 1а приведены типичные спектры электрохимического импеданса, измеренные на осадке из металлического лития, электроосажденного из базового электролита без добавления поверхностно–активных веществ (ПАВ) (кривая 2) и из базового электролита в присутствии одного из использованных ПАВ, бромида гексадецилпиридиния (кривая 1). На первый взгляд годографы импеданса имеют схожую форму и могут быть описаны одной и той же эквивалентной схемой, также приведенной на рис. 1а. Указанная эквивалентная схема является типичной для фарадеевских процессов, осложненных массопереносом, и представляет собой модифицированную схему Эршлера–Рэндлса со слегка измененным смыслом основных параметров.
Параметры R1 и C1 традиционны и имеют смысл высокочастотного (омического) сопротивления, отвечающего за мгновенный отклик системы, и емкости двойного электрического слоя на электроде, который при этом покрыт слоем твердоэлектролитной интерфазы (SEI). Параметр R2 здесь будет также иметь традиционный смысл фарадеевского сопротивления стадии переноса заряда, а параметры Q3 и R3 – некоего комплексного импеданса Q3 ионного транспорта через слой SEI вида
(2)
где f – частота модуляции потенциала, шунтированного омическим (низкочастотным) сопротивлением R3 указанного слоя SEI, поскольку из годографов видно, что электроды не являются блокирующими (в пределе низких частот мнимая составляющая импеданса стремится к нулю). Последний факт говорит о том, что слой SEI является проводящим (имеет ионную проводимость, как известно из литературы [7, 8]) и в системе реализуется относительно быстрый обмен ионами лития между раствором электролита и металлическим литиевым осадком. Следует еще раз подчеркнуть, что указанные годографы были измерены не непосредственно в процессе электроосаждения, а после него, на электроосажденном осадке, после выдержки при потенциале разомкнутой цепи в течение 5 мин.
Значения указанных параметров, определенных традиционным методом фитинга, реализованным в программном пакете EC–Lab (метод симплексной многомерной оптимизации), приведены в табл. 1.
Таблица 1. Значения параметров эквивалентной схемы, определенных традиционным методом фитинга для годографов импеданса рис. 1а
Параметр | Значения | |
годограф 1 | годограф 2 | |
R1, Ом | 7.97 | 5.26 |
С1, мкФ | 0.55 | 0.42 |
R2, Ом | 8.85 | 8.81 |
A3, мкФ · C(α3 – 1) | 28.0 | 7.18 |
α3 | 0.818 | 0.991 |
R3, Ом | 47.4 | 22.9 |
Соответственно, используя традиционный анализ методом эквивалентных схем, можно сделать следующие выводы:
- Оба процесса удовлетворительно описываются одной и той же эквивалентной схемой и, следовательно, имеют схожие механизмы.
- Добавление ПАВ не приводит к существенному изменению механизма процесса, а только к изменению параметров слоя SEI Q3 и R3. В частности, сопротивление переноса заряда R2 практически не изменяется.
- С добавлением ПАВ ионное сопротивление слоя SEI R3 растет. Также изменяются параметры комплексного импеданса ионного транспорта через слой SEI Q3, однако смысл этих изменений остается недостаточно ясным, поскольку недостаточно ясен физический смысл этого параметра эквивалентной схемы вообще.
- Обращает на себя внимание то, что значения емкости двойного электрического слоя практически не изменяются с добавлением ПАВ. Это должно быть связано с наличием на поверхности металлического электрода слоя SEI, который образуется в обоих случаях как с ПАВ, так и без ПАВ, и представляет собой некоторую органическую пленку с относительно низкой диэлектрической проницаемостью, состоящую из продуктов реакции компонентов раствора электролита с металлическим электродом [7, 8]. Полученные значения ~0.4 – ~0.5 мкФ грубо соответствуют емкости двойного электрического слоя металлических электродов в органических электролитах, покрытых полимерными слоями [9–12]. Так, значение емкости, вычисленное по формуле плоского конденсатора для электрода, покрытого пленкой толщиной 20 нм с относительной диэлектрической постоянной, равной 10, будет составлять 0.44 мкФ/см2.
Рис. 1. (а) Типичные годографы электрохимического импеданса, измеренные на электроосажденном металлическом литии, осаждение которого было проведено (кривая 1) в базовом электролите с добавлением бромида гексадецилпиридиния и (кривая 2) в базовом электролите без добавления ПАВ. Измерения проводились при потенциале разомкнутой цепи в тех же электролитах, что и электроосаждение. Условия электроосаждения: (1) литиевый электрод, потенциал –0.07 В; (2) медный электрод, потенциал –0.055 В. Линии представляют собой результаты расчета по модели, полученной методом распределения времен релаксации. На врезке показана эквивалентая схема, использованная при анализе методом эквивалентных схем. (б) Распределение времен релаксации, полученное анализом годографов рис. 1а. Осаждение было проведено (1) в базовом электролите с добавлением бромида гексадецилпиридиния и (2) в базовом электролите без добавления ПАВ. (в) Частотные зависимости действительной (1', 2') и мнимой (1", 2") компонент импеданса зависимостей рис. 1а. Линии представляют собой результаты расчета по модели, полученной методом распределения времен релаксации.
Посмотрим теперь на результаты анализа тех же данных рис. 1а методом распределения времен релаксации. Соответствующие кривые распределения приведены на рис. 1б. Они имеют вид ряда пиков различной интенсивности и ширины, имеющих максимумы при определенных значениях времени релаксации τ. Такой вид следует из выбранного метода дискретизации функции распределения по гауссовским радиальным функциям [3–5]. Каждый из пиков кривых распределения рис. 1б соответствует имеющемуся в системе процессу с определенным характерным временем. Интенсивность пика отвечает относительному вкладу данного процесса в общий импеданс системы.
Таким образом, анализ методом распределения времен релаксации, в отличие от метода эквивалентных схем, позволяет независимо и объективно оценивать количество протекающих в системе процессов и сравнивать их интенсивности. Показательно также, что среднечастотный пик, отвечающий импедансу слоя SEI, имеет большую ширину и дополнительные сателлитные пики в случае системы с добавлением ПАВ. Это, по–видимому, коррелирует с более низким значением параметра α3, полученного методом анализа эквивалентных схем, что соответствует более широкому распределению параметров, описываемых элементом постоянной фазы.
Анализируя кривые распределения рис. 1б, можно заключить, что выводы, сделанные на основании анализа методом эквивалентных схем, были не совсем верны. Так, в системе без добавления ПАВ видны только два основных процесса, соответствующие, судя по их характерным значениям времен/частот, заряжению двойного электрического слоя и ионному транспорту через слой SEI. Эти процессы также присутствуют на эквивалентной схеме рис. 1а, но вклад третьего процесса, соответствующего фарадеевской стадии разряда–ионизации ионов лития, на спектре распределения времен релаксации отсутствует. В то же время соответствующие пики при временах около 0.01 и 10 с ясно видны на кривой распределения, измеренной в присутствии ПАВ. Скорее всего, эти пики просто не промеряются в системе без добавления ПАВ, поскольку там фактически реализуется быстрое равновесие между осадком из металлического лития (имеющим свежую непассивированную поверхность) и ионами лития в растворе электролита. Добавление ПАВ снижает скорость обмена ионами лития и делает заметным присутствие соответствующих процессов на кривой распределения времен релаксации.
Следует подчеркнуть, что анализ методом эквивалентных схем не давал нам оснований говорить о таком изменении механизма процесса. Мы видели, что и те, и другие данные хорошо описывались одной и той же эквивалентной схемой, а параметры, хоть и отличались, но не в такой значительной степени. Более того, с учетом неизбежного разброса экспериментальных точек, измеренные данные не давали нам никакого обоснования для добавления/исключения элементов использованной эквивалентной схемы. Без проведения анализа методом распределения времен релаксации, мы бы так и оставались в неведении относительно отмеченного выше ключевого эффекта ПАВ на кинетику процесса разряда–ионизации ионов лития на поверхности электрода.
Также является важным то, что анализ методом распределения времен релаксации дает хорошее согласие между экспериментальными данными и рассчитанными по модели значениями. Это проиллюстрировано на рис. 1в, где приведены частотные зависимости действительной и мнимой частей импеданса кривых рис. 1а наряду с зависимостями, рассчитанными из кривых распределения рис. 1б. Видно, что метод распределения времен релаксации хорошо описывает экспериментальные данные в обоих случаях, несмотря на заметную зашумленность импедансных данных в области низких и средних частот. Также из рисунка видно, что общий вид частотных зависимостей для данных, полученных в отсутствии и в присутствии ПАВ, весьма схож, и на основании только частотных зависимостей, без использования метода распределения времен релаксации, мы не смогли бы увидеть принципиальное различие между интенсивностями протекающих процессов.
Влияние добавок ПАВ на характер распределения времен релаксации
Таким образом, с использованием метода распределения времен релаксации мы увидели, что добавление ПАВ в раствор электролита оказывает заметное влияние на интенсивности протекающих в системе процессов, как показывает метод распределения времен релаксации. В этом разделе мы проанализируем такие закономерности на примере осадков металлического лития, полученных на медном и литиевом электродах как в базовом электролите без добавления ПАВ, так и в присутствии двух катионных ПАВ.
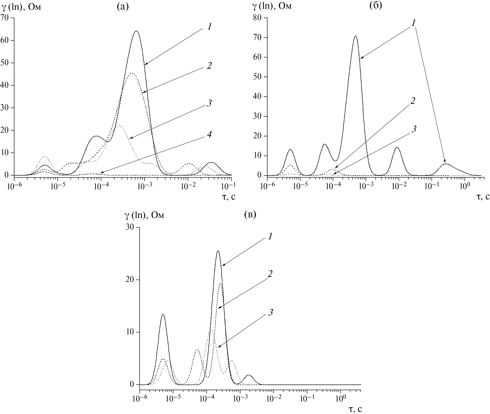
Рис. 2. Спектры времен релаксации, полученные обработкой импедансных данных для осадков металлического лития, электроосажденных на (а) медный и (б) литиевый электроды в присутствии бромида гексадецилпиридиния (кривые 1) и бромида цетилтриметиламмония (кривые 2), а также в базовом электролите в отсутствии ПАВ (кривые 3).
На рис. 2 представлены спектры времен релаксации, полученные обработкой импедансных данных для осадков металлического лития, электроосажденных на медный и литиевый электроды. Зависимости для медного электрода представлены на рис. 2а, а для литиевого – на рис. 2б. Электроосаждение проводилось в присутствии двух поверхностно–активных веществ, бромида гексадецилпиридиния (кривые 1) и бромида цетилтриметиламмония (кривые 2), а также в базовом электролите в отсутствии ПАВ (кривые 3). Видно, что, как и в случае, рассмотренном выше, добавление ПАВ приводит к появлению низкочастотных компонент для осадков лития, полученных как на медном, так и на литиевом электродах, что говорит о торможении в присутствии ПАВ процессов разряда–ионизации ионов лития. При этом такое торможение более выражено в случае добавления бромида гексадецилпиридиния по сравнению с добавлением бромида цетилтриметиламмония. Также видно, что положение низкочастотных пиков различается для этих двух ПАВ.
Причина такого поведения пока не совсем ясна и может быть связана с различными кинетическими параметрами этих процессов, приводящими к различиям в их постоянных времени. Также видны различия между литиевым и медным электродами в наиболее низкочастотной области, при самых больших временах. Возможно, они связаны с различным строением слоев SEI на этих электродах (см. ниже). Кривые, полученные без ПАВ, таких процессов не демонстрировали вообще, что, как уже было отмечено, говорит о высокой скорости обмена ионами лития в таких условиях.
Таким образом, результаты, полученные из спектров электрохимического импеданса и спектров распределения времен релаксации, можно суммировать следующим образом:
Однозначной зависимости высоты пика в этой области от условий эксперимента выявить не удается. Это, вероятно, связано с тем, что поверхность такого активного металла, как литий, не всегда хорошо воспроизводима. Однако следует отметить, что положение этой компоненты хорошо воспроизводится во всех случаях.
Влияние добавок ПАВ и материала электрода на свойства твердоэлектролитной интерфазы (слоев SEI)
Анализ спектров времен релаксации в среднечастотной области 2 позволяет судить о свойствах твердоэлектролитной интерфазы/слоев SEI, образованных в соответствующих условиях. На рис. 3 выделены участки спектров времен релаксации, соответствующие этой области. При этом приведены как спектры, полученные из импедансных данных после электроосаждения металлического лития на медном и на литиевом электродах, так и спектры, измеренные на соответствующих электродах до начала экспериментов по электроосаждению, то есть, на оригинальной поверхности меди и лития, покрытых слоями SEI. Рассматривались слои SEI, полученные в базовом электролите без добавления ПАВ (рис. 3а) и в электролите при добавлении бромида гексадецилпиридиния (рис. 3б). Детальный анализ процессов, отвечающий тем или иным пикам, в этой работе не проводится; анализируется общий вид спектров распределения в этой области (метод “отпечатков пальцев”).
Рис. 3. Спектры времен релаксации в среднечастотной области, соответствующей импедансу твердоэлектролитной интерфазы/слоев SEI, полученные (а) в базовом электролите без добавления ПАВ и (б) в электролите при добавлении бромида гексадецилпиридиния. (1, 3) Спектры (1) литиевого и (3) медного электрода до электроосаждения; (2, 4) спектры осадков металлического лития, электроосажденных на (2) литиевый и (4) медный электроды.
Видно, что в электролите без добавления ПАВ спектры слоев SEI, образованных на медном и на литиевом электродах, существенно различаются. Спектры слоев SEI на литиевом электроде (кривые 1 и 2) имеют один хорошо выраженный пик в области около 10–4 с, в то время как на медном электроде имеются два пика, один менее интенсивный – в той же области времен, и другой более интенсивный – с максимумом около 4 × 103 с. Причем, что было достаточно неожиданно, спектры слоев SEI, измеренные на медном электроде до осаждения лития имели тот же вид, что и спектры слоев SEI, полученные на медном электроде после электроосаждения металлического лития, т. е. на поверхности совершенно другого металла. При этом спектры такого же литиевого осадка, но осажденного на литиевый электрод, отличались и соответствовали спектрам, полученным на том же литиевом электроде до электроосаждения металлического лития. Это говорит о следующем:
В то же время в присутствии ПАВ различия между свойствами слоев SEI, образованных на медном и литиевом электродах, в значительной степени стираются (рис. 3б) и спектры слоев SEI, образованных в этих условиях, напоминают свойства слоев SEI, образованных на медном электроде.
Соответственно, из материалов данного раздела можно сделать следующие заключения: слой SEI формируется не на свежеобразованном осадке, а на поверхности электрода до начала электроосаждения и сохраняется на этом электроде в ходе электроосаждения. При этом его свойства будут изменяться с введением ПАВ в состав раствора. Без введения ПАВ компоненты раствора по–разному взаимодействуют с материалом электрода (по крайней мере, для таких материалов, как медь и литий). В присутствии ПАВ это различие стирается. Электроосаждение протекает под слоем SEI.
Адсорбция компонентов электролита при электроосаждении лития и подавление дендритообразования
В нашей предыдущей работе [1] мы отмечали, что добавки ПАВ, против ожидания, не были способны подавить процессы дендритообразования при осаждении лития при достаточно больших отрицательных потенциалах. Анализ спектров импеданса методом распределения времен релаксации позволяет пролить свет на причины такого поведения. На рис. 4 приведена эволюция спектров времен релаксации, полученных при осаждении лития на литиевом электроде в присутствии двух ПАВ. Видно (рис. 4а, 4б), что при повышении потенциала в отрицательную сторону наблюдается снижение пиков спектров времен релаксации в области, соответствующей импедансу слоя SEI (10⁻⁴ – 10⁻³ с), что необходимо связать, по всей видимости, с ростом осадка внутри слоя SEI и соответствующего уменьшения толщины слоя SEI над осадком. Интересно, что при этом пики, соответствующие собственно фарадеевскому процессу (область времен 0.01–0.1 с), изменялись мало. В то же время, при дальнейшем увеличении отрицательного потенциала наблюдалось резкое снижение всех пиков, сопровождаемое качественным изменением спектров времен релаксации. В частности, импеданс слоя SEI становился практически ненаблюдаемым. Более того, пропадают также пики фарадеевских процессов, которые ранее наблюдались в присутствии ПАВ (рис. 2).
Такое поведение необходимо связать с прорастанием осадка сквозь слой SEI с выходом осадка на его поверхность. При этом значительно возрастает риск дендритообразования, о котором свидетельствует резкое увеличение тока, наблюдаемое в этих условиях в присутствии обоих использованных ПАВ (см. статью [1]). При протекании дендритообразования не только резко снижается импеданс, соответствующий сопротивлению слоя SEI, но и полностью исчезают пики в низкочастотной области, соответствующие замедленному протеканию фарадеевского процесса осаждения–растворения лития. Это, в частности, говорит о том, что добавки ПАВ сами по себе не способны тормозить этот процесс, например за счет адсорбции на растущем осадке. Также очевидно, как уже отмечалось, что образования развитых слоев SEI на свежеосажденном металлическом литии не происходит, поскольку образование полностью сформированных слоев SEI занимает довольно значительное время [7, 8].
О том же говорит и отмеченное выше отсутствие зависимости емкости двойного электрического слоя при добавлении ПАВ. ПАВ не адсорборуются на электроде из металлического лития, и, соответственно, емкость не изменяется. В то же время на спектрах времен релаксации рис. 4 ясно видно снижение высоты наиболее высокочастотного пика, говорящее о повышении емкости в этой области (импеданс обратно пропорционален емкости) при прорастании осадка сквозь слой SEI, что опять–таки говорит об отсутствии адсорбции ПАВ на свежеобразованном осадке.
Соответственно, наблюдаемое влияние ПАВ необходимо связать не с их адсорбцией на литиевом осадке, а с изменением свойств уже существующих слоев SEI, образованных до проведения процессов электроосаждения металлического лития. В начале процесса электроосаждения или в течение всего времени осаждения, в том случае, когда образованный слой SEI достаточно прочен, осаждение металлического лития происходит под слоем SEI, который оказывает влияние на кинетику электроосаждения, тормозя ее и препятствуя дендритообразованию. Если же осадок выходит на поверхность слоя SEI, такое торможение исчезает, и наблюдается дендритообразование.
Рис. 4. Эволюция спектров времен релаксации, полученных обработкой импедансных данных для лития, электроосажденного при различных потенциалах на подложку из (а, б) лития и (в) меди. Электролит (а) с добавкой бромида цетилтриметиламмония; (б) с добавкой бромида гексадецилпиридиния; (в) без добавок ПАВ. Потенциалы: (а) 1 – –0.03 В, 2 – –0.035 В, 3 – –0.05 В, 4 – –0.06 В; (б) 1 – –0.065 В, 2 – –0.07 В, 3 – –0.08 В; (в) 1 – –0.03 В, 2 – –0.04 В, 3 – –0.055 В. Импедансы измерены при потенциале разомкнутой цепи после электроосаждения лития.
При этом вероятность возникновения дендритообразования будет связана со свойствами слоя SEI, образующегося на электроде в данных условиях. Как следует из данных рис. 3, такие свойства отличаются для слоев SEI, сформированных на медном и на литиевом электродах. Более того, спектры времен релаксации показывают, что при последующем осаждении металлического лития на медный электрод свойства слоя SEI, характерные для медного электрода, сохраняются и на получаемом осадке из металлического лития. Именно с этим может быть связан отмеченный нами в нашей предыдущей работе [1] факт, что добавлением ПАВ удается исключить образование дендритов на медном электроде, в то время как на литиевом электроде это удалось сделать только при сравнительно низких перенапряжениях; при росте потенциала в отрицательную сторону сохраняется способность пробоя слоя SEI растущим осадком с последующим образованием дендритов. Действительно, на рис. 4в, где приведена зависимость спектров времен релаксации от потенциала, измеренная для электроосаждения лития на медном электроде, наблюдается только изменение импеданса слоев SEI при росте осадка; пробоя слоя SEI и связанного с этим исчезновения соответствующих компонент на спектре времен релаксации не отмечается.
ЗАКЛЮЧЕНИЕ
Таким образом, можно заключить, что проведенный в этой работе анализ с использованием метода распределения времен релаксации спектров электрохимического импеданса, полученных в процессе электроосаждения металлического лития в присутствии двух поверхностно–активных веществ, подтверждает сделанные нами ранее выводы, что (1) данные ПАВ не способны эффективно подавлять процессы дендритообразования в процессе электроосаждения лития за счет адсорбции на поверхности растущего осадка, и (2) наблюдаемое влияние этих ПАВ необходимо связать с их влиянием на свойства слоев SEI, образующихся на электроде в их присутствии.
В дополнение к этому, в настоящей работе с помощью анализа спектров времен релаксации было показано, что свойства слоев SEI на осадках металлического лития, образованных электроосаждением на медный и литиевый электрод, отличаются. Также отличаются спектры времен релаксации слоев SEI, образованных на литиевой и медной подложках до начала экспериментов по электроосаждению, то есть, на оригинальной поверхности меди и лития, покрытых слоями SEI. При этом спектры слоев SEI на литиевом осадке, образованном на медном электроде, практически не отличаются от спектра слоя SEI, присутствующего на медном электроде в начале экспериментов. Это говорит о том, что осаждение–растворение лития на медном электроде протекает с сохранением изначального слоя SEI, образованного на медном электроде до начала экспериментов. Это открывает возможности управлять процессами осаждения и дендритообразования путем контроля за свойствами слоев SEI, образованных на электроде, на котором ведется осаждение. Данный вывод представляет особый интерес в свете активно развивающейся в настоящее время концепции безанодного аккумулятора [13, 14], в котором основным процессом на аноде является осаждение–растворение металлического лития на материал токосьемника, которым для литиевых источников тока является в основном медь.
БЛАГОДАРНОСТИ
Авторы выражают благодарность профессору, заведующему кафедрой коллоидной химии Химического факультета МГУ В. Г. Сергееву за предоставленные образцы ПАВ.
ФИНАНСИРОВАНИЕ РАБОТЫ
Исследование выполнено за счет гранта Российского научного фонда № 22–23–00512, https://rscf.ru/project/22–23–00512/.
КОНФЛИКТ ИНТЕРЕСОВ
Авторы заявляют, что у них нет конфликта интересов.
About the authors
S. S. Alpatov
Lomonosov Moscow State University M. V. Lomonosov, Faculty of Chemistry
Email: osemenik@elch.chem.msu.ru
Russian Federation, Moscow
F. A. Vasiliev
Lomonosov Moscow State University M. V. Lomonosov, Faculty of Chemistry
Email: osemenik@elch.chem.msu.ru
Russian Federation, Moscow
V. Kh. Aleshina
Russian University of Chemical Technology DI. Mendeleev
Email: osemenik@elch.chem.msu.ru
Russian Federation, Moscow
T. A. Vagramyan
Russian University of Chemical Technology DI. Mendeleev
Email: osemenik@elch.chem.msu.ru
Russian Federation, Moscow
O. A. Semenikhin
Lomonosov Moscow State University M. V. Lomonosov, Faculty of Chemistry
Author for correspondence.
Email: osemenik@elch.chem.msu.ru
Russian Federation, Moscow
References
- Алпатов, С. С., Васильев, Ф. А., Алешина, В. Х., Ваграмян, Т. А., Семенихин, О. А. Электроосаждение лития в присутствии поверхностно-активных веществ. Электрохимия. 2024. Т. 60. № 5. С. 349.
- Тихонов, А. Н. О регуляризации некорректно поставленных задач. Докл. АН СССР. 1963. Т. 153. С. 49.
- Wan, T. H., Saccoccio, M., Chen, C., and Ciucci, F., Influence of the discretization methods on the distribution of relaxation times deconvolution: implementing radial basis functions with DRTtools, Electrochim. Acta, 2015, vol. 184, p. 483.
- Ciucci, F. and Chen, C., Analysis of electrochemical impedance spectroscopy data using the distribution of relaxation times: A Bayesian and hierarchical Bayesian approach, Electrochim. Acta, 2015, vol. 167, p. 439.
- Effat, M. B. and Ciucci, F., Bayesian and hierarchical Bayesian based regularization for deconvolving the distribution of relaxation times from electrochemical impedance spectroscopy data, Electrochim. Acta, 2017, vol. 247, p. 1117.
- GitHub repository. Ciuccislab. DRTtools. URL: https://github.com/ciuccislab/DRTtools (дата обращения 19.08.2023)
- Heiskanen, S.K., Kim, J., and Lucht, B.L., Generation and Evolution of the Solid Electrolyte Interphase of Lithium-Ion Batteries, Joule, 2019, vol. 3, p. 2322.
- Wu, H., Jia, H., Wang, C., Zhang, J.-G., and Xu, W., Recent Progress in Understanding Solid Electrolyte Interphase on Lithium Metal Anodes, Adv. Energy Mater., 2021, vol. 11, p. 2003092.
- Алексеева, Е. Ю., Сафонов, В. А., Петрий, О. А. Потенциалы нулевого заряда и строение двойного электрического слоя на платине и палладии в среде диметисульфоксида. Электрохимия. 1984. Т. 20. С. 945.
- Lonchakova, O.V., Semenikhin, O.A., Zakharkin, M.V., Sergeyev, V.G., and Antipov, E.V., Efficient gel-polymer electrolyte for sodium-ion batteries based on poly(acrylonitrile-co-methyl acrylate), Electrochim. Acta, 2020, vol. 334, p. 135512.
- Semenikhin, O.A., Ovsyannikova, E.V., Alpatova, N.M., and Rotenberg, Z.A., Dynamic impedance measurements on a thin-film poly-3-methylthiophene electrode: memory effects and space charge formation, J. Electroanal. Chem., 1996, vol. 408, p. 67.
- Semenikhin, O.A., Hossain, M.M.D., and Workentin, M.S., Photoelectrochemistry of Conducting Polymers Modified with Electron-Acceptor Moieties, J. Phys. Chem. B, 2006, vol. 110, p. 20189.
- Su, L., Charalambous, H., and Cui, Z., High-efficiency, anode-free lithium–metal batteries with a close-packed homogeneous lithium morphology, Energy Environ. Sci., 2022, vol. 15, p. 843.
- Tong, Z., Bazri, B., Hu, S.-F., and Liu, R.-S., Interfacial chemistry in anode-free batteries: challenges and strategies, J. Mater. Chem. A, 2021, vol. 9, p. 7396.
Supplementary files






