Electrochemical study of the free form of anti-tumor antibiotic doxorubicin and encapsulated in a biocompatible copolymer of N-vinyl pyrrolidone with (di)methacrylates
- 作者: Kurmaz V.A.1, Konev D.V.1, Kurmaz S.V.1, Emelyanova N.S.1
-
隶属关系:
- Federal Research Center of Problems of Chemical Physics and Medicinal Chemistry RAS
- 期: 卷 60, 编号 4 (2024)
- 页面: 309-328
- 栏目: Special Issue Based on the Papers Presented of the XX All-Russian Meeting “Electrochemistry of Organic Compounds” (EChOS-2022). (Novocherkassk, October 18–22, 2022)
- URL: https://journals.rcsi.science/0424-8570/article/view/265896
- DOI: https://doi.org/10.31857/S0424857024040055
- EDN: https://elibrary.ru/QWQPFQ
- ID: 265896
如何引用文章
全文:
详细
A comparative study of the electrochemical behavior of various forms of the antitumor antibiotic doxorubicin (DOX) - free and encapsulated in micelle-like nanoparticles of the biocompatible amphiphilic copolymer N-vinylpyrrolidone (VP) — methacrylic acid — triethylene glycol dimethacrylate (TEGDM) — in aqueous neutral buffer solutions on a glassy carbon electrode was carried out. The hydrodynamic radii of the Rh copolymer and DOX polymer nanostructures were determined using the dynamic light scattering method. It was demonstrated using cyclic and square wave voltammetry the presence of two main redox transitions for both forms of DOX at pH 7.24: irreversible oxidation/reduction in the potential range from 0.2 to 0.6 V and reversible reduction/reoxidation — from −0.4 to −0.7 V (saturated Ag/AgCl reference electrode), and their redox potentials were determined. The difference in the potentials of the corresponding peaks of both redox transitions does not exceed several tens (20–30) mV, while the oxidation of the encapsulated form is easier than the free one, and reduction is somewhat more difficult. Analysis of the dependence of the reduction current of both forms of DOX on the rate of potential sweep shows that electron transfer to a molecule of free DOX is largely determined by the rate of accumulation of the reagent in the adsorption layer, and the encapsulated form is characterized by mixed adsorption-diffusion control. Based on voltammetric data and the results of quantum chemical modeling, it was concluded that a hydrogen bond is formed between the oxygen-containing groups of the monomer units of the copolymer and the H-atoms OH and NH2 groups of DOX. The bond energies in the structures considered are calculated and it is shown that their values are close to classical ones if the carbonyl group of the lactam ring of VP in the encapsulating polymer is an electron donor, and the hydrogens OH and NH2 groups of DOX are acceptors. At the same time, the bonds formed with the participation of the oxygen atom of the ester group of the TEGDM unit are extremely weak.
全文:
Электрохимическое исследование свободной формы противоопухолевого антибиотика доксорубицина и инкапсулированной в биосовместимый сополимер N-винилпирролидона с (ди)метакрилатами 1
Electrochemical study of the free form of anti-tumor antibiotic doxorubicin and encapsulated in a biocompatible copolymer of N-vinyl pyrrolidone with (di)methacrylates 2
ВВЕДЕНИЕ
Хиноны являются одними из наиболее популярных объектов органической электрохимии, а круг их практического применения чрезвычайно широк. К этому классу принадлежит и доксорубицин (ДОКС) — эффективное противоопухолевое средство с широким, однако неселективным диапазоном действия [1]. Детальный механизм его лекарственного воздействия достаточно сложен и до конца не прояснен, а значительная общая токсичность в сочетании с повышенной кардиотоксичностью и гипоаллергенностью существенно ограничивает применение в терапевтических целях [2, 3]. Известно, однако [4, 5], что ДОКС внедряется в ДНК, останавливает ее репликацию, что в конечном итоге приводит к гибели раковой клетки. При попадании в живой организм антираковые препараты в большинстве своем интенсивно связываются с протеинами плазмы и красными кровяными тельцами, а это приводит и к снижению эффективности лекарств, и к повышению их токсичности [4]. Поэтому разработка способов достижения селективности действия ДОКС и предотвращения вредных последствий остается весьма актуальной задачей. Одним из важных и эффективных путей ее решения является инкапсулирование лекарственных средств, в том числе ДОКС, в различные структуры — органические/полимерные и неорганические — с последующей целевой доставкой в пораженные клетки и дальнейшим высвобождением в них [6]. Поэтому основные задачи различных средств подобного рода — понизить общую токсичность таких неселективных лекарственных препаратов, как ДОКС, обеспечить их целевую доставку в пораженные клетки с последующим пролонгированным выделением.
Среди органических и полимерных носителей можно отметить апоферритин [3], биодеградируемые полиэлектролитные капсулы, модифицированные гематином [7], сульфатом декстрана и поли-L-аргинином [8], производные циклодекстрина с липоевой кислотой [9] или наногели декстрина [10], синтетические биосовместимые полимеры и сополимеры [11, 12], наночастицы полипиррола и поли(2-диэтиламино)этил метакрилата [13] и др. Более подробную информацию можно найти в обзорах [14, 15]. Но наиболее популярным в ряду подобного рода носителей является полученный полимеризацией N-винилпирролидона (ВП) и обладающий уникальными физико-химическими свойствами поливинилпирролидон (ПВП): он химически инертен, бесцветен, термостоек и pH-стабилен, хорошо растворим в воде, буферных растворах и в органических растворителях различной полярности, отличается биосовместимостью и высокой сорбционной способностью [16].
Полимер улучшает биодоступность плохо растворимых в воде лекарственных средств, в то же время защищая их от внешних факторов (кислород, pH, и температура). Однако сам ПВП обладает недостаточной амфифильностью и не реагирует на изменение pH и температуры среды, что ограничивает возможности контролируемого высвобождения лекарства. Для преодоления существующих недостатков ПВП используют в составе различных нанокомпозитов — слоистого силиката лапонита [17], системы ДОКС-ПВП-наночастицы золота (DOX@PVP-AuNPs) [18] либо в виде сополимеров, имеющих высокую вариабельность свойств и показывающих широкие возможности при формировании наночастиц различной морфологии. Так, сополимер ПВП-блок-поли(4-винилпиридин) хорошо растворим и в воде, и в буферных растворах в широком диапазоне рН [4], не адсорбируется на белках плазмы и эритроцитах [4] и может быть использован как носитель ДОКС [11, 14].
Большие перспективы имеют биосовместимые сополимеры N-винилпирролидона с диметакрилатом триэтиленгликоля (ДМТЭГ) — ВП-ДМТЭГ и тройные (терполимеры, ТП) — с метакриловой кислотой (МАК) – ВП-МАК-ДМТЭГ с ответвлениями в боковых цепях [19]. Они характеризуются контролируемыми размерами и молекулярной массой, амфифильностью, а также способны к самоорганизации в полярных средах. Малые размеры индивидуальных макромолекул и их агрегатов в воде способствуют эффективному проникновению в клетки и ткани. На их основе были получены и исследованы наноструктуры, содержащие биологически активные соединения (БАС) различной природы: метформин — хорошо известный антидиабетический препарат [20], липофильные органические комплексы платины(IV) с противоопухолевой активностью [21–25], тетрафенилпорфиринат цинка как средство визуализации процесса внутриклеточного накопления [25, 26], используемые в фотодинамической терапии красители бенгальский розовый и метилфеофорбид а [27, 28], α-токоферол (витамин группы Е) [29] и др. Была также показана in vitro высокая биосовместимость этих полимерных носителей и их способность проникать в раковые клетки HeLa [30, 31], а наноструктур ТП-ДОКС — и в нормальные клетки Vero [30, 32]. Это свидетельствует о перспективности разработанных материалов для внутриклеточной доставки БАС.
Сополимеры ВП с (ди)метакрилатами и наноструктуры БАС на их основе [19–30] были охарактеризованы комплексом экспериментальных методов, включая просвечивающую и сканирующую электронную микроскопию, электронную абсорбционную, а также ЭПР- и ЯМР-спектроскопию, динамическое рассеяние света (ДРС), эксклюзионную хроматографию, термогравиметрию и дифференциальную сканирующую калориметрию. В числе основных методов характеризации — квантово-химическое моделирование наноструктур БАС-сополимер [28, 29, 31], а также их электрохимические исследования [21–30]. В частности, методом циклической вольтамперометрии (ЦВА) было обнаружено, что бенгальский розовый образует комплекс с сополимерами на основе ВП; это было независимо подтверждено квантово-химическими расчетами [27, 28]. Ранее нами также было показано, что электрохимические свойства и ряда других соединений — тетрафенилпорфирината цинка [25, 26] и различных комплексов Pt(IV) [21–25] в полимерных частицах существенно изменяются. Однако ряд вопросов, касающихся энергетических характеристик наноструктур БАС-сополимер, их строения и связывания БАС с сополимером, сходства и отличия от свободных форм БАС, все еще остаются открытыми.
Цель настоящей работы — сравнительное исследование электрохимического поведения свободной и инкапсулированной в сополимер ВП-МАК-ДМТЭГ форм доксорубицина на стеклоуглеродном электроде (СУЭ) и квантово-химический анализ природы связывания в структурах ДОКС-сополимер.
ЭКСПЕРИМЕНТАЛЬНАЯ ЧАСТЬ
В работе использовали тройной сополимер N-винилпирролидона с диметакрилатом триэтиленгликоля и метакриловой кислотой ВП-МАК-ДМТЭГ, синтезированный из мономерной смеси мольного состава 98 : 2 : 2 в этаноле и детально охарактеризованный в работах [19, 31]. Фармацевтический препарат доксорубицин гидрохлорид (Доксорубицин-Тева, “Фармахеми Б.В.”, Нидерланды) с содержанием основного вещества около 20%; наполнитель (вспомогательное вещество) — моногидрат лактозы, компоненты буферных растворов (Na2HPO4, NaH2PO4) и неорганические соли (NaCl, KCl) квалификации “ос. ч.” использовали без дополнительной очистки. Все растворы готовили на тридистиллате, а для их контроля в процессе электрохимического эксперимента (до и после) использовали спектрофотометр WPA (Великобритания). Концентрацию ДОКС в фармпрепарате определяли спектроскопически, из калибровочных кривых, по полосе поглощения около 500 нм в спектрах водных растворов ДОКС, сополимера и полимерных композиций, толщина кювет — 0.2, 0.5, 1 или 2 см.
Для получения систем ДОКС на основе тройного сополимера ВП-МАК-ДМТЭГ использовали раствор сополимера в изопропаноле (2 мг/мл) объемом 44 мл, в который добавляли по каплям 2.75 мл раствора ДОКС при постоянном перемешивании магнитной мешалкой. Содержание ДОКС составляло 3.1 мас. % в расчете на сополимер. Сушили от растворителей на воздухе и в вакууме до постоянного веса. Порошок полимерной композиции использовали для электрохимических измерений.
Электрохимические исследования проводили в трехэлектродной стеклянной ячейке без разделения катодного и анодного пространств, объем рабочего раствора — от 5 до 15 см3 с использованием универсального быстродействующего потенциостата-гальваностата Autolab/PGSTAT302N (ECOCHEMIE, Нидерланды) методами ЦВА и квадратно-волновой (КВВА) вольтамперометрии. Рабочие растворы перед экспериментами деаэрировали путем поочередного наложения вакуума и заполнения электрохимических ячеек аргоном. В процессе подготовки, а также в ходе электрохимических измерений над растворами поддерживалось небольшое избыточное давление аргона (~20 мбар) при помощи вакуумно-аргоновой линии Шленка [21, 24–28, 30, 33, 34]. Все электрохимические измерения выполняли при комнатной температуре в нейтральном водном фосфатном буферном растворе с pH 7.24, суммарная концентрация компонентов ~0.13 М. Диапазон скоростей развертки v 0.01–2 В/с; в КВВА шаг по потенциалу — 0.005 В, амплитуда — 0.02 В, частота — 25 Гц. Дисковый стеклоуглеродный электрод диаметром Ø ~3 мм использовали в качестве рабочего, Pt-проволоку — вспомогательного и хлоридсеребряный (Ag/AgCl/KClнас.) — электрода сравнения, относительно которого приведены все потенциалы (кроме специально отмеченных случаев). До начала эксперимента СУЭ полировали алмазной суспензией (диаметр частиц ~1, затем ~0.25 мкм), после этого очищали ультразвуковой обработкой. Поскольку ДОКС сильно и необратимо адсорбируется на СУЭ, в соответствии с рекомендациями [9, 35], необходима тщательная очистка электрода. Поэтому в стандартную процедуру его подготовки была введена стадия обработки смесью H2SO4/H2O2 с последующей попеременной тщательной отмывкой этанолом и тридистиллатом. Более подробно экспериментальная процедура описана в [21, 24–28, 30].
Методом динамического рассеяния света определяли гидродинамические радиусы Rh сополимера и полимерных структур ДОКС. При подготовке образцов для измерений водные буферные растворы фильтровали, используя фильтр с диаметром пор 0.45 мкм. Перед измерением виалы с раствором термостатировали при заданной температуре в течение 20 мин. ДРС-измерения проводили с использованием установки Photocor Compact instrument (Photocor LTD, РФ), оснащенной диодным лазером с длиной волны 654 нм. Угол детектирования при анализе растворов сополимера и полимерных структур ДОКС составлял 90°. Обработку экспериментальных данных проводили с помощью программного обеспечения DynaLS, версия 2.8.3. Кривые распределения по размерам рассеивающих центров получены путем обработки результатов измерения флуктуаций интенсивности рассеяния растворами. Величины Rh определяли по уравнению Эйнштейна–Стокса
D = kT/6πηRh,
где D — коэффициент диффузии частицы, k — постоянная Больцана, T — абсолютная температура, K, η — вязкость среды.
Квантово-химические расчеты проводили с помощью полуэмпирического метода AM1 в программе Gaussian 09 [36] и в рамках теории функционала плотности (DFT) (PBE/SBK). В программе PRIRODA [37] моделировался участок сополимера, состоящий из максимально доступного для расчетов количества звеньев ВП и ДМТЭГ в экспериментально найденном мольном соотношении. Оптимизацию молекулы ДОКС проводили также в программе Gaussian 09 [36]. В качестве метода и базиса применяли гибридный функционал TPSSh и базисный набор 6-311++G**//6-31G*. Полученную геометрию использовали для моделирования системы “хозяин-гость”. Оно проводилось теми же методами, что и участки сополимера. На следующем этапе для изучения отдельных образующихся связей c помощью метода QTAIM и моделирования TDDFT спектров, снова использовали Gaussian 09 (TPSSh/311++G**//6-31G*).
Для анализа волновых функций с помощью QTAIM использовали программный пакет AIMALL (версия 10.05.04) [38]. Волновые функции структур рассчитывали в тех же приближениях, что и оптимизация геометрии небольших участков сополимеров. В частности, из анализа волновых функций находили энергии межмолекулярных связей (Ebd), электронную плотность (ρ) и лапласиан электронной плотности (2ρ) в критических точках связи. Энергии межмолекулярных связей рассчитывали по формуле Ea-b ≈ 1/2νe(r) [39], где Ea-b — энергия связи A–B, а νe(r) — плотность потенциальной энергии в критической точке связи A–B.
РЕЗУЛЬТАТЫ И ОБСУЖДЕНИЕ
Электрохимия хинонов в протонных и апротонных средах
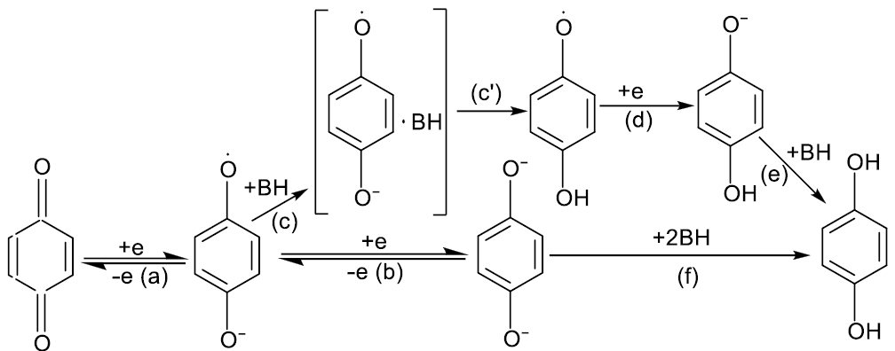
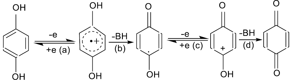
Основные закономерности электровосстановления (ЭВ) и электроокисления (ЭО) хинонов были установлены еще к началу 60-х годов прошлого века, см., например, [40–42]. Так, простейший представитель хинонов — пара-бензохинон p-O=C6H4=O в неводных растворителях восстанавливается обратимо в две одноэлектронные стадии (схема 1) [40–43]:
Схема 1. Общий механизм электровосстановления хинонов в протонных средах (стадии a, c, c’, d, e) и апротонных (стадии a, b, f).
Примерно по такой же схеме восстанавливаются и другие хиноны — нафтохинон, антрахинон и их производные. После переноса первого электрона образуется анион-радикал — семихинон (стадия а), который присоединяет 2-й электрон с образованием дианиона (стадия b). Дианион присоединяет протоны из растворителя (донора протонов BH), образуя в простейшем случае гидрохинон (стадия f). Последующие превращения донора протонов на схеме не показаны. В отдельных случаях не исключена и димеризация семихинона, для анион-радикалов ароматических соединений такая реакция достаточно характерна [44].
Однако последовательное раздельное одноэлектронное восстановление хинонов наблюдается лишь в апротонных средах, в протогенных же растворителях, как правило, имеется одна обратимая двухэлектронная волна [40, 41, 43]. Поскольку протонирование отрицательно заряженных интермедиатов и радикальных частиц обычно предваряет перенос заряда [45, 46], до наступления стадии d, скорее всего, происходит следующий процесс, достаточно быстрый — образование метастабильного комплекса с переносом заряда интермедиат-донор протона (стадия c). Потенциал ЭВ хинонов в водных и водно-органических средах зависит от рН.
Основные закономерности электровосстановления хинонов были установлены еще на Hg-электроде, который сейчас используется гораздо реже. Но на ртутном электроде невозможно изучать ЭО деполяризаторов при E ≥ ~ +(0.2–0.4) В вследствие окисления самого электрода [47], к тому же в ходе адсорбции карбонильных соединений на поляризованной поверхности Hg не исключено образование ртутьорганических производных [47]. Для электроаналитического определения, особенно в комбинации с жидкостной хроматографией, более пригодны твердые электроды: для них, по мнению [48], выше чувствительность и меньше уровень фоновых шумов.
Электроокисление также было исследовано достаточно подробно. При ЭО простейшего представителя — гидрохинона в водных средах с высоким выходом образуется нерастворимый хингидрон, а в апротонных — протонированный хинон (на схеме 2 эта стадия не приводится). Механизм ECE-процесса оказался достаточно сложным, а полученные результаты — противоречивыми, особенно, что касается числа участвующих электронов n, природы интермедиатов и промежуточных стадий. Но в целом он может быть описан схемой 2 [41–43]:
Схема 2. Общий механизм электроокисления гидрохинонов в апротонных средах.
Принято считать, что в апротонных средах имеются две одноэлектронных обратимых волны, примерно соответствующие стадиям a и c, а в протогенных — одна двухэлектронная обратимая или квазиобратимая волна.
Электродные реакции и адсорбция ДОКС в протонных средах на различных электродах
Антибиотик антрациклинового ряда доксорубицин (ДОКС, адриамицин, рКa 8.6) (8S,10S)-10-(4-амино-5-гидрокси-6-метил-тетрагидро-2H-пиран-2-илокси)-6,8,11-тригидрокси-8-(2-гидроксиацетил)-1-метокси-7,8,9,10-тетрагидротетрацен-5,12-дион принадлежит к производным хинона и отличается высокой активностью (химической и электрохимической). В значительной степени она обусловлена наличием в его составе двух реакционных центров — хинонового и гидрохинонового (рис. 1). ДОКС представляет собой полярную молекулу с высокой делокализацией заряда и является хорошим акцептором электронов.
Рис. 1. Структурная формула доксорубицина.
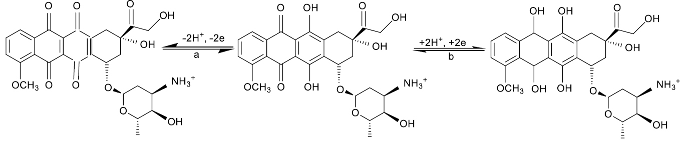
Многие авторы уделили значительное внимание исследованию электрохимических свойств ДОКС [9, 35, 48–65] и его электроаналитическому определению [35, 58, 60, 61, 65–74] — вначале на Hg [49–53, 58, 60, 66], а затем на ряде твердых электродов — Au, амальгаме Ag, Pt – и различных видах углерода — графите, пирографите (ПГ), базальной плоскости пиролитического графита (БППГ) [48, 54, 56, 57, 59–61, 65, 67–74], но в первую очередь на углеродном пастовом электроде (УПЭ). Фарадеевские сигналы на таких электродах выше, чем, например, на стеклоуглеродном, для которого систематических данных существенно меньше [9, 35, 61, 75]. По данным [48–61], в протогенных средах ДОКС восстанавливается аналогично классическим хиноновым производным — в одну обратимую двухэлектронную волну (схема 3; степень обратимости стадий не учитывается). Восстановлению подвергаются хиноновые группы молекулы в положениях 5, 12 антрациклинового хромофора [35, 49, 53, 56]. Согласно [53], равновесный потенциал E0 стадии a равен −0.61 В (pH 7.6), (−0.57 В по данным импульсного радиолиза [64]; pH 7.0) отн. нас.к.э.
Схема 3. Общий механизм ЭВ и ЭО ДОКС в протогенных средах.
Катодный вольтамперометрический пик, соответствующий этому процессу, в нейтральных средах раздваивается, и при потенциалах на ~0.03 В более отрицательных появляется новый пик, если скорость развертки v ≤ 0.01–0.1 В/с [49, 51, 53]. В кислых средах раздвоения нет. Практически полная обратимость электронного переноса наблюдается лишь при v ≥ 0.5 В/с [53]. Как и для других хинонов, от рН зависит не только EЭВ ДОКС, но также и характер ЭВ в водных и водно-органических средах [35, 48, 52, 60, 65]. Так, на УПЭ обратимое ЭВ наблюдается лишь в нейтральной и сильно кислой областях — при рН около 2.3 [48]. Высота этого пика на КВВА зависит от рН среды. Так, на амальгаме Ag она максимальна при рН 5–6 в буфере Бриттона–Робинсона, но снижается в несколько раз при рН 7–8 и 2–4 [65]. При рН 4.5 есть два катодных пика, один из которых полностью необратим, а в нейтральной области — лишь один [48].
Причина такого раздвоения катодного пика точно не установлена. Одни авторы [53] полагают, что оно обусловлено дегликолизацией (отщепление гликозидной группы из положения 7 ДОКС с образованием деоксиагликона), другие [49, 50, 52] связывают появление двух пиков с восстановлением двух форм ДОКС — адсорбированной и диффундирующей из объема, имеющих различные энергетические характеристики.
При более отрицательных потенциалах (−1.18 и −1.41 В) на ртутном электроде имеются еще две волны, уже необратимых [49]; их приписывают последовательному одноэлектронному ЭВ карбонильной группы в боковой цепи положения 9.
Электроокислению подвергается дигидрохиноновый фрагмент молекулы в положениях 6, 11 [48]. Согласно [61], при v ≤ 0.01 В/с этот процесс обратим, его потенциал на СУЭ не зависит от v в диапазоне 0.001–0.01 В/с и составляет около +0.53 В нас.к.э. (pH 4.5); близкие величины получили и авторы [55] на БППГ в тех же условиях. С увеличением v ЭО становится квазиобратимым, а при v ≥ 0.1–0.2 В/с — практически необратимым: так, разность потенциалов анодного и катодного пиков ΔЕ составляет при рН 4.5 около 0.15 В для БППГ [55] и УПЭ [48]. По мнению авторов [55], это означает, что скорость электронного переноса в гидрохиноновом фрагменте значительно ниже, чем в хиноновом. На это указывают и данные переменно-токовой фазочувствительной вольтамперометрии — кажущаяся компонента ЭО гидрохинонового фрагмента редокс-системы оказалась настолько мала, что даже при частоте 100 Гц авторам [55] не удалось получить количественных данных. Однако на УПЭ (10–4 М ДОКС, буфер Уольполя, рН 4.5, v = 0.34 В/с) процесс ЭВ, согласно [48], необратим. Потенциал окисления гидрохинонового фрагмента ДОКС на твердых электродах также зависит от рН, причем dE/dpH ~ 0.06 В [35, 61, 69]. В целом ЦВА-кривые на разных электродах имеют близкий вид, содержат катодно-анодные пики на катодной ветви при E около –(0.45–0.65) В, и анодно-катодные пики около +(0.30―0.70) В — на анодной, в зависимости от pH, скорости развертки, природы электрода и других условий эксперимента [35].
ДОКС хорошо адсорбируется на ртутном [50–57] и углеродном электродах — СУЭ, УПЭ и других [56, 57, 61, 69] — предельное заполнение СУ-электрода достигается уже при объемной концентрации ДОКС 9×10–7 М [61]. Из-за этого зависимость тока окисления ДОКС от концентрации в интервале 10−4–10−8 М на УПЭ нелинейна [48]. Показано также, что адсорбция на СУЭ является необратимой [61]. Авторы [51–55] подробно исследовали адсорбционное поведение ДОКС, были определены его основные адсорбционные параметры на ртутном [51] и ПГ-электродах [54]. Показано, что на Hg-электроде в ацетатном буфере с рН 4.5 величина предельной адсорбции Γ∞ в области максимального заполнения (при Е = −0.2 В, т.е. вблизи ТНЗ) составляет: Γ∞ = 1.1×10−10 моль/см2, а величина аттракционной постоянной а = 1.66 (1.51 при рН 7.6 [54]), что указывает на сильные взаимодействия в адсорбционном слое. Отметим при этом, что сам ДОКС лучше растворяется в кислых и щелочных водных буферных растворах, но значительно хуже — в нейтральных и в воде, где он склонен к образованию ассоциатов [76]. Наши исследования, однако, показали, что в интервале концентраций 10−5–10−4 М ДОКС в воде выполняется закон Бугера–Ламберта–Бера, т.е. соединение находится в растворе в молекулярной форме либо в виде агрегатов малого размера [30].
Электрохимическая характеризация фоновых растворов и ДРС-исследования буферных растворов ДОКС и ТП-ДОКС
Таким образом, электрохимические свойства ДОКС изучены достаточно подробно, а имеющиеся в литературе данные представляют основу для настоящего исследования и позволяют выбрать оптимальные условия для измерений. Так, все эксперименты проведены нами в водном фосфатном буферном растворе с учетом близости к физиологическому значению рН (7.2–7.4). Константы связывания ДОКС с различными носителями (например, с производными декстрина [9]) при этих значениях рН выше, чем при рН < 7.
Поскольку в работе использовали не индивидуальный доксорубицин гидрохлорид, а его коммерческий препарат, до начала исследований необходимо было проверить электрохимические и адсорбционные свойства препарата, каждого из его вспомогательных компонентов в отдельности, а особенно наполнителя — моногидрата лактозы, а также их влияние на вольтамперометрические характеристики ДОКС. ЦВА-кривые фона различного состава были получены в тех же условиях, что и для самого ДОКС в инкапсулированной и свободной формах — диапазон потенциалов от −1.0 до +1.1 В, скорость развертки 0.02–2 В/с (рис. 2). Видно, что на кривых во всех случаях не наблюдается каких-либо особенностей 3. Более того, ЦВА-кривые и в чистом буфере, и в присутствии ТП, и с добавками лактозы практически совпали.
Рис. 2. Сравнение ЦВА-кривых фона, полученных при v = 0.1 В/с в водном фосфатном буферном растворе с рН 7.24: 1 — буферный раствор; 2 — буферный раствор + 0.3 мг/мл ТП; 3 — буферный раствор + 0.3 мг/мл ТП + 8.5×10–4 М лактозы.
Растворы ТП и ТП-ДОКС были исследованы методом ДРС. На рис. 3 приведены кривые распределения интенсивности рассеяния света по размерам частиц ТП при невысокой и средней концентрациях сополимера в фосфатных буферных растворах с pH 7.2–7.4. В диапазоне 0.1–1000 нм в разбавленном растворе сополимера имеется один пик, в максимуме которого значение Rh составляет около 7 нм. В более концентрированном растворе появляется второй пик с Rh ~100 нм, и распределение становится бимодальным. Пики следует отнести к отдельным макромолекулам и их агрегатам соответственно. Кривая распределения раствора полимерной композиции ДОКС значительно изменяется: второй пик сдвигается в область меньших значений Rh (~66 нм) и возрастает его интенсивность, что свидетельствует о присутствии в растворе полимерной структуры ДОКС, стабильной в исследованном диапазоне температур (25–45°С). Данные ДРС указывают на образование структуры типа “гость-хозяин” как результат проникновения молекул ДОКС в полости наночастиц сополимера. В подобных наносистемах, как известно [77], протекает значительное число самых разных и практически важных электродных процессов, а их закономерности могут быть иными, чем в случае истинных растворов.
Рис. 3. Распределение интенсивности рассеяния света по размерам частиц в водных буферных растворах терполимера ВП-МАК-ДМТЭГ (1, 2) и полимерной композиции ТП-ДОКС (3). Концентрации ТП — 1 (1) и 3.5 мг/мл (2), полимерной композиции ТП-ДОКС (3) — 1 мг/мл, 25°С. pH 7.2–7.4 с добавками NaCl (137 мМ) и KCl (2.68 мМ).
Сравнительное электрохимическое исследование свободной и инкапсулированной в ТП форм ДОКС
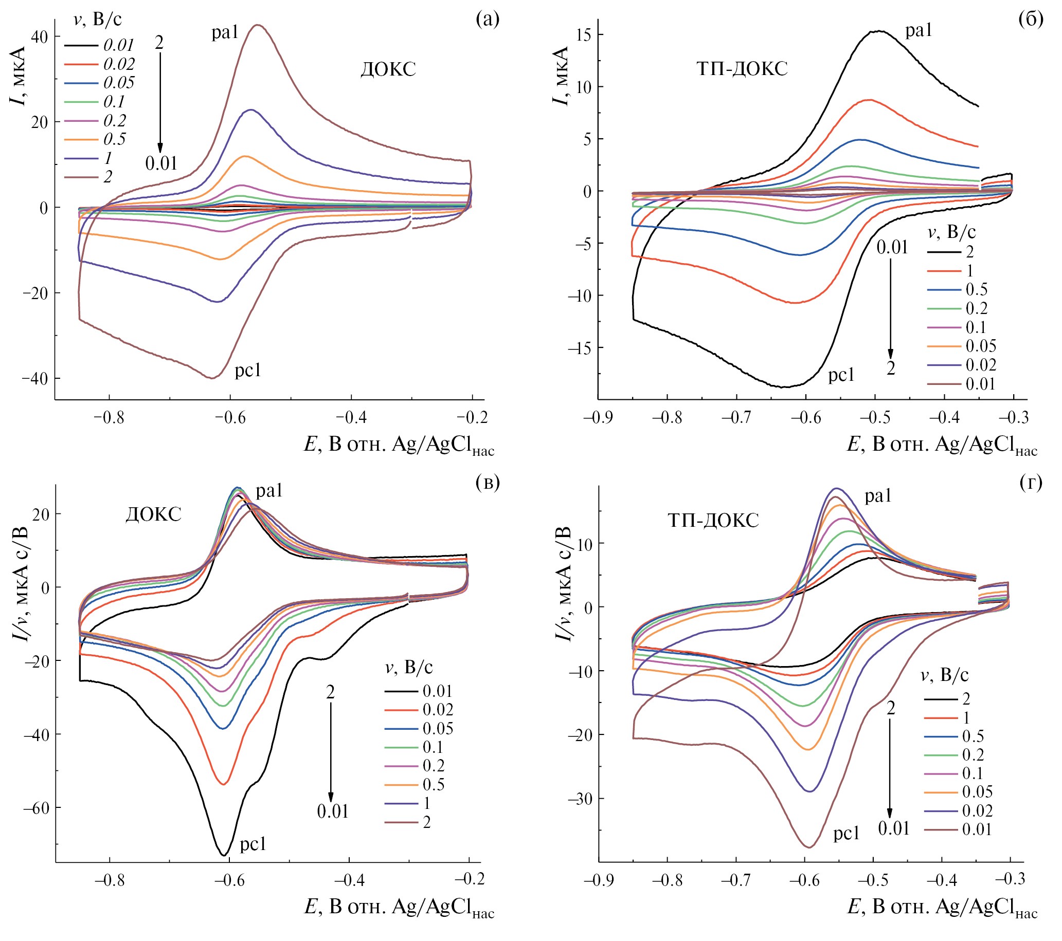
После детальной характеризации фона и определения области E идеальной поляризуемости было предпринято сравнительное исследование свободной и инкапсулированной в терполимер форм ДОКС методами ЦВА и КВВА. В работе в основном приводятся данные, полученные при 1-м сканировании развертки потенциала. Видно, что электродный процесс протекает по единому механизму, характерному для восстановления-окисления соединений хинонового ряда, к которым относится и ДОКС. ЦВА-кривые в диапазоне потенциалов от −1 до +1 В содержат две пары двухэлектронных редокс-пиков, соответствующих, скорее, необратимому (или, возможно, квазиобратимому) анодному окислению (pa2/pc2) в интервале +(0.3–0.6) и практически обратимому катодному восстановлению ДОКС (pc1/pa1) при E около –0.6 В (рис. 4а), что в основном согласуется с литературными данными для большинства электродов [35, 48–61, 69]. При сканировании в катодном направлении и скоростях развертки ≤0.5 В/с наблюдаются два слабо выраженных пика ЭВ, которые при v ≥ 0.5–1 В/с сливаются в один пик, тоже не очень хорошо разрешенный. На обратной, анодной ветви ЦВА-кривой всегда наблюдается один четко выраженный пик. Так как скорость развертки и, соответственно, высота пиков изменялись в достаточно большом диапазоне, а поэтому на общем графике кривые сливались при средних и особенно малых v, то для большей наглядности и выявления характера электродных процессов (диффузионные, адсорбционные, диффузионно-адсорбционные) эти I,E-зависимости (рис. 4а, 4б) были также перестроены в различных координатах — I/v, E (рис. 4в, 4г) и I/v0.5, E (кривые не приведены).
Рис. 4. ЦВА-кривые ДОКС (а) и ТП-ДОКС (б) в водном фосфатном буферном растворе (pH 7.24) на СУ-электроде в координатах I, Е при скоростях развертки v = 0.01–2 В/с. Концентрация ДОКС 4.0×10−5 (а) и 1.4×10−5 M (б); (в), (г) — кривые рис. (а) и (б) в координатах I/v, Е. 1-й скан.
В электрохимическом поведении ДОКС и наноструктуры ТП-ДОКС имеются некоторые отличия (рис. 4а, 4б). Для наглядности сравнения на рис. 5 для этих форм приведены кривые из рис. 4а, 4б, полученные при v = 0.1 В/с. Видно, что пик pc1 смещается к более, а пик pa1 — к менее отрицательным потенциалам, т.е. ЭВ ДОКС в составе композиции (pc1) протекает несколько труднее по сравнению с несвязанной формой, а реокисление (pa1) — несколько легче, хотя величины ∆E достаточно близки, см. табл. 1. Таким образом, и для свободной формы, и для инкапсулированной пара пиков pc1/pa1 имеет характер обратимого ЭВ/ЭО адсорбированной частицы [78, 79]. В анодной области ситуация обратная — пик pc2 смещается к более, а пик pa2 — к менее положительным потенциалам (рис. 4, табл. 1). Следовательно, в полимерной наноструктуре затрудняется восстановление (pc1) / реокисление (pa1) хинонового фрагмента ДОКС. Заметно облегчается окисление гидрохинонового центра (pa2) и обратный процесс ревосстановления (pc2). Причина может заключаться в участии этих групп в образовании водородной связи, ее растяжении и ослаблении. Иными словами, окисление инкапсулированной формы протекает легче, а восстановление — труднее, хотя различие потенциалов не превышает нескольких десятков мВ.
Рис. 5. ЦВА-кривые ДОКС (1) и ТП-ДОКС (2) из рис. 4а, 4б. v = 0.1 В/с.
Таблица 1. Потенциалы катодных (Epc1, Epc2) и анодных (Epa1, Epa2) пиков (В) ДОКС и структур ТП-ДОКС, их разность ∆E, формальные редокс-потенциалы E0pc1/pa1 и Epa2/pc2, определяемые при разных диапазонах и направлениях развертки потенциала. v = 0.1 В/с
Деполяризатор | Ep, В (из рис. 5). Диапазон E: −0.8…+0.8 В, направление развертки −0.1 → +0.8 → −0.8 | |||||||
Epc1 | Epa1 | ∆E | E0pc1/pa1 | Epa2 | Epc2 | ∆E | Epa2/pc2 | |
ДОКС | −0.601 | −0.571 | 0.030 | −0.586 | 0.586 | 0.245 | 0.341 | 0.416 |
ДОКС +ТП | −0.586 | −0.554 | 0.032 | −0.570 | 0.556 | 0.312 | 0.244 | 0.434 |
Ep, В (из рис. 6а, 6б). Диапазон катодной развертки: −0.2…−0.8 В ⃰ | Ep, В (из рис. 9а, 9б) Диапазон анодной развертки: −0.2…+0.8 В** | |||||||
ДОКС | −0.611 | −0.583 | 0.028 | −0.597 | 0.556 | 0.245 | 0.311 | 0.401 |
ДОКС +ТП | −0.599 | −0.544 | 0.055 | −0.572 | 0.614 | 0.198 | 0.416 | 0.406 |
*Направление развертки: −0.1 → −0.8 → 0 В.
**Направление развертки −0.1 → +0.8 → −0.2 В.
Из сравнения рис. 4а, 4в и 4б, 4г видно, что раздвоение катодного пика pc1 для инкапсулированного ДОКС при малых скоростях развертки менее выражено. Если принять точку зрения авторов [53], что такое раздвоение вызвано быстрой дегликолизацией после переноса двух электронов и параллельным восстановлением этого продукта при близких E, то тогда следует предположить, что этот процесс затрудняется в полимерной наноструктуре ДОКС. При регистрации ЦВА-кривых в более узком диапазоне E — от −0.2 до −0.9 В, т.е. в области катодной пары пиков (рис. 6а–г) раздвоение катодного пика pc1 практически не фиксируется. Слабо выражено такое раздвоение и при самых низких объемных концентрациях ДОКС (ниже 10−5 M).
Рис. 6. ЦВА-кривые ДОКС (а) и структуры ТП-ДОКС (б) в области катодных потенциалов в водном фосфатном буферном растворе (pH 7.24) на СУ-электроде в координатах I, Е при скоростях развертки v 0.01–2 В/с. Концентрация ДОКС 3.9×10−5 (а) и 3.5×10−5 M (б); (в), (г) — кривые рис. (а) и (б) в координатах I/v, Е. 1-й скан.
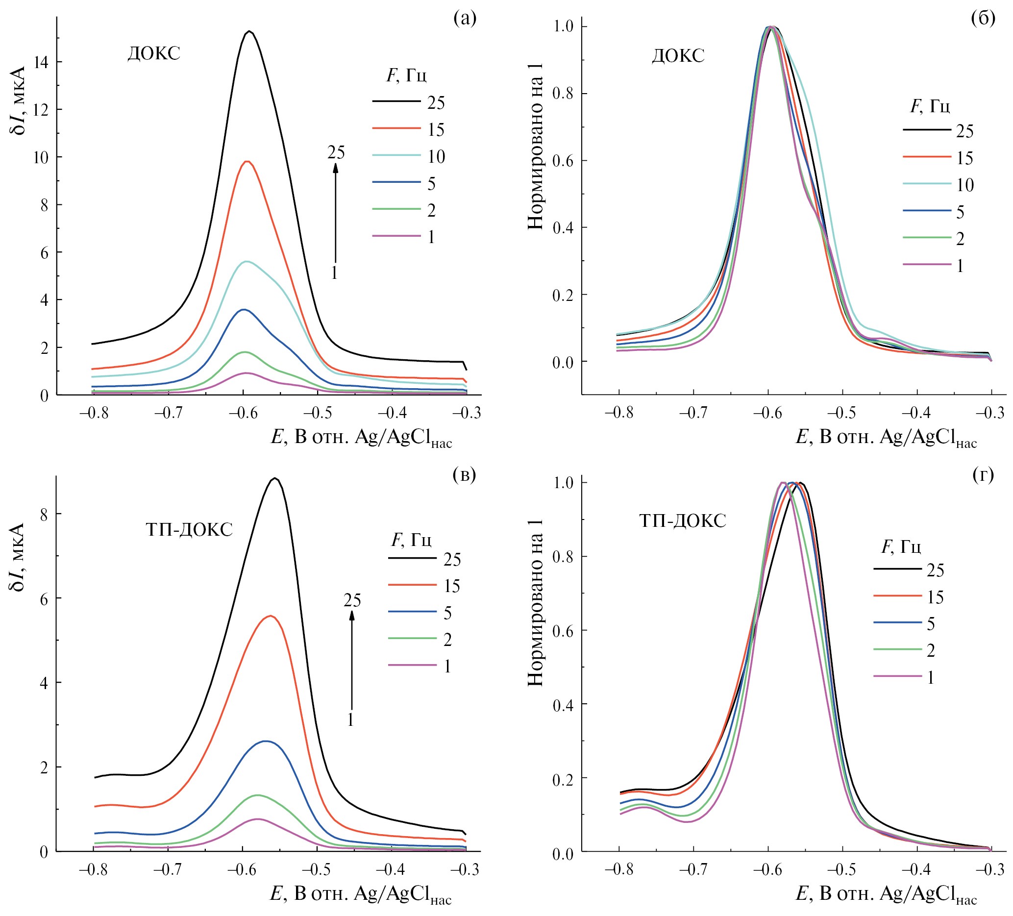
Еще более наглядными в этом смысле оказались данные КВВА. На рис. 7 приведены соответствующие кривые ДОКС и структуры ТП-ДОКС для того же диапазона потенциалов, что и на рис. 6, полученные при различных частотах (F = 1–25 Гц) (а, в) и затем для наглядности нормированные на одинаковую высоту (б, г). Хорошо видно, что с повышением частоты меняется форма и положение катодного пика около −0.6 В, при максимальной частоте (25 Гц) преобладает пик при −0.58 В, а при минимальной (1 Гц) — при −0.56 В. Для свободной формы ДОКС картина менее выражена, однако хорошо видны отклонения при низких частотах (1–10 Гц).
Рис. 7. КВВА ДОКС (а) и структуры ТП-ДОКС (в), полученные при разных частотах и приведенные к 1 (б, г). Концентрация ДОКС 3.9×10−5 (а) и 3.5×10−5 M (в).
Изменение энергетических характеристик при переходе от свободной формы ДОКС к инкапсулированной в ТП
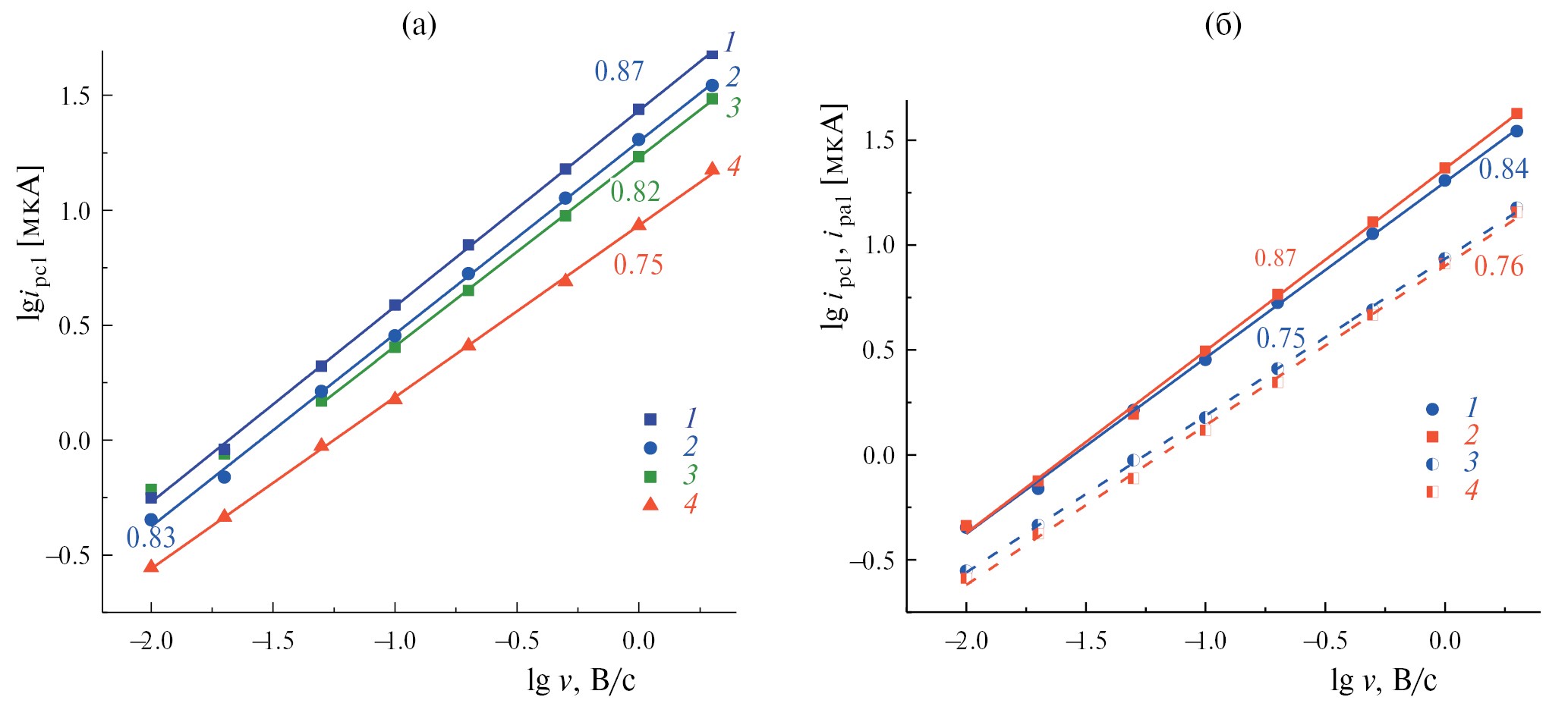
При переходе от свободной формы ДОКС к инкапсулированной изменяется и сама природа электродного процесса — от чисто адсорбционного в случае свободного ДОКС он переходит к смешанному адсорбционно-диффузионному для ДОКС в составе ТП. Это следует из наклонов зависимостей рис. 6а, 6б, перестроенных в координатах lg Ipc1, lg v (0.82–0.87 и 0.74–0.76 соответственно, рис. 8).
Рис. 8. (а) Зависимости высот катодных пиков ipc1 от скорости развертки (lg ipc1, lg v) для ДОКС различных концентраций — 1.43×10−5 (1), 3.5×10−6 (2) и 3.9×10−5 M (3), и ТП-ДОКС 3.5×10−5 М (4); (б) зависимости высот катодных ipc1 (1, 3) и анодных ipa1 (2, 4) пиков от скорости развертки (lg ipc1, ipa1, lg v) для 3.5×10−6 М ДОКС (1, 2) и 3.5×10−5 М ТП-ДОКС (3, 4). Цифры у графиков — величины наклонов. Вычтен емкостной ток.
Анализируя ЦВА-кривые рис. 4 и 6, прежде всего следует отметить, что они не носят чисто диффузионный характер, так как в этом случае все I,E-зависимости в координатах I/v0.5, E (рисунок не приводится) должны были бы совпасть. Однако не совпадение, а только их близость для ДОКС наблюдается лишь при наименьших скоростях развертки — 0.02 и 0.05 В/с, и только для pc1 на катодной ветви, а для анодного пика реокисления pa1 какое-либо совпадение полностью отсутствует. Для инкапсулированного ДОКС в этих условиях не наблюдается даже и близости ЦВА. Что касается аналогичных зависимостей в I/v, E-координатах, то они не носят и чисто адсорбционный характер, а совпадают лишь при максимальных скоростях развертки — 1 и 2 В/с (рис. 4в, 4г и 6в, 6г). Зависимости высот катодных пиков Ipc1 от скорости развертки (lg Ipc1, lg v) в серии измерений для обеих систем имеют близкий к единице наклон — около 0.80–0.94, что указывает на смешанный адсорбционно-диффузионный контроль транспорта деполяризатора к электроду (часть данных приведена на рис. 8). Или, точнее говоря, на близкий к адсорбционному характер электродного процесса с несущественным вкладом диффузии. Что касается анодного пика реокисления pa1 и катодного пика ревосстановления pc2, то их высота в координатах I/v примерно одинакова при всех скоростях развертки v. Это также означает обратимость процесса и что интермедиаты, образующиеся при потенциалах, соответствующих пикам pc1 и pa2, реагируют из адсорбированного состояния, причем этот вывод справедлив как для свободного, так и для инкапсулированного ДОКС. Мы уже отмечали, что на ЭВ ДОКС преимущественно из адсорбированного состояния указывали многие авторы.
На рис. 9 приведены ЦВА-кривые для пары анодно-катодных пиков — pa2 и pc2, полученные в узком диапазоне анодных потенциалов — от +0.1 до +0.9 (ТП-ДОКС) и от −0.4 до +0.9 В (ДОКС) при анодном направлении развертки. Наблюдаются те же закономерности, что и для ЦВА-кривых в широком диапазоне потенциалов: и катодный пик pc2, и анодный пик pa2 по характеру близки к адсорбционным при наибольших скоростях развертки (v ≥ 1–2 В/с), а пик pa2 — к диффузионному при наименьших (v ≤ 0.05–0.02 В/с); в промежуточной области v имеет место смешанный адсорбционно-диффузионный процесс (рис. 9б). Катодный пик pc2 не похож на диффузионный при всех v, и для него влияние адсорбции выражено больше (рис. 9б).
Рис. 9. ЦВА-кривые ДОКС (а), (б) и ТП-ДОКС (в), (г) в области анодных потенциалов в водном фосфатном буферном растворе (pH 7.24) на СУ-электроде в координатах I, Е при скоростях развертки v 0.01–2 В/с. Концентрация ДОКС 3.9×10−5 (а) и 3.5×10−5 M (б); (в), (г) — кривые рис. (а) и (б) в координатах I/v, Е. 1-й скан.
Потенциалы редокс-пар pc1/pa1; pc2/pa2 и энергии H-связей между О-атомами ТП и Н-атомами молекулы ДОКС
Данные рис. 4, 6, 9 далее были использованы для оценки формальных редокс-потенциалов E0 катодных (pc1/pa1) редокс-реакций ДОКС и ТП-ДОКС (табл. 1) в предположении, что n = 2, и величин Epa2/pc2 при v = 0.1 В/с. Из этой таблицы видно, что катодная пара пиков pc1/pa1 действительно отвечает обратимому редокс-процессу, который осуществляется из адсорбированного состояния (∆E ~0.03 В). Отношение токов Ipc1/Ipa1 также близко к 1 (рис. 8б), чего не наблюдается для анодной пары пиков pc2/pa2, а ∆E > (0.2–0.4) В.
Видно также, что величины E0pc1/pa1 и Epc2/pa2 для систем ДОКС и ТП-ДОКС несколько различаются. При этом имеет значение как начальный потенциал, так и диапазон развертки. Мы полагаем, что это связано с образованием комплексов ТП-ДОКС, для выяснения возможной природы которых было выполнено квантово-химическое моделирование их структуры. Квантово-химические расчеты показали, что между кислородсодержащими группами — донорами электронов сополимера и атомами водорода ОН и NH3+ групп ДОКС возможно образование водородных связей различной прочности и энергетики. В комплексе ТП-ДОКС основным донором электронной плотности являются звенья метакриловой кислоты, которые и образуют самые прочные связи с ДОКС: энергия Н-связи Ebd в диапазоне 9–26 ккал/моль, что сравнимо с Ebd карбонильной группы лактамного цикла ВП (7–12 ккал/моль) [80], табл. 2. Показано, что звенья ДМТЭГ сополимера также участвуют в образовании комплексов ТП-ДОКС, однако энергия водородных связей в этом случае меньше. Водородные связи между O-атомами ДОКС и H-атомами сополимера, согласно расчетам, еще слабее и не превышают 3 ккал/моль. В других случаях энергии связи в такого рода наноструктурах могут быть существенно выше: так, расчеты методом DFT показали [81], что в композиции ДОКС-SiO2-N-(фосфонометил)иминодиуксусная кислота они могут превышать 70 ккал/моль, например в результате образования водородной связи между гидроксилом фосфониевой группы и гидроксилом C(9)-атома ДОКС (не считая дополнительной координации по силанольным группам).
Таблица 2. Энергии водородных связей, образованных между О-атомами ТП и Н-атомами молекулы ДОКС
Звено ТП | Электронно-донорные группы ТП | Электронно-акцепторные группы ДОКС | Ebd (QTAIM), ккал моль−1 |
МАК | Карбоксильная | CH, OCH3, OH–, NH3+ | 8.8; 13.3; 12.3; 25.5; 22.1 |
ВП | Карбонильная группа лактамного цикла ВП | OH, OCH3, NH3+ | 11.8; 9.4; 6.9 |
ДМТЭГ | Простая эфирная группа | OH– | 1.2; 1.3; 3.5; 6.2 |
Таким образом, малые отличия в энергетических характеристиках свободной и инкапсулированной форм ДОКС, что следует из данных ЦВА, неудивительны. Тем не менее, можно полагать, что образование такого комплекса понизит общую цитотоксичность и неселективность ДОКС, а при попадании в опухолевую клетку замедлит его высвобождение.
Изменения энергетических характеристик связанного ДОКС по сравнению с его свободной формой наблюдали, в частности, авторы [71] при изучении взаимодействия ДОКС с ДНК тимуса теленка методом дифференциальной импульсной вольтамперометрии. Было показано [71], что ДОКС (10–5 М) в отсутствие ДНК окисляется на СУЭ при +0.41 В отн. нас.к.э. (рН 7.4, нейтральный фосфатный буфер + 0.05 M NaCl, v 0.033 В/с), и восстанавливается около –0.5 В. Добавки ДНК приводят к образованию аддукта ДНК-ДОКС, что вызывает смещение его потенциалов ЭО в положительную сторону относительно свободной формы ДОКС (∆EЭО = 0.04 В). Способность ДОКС к связыванию с ДНК, не слишком прочному, была показана также при помощи электрохемилюминесценции [82]. Электрохимический контроль оказался также эффективным для индикации ковалентного присоединения ДОКС к магнитным наночастицам (смешанные никель-цинковые ферриты Ni0.5Zn0.5Fe2O4), также используемым в качестве носителя лекарственных средств. Методом ЦВА было показано, что потенциалы и форма пиков свободных и ковалентно связанных форм ДОКС заметно различаются, а при помощи пъезокварцевого микровзвешивания получена количественная оценка ДОКС, ковалентно связанного с поверхностью наночастиц [75].
ЗАКЛЮЧЕНИЕ
Таким образом, энергетические характеристики свободной формы доксорубицина и инкапсулированной в терполимер N-винилпирролидон-метакриловая кислота-диметакрилат триэтиленгликоля в водных нейтральных буферных растворах различаются. На основе данных циклической вольтамперометрии и квантово-химического моделирования сделан вывод, что ДОКС связывается с сополимером многочисленными Н-связями с разной длиной и энергией. По всей видимости, это приводит к изменению величин соответствующих формальных редокс-потенциалов E0. При этом характер электродного процесса изменяется от практически адсорбционного для свободной формы ДОКС к диффузионно-адсорбционному — для ДОКС в составе полимерного комплекса. Из этих данных следует, что включение ДОКС в полимерную структуру сможет понизить общую токсичность этого лекарственного препарата, достаточно неселективного, обеспечить его целевую доставку в пораженные клетки и последующее пролонгированное выделение/ контролируемое высвобождение. Можно полагать, что предлагаемый подход может оказаться полезным и в случае других лекарственных средств.
ФИНАНСИРОВАНИЕ РАБОТЫ
Работа выполнена по госзаданиям 124020500019-2, 124013000692-4.
КОНФЛИКТ ИНТЕРЕСОВ
Авторы заявляют, что у них нет конфликта интересов.
1 Публикуется по материалам XX Всероссийского Совещания «Электрохимия органических соединений» (ЭХОС-2022), Новочеркасск, Россия, 18-22 октября 2022 г.
2 Published based on the materials of the XX All-Russian Meeting “Electrochemistry of Organic Compounds” (EChOS-2022), Novocherkassk, Russia, October 18–22, 2022.
3 Иногда около –0.7 В появляется небольшой катодный пик (imax ≤ 0.02 мкА), связанный, по всей видимости, с присутствием следов кислорода, от которых избавиться непросто. Но при тщательной продувке раствора он исчезает, а из раствора, содержащего инкапсулированный ДОКС, кислород удаляется быстрее.
作者简介
V. Kurmaz
Federal Research Center of Problems of Chemical Physics and Medicinal Chemistry RAS
编辑信件的主要联系方式.
Email: kurmaz@icp.ac.ru
俄罗斯联邦, Chernogolovka
D. Konev
Federal Research Center of Problems of Chemical Physics and Medicinal Chemistry RAS
Email: dkfrvzh@yandex.ru
俄罗斯联邦, Chernogolovka
S. Kurmaz
Federal Research Center of Problems of Chemical Physics and Medicinal Chemistry RAS
Email: kurmaz@icp.ac.ru
俄罗斯联邦, Chernogolovka
N. Emelyanova
Federal Research Center of Problems of Chemical Physics and Medicinal Chemistry RAS
Email: kurmaz@icp.ac.ru
俄罗斯联邦, Chernogolovka
参考
- Tacar, O., Sriamornsak, P., Crispin, R., and Dass, C.R., Doxorubicin: an update on anticancer molecular action, toxicity and novel drug delivery systems, J. Pharm. Pharmacol., 2013, vol. 65, p. 157. https://doi.org/10.1111/j.2042-7158.2012.01567.x
- Minotti, G., Menna, P., Salvatorelli, E., Cairo, G., and Gianni, L., Anthracyclines: Molecular advances and pharmacologic developments in antitumor activity and cardiotoxicity, Pharm. Rev., 2004, vol. 56, p. 185. https://doi.org/10.1124/pr.56.2.6
- Tmejova, K., Hynek, D., Kopel, P., Dostalova, S., Smerkova, K., Stanisavljevic, M., Hoai, V.N., Nejdl, L., Vaculovicova, M., and Krizkova, S., Electrochemical behaviour of doxorubicin encapsulated in apoferritin, Intern. J. Electrochem. Sci., 2013, vol. 8, p. 12658.
- Mishra, A.K., Lim, J., Lee, J., Park, S., Seo, Y., Hwang, H., and Kim, J.K., Control drug release behavior by highly stable and pH sensitive poly(N-vinylpyrrolidone)-block-poly(4-vinylpyridine) copolymer micelles, Polymer, 2021, vol. 213, p. 123329. https://doi.org/10.1016/j.polymer.2020.123329
- Sudareva, N., Suvorova, O., Saprykina, N., Vlasova, H., and Vilesov, A., Doxorubicin delivery systems based on doped CaCO3 cores and polyanion drug conjugates, J. Microencapsulation, 2021, vol. 38, p. 164. https://doi.org/10.1080/02652048.2021.1872724
- Torchilin, V.P., Recent approaches to intracellular delivery of drugs and DNA and organelle targeting, Ann. Rev. Biomed. Eng., 2006, vol. 8, p. 343. https://doi.org/10.1146/annurev.bioeng.8.061505.095735
- Румянцева, С.С., Букреева, Т.В. Изменение проницаемости оболочек полиэлектролитных капсул посредством их модификации гематином. Коллоидный журн. 2019. T. 81. С. 508. doi: 10.1134/S0023291219040141 [Rumyantseva, S.S. and Bukreeva, T.V., Controlling the permeability of polyelectrolyte capsule shells by modifying them with haematin, Colloid J., 2019, vol. 81, p. 446.] https://doi.org/10.1134/S1061933X19040148
- Trushina, D.B., Akasov, R.A., Khovankina, A.V., Borodina, T.N., Bukreeva, T.V., and Markvicheva, E.A., Doxorubicin-loaded biodegradable capsules: Temperature induced shrinking and study of cytotoxicity in vitro, J. Mol. Liq., 2019, vol. 284, p. 215. https://doi.org/10.1016/j.molliq.2019.03.152
- Swiech, O., Majdecki, M., Garbacz, P., Gwardys, P., and Bilewicz, R., Impact of pH and cell medium on the interaction of doxorubicin with lipoic acid cyclodextrin conjugate as the drug carrier, J. Incl. Phenom. Macrocycl. Chem., 2020, vol. 97, p. 129. https://doi.org/10.1007/s10847-020-00994-z
- Manchun, S., Dass, C.R., and Sriamornsak, P., Stability of freeze-dried pH-responsive dextrin nanogels containing doxorubicin, Asian J. Pharm. Sci., 2016, vol. 11, p. 648. https://doi.org/10.1016/j.ajps.2015.09.006
- Ma, B., Zhuang, W., Wang, Y., Luo, R., and Wang, Y., pH-sensitive doxorubicin-conjugated prodrug micelles with charge-conversion for cancer therapy, Acta Biomater., 2018, vol. 70, p. 186. https://doi.org/10.1016/j.actbio.2018.02.008
- Gonçalves, M., Mignani, S., Rodrigues, J., and Tomás, H., A glance over doxorubicin based-nanotherapeutics: From proof-of-concept studies to solutions in the market, J. Controlled Release, 2020, vol. 317, p. 347. https://doi.org/10.1016/j.jconrel.2019.11.016
- Gutierrez-Pineda, E., Rocio Caceres-Velez, P., Jose Rodriguez-Presa, M., Moya, S.E., Gervasi, C.A., and Amalvy, J.I., Hybrid conducting composite films based on polypyrrole and poly(2-(diethylamino)ethyl methacrylate) hydrogel nanoparticles for electrochemically controlled drug delivery, Adv. Mater. Interf., 2018, vol. 5, p. 1800968. https://doi.org/10.1002/admi.201800968
- Chen, K., Cai, H., Zhang, H., Zhu, H., Gu, Z., Gong, Q., and Luo, K., Stimuli-responsive polymer-doxorubicin conjugate: Antitumor mechanism and potential as nano-prodrug, Acta Biomater., 2019, vol. 84, p. 339. https://doi.org/10.1016/j.actbio.2018.11.050
- Santos, R., Cardoso, S., Correia, S., Oliveira, P.J., Santos, M.S., and Moreira, P.I., Doxorubicin: The good, the bad and the ugly effect, Curr. Med. Chem., 2009, vol. 16, p. 3267. https://doi.org/10.2174/092986709788803312
- Folttmann, H. and Quadir, A., Polyvinylpyrrolidone (PVP) — One of the most widely used excipients in pharmaceuticals: An overview, Drug Deliv. Technol., 2008, vol. 8, p. 22.
- Wang, J., Wang, G., Sun, Y., Wang, Y., Yang, Y., Yuan, Y., Li, Y., and Liu, C., In Situ formation of pH-/thermo-sensitive nanohybrids via friendly-assembly of poly(N-vinylpyrrolidone) onto LAPONITE®, RSC Adv., 2016, vol. 6, p. 31816. https://doi.org/10.1039/C5RA25628C
- Ramalingam, V., Varunkumar, K., Ravikumar, V., and Rajaram, R., Target delivery of doxorubicin tethered with PVP stabilized gold nanoparticles for effective treatment of lung cancer, Sci. Rep., 2018, vol. 8, p. 1. https://doi.org/10.1038/s41598-018-22172-5
- Курмаз, С.В., Образцова, Н.А., Балакина, А.А., Терентьев, А.А. Получение полимерных наночастиц амфифильного сополимера N-винилпирролидона с диметакрилатом триэтиленгликоля и исследование их свойств in vitro. Изв. АН. Сер. хим. 2016. Т. 65. С. 2097. [Kurmaz, S.V., Obraztsova, N.A., Balakina, A.A., and Terent’ev, A.A., Preparation of the amphiphilic copolymer of N-vinylpyrrolidone with triethylene glycol dimethacrylate nanoparticles and the study of their properties in vitro, Russ. Chem. Bull., 2016, vol. 65, p. 2097.] https://doi.org/10.1007/s11172-016-1558-x
- Kurmaz, S.V., Fadeeva, N.V., Soldatova, Y.V., Faingold, I.I., Poletaeva, D.A., Ignat’ev, V.M., Emel’yanova, N.S., Shilov, G.V., and Kotelnikova, R.A., New complexes of metformin based on the copolymer of N-vinylpyrrolidone with triethylene glycol dimethacrylate and their activity in experimental type 2 diabetes mellitus, J. Polym. Res., 2021, vol. 28, p. 345. https://doi.org/10.1007/s10965-021-02684-x
- Курмаз, С.В., Сень, В.Д., Куликов, А.В., Конев, Д.В., Курмаз, В.А., Балакина, А.А., Терентьев, А.А. Полимерные наночастицы N-винилпирролидона, загруженные органическим аминонитроксильным комплексом платины(IV). Характеризация и исследование цитотоксичности in vitro. Изв. АН. Сер. хим. 2019. Т. 68. С. 1769. [Kurmaz, S.V., Sen’, V.D., Kulikov, A.V., Konev, D.V., Kurmaz, V.A., Balakina, A.A., and Terent’ev, A.A., Polymer nanoparticles of N-vinylpyrrolidone loaded with an organic aminonitroxyl platinum(IV) complex. Characterization and investigation of their in vitro cytotoxicity, Russ. Chem. Bull., Int. Ed., 2019, vol. 68, p. 1769.] https://doi.org/066-5285/19/6809-1769
- Kurmaz, S.V., Fadeeva, N.V., Fedorov, B.S., Kozub, G.I., Emel’yanova, N.S., Kurmaz, V.A., Manzhos, R.A., Balakina, A.A., and Terentyev, A.A., New antitumor hybrid materials based on PtIV organic complex and polymer nanoparticles consisting of N-vinylpyrrolidone and (di)methacrylates, Mendeleev Commun., 2020, vol. 30, p. 22. https://doi.org/10.1016/j.mencom.2020.01.007
- Курмаз, С.В., Фадеева, Н.В., Федоров, Б.С., Козуб, Г.И., Курмаз, В.А., Игнатьев, В.М., Емельянова, Н.С. Амфифильные сополимеры N-винилпирролидона с (ди)метакрилатами как перспективные носители комплекса платины(IV) с противоопухолевой активностью. Изв. АН. Сер. хим. 2021. Т. 70. С. 1832. [Kurmaz, S.V., Fadeeva, N.V., Fedorov, B.S., Kozub, G.I., Kurmaz, V.A., Ignat’ev, V.M., and Emel’yanova, N.S., Amphiphilic copolymers of N-vinylpyrrolidone with (di)methacrylates as promising carriers for the platinum(IV) complex with antitumor activity, Russ. Chem. Bull. (Int. Ed.), 2021, vol. 70, p. 1832.] https://doi.org/10.1007/s11172-021-3289-x
- Kurmaz, S.V., Konev, D.V., Kurmaz, V.A., Kozub, G.I., Ignat’ev, V.M., Emel’yanova, N.S., Balakina, A.A., and Terentyev, A.A., New nanosize systems with antitumor activity based on the Pt(IV) complexes with nicotinamide ligands and amphiphilic copolymers of N-vinylpyrrolidone and (di)methacrylate, INEOS OPEN, 2021, vol. 4, p. 195. https://doi.org/10.32931/io2123a
- Kurmaz, S.V., Konev, D.V., Sen’, V.D., Kurmaz, V.A., and Kulikov, A.V., Preparation and characterization of stable water soluble hybrid nanostructures of hydrophobic compounds by encapsulation into nanoparticles of amphiphilic N-vinylpyrrolidone copolymers of new generation, IOP Conf. Ser.: Mater. Sci. Eng., 2020, vol. 848, p. 012043. https://doi.org/10.1088/1757-899X/848/1/012043
- Курмаз, С.В., Гак, В.Ю., Курмаз, В.А., Конев, Д.В. Получение и свойства гибридных наноструктур тетрафенилпорфирината цинка и амфифильного сополимера N-винилпирролидона в нейтральном водном буферном растворе. Журн. физ. химии. 2018. Т. 92. С. 329. [Kurmaz, S.V., Gak, V.Yu., Kurmaz, V.A., and Konev, D.V., Preparation and properties of hybrid nanostructures of zinc tetraphenylporphyrinate and an amphiphilic copolymer of N-vinylpyrrolidone in a neutral aqueous buffer solution, Russ. J. Phys. Chem. A, 2018, vol. 92, p. 329.] https://doi.org/10.1134/S0036024418020152
- Kurmaz, S.V., Fadeeva, N.V., Gorshkova, A.I., Kurochkin, S.A., Knerelman, E.I., Davydova, G.I., Torbov, V.I., Dremova, N.N., Kurmaz, V.A., Konev, D.V., Ignatiev, V.M., and Emelyanova, N.S., Mesoporous networks of N-vinylpyrrolidone with (di)methacrylates as precursors of ecological molecular-imprinted polymers, Materials, 2021, vol. 14, p. 6757. https://doi.org/10.3390/ma14226757
- Kurmaz, S.V., Kurochkin, S.A., Knerelman, E.I., Davydova, G.I., Torbov, V.I., Dremova, Konev, D.V., Kurmaz, V.A., and Emelyanova, N.S., Mesoporous networks of N-vinylpyrrolidone with (di)methacrylates as efficient precursors of ecological molecular imprinted polymers, in: Esubalew Kasaw Gebeyehu, ed., Prime Archives in Material Science: 4th Edition. Hyderabad, India: Vide Leaf. 2022. https://videleaf.com/wp-content/uploads/2022/02/Prime-Archives-in-Material-Science_4th-Edition.png
- Kurmaz, S.V., Fadeeva, N.V., Skripets, J.A., Komendant, R.I., Ignatiev, V.M., Emel’yanova, N.S., Soldatova, Y.V., Faingold, I.I., Poletaeva D.A., and Kotelnikova, R.A., New water-soluble forms of a-tocopherol: preparation and study of antioxidant activity in vitro, Mendeleev Commun., 2022, vol. 32, p. 117. https://doi.org/10.1016/j.mencom.2022.01.038
- Kurmaz, S.V., Ignatiev, V.M., Emel’yanova, N.S., Kurmaz, V.A., Konev, D.V., Balakina, A.A., and Terentyev, A.A., New nanosize systems Doxorubicin — amphiphilic copolymers of N-vinylpyrrolidone with (di)methacrylates with antitumor activity, Pharmaceutics, 2022, vol. 14, p. 2572. https://doi.org/10.3390/pharmaceutics14122572
- Курмаз, С.В., Иванова, И.И., Фадеева, Н.В., Перепелицина, Е.О., Лапшина, М.А., Балакина, А.А., Терентьев А.А. Новые амфифильные сополимеры N-винилпирролидона с метакриловой кислотой разветвленного строения для биомедицинских приложений. Высокомолек. соединения. Сер. А. 2022. Т. 64. С. 333. [Kurmaz, S.V., Ivanova, I.I., Fadeeva, N.V., Perepelitsina, E.O., Lapshina, M.A., Balakina, A.A., and Terent’ev, A.A., New amphiphilic branched copolymers of N-vinylpyrrolidone with methacrylic acid for biomedical applications, Polym. Sci. A, 2022, vol. 64, p. 434.] https://doi.org/10.1134/S0965545X22700237
- Kurmaz, S.V., Ivanova, I.I., Emelyanova, N.S., Konev, D.V., Kurmaz, V.A., Filatova, N.V., Balakina, A.A., and Terentiev, A.A., Doxorubicin compositions with biocompatible terpolymer of N-vinylpyrrolidone, methacrylic acid and triethylene glycol dimethacrylate, Mendeleev Commun., 2023, vol. 33, p. 255. https://doi.org/10.1016/j.mencom.2023.02.034
- Конев, Д.В., Лизгина, К.В., Истакова, О.И., Баулин, В.Е., Калашникова, И.П., Девильер, Ш., Воротынцев, М.А. Электрополимеризация 5,15 ди(п-метоксифенил)порфина магния. Электрохимия. 2016. Т. 52. С. 1289. [Konev, D.V., Lizgina, K.V., Istakova, O.I., Baulin, V.E., Kalashnikova, I.P., Devillers, C.H., and Vorotyntsev, M.A., Electropolymerization of magnesium 5, 15-di (N-methoxyphenyl) porphine, Russ. J. Electrochem., 2016, vol. 52, p. 1150.] https://doi.org/10.1134/S1023193516120077
- Сахапов, И.Ф., Гафуров, З.Н., Бабаев, В.М., Курмаз, В.А., Мухаметбареев, Р.Р., Ризванов, И.Х., Синяшин, О.Г., Яхваров, Д.Г. Электрохимические свойства и реакционная способность никельорганического сигма-комплекса [NiBr(Mes)(bpy)] (Mes = 2,4,6-триметилфенил, bpy = 2,2’-бипиридил). Электрохимия. 2015. Т. 51. С. 1197. [Sakhapov, I.F., Gafurov, Z.N., Babaev, V.M., Kurmaz, V.A., Mukhametbareev, R.R., Rizvanov, I.Kh., Sinyashin, O.G., and Yakhvarov, D.G., Electrochemical properties and reactivity of organonickel sigma complex [NiBr(Mes)(bpy)] (Mes = 2,4,6-Trimethylphenyl, bpy = 2,2’-Bipyridyl), Russ. J. Electrochem., 2015, vol. 51, p. 1061.] https://doi.org/10.1134/S1023193515110142
- Oliveira-Brett, A.M., Vivan, M., Fernandes, I.R., and Piedade, J.A.P., Electrochemical detection of in situ adriamycin oxidative damage to DNA, Talanta, 2002, vol. 56, p. 959. https://doi.org/10.1016/S0039-9140(01)00656-7
- Frisch, M.J., Trucks, G.W., Schlegel, H.B., Scuseria, G.E., Robb, M.A., Cheeseman, J.R., Scalmani, G., Barone, V., Mennucci, B., Petersson, G.A., et. al., Gaussian 09, Revision, B.01; Gaussian Inc.: Wallingford, CT, USA, 2009.
- Laikov, D.N., Fast evaluation of density functional exchange-correlation terms using the expansion of the electron density in auxiliary basis sets, Chem. Phys. Lett., 1997, vol. 281, p. 151. https://doi.org/10.1016/S0009-2614(97)01206-2
- Tao, J.M., Perdew, J.P., Staroverov, V.N., and Scuseria, G.E., Climbing the density functional ladder: Nonempirical meta–generalized gradient approximation designed for molecules and solids, Phys. Rev. Lett., 2003, vol. 91, p. 146401. https://doi.org/10.1103/PhysRevLett.91.146401
- Espinosa, E., Molins, E., and Lecomte, C., Hydrogen bond strengths revealed by topological analyses of experimentally observed electron densities, Chem. Phys. Lett., 1998, vol. 285, p. 170. https://doi.org/10.1016/S0009-2614(98)00036-0
- Томилов, А.П., Майрановский, С.Г., Фиошин, М.Я., Смирнов, В.А. Электрохимия органических соединений. Л.: Химия, 1968. 592 с. [Tomilov, A.P., Mairanovsky, S.G., Fioshin, M.Ya., and Smirnov, V.A., Electrochemistry of Organic Compounds (in Russian), Leningrad: Khimiya, 1968. 592 p.]
- Майрановский, С.Г., Страдынь, Я.П., Безуглый, В.Д. Полярография в органической химии. М.: Химия, 1975. 352 с. [Mairanovsky, S.G., Stradyn’, J.P., and Bezugliy, V.D., Polarography in Organic Chemistry (in Russian), Moscow: Khimiya, 1975. 352 p.]
- Хаммерих, О. Окисление кислородсодержащих соединений. В: Органическая электрохимия, С. 469–503. М.: Химия, 1988. 1024 с. Пер. с англ. Под ред. Петросяна, В.А., Феоктистова, Л.Г. [Hammerich, O., Oxidation of oxygen-containing compounds. In: Organic Electrochemistry. An Introduction and a Guide, Baizer, M.M. and Lund, H., Eds, N.Y. and Basel; Marcel Dekker, Inc., 1983, 1093.]
- Krayz, G.T., Bittner, S., Dhiman, A., and Becker, J.Y., Electrochemistry of quinones with respect to their role in biomedical chemistry, Chem. Rec., 2021, vol. 21, p. 2332. https://doi.org/10.1002/tcr.202100069
- Русаков, А.И., Мендкович, А.С., Гультяй, В.П., Орлов, В.Ю. Структура и реакционная способность органических анион-радикалов. М.: Мир, 2005. 294 с. [Rusakov, A.I., Mendkovich, A.S., Gultyai, V.P., and Orlov, V.Yu., Structure and Reactivity of Organic Radical Anions (in Russian), Moscow: Mir, 2005. 294 p.]
- Krivenko, A.G., Kotkin, A.S., and Kurmaz, V.A., The beta-hydroxyethyl radical as a model system for two-pathway electroreduction in the presence of proton donors, Mendeleev Commun., 1998, vol. 8, p. 56. https://doi.org/1070/MC1998v008n02ABEH000922
- Krivenko, A.G., Kotkin, A.S., and Kurmaz, V.A., Mechanism of electroreduction of intermediates with and without a proton donor, Electrochim. Acta, 2002, vol. 47, p. 3891. https://doi.org/10.1016/S0013-4686(02)00358-4
- Курмаз, В.А., Гультяй, В.П. Электродные реакции и электроанализ ртутьорганических соединений. Успехи химии. 2010. Т. 79. С. 348. [Kurmaz, V.A. and Gultyai, V.P., Electrode reactions and electroanalysis of organomercury compounds, Russ. Chem. Revs., 2010, vol. 79, p. 307.] https://doi.org/10.1070/RC2010v079n04ABEH004062
- Baldwin, R.P., Packett, D., and Woodcock, T.M., Electrochemical-behavior of adriamycin at carbon paste electrodes, Analyt. Chem., 1981, vol. 53, p. 540. https://doi.org/10.1021/ac00226a037
- Rao, G.M., Lown, J.W., and Plambeck, J.A., Electrochemical studies of anti-tumor antibiotics. 3. Daunorubicin and Adriamycin, J. Electrochem. Soc., 1978, vol. 125, p. 534. https://doi.org/10.1149/1.2131493
- Berg, H., Horn, G., Luthardt, U., and Ihn, W., Interaction of anthracycline antibiotics with bio-polymers. 5. Polarographic-behavior and complexes with DNA, Bioelectrochem. Bioenergetics, 1981, vol. 8, p. 537. https://doi.org/10.1016/0302-4598(81)80025-6
- Kano, K., Konse, T., Nishimura, N., and Kubota, T., Electrochemical properties of adriamycin adsorbed on a mercury-electrode surface, Bull. Chem. Soc. Japan, 1984, vol. 57, p. 2383. https://doi.org/10.1246/bcsj.57.2383
- Kano, K., Konse, T., and Kubota, T., The effects of the pH and the temperature on the oxidation-reduction properties of adriamycin adsorbed on a mercury-electrode surface, Bull. Chem. Soc. Japan, 1985, vol. 58, p. 424. https://doi.org/10.1246/bcsj.58.424
- Kano, K., Konse, T., Hasegawa, K., Uno, B., and Kubota, T., Electrochemical study of the mechanism and kinetics of reductive glycoside elimination of adriamycin adsorbed on a mercury-electrode surface, J. Electroanalyt. Chem., 1987, vol. 225, p. 187. https://doi.org/10.1016/0022-0728(87)80013-X
- Kano, K., Konse, T., and Kubota, T., The curve fitting analysis of DC and AC voltammograms of a 2-step surface-redox reaction — the application to the surface-redox system of adriamycin adsorbed on a pyrolytic-graphite electrode, Bull. Chem. Soc. Japan, 1985, vol. 58, p. 1879. https://doi.org/10.1246/bcsj.58.1879
- Konse, T., Kano, K., and Kubota, T., Determination of the equilibrium and kinetic-parameters for the surface-redox reaction of hydroquinone moiety of adsorbed adriamycin by means of numerical-simulation of DC voltammogram, Bull. Chem. Soc. Japan, 1986, vol. 59, p. 265. https://doi.org/10.1246/bcsj.59.265
- Komorsky-Lovric, S., Redox kinetics of adriamycin adsorbed on the surface of graphite and mercury electrodes, Bioelectrochem., 2006, vol. 69, p. 82. https://doi.org/10.1016/j.bioelechem.2005.10.006
- Komorsky-Lovric, S. and Lovric, M., Electrode reaction of adriamycin interpreted as two consecutive electron transfers with stabilization of the intermediate, Coll. Czechosl. Chem. Commun., 2007, vol. 72, p. 1398. https://doi.org/10.1135/cccc20071398
- Vacek, J., Havran, L., and Fojta, M., The reduction of doxorubicin at a mercury electrode and monitoring its interaction with DNA using constant current chronopotentiometry, Coll. Czechosl. Chem. Commun., 2009, vol. 74, p. 1727. https://doi.org/10.1135/cccc2009512
- Nieciecka, D. and Krysinski, P., Interactions of doxorubicin with self-assembled monolayer-modified electrodes: Electrochemical, surface plasmon resonance (SPR), and gravimetric studies, Langmuir, 2011, vol. 27, p. 1100. https://doi.org/10.1021/la103583g
- Hahn, Y.H. and Lee, H.Y., Electrochemical behavior and square wave voltammetric determination of doxorubicin hydrochloride, Arch. Pharm. Res., 2004, vol. 27, p. 31. https://doi.org/10.1007/BF02980041
- Oliveira-Brett, A.M., Piedade, J.A.P., and Chiorcea, A.M., Anodic voltammetry and AFM imaging of picomoles of adriamycin adsorbed onto carbon surfaces, J. Electroanal. Chem., 2002, vol. 538–539, p. 267. https://doi.org/10.1016/S0022-0728(02)00944-0
- Malatesta, V., Penco, S., Sacchi, N., Valentini, L., Vigevani, A., and Arcamone, F., Electrochemical deglycosidation of anthracyclines — stereoelectronic requirements, Canad. J. Chem.-Rev. Canad. Chim., 1984, vol. 62, p. 2845. https://doi.org/10.1139/v84-481
- Ozalp-Yaman, S., Onal, A.M., and Turker, L., Electrochemical and quantum chemical studies on mitomycin and adriamycin, J. Mol. Struct., 2003, vol. 654, p. 81. https://doi.org/10.1016/S0022-2860(03)00176-5
- Land, E.J., Mukherjee, T., Swallow, A.J., and Bruce, J.M., One-electron reduction of adriamycin: Properties of the semiquinone, Arch. Biochem. Biophys., 1983, vol. 225, p. 116. https://doi.org/10.1016/0003-9861(83)90013-9
- Vajdle, O., Zbiljic, J., Tasic, B., Jovic, D., Guzsvany, V., and Djordjevic, A., Voltammetric behavior of doxorubicin at a renewable silver-amalgam film electrode and its determination in human urine, Electrochim. Acta, 2014, vol. 132, p. 49. https://doi.org/10.1016/j.electacta.2014.03.124
- Golabi, S.M. and Nematollahi, D., Polarographic-determination of doxorubicin and daunorubicin in pharmaceutical preparations and biological media, J. Pharm. Biomed. Anal., 1992, vol. 10, p. 1053. https://doi.org/10.1016/0731-7085(91)80118-S
- Jemelkova, Z., Zima, J., and Barek, J., Voltammetric and amperometric determination of doxorubicin using carbon paste electrodes, Coll. Czechosl. Chem. Commun., 2009, vol. 74, p. 1503. https://doi.org/10.1135/cccc2009081
- Vacek, J., Havran, L., and Fojta, M., Ex situ voltammetry and chronopotentiometry of doxorubicin at a pyrolytic graphite electrode: redox and catalytic properties and analytical applications, Electroanalysis, 2009, vol. 21, p. 2139. https://doi.org/10.1002/elan.200904646
- Haghshenas, E., Madrakian, T., and Afkhami, A., Electrochemically oxidized multiwalled carbon nanotube/glassy carbon electrode as a probe for simultaneous determination of dopamine and doxorubicin in biological samples, Anal. Bioanal. Chem., 2016, vol. 408, p. 2577. https://doi.org/10.1007/s00216-016-9361-y
- Skalova, S., Langmaier, J., Barek, J., Vyskocil, V., and Navratil, T., Doxorubicin determination using two novel voltammetric approaches: A comparative study, Electrochim. Acta, 2020, vol. 330, 135180. https://doi.org/10.1016/j.electacta.2019.135180
- Hajian, R., Shams, N., and Mohagheghian, M., Study on the interaction between Doxorubicin and deoxyribonucleic acid with the use of methylene blue as a probe, J. Brazilian Chem. Soc., 2009, vol. 20, p. 1399. https://doi.org/10.1590/S0103-50532009000800003
- Chaney, E.N. and Baldwin, R.P., Voltammetric determination of doxorubicin in urine by adsorptive preconcentration and flow-injection analysis, Anal. Chim. Acta, 1985, vol. 176, p. 105. https://doi.org/10.1016/S0003-2670(00)81637-2
- Chaney, E.N. and Baldwin, R.P., Electrochemical determination of adriamycin compounds in urine by pre-concentration at carbon paste electrodes, Anal. Chem., 1982, vol. 54, p. 2556. https://doi.org/10.1021/ac00251a034
- Wang, M.F., Lin, J., Gong, J.W., Ma, M.C., Tang, H.L., Liu, J.Y., Yan, F., and Yan, F., Rapid and sensitive determination of doxorubicin in human whole blood by vertically-ordered mesoporous silica film modified electrochemically pretreated glassy carbon electrodes, RSC Adv., 2021, vol. 11, p. 9021. https://doi.org/10.1039/d0ra10000e
- Brzozowska, M. and Krysinski, P., Synthesis and functionalization of magnetic nanoparticles with covalently bound electroactive compound doxorubicin, Electrochim. Acta, 2009, vol. 54, p. 5065. https://doi.org/10.1016/j.electacta.2008.11.018
- Fülöp, Z., Gref, R., and Loftsson, T., A permeation method for detection of self-aggregation of doxorubicinin aqueous environment, Intern. J. Pharm., 2013, vol. 454, p. 559. https://doi.org/10.1016/j.ijpharm.2013.06.058
- Янилкин, В.В., Кривенко, А.Г. Электрохимия наносистем. М.: РАН, 2021. 240 с. [Yanylkin, V.V. and Krivenko, A.G., Electrochemistry of Nanosystems, Moscow, RAS, 2021. 240 p.]
- Ловрич, М. Квадратно-волновая вольтамперометрия. В Электроаналитические методы. Шольц Ф., ред. М.: Бином, Лаборатория знаний, 2006, С. 117. [Lovrich, M., Square-wave Voltammetry, in Electroanalytical Methods. Guide to Experiments and Applications, Ed. Scholz, F., 2002, p. 121. Berlin-Heidelberg. Springer-Verlag.]
- Laviron, E., General expression of the linear potential sweep voltammogram in the case of diffusionless electrochemical systems, J. Electroanal. Chem., 1979, vol. 101, p. 19. https://doi.org/10.1016/S0022-0728(79)80075-3
- Kurmaz, S.V., Fadeeva, N.V., Ignat’ev, V.M., Kurmaz, V.A., Kurochkin, S.A., and Emel’yanova, N.S., Structure and state of water in branched N-vinylpyrrolidone copolymers as carriers of a hydrophilic biologically active compound, Molecules, 2020, vol. 25, p. 6015. https://doi.org/10.3390/molecules25246015
- Demin, A.M., Vakhrushev, A.V., Valova, M.S., Korolyova, M.A., Uimin, M.A., Minin, A.S., Chistyakov, K.A., Krasnov, V.P., and Charushin, V.N., Features of doxorubicin adsorption on Fe3O4 magnetic nanoparticles coated with SiO2 or SiO2/aminopropylsilane, Mendeleev Commun., 2023, vol. 33, p. 160. https://doi.org/10.1016/j.mencom.2023.02.004
- Kuwabara, T., Noda, T., Ohtake, H., Ohtake, T., Toyama, S., and Ikariyama, Y., Classification of DNA-binding mode of antitumor and antiviral agents by the electrochemiluminescence of ruthenium complex, Anal. Biochem., 2003, vol. 314, p. 30. https://doi.org/10.1016/S0003-2697(02)00651-6
补充文件














