Effect of solution composition on the desorption behavior of self-assembled monolayers of alkanethiols with different terminal groups
- Authors: Ovchinnikova S.N.1, Aleksandrova T.P.1,2
-
Affiliations:
- Institute of Solid State Chemistry and Mechanochemistry of the Siberian Branch of the Russian Academy of Sciences
- Novosibirsk State Technical University
- Issue: Vol 60, No 4 (2024)
- Pages: 300-308
- Section: Articles
- URL: https://journals.rcsi.science/0424-8570/article/view/265895
- DOI: https://doi.org/10.31857/S0424857024040042
- EDN: https://elibrary.ru/QWSMQX
- ID: 265895
Cite item
Full Text
Abstract
Voltammetry and chronoamperometry are used to study the effect of the composition of a solution on the desorption behavior of self-assembled monolayers (SAMs) of alkanethiols with approximately the same chain length but different end groups of thiols (R: –CH3, –CH2OH, and –NH2). The hydrophilic properties of terminal groups for the studied thiols increase in the –CH3 << –NH2 ≤ –CH2OH series. It has been found that the anion and cation compositions of electrolyte significantly affect the electrochemical stability and blocking ability of SAMs of thiols with different terminal groups. It has been established that the electrochemical stability and blocking ability of SAMs decrease in the Li+, Na+, K+ series in basic solutions regardless of the thiol terminal group. The cation nature in perchlorate and chloride solutions is manifested only for thiol with terminal group-NH2. The shape of cathode voltammograms changes for this thiol when passing from basic to ClO4– and Сl– medium, possibly owing to a change in the degree of protonation of the amino group.
Keywords
Full Text
ВВЕДЕНИЕ
Самоорганизованные монослои (Self-assembled monolayers — SAMs), образующиеся при адсорбции алкантиолов (АТ) на поверхности различных металлов, широко используются как в фундаментальных исследованиях кинетики электродных процессов, так и при создании наноустройств, в том числе детекторов, электро- и биосенсоров [1, 2]. Эффективность работы таких наноустройств во многом определяется барьерными свойствами монослоев. Нарушение целостности монослоев АТ, находящихся в контакте с различными растворами, может происходить из-за проницаемости ионных и молекулярных компонентов раствора. Наблюдается зависимость проницаемости SAMs от толщины монослоя [3, 4], электродного потенциала [5, 6] и природы иона раствора [3, 7, 8]. Причем одни авторы объясняют проницаемость монослоев алкантиола их дефектной структурой [3–6], а другие допускают проникновение ионов через бездефектные плотноупакованные монослои алкантиолов за счет существования в монослоях естественных каналов размером ~3 Å, по которым могут двигаться ионы и небольшие молекулы растворителя [7] или конформации тиольной группы при достаточно высоком электродном потенциале, приводящие к изменению структуры монослоя и облегчению проникновения ионов [5, 9].
Природа концевой функциональной группы определяет поверхностные свойства SAMs и обеспечивает основу для последующих взаимодействий, например, с пептидами, белками, ДНК. В водных электролитах, являющихся естественной средой для многих биоагентов, свойства SAMs зависят не только от связи S–Me и боковых взаимодействий между углеродными цепочками, но и от взаимодействия конечная группа — окружающая среда. Взаимодействия между конечными группами и ионами в растворе для незаряженных групп в основном определяются их полярностью, гидрофобностью и селективными взаимодействиями. Для тиолов с такими конечными группами, как –СООН, –SO3H, –NH2, варьируя рН раствора, можно получать заряженную поверхность Me/SAMs, тогда на плотность упаковки, стабильность и проницаемость нанопленки дополнительно будут влиять электростатические взаимодействия между конечными группами и ионами в растворе. Появление заряда на конечной группе приводит к возникновению сил отталкивания между группами, которые дестабилизируют SAMs, однако формирование слоя противоионов может уменьшать действие этих сил [10–13].
В водных растворах для исследования стабильности и проницаемости SAMs алкантиолов на Au часто используется метод вольтамперометрии (ВА). Область потенциалов электрохимической стабильности адсорбированных на золоте алкантиолов находится между −1.0 и +0.8 В. За пределами этой области алкантиолы десорбируются с поверхности золота за счет восстановительной или окислительной десорбции. Информативным является одноэлектронный процесс восстановительной десорбции (R–Sads + e = R–S–), который в литературе изучен достаточно детально, так как фиксируется на вольтамперограммах в виде резкого пика тока, характеристики которого чувствительны к структуре и свойствам формируемого монослоя тиола [14].
Ранее этим методом мы исследовали десорбционное поведение SAMs АТ с одинаковой длиной цепи, но с различной концевой группой R: –CH3, –CH2OH, –NH2 [15]. Для исследованных тиолов гидрофильность концевых групп увеличивается в ряду –CH3 << –NH2 ≤ –CH2OH; они также различаются полярностью и возможностью протонирования аминогруппы. Было показано, что для тиолов с концевыми группами –CH3 и –CH2OH увеличение гидрофильности концевой группы приводит к образованию менее стабильных и менее упорядоченных пленок, что может быть связано с образованием водородных связей полярной группы –CH2OH с молекулами растворителя. Замена углерода на азот в паре тиолов с примерно одинаковой гидрофильностью групп (–CH2OH и –NH2) приводит к образованию более электрохимически стабильной пленки, состоящей из молекул преимущественно в одном энергетическом состоянии, но с худшими изоляционными свойствами.
На сегодняшний день нет общепринятых представлений о причинах нарушения целостности SAMs алкантиолов и механизме проникновения ионов из водных растворов электролитов. Представляло интерес получить систематические данные о влиянии состава раствора на электрохимическую стабильность и блокирующую способность SAMs тиолов с различной концевой группой. В этой работе мы сравнили электродесорбционные данные упорядоченных SAMs с концевой аминогруппой HS(CH2)8–NH2 с тиолами с –CH3 и –CH2OH конечными группами примерно такой же длины цепи на золотом электроде в щелочных, хлоридных и перхлоратных растворах с различными катионами: Li+, Na+, K+.
ЭКСПЕРИМЕНТАЛЬНАЯ ЧАСТЬ
1-октантиол (СH3(CH2)7SH), 8-меркапто-1-нонанол (CH2OH(CH2)8SH) и 8-амино-1-октантиол (NH2(CH2)8SH), этиловый спирт С2H5OН (96 мас. %, ректификат) использовались без дополнительной очистки. Растворы готовились из реактивов марки “х.ч.” и особо чистой воды систем очистки Millipore (18 МОм). Измерения проводились в естественно аэрированных растворах при комнатной температуре 23 ± 1°С. При необходимости удаления растворенного кислорода растворы перед измерениями продувались аргоном в течение 20 мин с поддерживанием атмосферы аргона над раствором в течение эксперимента. Так как АТ в воде практически не растворимы, но хорошо растворимы в этаноле, то для получения однородных водных растворов тиолов использовалась следующая процедура: в фоновый раствор вводилось при перемешивании определенное количество спиртового 10 мМ раствора тиола, при этом получался коллоидный раствор с концентрацией 0.1 мМ тиола.
Электрохимические измерения
Исследования проводились с использованием программно-управляемого потенциостата (IPC-Compact, ИФХЭ РАН, Москва, Россия) и трехэлектродной ячейки. Потенциал (Е) измерялся относительно насыщенного каломельного электрода (н.к.э.) сравнения. Вспомогательным электродом служила платиновая проволока с площадью, существенно превышающей площадь рабочего электрода. Все значения потенциалов в статье приведены относительно потенциала н.к.э. Рабочим электродом служил торец Au-проволоки (чистота 99.99%), имеющей диаметр 0.5 мм и заключенной в тефлоновую оболочку. Поверхность рабочего электрода перед каждым измерением обновлялась путем среза тонкого (2–3 мкм) поверхностного слоя металла с помощью гексанитового резца непосредственно в исследуемом растворе при контролируемом потенциале [16]. Видимая поверхность электрода близка к 2·10−3 см2 и воспроизводилась от среза к срезу с точностью не хуже ±3% [17]. Величина истинной поверхности электрода определялась с учетом заряда для монослойной адсорбции кислорода (400 мкКл см−2) в соответствии с методом Р.Х. Бурштейн [18]. Рассчитанное значение фактора шероховатости равнялось 1.8, что близко к значению, полученному в работе [19]. Вольт-амперные кривые получали в потенциодинамическом режиме при скорости развертки 50 мВ с−1.
Формирование SAMs
Формирование SAMs тиола проводили при контакте чистой (свежесрезанной) поверхности Au-электрода с тиол-содержащим (0.1 мМ) водным раствором фонового электролита при заданном потенциале адсорбции. Сразу после окончания формирования SAMs снимали вольт-амперные кривые в этом же растворе для контроля блокирующих свойств получаемых пленок в области потенциалов от −200 до −900 мВ и фиксирования сигнала восстановительной десорбции SAMs тиола при потенциалах отрицательнее −900 мВ.
Для выбора оптимальных для всех типов тиолов условий формирования SAMs было изучено влияние концентрации фонового раствора, потенциала адсорбции тиолов и времени адсорбции (t). По результатам этого исследования были выбраны одинаковые для всех изучаемых тиолов условия формирования SAMs: время адсор- бции тиола значительно превышало время формирования изолирующих пленок тиолов и составляло t = 120 с; так как адсорбция является наиболее быстрой в области потенциалов от −0.2 до −0.6 В, то для расширения зоны исследования блокирующих свойств монослоя потенциал адсорбции тиола был выбран равным Е = −200 мВ; водные растворы содержали 10−4 М тиола и 0.02 М ионов фонового раствора.
РЕЗУЛЬТАТЫ И ОБСУЖДЕНИЕ
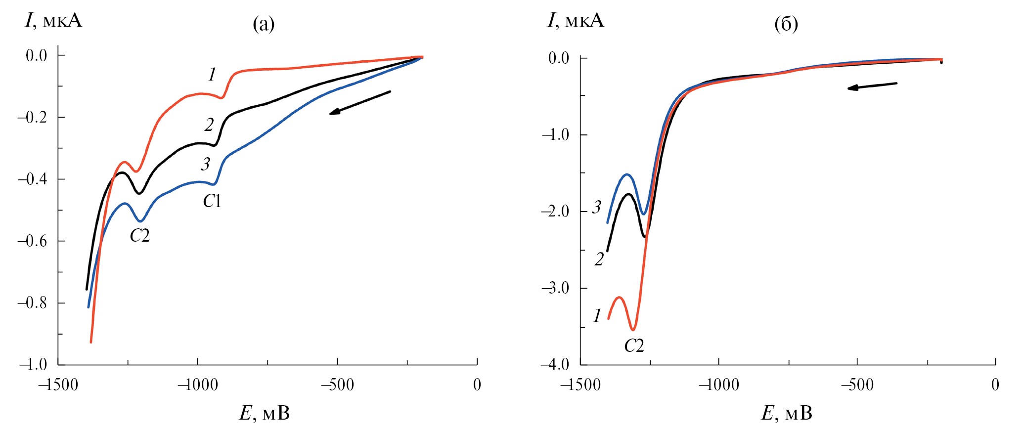
На рис. 1 представлены катодные вольт-амперные кривые, полученные на модифицированных исследуемыми тиолами Au/SAMs электродах в щелочных деаэрированных растворах. Как видно, для всех тиолов фиксируется десорбционный сигнал в два пика тока С1 и С2 при потенциалах отрицательнее −0.9 В, отражающий наличие энергетически разных структур на поверхности золота [20]. Эти пики фиксируются в обычной для модифицированных алкантиолами золотых электродов области потенциалов [21–26], их характеристики чувствительны к условиям формирования монослоя АТ и они отсутствуют при повторном катодном сканировании после десорбции SAMs. Следующий подъем тока при потенциалах отрицательнее −1.2 В связан с восстановлением молекул воды. Следует отметить, что мультипиковая форма десорбционного сигнала известна, и для объяснения причин появления в процессах десорбции алкантиолов нескольких пиков в литературе предложены различные гипотезы, включая существование доменов SАМs с различной стабильностью за счет положения молекул тиола на поверхности металла (“лежачие” или “вертикальные”), расположения на разных гранях поликристаллического электрода, появление дополнительного емкостного тока при перестройке десорбированных тиолят-ионов в мицеллу, катализ реакции разложения слоя молекул воды, расположенных между поверхностью золота и десорбированными агрегатами тиола [27–29].
Рис. 1. Катодные вольтамперограммы Au/SAMs электродов, полученных при выдержке 120 с при Е = −200 мВ в деаэрированном 0.02 М растворе: 1 — LiOH, 2 — NaOН, 3 — KOH в присутствии 0.1 мМ тиолов с разной концевой группой: –CH3 (а), –CH2OH (б), –NH2 (в).
При интегрировании площади под пиками С1 и С2 мы определили количество электричества, затраченное на процесс восстановительной десорбции Qdes, которое изменялось в пределах от −120 до −200 мкКл см−2. По литературным данным на одноэлектронный процесс восстановительной десорбции монослоя алкантиола с поверхности золота затрачивается от 85 до 115 мкКл см−2 [26–28], тогда как расчет согласно закону Фарадея, для Au(111) дает QF ~70 мкКл см−2 [27]. Превышение определяемых по вольт-амперным кривым величин Qdes над QF связано с тем, что величина Qdes состоит из фарадеевской и емкостной составляющих. С учетом нефарадеевского вклада наши результаты показывают, что АТ при адсорбции из щелочных растворов образуют на Au компактный нанослой толщиной в 1–2 монослоя.
При этом вне зависимости от природы конечной группы тиола при смене катиона фонового раствора наблюдается одна и та же тенденция изменения формы вольтамперной кривой: в ряду Li+, Na+, K+ увеличивается величина катодного тока в области потенциалов от 0 до −800 мВ, которая характеризует изолирующие свойства нанопленок. В этом же ряду происходит смещение пиков десорбции в сторону положительных потенциалов для тиолов с –CH3- и –CH2OH-группой, что свидетельствует об уменьшении электрохимической стабильности пленки. Для тиола с концевой аминогруппой, в щелочных растворах находящейся в непротонированной форме, стабильность пленок не зависит от природы катиона.
Такое влияние природы катионов раствора на электрохимическое поведение нанопленок тиолов можно объяснить проникновением катионов из приэлектродного слоя раствора в структуру SAMs [7, 30]. Так как в ряду Li+, Na+, K+ происходит рост подвижности ионов (39, 52, 76 Ом−1 г-экв−1 см2) и уменьшение радиуса гидратированных ионов (3.7, 3.3, 2.85 Å) [31], то самому большому и малоподвижному гидратированному иону лития труднее проникать в плотноупакованный монослой тиола под воздействием сил электрического поля к отрицательно заряженной поверхности золота. Из этого следует, что ионы лития менее всего должны влиять на структуру SAMs в процессе его десорбции.
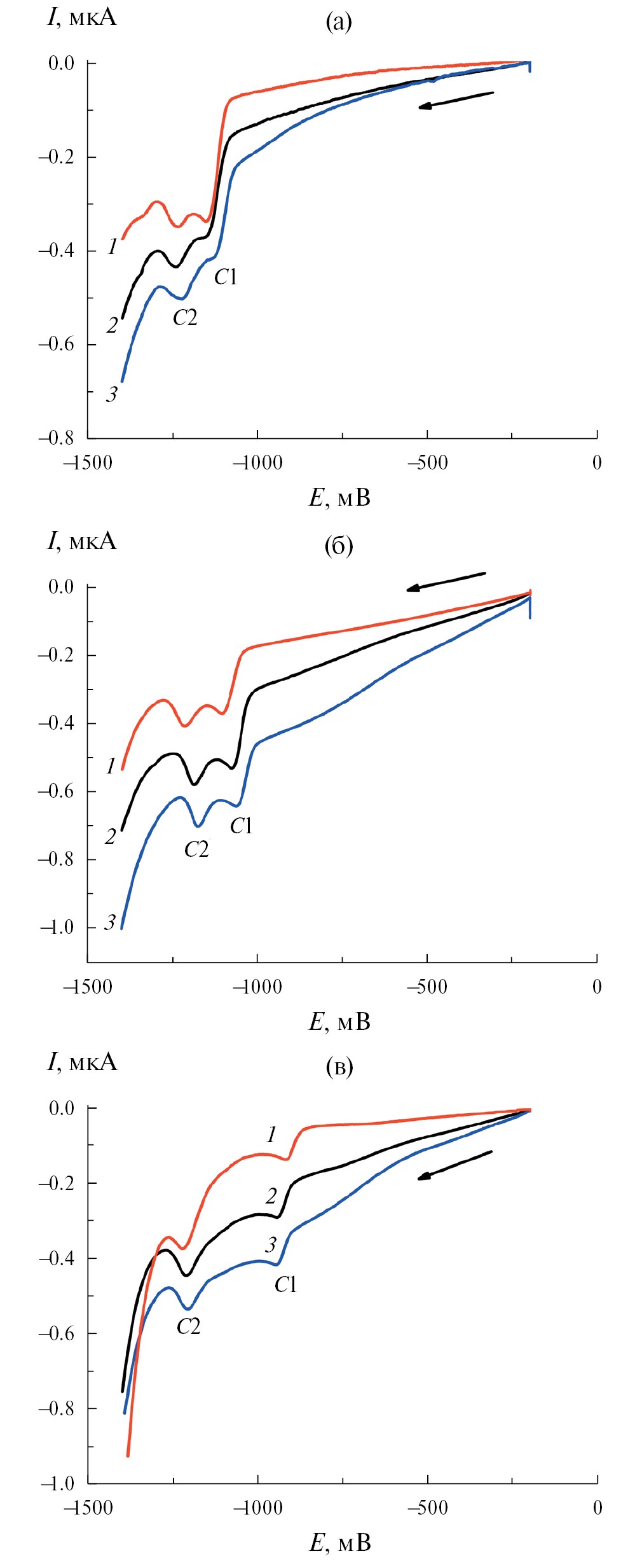
Иная картина наблюдается в перхлоратных и хлоридных растворах. Для тиолов с –CH3- и –CH2OH-группой природа катиона в явной форме не сказывается на десорбционном поведении SAMs в этих растворах. Однако для тиола с –NH2-группой выявлен ряд особенностей поведения в перхлоратных и хлоридных растворах по сравнению со щелочными. Так как в перхлоратных и хлоридных растворах обнаружены похожие тенденции влияния состава раствора на десорбционное поведение тиола, то далее будем представлять результаты на примере перхлоратного раствора. Как видно из рис. 2, при переходе от ОН–- к ClO4–-среде наблюдается смена характера десорбционного сигнала, когда мультипиковый десорбционный сигнал переходит в один пик, который фиксируется при более отрицательных потенциалах. Это свидетельствует о росте стабильности пленки, состоящей преимущественно из молекул в одном энергетическом состоянии, при котором молекулы тиола более прочно связаны с поверхностью золота. Такое поведение 8-амино-1-октантиола можно объяснить возникновением второй связи молекулы тиола с поверхностью золота через азот, что удерживает молекулы тиола в “лежачем” положении: Au‧‧S–(CH2)8 –N‧‧Au [12].
Рис. 2. Катодные вольтамперограммы Au/SR–NH2 электрода, полученного при выдержке 120 с при Е = −200 мВ в деаэрированном растворе 0.1 мМ тиола + 0.02 М щелочного (а) и перхлоратного (б) раствора с разными катионами: 1 — Li+, 2 — Na+, 3 — K+.
В перхлоратных и хлоридных растворах также наблюдается значительное увеличение десорбционного пика тока, что можно объяснить смещением пика в область более отрицательных потенциалов, где процесс разложения воды протекает с достаточной скоростью. Этот процесс, вероятно, и вносит вклад в величину десорбционного пика тока при освобождении поверхности Au при десорбции тиола [15].
Смена характера вольт-амперных кривых при переходе от щелочной к ClO4–- и Сl–-среде может быть связана как с разной адсорбционной способностью анионов на золоте, так и с изменением степени протонирования аминогруппы. Так, для ОН–-ионов характерна сильная адсорбция на золоте в области потенциалов от +0.6 до –0.65 В, тогда как ClO4–- и Сl–- ионы при потенциалах отрицательнее +200 мВ специфически не адсорбируются [32–35]. В щелочных растворах в области потенциалов сильной адсорбции ОН–-ионов этот процесс является конкурентным для процесса адсорбции тиола и может способствовать адсорбции молекул тиола в “вертикальном” положении наряду с молекулами в “лежачем” положении. А в присутствии слабо адсорбирующихся на золоте ClO4–- и Сl–- ионов пленка формируется преимущественно из молекул NH2(CH2)8SH в “лежачем” положении, что и проявляется в фиксировании одного пика десорбции на вольтамперограммах.
Для проверки влияния адсорбции ОН–-ионов на процесс формирования SAMs были проведены эксперименты с изменением потенциала адсорбции тиола, предполагая, что по мере смещения потенциала в отрицательную сторону эффект от явлений, связанных со специфической адсорбцией ОН–-ионов, должен уменьшаться, и при потенциалах Е < −0.7 В свойства электрода должны приближаться к свойствам в растворах, содержащих специфически неадсорбируемые анионы ClO4– и Сl–. На рис. 3а показаны вольт-амперные кривые Au/SR-NH2 электрода в щелочных растворах в зависимости от потенциала адсорбции, подтверждающие это предположение. Как видно, при смещении потенциала адсорбции тиола в отрицательную область наблюдается постепенное уменьшение первого пика десорбции, и при Е = –0.8 В происходит резкое увеличение второго пика.
Изменение вида вольт-амперных кривых при переходе от щелочной к ClO4–- и Сl–-среде также может быть связано с изменением степени протонирования концевой группы от –NH2 в щелочной среде до –NH3+ в ClO4–- и Сl–-среде. Появление заряда на конце молекулы может способствовать стабилизации молекул тиола в “лежачем” положении, которые более прочно связаны с Au за счет образования второй связи молекулы тиола через азот, что отражается на положении десорбционного пика в области более отрицательных потенциалов. В пользу справедливости этого предположения свидетельствуют данные рис. 3б, показывающие изменение десорбционного сигнала при увеличении рН 0.02 М NaClO4 раствора с добавлением NaOH. Как видно, при рН ≤ 11.2 фиксируются кривые с характерным для частично протонированной формы тиола десорбционным сигналом (кривые 1 и 2), а при рН 11.9 — форма кривой (кривая 3) становится похожа на кривую для щелочного раствора, в котором тиол находится с непротонированной –NH2-группой (кривая 4). Следует отметить, что рассчитать область рН перехода от протонированной к непротонированной форме концевой группы тиола и степень ее протонирования при рН 6 в 0.02 М NaClO4 растворе затруднительно, так как определение pKA для SR–NH2 SAMs является непростой задачей, и в литературе существует заметный разброс значений pKA (до 6 единиц для одного вида тиола) [36].
Рис. 3. Катодные вольтамперограммы Au/SR–NH2 электрода, полученного при выдержке 120 с в аэрированном растворе: (а) 0.1 мМ тиола и 0.02 М NaOH при разных потенциалах Е, В: 1 — (–0.2), 2 — (–0.6), 3 — (–0.7), 4 — (–0.8); (б) 0.1 мМ тиола и 0.02 М (NaClO4 + NaOH) при Е= –200 мВ при разных рН раствора: 1 — 6.0 (0.02 М NaClO4), 2 — 11.2, 3 — 11.9, 4 — 12.3 (0.02 М NaOH).
Еще одной особенностью поведения пленки с концевой аминогруппой в перхлоратных и хлоридных растворах является иная зависимость десорбционного пика от природы катиона по сравнению со щелочным раствором, когда его величина растет в ряду K+, Na+, Li+. Такое влияние природы катиона на величину десорбционного пика может быть связано со степенью гидратации ионов, проникающих через SAMs к поверхности металла и доставляющих молекулы воды, участвующие в реакции их восстановления, так как эффект коррелирует с ростом числа гидратации катионов [37] в ряду K+, Na+, Li+ (2.3, 4.0, 5.3) и максимален для наиболее гидратированного иона лития.
ЗАКЛЮЧЕНИЕ
Исследовано влияние природы катионов и анионов раствора на электродесорбционное поведение хорошо сформированных на золоте нанопленок тиолов с примерно одинаковой длиной цепи, но с различной природой концевой группы тиолов. Выявлено существенное влияние как анионного, так и катионного состава электролита на стабильность и блокирующую способность SAMs с различными концевыми группами.
Установлено, что в щелочных растворах вне зависимости от природы конечной группы тиола электрохимическая стабильность и блокирующая способность SAMs уменьшается в ряду Li+, Na+, K+, что можно объяснить проникновением катионов из приэлектродного слоя раствора в структуру SAMs, так как эти данные коррелируют с подвижностью и размерами катионов.
В перхлоратных и хлоридных растворах природа катиона в явной форме проявляется только для тиола с концевой –NH2-группой. Для этого тиола при переходе от щелочной к ClO4–- и Сl–-среде характерна смена вида катодных вольт-амперных кривых, что может быть связано как с разной адсорбционной способностью анионов на золоте, так и с изменением степени протонирования аминогруппы. В перхлоратных и хлоридных растворах отсутствие специфической адсорбции анионов на золоте и появление заряда на конце молекулы тиола способствуют стабилизации молекул тиола в “лежачем” положении за счет образования второго активного центра связи через азот. Влияние природы катиона на величину десорбционного пика тока пленки тиола с аминогруппой может быть связано со степенью гидратации ионов.
ФИНАНСИРОВАНИЕ РАБОТЫ
Работа выполнена в рамках государственного задания ИХТТМ СО РАН (121032500066-2).
КОНФЛИКТ ИНТЕРЕСОВ
Авторы заявляют, что у них нет конфликта интересов.
About the authors
S. N. Ovchinnikova
Institute of Solid State Chemistry and Mechanochemistry of the Siberian Branch of the Russian Academy of Sciences
Author for correspondence.
Email: ovchin@solid.nsc.ru
Russian Federation, Novosibirsk
T. P. Aleksandrova
Institute of Solid State Chemistry and Mechanochemistry of the Siberian Branch of the Russian Academy of Sciences; Novosibirsk State Technical University
Email: taleks99@mail.ru
Russian Federation, Novosibirsk; K. Marx ave., 20, Novosibirsk, 630073
References
- Galbiati, M., Barraud, C., Tatay, S., Bouzehouane, K., Deranlot, C., Jacquet, E., Fert, A., Seneor, P., Mattana, R., and Petroff, F., Unveiling self-assembled monolayers’ potential for molecular spintronics: spin transport at high voltage, Adv. Mater., 2012, vol. 24, p. 6429.
- Gooding, J.J., Mearns, F., Yang, W., and Liu, Self-assembled monolayers into the 21(st) century: recent advances and applications, Electroanalysis, 2003, vol. 15, p. 81.
- Porter, M.D., Bright, T.B., Allara, D.L., and Chidsey, C.E.D., Spontaneously Organized Molecular Assemblies. 4. Structural Characterization of N-Alkyl Thiol Monolayers on Gold by Optical Ellipsometry, Infrared Spectroscopy, and Electrochemistry, J. Amer. Chem. Soc., 1987, vol. 109, p. 3559.
- Boubour, E. and Lennox, R.B., Potential-induced defects in N-alkanethiol self-assembled monolayers monitored by impedance spectroscopy, J. Phys. Chem. B, 2000, vol. 104, p. 9004.
- O’Brien, B., Sahalov, H., and Searson, P.C., The temperature dependence of the impedance of alkanethiol self-assembled monolayers, Appl. Phys. Lett., 2010, vol. 97, p. 043110.
- Boubour, E. and Lennox, R.B., Stability of Ω-functionalized self-assembled monolayers as a function of applied potential, Langmuir, 2000, vol. 16, p. 7464.
- Dai, J., Li, Z., Jin, J., Cheng, J., Kong, J., and Bi, S., Some thought on the existence of ion and water channels in highly dense and well-ordered CH3-terminated alkanethiol self-assembled monolayers on gold, Biosensors and Bioelectronics, 2009, vol. 24, p. 1074. https://doi.org/10.1016/j.bios.2008.08.034
- Chavez, M., Sanchez-Obrero, G., Madueno, R., Sevilla, J.M., Blazquez, M., and Pineda, T., Self-assembled monolayers of O-(2-mercaptoethyl)-O-methyl-hexa(ethyleneglycol) on gold electrodes. Effects yhe nature of solution/electrolyte on formation and electron transfer blocking characteristics, J. Electroanal. Chem., 2022, vol. 914, p. 116303. https://doi.org/10.1016/j.jelchem.2022.116303
- Sahalov, H., O’Brien, B., Stebe, K.J., Hristova, K., and Searson, P.C., Influence of applied potential on the impedance of alkanethiol Sams, Langmuir, 2007, vol. 23, p. 9681.
- Marmisolle, W.A., Capdevila, D.A., Llave, E., Willams, F.J., and Murgida, D.H., Self-assembled monolayers of NH2-terminated thiolates: order, pKa, and specific adsorption, Langmuir, 2013, vol. 29, p.5351. https://doi.org/10.1021/la304730q
- Azzaroni, O., Vela, M.E., Martin, H., Fernandez Creus, A., Andreasen, G., and Salvarezza, R.C., Electrodesorption kinetics and molecular interactions at negatively charged self-assembled thiol monolayers in electrolyte solutions, Langmuir, 2001, vol. 17, p. 6647. https://doi.org/10.1021/la010019v
- Calvente, J.J., Lopez-Peres, G., and Ramirez, P., Experimental study of the interplay between long-range electron transfer and redox probe permeation at self-assembled monolayers: evidence for potential-induced ion gating, J. Amer. Chem. Soc., 2005, vol. 127, p. 6476.
- Li, J., Liang, K.S., Scoles, G., and Ulman, A., Counterion overlayers at the interface between an electrolyte and an ω-functionalized monolayer self-assembled on gold. An X-ray reflectivity study, Langmuir, 1995, vol. 11, p. 4418.
- Овчинникова, С.Н. Сравнительное электрохимическое изучение самоорганизации октантиола из водного и водно-этанольного растворов на золотом электроде. Электрохимия. 2016. Т. 52. С. 301. [Ovchinnikova, S.N., Comparative electrochemical study of self-assembly of octanthiol from aqueous and aqueous ethanol solutions on a gold electrode, Russ. J. Electrochem., 2016, vol. 52, p. 260.]
- Ovchinnikova, S. and Aleksandrova, T., Influence of the alkanethiol terminal group nature on the electrochemical stability and blocking ability of self-assembled nanofilms on Au electrode, MATEC Web of Conferences, 2021, vol. 340, p. 01013.
- Зелинский, А.Г., Бек, Р.Ю. Твердый электрод с обновляемой путем среза поверхностью. Электрохимия. 1985. Т. 21. С. 66. [Zelinskii, A.G. and Beck, R.Yu., Solid electrode with shear-renewable surface, Electrokhimyia (in Russian), 1985, vol. 21. p. 66.]
- Клетеник, Ю.Б., Александрова, Т.П. Субмикронная регенерация поверхности твердых индикаторных электродов. Металлические электроды. Журн. аналит. химии. 1997. Т.52. С.752. [Kletenik, Yu.B. and Aleksandrova, T.P., Submicron regeneration of the surface of solid indicator electrodes. Metal electrodes, Zh. Anal. Khim. (in Russian), 1997, vol. 52, p.752.]
- Мичри, А.А., Пшеничников, А.Г., Бурштейн, Р.Х. Определение истинной поверхности гладких золотых электродов. Электрохимия. 1972. Т. 8. С. 364. [Michri, A.A., Pshenichnikov, A.G., and Byrshtein, R.Kh., Determination of the true surface of smooth gold electrodes, Electrokhimiya (in Russian), 1972, vol. 8, p. 364.]
- Рогожников, Н.А., Бек, Р.Ю. Емкость двойного слоя и потенциал нулевого заряда золотого электрода в цианистых растворах. Электрохимия. 1987. Т. 23. С. 1440. [Rogozhnikov, N.A. and Beck, R.Yu., Double layer capacitance and zero charge potential of a gold electrode in cyanide solutions, Electrokhimiya (in Russian), 1987, vol. 23, p. 1440.]
- Wong, S.S. and Porter, M.D., Origin of the multiple voltammetric desorption waves of long-chain alkanthiolate monolayers chemisorbed on annealed gold electrodes, J. Electroanal. Chem., 2000, vol. 485, p. 135.
- Love, J.C., Estroff, L.A., Kriebel, J.K., Nuzzo, R.G., and Whitesides, G.M., Self-assembled monolayers of thiolates on metals as a form of nanotechnology, Chem. Rev., 2005, vol. 105, p. 1103.
- Iost, R.M. and Crespilho, F.N., Layer-by-layer self-assembly and electrochemistry: applications in biosensing and bioelectronics, Biosensors and Bioelectronics, 2012, vol. 31, p. 1.
- Gooding, J.J. and Ciampi, S., The molecular level modification of surfaces: from self-assembled monolayers to complex molecular assembles, Chem. Soc. Rev., 2011, vol. 40, p. 2704.
- Chaki, N.R. and Vijayamohanan, K., Self-assembled monolayers as a tunable platform for biosensor applications, Biosensors and Bioelectronics, 2002, vol. 17, p. 1.
- Blake, J. and Raj, M., Regeneration of Gold Surfaces Covered by Adsorbed Thiols and Proteins Using Liquid-Phase Hydrogen Peroxide-Mediated UV-Photooxidation, J. Phys. Chem. C, 2013, vol. 117, p. 1335.
- Carvalhal, R.F., Freire, R.S., and Kubota, L.T., Polycrystalline Gold Electrodes: A Comparative Study of Pretreatment Procedures Used for Cleaning and Thiol Self-Assembly Monolayer Formation, Electroanalysis, 2005, vol. 17, p. 1251.
- Yang, D., Wilde, C.P., and Morin, M., Electrochemical desorption and adsorption of nonyl mercaptan at gold single electrode surfaces, Langmuir, 1996, vol. 12, p. 6570.
- Walczak, M.M., Aves, C.A., Lamp, B.D., and Porter, M.D., Electrochemical and X-ray photoelectron spectroscopic evidence for differences in the binding sites of alkanethiolate monolayers chemisorbed at gold, J. Electroanal. Chem., 1995, vol. 396, p. 103.
- Muglari, M.I., Erbe, A., Chen, Y., Barth, C., Koelsch, P., and Rohwerder, M., Modulation of electrochemical hydrogen evolution rare by araliphatic thiol monolayers on gold, Electrochim. Acta, 2013, vol. 90, p. 17.
- Kislenko, S.A., Nikitina, V.A., and Nazmutdinov, R.R., A molecular dynamics study of the ionic and molecular permeability of alkanethiol monolayers on the gold electrode surface, High energy Chem., 2015, vol. 49, p. 341. https://doi.org/10.1134/S0018143915050069
- Лурье, Ю.Ю. Справочник по аналитической химии. М.: Химия, 1979. 480 c. [Lur’e, Yu.Yu., Handbook of Analytical Chemistry (in Russian), Moscow: Khimiya, 1979. 480 p.]
- Бек, Р.Ю., Махнырь, Н.В., Зелинский, А.Г. Емкость двойного слоя обновляемого золотого электрода. Электрохимия. 1975. Т. 11. С. 1607. [Beck, R.Yu., Makhnyr’, N.V., and Zelinskii, A.G., Capacitance of electric double-layer at a recoverable gold electrode, Electrochimiya (in Russian), 1975, vol. 11, p. 1503.]
- Chen, A. and Lipkowski, J., Electrochemical and spectroscopic studies of hydroxide adsorption at the Au(111) electrode, J. Phys. Chem. B, 1999, vol. 103, p. 682.
- Strbac, S. and Adzic, R.R., The influence of OH- chemisorption on the catalytic properties of gold single crystal surfaces for oxygen reduction in alkaline solutions, J. Electroanal. Chem., 1996, vol. 403, p. 169.
- Shi, Z. and Lipkowski, J., Chloride adsorption at the Au(111) electrode surface, J. Electroanal. Chem., 1996, vol. 403, р. 225.
- Marmisolle, W.A., Capdevila, D.A., Llave, E., Willams, F.J., and Murgida, D.H., Self-assembled monolayers of NH2-terminated thiolates: order, pKa, and specific adsorption, Langmuir, 2013, vol. 29, p. 5351.
- Крестов, Г.А. Ионная сольватация, М.: Наука, 1987. 320 с. [Krestov, G.A., Ionic solvation (in Russian), Moscow: Nauka, 1987. 320 p.]
Supplementary files





