Electrochemical properties of superionic conductors CsAg4Br3-хI2+х
- Authors: Glukhov A.A.1, Reznitskikh O.G.2, Yaroslavtseva T.V.2, Urusova N.V.2, Ukshe A.E.1, Dobrovolsky Y.A.1, Bushkova O.V.1
-
Affiliations:
- Federal Research Center of Problems of Chemical Physics and Medicinal Chemistry of the Russian Academy of Sciences
- Institute of Solid State Chemistry, Ural Branch of the Russian Academy of Sciences
- Issue: Vol 60, No 2 (2024)
- Pages: 146-153
- Section: Articles
- URL: https://journals.rcsi.science/0424-8570/article/view/263807
- DOI: https://doi.org/10.31857/S0424857024020046
- EDN: https://elibrary.ru/RFKQOY
- ID: 263807
Cite item
Full Text
Abstract
CsAg4Br3–хI2+х solid solutions with x=0.38; 0.50; 0.63 were prepared by solid-phase synthesis; the single-phase of the products was confirmed by X-ray diffraction and differential scanning calorimetry. Studies of the electrical transport characteristics of CsAg4Br3–хI2+х included measurements of the ionic conductivity by the four-probe method in the range of –50…+120°C and an evaluation of the electronic component of the conductivity by the Hebb-Wagner method. It was shown that the ionic conductivity of CsAg4Br3–хI2+х solid solutions in the studied range of compositions is practically independent of x and is very close to that of the well-known superionic conductor RbAg4I5. The activation energy of conduction for all studied compounds is about 10 kJ mol–1. The oxidation potential determined by the stepwise polarization technique for CsAg4Br3–хI2+х solid solutions is noticeably higher than that of RbAg4I5, and is in the range of 0.75–0.78 V (vs. Ag0/Ag+). The high electrochemical characteristics of CsAg4Br3–хI2+х (0.38≤x≤0.63) and the absence of polymorphic transitions in the studied range from –160°C to the melting point (175 – 178°С) make these materials promising for use in electrochemical devices based on solid electrolytes, especially for low temperature applications.
Full Text
ВВЕДЕНИЕ
Твердые растворы общей формулы CsAg4Br3–хI2+х, принадлежащие широко известному семейству суперионных проводников MAg4I5 [1–5], характеризуются высокой проводимостью по катионам Ag+ и при этом предположительно обладают более высокой термодинамической устойчивостью, чем другие представители данного семейства. (Принято считать, что высокопроводящие фазы RbAg4I5, KAg4I5 и NH4Ag4I5 термодинамически устойчивы лишь при температурах выше комнатной, тогда как ниже этого предела они медленно подвергаются частичному распаду на AgI и M2AgI3 (M = Rb, K, NH4) [2, 3].) Кроме того, известно, что соединения MAg4I5 в низкотемпературной области переходят из высокопроводящей α-фазы в другие полиморфные модификации, что сопровождается резким снижением проводимости. Так, для RbAg4I5 имеют место два фазовых перехода: при –64 °С (α↔β) и при –151 °С (β↔γ) [1, 4, 5]. Твердые растворы CsAg4Br3–xI2+x, впервые полученные и частично охарактеризованные в 1989–1990 гг. Личковой и Деспотули с соавторами [6–11], лишены этих недостатков и поэтому перспективны для использования в низкотемпературных технических устройствах и химических источниках тока на основе твердых электролитов [10–16]. Однако они по-прежнему остаются малоизученными из-за сложности получения в виде однофазного продукта.
В недавней работе [17] нами было выполнено сравнительное исследование транспортных свойств и электрохимической устойчивости RbAg4I5 и твердого раствора состава CsAg4Br2.5I2.5; там же представлен новый способ синтеза CsAg4Br3–хI2+х, значительно облегчающий получение таких соединений. Целью данной работы является исследование электрохимических характеристик твердых растворов CsAg4Br3–хI2+х в более широком диапазоне составов. Поскольку область гомогенности CsAg4Br3–хI2+х достоверно не определена, для исследования был выбран интервал 0.38 ≤ х ≤ 0.63 вблизи ранее изученного состава CsAg4Br2.5I2.5. Он лежит в пределах предполагаемой области гомогенности (согласно противоречивым данным работ [6–9], нижний предел составляет от x = 0 до x = 0.25, а верхний – от x = 0.8 до x = 1.0). Исследования электрохимических свойств CsAg4Br3–хI2+х в настоящей работе включали в себя измерения ионной проводимости в интервале –50…+120 °C, оценку электронной составляющей проводимости и измерение потенциала окисления Eox при комнатной температуре. Полученные характеристики CsAg4Br3–хI2+х сопоставлены с аналогичными данными для хорошо изученного твердого электролита RbAg4I5.
ЭКСПЕРИМЕНТАЛЬНАЯ ЧАСТЬ
Твердые электролиты высокой чистоты CsAg4Br3–хI2+х (x = 0.38; 0.50; 0.63) и RbAg4I5 получали путем твердофазного синтеза. Во избежание деградации светочувствительных соединений серебра все операции при синтезе твердых электролитов, их хранение и подготовку образцов для исследования выполняли при красном освещении. Полученные порошки CsAg4Br3–хI2+х и RbAg4I5 хранили в условиях изоляции от света и атмосферной влаги в перчаточном боксе Unilab Pro (MBraun, Германия) в среде сухого аргона (содержание воды < 0.1 ppm).
Однофазность полученных продуктов CsAg4Br3–хI2+х (x = 0.38; 0.50; 0.63) и RbAg4I5 контролировали методом рентгенофазового анализа (РФА) с помощью дифрактометра XRD7000 (Shimadzu, Япония) (Cu Kαизлучение, 2θ = 5 – 80°, шаг 0.03°) с использованием базы порошковых стандартов PDF2 (ICDD, США, Release 2016). Уточнение кристаллической структуры исследуемых материалов проводили полнопрофильным методом Ритвельда с помощью программного пакета FullProf Suite [18]. Для дополнительного подтверждения однофазности синтезированных твердых электролитов применяли дифференциальную сканирующую калориметрию (ДСК) с использованием прибора DSC 214 Polyma (NETZSCH, Германия); измерения проводили в интервале –160…+190 оС (CsAg4Br3–хI2+х) и –160…+260 оС (RbAg4I5) при скоростях нагрева и охлаждения 10 оС/мин.
Ионную проводимость твердых электролитов σi измеряли на постоянном токе четырехэлектродным методом [5, 19] с помощью потенциостата-гальваностата P40-X (Элинс, Россия) по методике, детально изложенной в работе [17]. Порошки электролитов засыпали в измерительную ячейку и затем прессовали при следующих давлениях: 120 МПа для RbAg4I5 и 215 МПа для CsAg4Br3–xI2+x. Керамический образец электролита представлял собой столбик высотой ~1.5 см и диаметром 0.4 см, к которому с двух сторон припрессовывали порошок серебра ПС-3 (99.0%, НПП Дельта-пасты, Россия) для формирования обратимых по Ag+ токовых электродов; потенциальными электродами служили точечные контакты из металлического серебра на боковой поверхности столбика [17]. Измерения вели в интервале –50…+120 °С с шагом от 10 до 25 °С; температуру задавали с помощью термостата/криостата Huber CC-508 (точность ±0.1 оС). Перед каждым измерением ячейку термостатировали до установления постоянного сопротивления электролита. Величину потенциала окисления Eox и парциальную электронную проводимость σel твердых электролитов определяли при комнатной температуре из вольт-амперных характеристик (ВАХ), построенных методом пошаговой поляризации [19] с использованием потенциостата-гальваностата P40-X (Элинс, Россия) (описание методик измерений приведено в [17]).
Все ячейки для измерения ионной и электронной проводимости твердых электролитов собирали в сухом аргоновом боксе с контролируемой атмосферой при красном освещении; для проведения измерений ячейки помещали в герметичные кварцевые контейнеры во избежание контакта с атмосферной влагой (все предварительные операции проводили в боксе).
РЕЗУЛЬТАТЫ И ОБСУЖДЕНИЕ
Твердофазный синтез электролитов CsAg4Br3–хI2+х (где x = 0.38; 0.50; 0.63) проводили по разработанной нами методике [20], взяв в качестве исходных веществ стехиометрическую смесь CsI и заранее приготовленного твердого раствора AgBr1–yIy (где y = 0.35; 0.38 и 0.41 соответственно). Использование твердого раствора AgBr1–yIy позволяет вести синтез CsAg4Br3–xI2+x из двухкомпонентной шихты вместо трехкомпонентной смеси простых галогенидов серебра, что значительно облегчает и ускоряет получение однофазного продукта [17, 20]. Твердый электролит RbAg4I5 получали путем обычного твердофазного синтеза из стехиометрической смеси RbI и AgI и использовали как эталонный образец при исследовании электрохимических свойств твердых растворов CsAg4Br3–xI2+x.
На рис. 1 приведены дифрактограммы синтезированных электролитов CsAg4Br3–xI2+x, где x = 0.38; 0.50; 0.63. Можно видеть, что все наблюдаемые рефлексы соответствуют основной кубической фазе типа MAg4I5 с пространственной группой P4132. Рассчитанные параметры кристаллической структуры и рентгеновская плотность твердых электролитов приведены в табл. 1. Там же и на рис. 2 представлены данные дифференциальной сканирующей калориметрии, использованной для дополнительного контроля однофазности продуктов синтеза по характеру плавления и для обнаружения других фазовых переходов у CsAg4Br3–xI2+x. Как видно из рис. 2, независимо от состава твердого раствора, во всей изученной области температур от –160 до 190 °С наблюдается единственный эндотермический эффект инконгруэнтного плавления вблизи 177 °С. Это подтверждает однофазность всех полученных образцов и говорит об отсутствии каких-либо низкотемпературных полиморфных превращений у твердых электролитов CsAg4Br3–xI2+x в изученном интервале составов 0.38 ≤ x ≤ 0.63. Стабильность высокопроводящей α-фазы в низкотемпературной области вплоть до –160 °С является очевидным преимуществом CsAg4Br3–xI2+x перед RbAg4I5, претерпевающем при –64 °С и –151 °С полиморфные переходы в β- и γ-фазы соответственно [1, 4, 5].
Рис. 1. Экспериментальная (точки) и расчетная (линия) рентгенограммы твердых электролитов CsAg4Br3-хI2+х, где x = 0.38 (а), 0.50 (б) и 0.63 (в). Штрихи – угловые положения брэгговских рефлексов. Внизу – разность между расчетом и экспериментом.
Таблица 1. Характеристики твердых электролитов CsAg4Br3–хI2+х и RbAg4I5
x | Состав электролита | a, Å | V, Å3 | χ2* | d, г·см–3 | Tпл, °С |
0.38 | CsAg4Br2.62I2.38 | 10.943(1) | 1310.3(1) | 1.74 | 5.453 | 175 |
0.50 | CsAg4Br2.50I2.50 | 10.964(1) | 1317.9(1) | 2.11 | 5.450 | 177 |
0.63 | CsAg4Br2.37I2.63 | 10.991(1) | 1327.6(1) | 1.91 | 5.441 | 178 |
– | RbAg4I5 | 11.2456(3) | 1422.18(7) | 3.53 | 5.378 | 236 |
* Статистический параметр.
Рис. 2. Кривые ДСК для синтезированных образцов твердых электролитов CsAg4Br3-хI2+х (x = 0.38; 0.50; 0.63) и RbAg4I5.
Измерения температурных зависимостей проводимости CsAg4Br3–xI2+x были выполнены на постоянном токе с использованием четыреконтактной измерительной ячейки собственной конструкции, как описано в работе [17]. Для суперионных проводников, обладающих аномально высокой по сравнению с другими материалами ионной проводимостью, измерения на постоянном токе дают более точные результаты, чем импедансная спектроскопия, поскольку это прямой метод измерения объемного сопротивления макроскопического образца. В отличие от этого, в импедансной спектроскопии используется экстраполяция частотной зависимости на бесконечную частоту при принятии некоторых априорных предположений (например, об отсутствии микронеоднородностей с разными величинами проводимости). Вторым важным фактором, влияющим на корректность результатов измерения проводимости поликристаллических образцов, являются условия приготовления керамики, определяющие ее плотность. Известно, что благодаря пластичности RbAg4I5 высокоплотную керамику из этого материала можно получить путем прессования при комнатной температуре без последующего спекания. Однако при этом давление прессования и газовая среда существенно сказываются на измеряемой величине ионной проводимости из-за влияния пористости, границ зерен и тому подобных эффектов [5, 21, 22]. По визуальным наблюдениям, порошки CsAg4Br3–xI2+x менее пластичны, чем RbAg4I5, однако они также хорошо прессуются при комнатной температуре и не требуют последующего спекания.
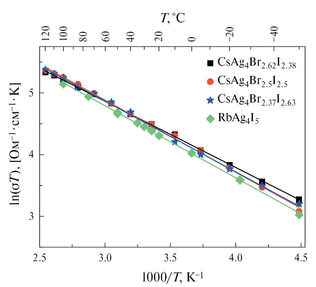
При измерении температурных зависимостей проводимости в интервале –50…+120°С использовали режим термоциклирования, предложенный Вальверде [19], когда начальной и конечной точкой измерений служила комнатная температура (25 °С). Результаты измерений представлены на рис. 3. Все экспериментальные точки для каждого из образцов хорошо укладывались на одну линию, а значения проводимости в начальной и конечной точке измерений (25 °С) совпадали, что говорит о равновесности полученных величин σi.
Как видно из рис. 3, в координатах ln(σT) – 1/T температурные зависимости проводимости для всех образцов CsAg4Br3–xI2+x (0.38≤ x≤0.63) имеют прямолинейный вид и описываются уравнением Френкеля. Рассчитанные значения удельной электропроводности (σi) и энергии активации проводимости (Еа) для CsAg4Br3–xI2+x суммированы в табл. 2; там же для сравнения представлены характеристики RbAg4I5. Строго прямолинейный вид всех зависимостей полностью отвечает данным ДСК (рис. 2), указывающим на отсутствие каких-либо фазовых переходов в изученном температурном интервале. Кроме того, хорошо видно, что все кривые для CsAg4Br3–xI2+x лежат очень близко друг к другу, и замещение в подрешетке галогена Br/I в пределах изученного интервала составов 0.38 ≤ x ≤ 0.63 не оказывает на их ионную проводимость заметного влияния. Важно отметить, что кривая для RbAg4I5 располагается чуть ниже зависимостей для CsAg4Br3–xI2+x. Величины энергии активации ионной проводимости для всех изученных твердых электролитов не превышают 10 кДж моль–1 (табл. 2). Близость параметров ионного переноса у CsAg4Br3–xI2+x и RbAg4I5, очевидно, вызвана сходством кристаллической структуры и идентичными механизмами транспорта ионов Ag+. Можно предполагать, что, как и у RbAg4I5, низкие значения активационного барьера ионной проводимости у твердых растворов CsAg4Br3–xI2+x (0.38 ≤ x ≤ 0.63) обусловлены наличием в кристаллической решетке большого числа малозаселенных позиций серебра трех различных типов и влиянием корреляционных эффектов на динамику ионов [5, 23, 24].
Рис. 3. Температурные зависимости проводимости твердых электролитов RbAg4I5 и CsAg4Br3-хI2+х (где x = 0.38; 0.50; 0.63).
Таблица 2. Электрохимические характеристики твердых электролитов CsAg4Br3-xI2+x
х | Состав электролита | σi, Ом-1 см-1 | Еа, кДж моль-1 | σel, Ом-1 см-1 | Еox*, В | ||
100 oC | 25 oC | -50 oC | |||||
0.38 | CsAg4Br2.62I2.38 | 0.49 | 0.31 | 0.12 | 8.9±0.2 | 1×10-8 | 0.78±0.03 |
0.50 | CsAg4Br2.50I2.50 | 0.51 | 0.30 | 0.10 | 9.7±0.1 | 7×10-9 | 0.77±0.10 |
0.63 | CsAg4Br2.37I2.63 | 0.50 | 0.29 | 0.11 | 9.5±0.1 | 9×10-9 | 0.75±0.05 |
– | RbAg4I5 | 0.56 | 0.33 | 0.11 | 9.7±0.1 | 2×10-8 | 0.63 [19] |
* Относительно Ag0/Ag+.
Вольт-амперные характеристики твердых электролитов CsAg4Br3–xI2+x (где х = 0.38, 0.50 и 0.63) приведены на рис. 4; кривые были получены с использованием пошаговой потенциостатической методики на основе метода Хэбба – Вагнера [17, 19]. Для расчета величины σel использовали области плато на кривых ВАХ электролитов (100–500 мВ), в пределах которых преобладает диффузионный перенос электронов и пренебрежимо мал вклад дырочной проводимости (в соответствии с анализом, приведенным в работе [19]). Для расчета σel использовали формулу
(1)
где ip – величина плотности тока в области плато, ē – заряд электрона, k – постоянная Больцмана, T – температура, L – толщина образца электролита. Полученные результаты приведены в табл. 2. Можно видеть, что электронная проводимость всех изученных твердых электролитов пренебрежимо мала по сравнению с ионной, при этом вклад электронной составляющей у CsAg4Br3–xI2+x (0.38≤x≤0.63) несколько меньше, чем у RbAg4I5 (табл. 2).
Рис. 4. Вольт-амперные характеристики твердых электролитов CsAg4Br3-xI2+x (а) и оценка потенциала окисления Eox на примере CsAg4Br2.37I2.63 (б). (Для удобства сопоставления кривых на рис. 4а значения плотности тока умножены на толщину электролита; площади сечения всех образцов электролитов одинаковы и равны 0.20 см2.)
Потенциал окисления твердых электролитов, имеющий важное прикладное значение при выборе материала положительного электрода для химических источников тока на их основе, также определяли из ВАХ (рис. 4). Величину Eox оценивали путем нахождения точки пересечения двух отрезков прямых, аппроксимирующих два участка кривой ВАХ: 1) плато, отвечающее диффузионному току и 2) участка, отвечающего экспоненциальному росту тока при протекании электродной реакции разложения электролита. Пример приведен на рис. 4б. Полученные результаты показали, что твердые электролиты CsAg4Br3–xI2+x в изученной области составов 0.38 ≤ x ≤ 0.63 превосходят RbAg4I5 по своей электрохимической устойчивости (разница Eox составляет более 100 мВ, см. табл. 2). По-видимому, это обусловлено влиянием ионов Br–, более устойчивых к окислению на аноде, чем I– (теоретические значения потенциалов разложения AgBr и AgI при 25 °С, рассчитанные из стандартной энергии Гиббса образования этих соединений, составляют 1.00 и 0.69 В, соответственно). Повышенные значения Eox являются большим преимуществом CsAg4Br3–xI2+x перед RbAg4I5. В химических источниках тока на основе таких электролитов можно использовать материалы положительного электрода c более высоким потенциалом относительно Ag0/Ag+, увеличив тем самым плотность энергии.
ЗАКЛЮЧЕНИЕ
Получены однофазные образцы твердых растворов CsAg4Br3–xI2+x в интервале составов 0.38 ≤ x ≤ 0.63 и измерены их электротранспортные характеристики. Показано, что ионная проводимость CsAg4Br3–xI2+x, независимо от состава, очень близка к таковой для RbAg4I5 и характеризуется низкой энергией активации (≤10 кДж моль–1). Вклад электронной составляющей проводимости твердых растворов пренебрежимо мал (~10–9 Ом–1 см–1 при 25 оС) на фоне ионной проводимости (~0.3 Ом–1 см–1 в тех же условиях). Показано, что повышенная электрохимическая устойчивость CsAg4Br3–xI2+x по сравнению с RbAg4I5 характерна для всех образцов в пределах 0.38 ≤ x ≤ 0.63. Отсутствие каких-либо фазовых переходов ниже температуры плавления, подтвержденное данными ДСК и прямолинейными зависимостями ионной проводимости в координатах Френкеля, делает CsAg4Br3–xI2+x перспективными материалами для использования в низкотемпературных ХИТ и других электрохимических устройствах.
ФИНАНСИРОВАНИЕ РАБОТЫ
Работа выполнена в соответствии с Государственным заданием Института химии твердого тела УрO РАН по теме № 0320-2019-0005 (Рег. № НИОКТР АААА-А19-119102990044-6) и Государственным заданием ФИЦ проблем химической физики и медицинской химии РАН по теме № 0089-2019-0007 (Рег. № НИОКТР АААА-А19-119061890019-5).
КОНФЛИКТ ИНТЕРЕСОВ
Авторы заявляют, что у них нет конфликта интересов.
About the authors
A. A. Glukhov
Federal Research Center of Problems of Chemical Physics and Medicinal Chemistry of the Russian Academy of Sciences
Author for correspondence.
Email: 0511alex@mail.ru
Russian Federation, Chernogolovka
O. G. Reznitskikh
Institute of Solid State Chemistry, Ural Branch of the Russian Academy of Sciences
Email: 0511alex@mail.ru
Russian Federation, Yekaterinburg
T. V. Yaroslavtseva
Institute of Solid State Chemistry, Ural Branch of the Russian Academy of Sciences
Email: tanya_yaroslavtseva@mail.ru
Russian Federation, Yekaterinburg
N. V. Urusova
Institute of Solid State Chemistry, Ural Branch of the Russian Academy of Sciences
Email: 0511alex@mail.ru
Russian Federation, Yekaterinburg
A. E. Ukshe
Federal Research Center of Problems of Chemical Physics and Medicinal Chemistry of the Russian Academy of Sciences
Email: 0511alex@mail.ru
Russian Federation, Chernogolovka
Yu. A. Dobrovolsky
Federal Research Center of Problems of Chemical Physics and Medicinal Chemistry of the Russian Academy of Sciences
Email: 0511alex@mail.ru
Russian Federation, Chernogolovka
O. V. Bushkova
Federal Research Center of Problems of Chemical Physics and Medicinal Chemistry of the Russian Academy of Sciences
Email: 0511alex@mail.ru
Russian Federation, Chernogolovka
References
- Geller, S., Crystal structure of the solid electrolyte, , Science, 1967, vol. 157, no. 3786, p. 310. doi: 10.1126/science.157.3786.310
- Topol, L.E. and Owens, B.B., Thermodynamic studies in the high-conducting solid systems rubidium iodide-silver iodide, potassium iodide-silver iodide, and ammonium iodide-silver iodide, J. Phys. Chem., 1968, vol. 72, no. 6, p. 2106. https://doi.org/10.1021/j100852a038
- Bradley, J.N. and Greene, P.D., Solids with high ionic conductivity in Group 1 halide systems, Trans. Faraday Soc., 1967, vol. 63, p. 424. https://doi.org/10.1039/TF9676300424
- Owens, B.B. and Argue, G.R., High-conductivity solid electrolytes: , Science, 1967, vol. 157, p. 308. https://doi.org/10.1126/science.157.3786.308
- Иванов-Шиц, А.К., Мурин, И.В. Ионика твердого тела, в 2 т. Т.I, Cпб.: Изд-во С.- Петерб. ун-та, 2000. 616 с. [Ivanov-Shits, A.K. and Murin, I.V. Solid state Ionics, in 2 vols. (in Russian), vol. I, St. Petersburg: Publ. House of St. Petersburg Univer., 2000. 616 p.]
- Деспотули, А.Л., Личкова, Н.В., Миненкова, Н.А., Носенко, С.В. Получение и некоторые свойства тонких пленок твердых электролитов . Электрохимия. 1990. Т. 26. С. 1524. [Despotuli, A.L., Lichkova, H.V., Minenkova, H.A., and Nosenko, S.V., Preparation and Certain Properties of Thin Film Solid Electrolytes, Elektrokhimiya (in Russian), 1990, vol. 26, p. 1524.]
- Личкова, Н.В., Деспотули, А.Л., Загороднев, В.Н., Миненкова, Н.А., Шахлевич, К.В. Ионная проводимость твердых электролитов в двух- и трехкомпонентых стеклообразующих системах AgX-CsX (X=Cl, Br, I). Электрохимия. 1989. Т. 25. С. 1636. [Lichkova, H.V., Despotuli, A.L., Zagorodnev, V.N., Minenkova, H.A., and Shakhlevich, K.V., Ionic conductivity of solid electrolytes in two- and three-component glass-forming systems AgX-CsX (X=Cl, Br, I), Elektrokhimiya (in Russian), 1989, vol. 25, p. 1636.]
- Деспотули, А.Л., Загороднев, В.Н., Личкова, Н.В., Миненкова, Н.А. Новые высокопроводящие твердые электролиты: 0,25≤х≤1. Физика твердого тела. 1989. Т. 31. № 9. С. 242. [Despotuli, A.L., Zagorodnev, V.N., Lichkova, N.V., and Minenkova, N.A., New high conductive (0.25 < x < 1) solid electrolytes, Fiz. Tverd. Tela (Leningrad) (in Russian), 1989, vol. 31, no. 9, p. 242.]
- Lichkova, N.V., Despotuli, A.L., Zagorodnev, V.N., and Minenkova, N.A., Superionic glasses based on silver and cesium monohalides, Mater. Sci. Forum, 1991, vol. 67-68, p. 601. https://doi.org/10.4028/www.scientific.net/MSF.67-68.601
- Личкова, Н.В., Деспотули, А.Л., Загороднев, В.Н., Миненкова, Н.А. Твердый электролит, Пат. RU 1 697 573 С. H01M 6/18 (1995.01) (Россия). 1989. [Lichkova, N.V., Despotuli, A.L., Zagorodnev, V.N., and Minenkova, N.A. Solid electrolyte, Patent RU 1 697 573 P. H01M 6/18 (1995.01) (Russia), 1989.]
- Деспотули, А.Л., Личкова, Н.В. Ионистор, Пат. RU 2 012 105 C1, МПК H01M 6/18. Россия, 1991. [Despotuli, A.L. and Lichkova, N.V., Ionistor, Patent RU 2,012 105 C1, IPC H01M 6/18 (Russia), 1991.]
- Толстогузов, А.Б., Белых, С.Ф., Гололобов, Г.П., Гуров, В.С., Гусев, С.И., Суворов, Д.В., Таганов, А.И., Fu, D.J., Ai, Z., Liu, C.S. Ионные источники на твердых электролитах для аэрокосмического применения и ионно-лучевых технологий (обзор). Приборы и техника эксперимента. 2018. № 2. С. 5. [Tolstoguzov, A.B., Belykh, S.F., Gololobov, G.P., Gurov, V.S., Gusev, S.I., Suvorov, D.V., Taganov, A.I., Fud, D.J., Ai, Z., and Liu, C.S., Ion-beam sources based on solid electrolytes for aerospace applications and ion-beam technologies (Review), Instruments and Experimental Techniques, 2018, vol. 61, no. 2, p. 159.] https://doi.org/10.7868/S0032816218020106
- Деспотули, А.Л., Андреева, А.В. Наноионика: новые материалы и суперконденсаторы. Рос. нанотехнологии. 2010. Т. 5. № 7-8. С. 89. [Despotuli, A.L. and Andreeva, A.V., Nanoionics: New Materials and Supercapacitors, Nanotechnologies in Russia, 2010, vol. 5, no. 7–8, p. 506.] doi: 10.1134/S1995078010070116
- Owens, B.B., Solid state electrolytes: overview of materials and applications during the last third of the Twentieth Century, J. Power Sources, 2000, vol. 90, p. 2. https://doi.org/10.1016/S0378-7753(00)00436-5
- Palakkathodi Kammampata, S. and Thangadurai, V., Cruising in ceramics – discovering new structures for all-solid-state batteries – fundamentals, materials, and performances, Ionics, 2018, vol. 24, no. 3, p. 639. https://doi.org/10.1007/s11581-017-2372-7
- Glukhov, A.A., Belmesov, A.A., Nechaev, G.V., Ukshe, A.E., Reznitskikh, O.G., Bukun, N.G., Shmygleva, L.V., and Dobrovolsky, Y.A., Anode material for all-solid-state battery based on solid electrolyte : Theory and experiment, Mater. Sci. and Engineering: B, 2022, vol. 278, art. 115617. https://doi.org/10.1016/j.mseb.2022.115617
- Резницких, О.Г., Ярославцева, Т.В., Глухов, А.А., Попов, Н.А., Урусова, Н.В., Букун, Н.Г., Добровольский, Ю.А., Бушкова О.В. Синтез и сравнительное исследование электрохимических характеристик твердых электролитов и . Электрохимия. 2022. Т. 58. С. 676. doi: 10.31857/S0424857022100103. [Reznitskikh, O.G., Yaroslavtseva, T.V., Glukhov, A.A., Popov, N.A., Urusova, N.V., Bukun, N.G., Dobrovolsky, Yu. A., and Bushkova, O.V., Synthesis and comparative investigation of the electrochemical characteristics of and solid electrolytes, Russ. J. Electrochem., 2022, vol. 58, p. 927.] https://doi.org/10.1134/S102319352210010X
- Rodríguez-Carvajal, J., Recent advances in magnetic structure determination by neutron powder diffraction, Physica B, 1993, vol. 192, no. 1–2, p. 55. https://doi.org/10.1016/0921-4526(93)90108-I
- Valverde, N., Thermodynamic stabilization of the solid electrolyte , J. Electrochem. Soc.: Solid State Sci. and Technol., 1980, vol. 127, no. 11, p. 2425. https://doi.org/10.1149/1.2129487
- Бушкова, О.В., Резницких, О.Г., Ярославцева, Т.В., Попов, Н.А., Непомилуев, А.М., Новиков, Д.В., Добровольский, Ю.А. Способ получения твердого электролита. Пат. 2720349 (Россия), 2019. [Bushkova, O.V., Reznitskikh, O.G., Yaroslavtseva, T.V., Popov, N.A., Nepomiluev, A.M., Novikov, D.V., and Dobrovolsky, Yu.A., Method of obtaining a solid electrolyte, Patent 2720349 (Russia), 2019.]
- Shahi, K. and Chandra, S., Thermoelectric power of the superionic conductors (M= K and Rb), J. Phys. C: Solid State Phys., 1976, vol. 9, no. 16, p. 3105. https://doi.org/10.1088/0022-3719/9/16/016
- Scrosati, B., Germano, G., and Pistoia, G., Electrochemical properties of solid electrolyte: I. Conductivity studies. J. Electrochem. Soc., 1971, vol. 118, no. 1, p. 86. https://doi.org/10.1149/1.2407958
- Укше, Е.А., Букун, Н.Г. Твердые электролиты, М.: Наука, 1977. 176 с. [Ukshe, E.A. and Bukun, N.G., Solid Electrolytes, Moscow: Nauka, 1977. 176 p.]
- Zolotoyabko, E.V. and Ovanesyan, N.S., Moessbauer diffraction in the superionic conductor , Phys. Status Solidi. B, B. Research., 1985, vol. 129, no. 2, p. 587. https://doi.org/10.1002/pssb.2221290216
Supplementary files






