Транспортные свойства композитов La2(WO4)3–Al2O3
- Авторы: Пестерева Н.Н.1, Гусева А.Ф.1, Василенко Н.А.1, Бекетов И.В.1,2, Селезнева Н.В.1
-
Учреждения:
- Уральский федеральный университет им. первого Президента России Б.Н. Ельцина
- Институт электрофизики УрО РАН
- Выпуск: Том 59, № 12 (2023)
- Страницы: 894-904
- Раздел: Статьи
- URL: https://journals.rcsi.science/0424-8570/article/view/232703
- DOI: https://doi.org/10.31857/S0424857023120095
- EDN: https://elibrary.ru/QAZLGW
- ID: 232703
Цитировать
Полный текст
Аннотация
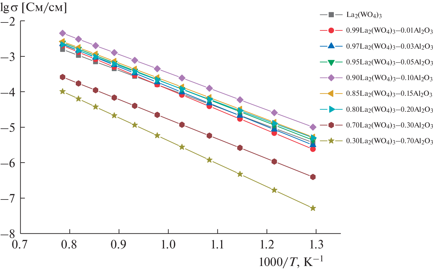
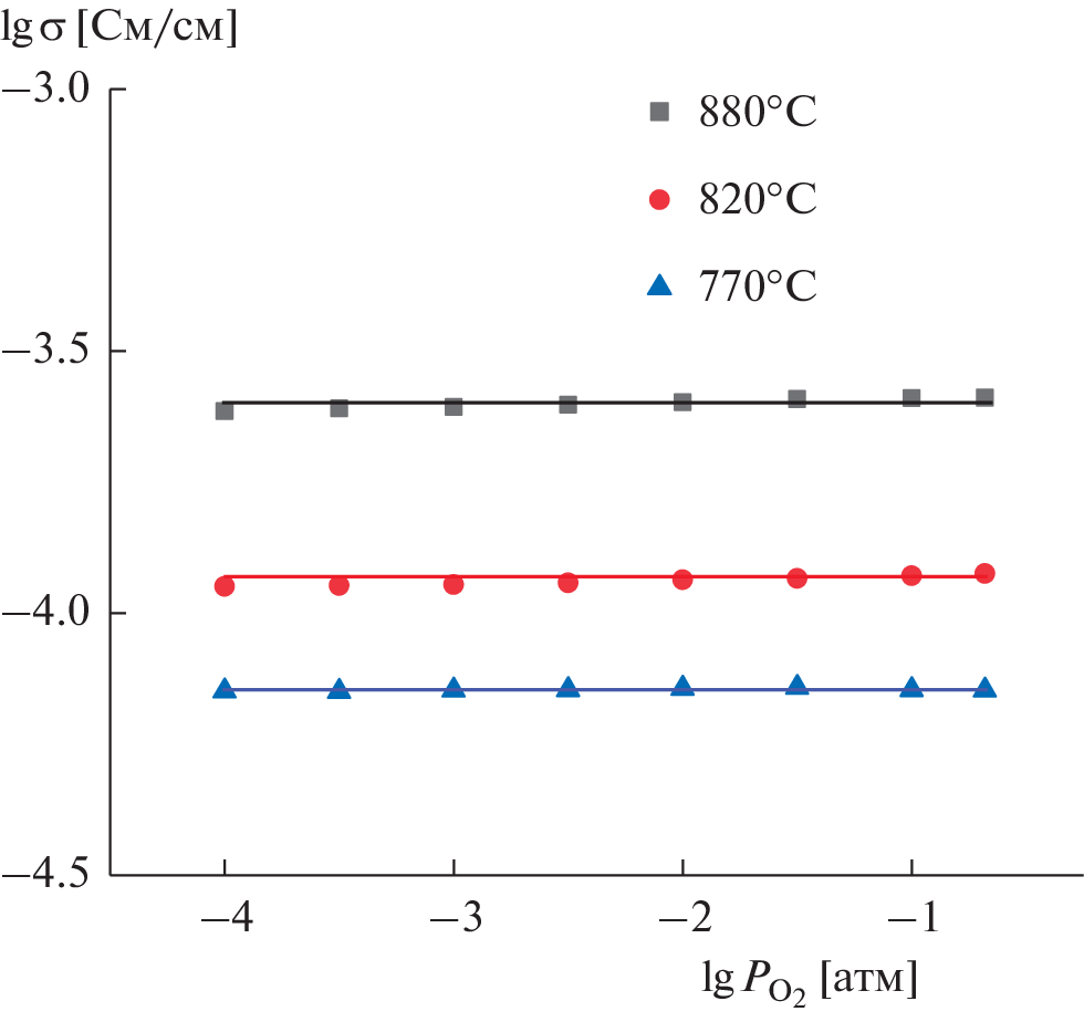
Твердофазным методом получены композиты (1 – φ)La2(WO4)3–φAl2O3 (φ – объемная доля нанодисперсного оксида алюминия), исследованы их термические свойства, морфология, электропроводность в зависимости от температуры, давления кислорода в газовой фазе и состава. Обнаружено, что проводимость композитов (1 – φ)La2(WO4)3–φAl2O3 проходит через максимум при φ ~ 0.1 и достигает значения 7 × 10–3 См/см при 1000°С, что в 7 раз выше проводимости La2(WO4)3 при данной температуре. Методом ЭДС и измерениями зависимости электропроводности от давления кислорода в газовой фазе установлен ионный характер проводимости композитов (1 – φ)La2(WO4)3–φAl2O3.
Об авторах
Н. Н. Пестерева
Уральский федеральный университет им. первого Президента России Б.Н. Ельцина
Email: Natalie.Pestereva@urfu.ru
Россия, Екатеринбург
А. Ф. Гусева
Уральский федеральный университет им. первого Президента России Б.Н. Ельцина
Email: Natalie.Pestereva@urfu.ru
Россия, Екатеринбург
Н. А. Василенко
Уральский федеральный университет им. первого Президента России Б.Н. Ельцина
Email: Natalie.Pestereva@urfu.ru
Россия, Екатеринбург
И. В. Бекетов
Уральский федеральный университет им. первого Президента России Б.Н. Ельцина; Институт электрофизики УрО РАН
Email: Natalie.Pestereva@urfu.ru
Россия, Екатеринбург; Россия, Екатеринбург
Н. В. Селезнева
Уральский федеральный университет им. первого Президента России Б.Н. Ельцина
Автор, ответственный за переписку.
Email: Natalie.Pestereva@urfu.ru
Россия, Екатеринбург
Список литературы
- Mahato, N., Banerjee, A., Gupta, A., Omar, S., and Balani, K., Progress in material selection for solid oxide fuel cell technology: A review, Progress in Mater. Sci., 2015, vol. 72, p. 141. https://doi.org/10.1016/j.pmatsci.2015.01.001
- Medvedev, D., Lyagaeva, J., Gorbova, E., Demin, A., and Tsiakaras, P., Advanced materials for SOFC application: Strategies for the development of highly conductive and stable solid oxide proton electrolytes, Progress in Mater. Sci., 2016, vol. 75, p. 38. https://doi.org/10.1016/j.pmatsci.2015.08.00
- Gómez, S. and Hotza, D., Current developments in reversible solid oxide fuel cells, Renewable and Sustainable Energy Reviews, 2016, vol. 61, p.155.https://doi.org/10.1016/j.rser.2016.03.005
- Zhang, Y., Knibbe, R., Sunarso, J., Zhong, Y., Zhou, W., Shao, Z., and Zhu, Z., Recent progress on advanced materials for solid-oxide fuel cells operating below 500°C, Adv. Mater., 2017, vol. 29, p. 1700132. https://doi.org/10.1002/adma.201700132
- Da Silva, F. and De Souza, T., Novel materials for solid oxide fuel cell technologies: A literature review, Intern. J. Hydrogen Energy, 2017, vol. 42(41), p. 26020. https://doi.org/10.1016/j.ijhydene.2017.08.105
- Danilov, N., Lyagaeva, J., Vdovin, G., and Medvedev, D., Multifactor performance analysis of reversible solid oxide cells based on proton-conducting electrolytes, Appl. Energy, 2019, vol. 237, p. 924. https://doi.org/10.1016/j.apenergy.2019.01.054
- Zhou, Y. and Yan, B., Re2(MO4)3: Ln3+(RE = Y, La, Gd, Lu; M = W, Mo; Ln = Eu, Sm, Dy) microcrystals: controlled synthesis, microstructure and tunable luminescence, CrystEngComm., 2013, vol. 15(28), p. 5694. https://doi.org/10.1039/c3ce40495a
- Kaczmarek, A.M. and Van Deun, R., Rare earth tungstate and molybdate compounds – from 0D to 3D architectures, Chem. Soc. Rev., 2013, vol. 42(23), p. 8835. https://doi.org/10.1039/c3cs60166h
- Guzik, M., Tomaszewicz, E., Guyot, Y., Legendziewicz, J., and Boulon, G., Structural and spectroscopic characterizations of new Cd1 − 3xNd2x – xMoO4 scheelite-type molybdates with vacancies as potential optical materials, J. Mater. Chem. C, 2015, vol. 3(16), p.4057. https://doi.org/10.1039/c4tc02963a
- Liu, J., Kaczmarek, A.M., and Van Deun, R., Advances in tailoring luminescent rare-earth mixed inorganic materials, Chem. Soc. Rev., 2018, vol. 47, p. 7225. https://doi.org/10.1039/c7cs00893g
- Ke, J, Adnan Younis, M., Kong, Y., Zhou, H., Liu, J., Lei, L., and Hou, Y., Nanostructured ternary metal tungstate-based photocatalysts for environmental purification and solar water splitting: A Review. Nano-Micro Letters, 2018, vol. 10(4). https://doi.org/10.1007/s40820-018-0222-4
- Pestereva, N., Guseva, A., Vyatkin, I., and Lopatin, D., Electrotransport in tungstates Ln2(WO4)3 (Ln = La, Sm, Eu, Gd), Solid State Ionics, 2017, vol. 301, p. 72. https://doi.org/10.1016/j.ssi.2017.01.009
- Уваров, Н.Ф. Композиционные твердые электролиты. Новосибирск: Изд-во СО РАН, 2008. 258 с. [Uvarov, N.F., Composite solid electrolytes (in Russian), Novosibirsk: ISSC SB RAS Publ., 2008. 258 p.]
- Knauth, P., Ionic Conductor Composites: Theory and Materials, J. Electroceramics, 2000, vol. 5(2), p.111. https://doi.org/10.1023/a:1009906101421
- Yaroslavtsev, A., Composite materials with ionic conductivity: from inorganic composites to hybrid membranes, Russ. Chem. Rev., 2009, vol. 78, p. 1013. https://doi.org/10.1070/RC2009v078n11ABEH004066
- Alekseev, D., Mateyshina, Y., and Uvarov, N., Effect of nanodiamond additives on the ionic conductivity of the (C2H5)3CH3NBF4 organic salt, Russ. J. Electrochem., 2022, vol. 58(7), p. 594. https://doi.org/10.1134/S1023193522070035
- Ulihin, A. and Uvarov, N., Ionic Conductivity of composite solid electrolytes (C4H9)4NBF4–Al2O3, Russ. J. Electrochem., 2021, vol. 57(10), p.1015. https://doi.org/10.1134/S1023193521080140
- Alekseev, D., Mateyshina, Y., and Uvarov, N., Transport properties of LiClO4–nanodiamond composites, Russ. J. Electrochem., 2021, vol. 57(10), p. 1037. https://doi.org/10.1134/S1023193521100037
- Евдокимов, А.А., Ефремов, В.А., Трунов, В.К. Соединения редкоземельных элементов. Молибдаты, вольфраматы, М.: Наука, 1991. С. 51–58.
- Guseva, A., Pestereva, N., Otcheskikh, D., and Kuznetsov, D., Electrical properties of CaWO4–SiO2 composites, Solid State Ionics, 2021, vol. 364, p. 115626. https://doi.org/10.1016/j.ssi.2021.115626
- Pestereva, N., Guseva, A., Kuznetsov, D., Selezneva, N., and Korona, D., Effect of silicon, vanadium, and tungsten oxide additives on the electrical properties of composites based on CaWO4, Russ. J. Phys. Chem., A, 2020, vol. 94(12), p. 2482. https://doi.org/10.1134/S0036024420120213
- Guseva, A., Pestereva, N., and Uvarov, N., New oxygen ion conducting composite solid electrolytes Sm2(WO4)3–WO3, Solid State Ionics, 2023, vol. 394, p. 116196. https://doi.org/10.1016/j.ssi.2023.116196
- Lippens, B.C. and Steggerda, J.J., Physical and Chemical Aspects of adsorbents and catalysts / B.G. Linsen, London: Acad fress, 1970, no. 4, p. 190–232.
- Trimm, D.l. and Stanislaus, A., The control of pore size in alumina catalyst: A review, Appl. Catal., 1986, vol. 21, no. 2, p. 215.
- Stumpf, H.C., Allen, R.R., Newsome, J.W., and Tucker, C.M., Thermal transformations of aluminas and alumina hydrates, Ind. End. Chem., 1953, vol. 45, no. 4, p. 819.
- Wilson, S.J., The dehydration of boehmite, γ-AlOOH, to γ-Al2O3, J. Solid State Chem., 1979, vol. 30, no. 2, p. 247.
- Ono, T., Ohguchi, Y., and Togari, O., Preparation of Catalysts III // Edit, G. Poncelet, P. Grange, P. Jacobs. Amsterdam: Elsevier Scientific Publishers, 1983, p. 631.
- Козерожец, И.В., Панасюк, Г.П., Семенов, Е.А., Данчевская, М.Н., Азарова, Л.А., Симоненко, Н.П. Исследование превращений наноразмерного порошка бемита и γ-Аl2О3 при термической обработке. Журн. неорган. химии. 2020. Т. 65. № 4. С. 549. https://doi.org/10.31857/S0044457X20040091
- Шкрабина, Р.А., Корябкина, Н.А., Ушаков, В.А. Лаусберг, М., Мороз, Э.М., Исмагилов, З.Р. Термостабильность системы La2O3–Al2O3. Кинетика и катализ. 1996. Т. 37. С. 116.
- Uvarov, N., Composite solid electrolytes: recent advances and design strategies, J. Solid State Electrochem., 2011, vol. 15, p. 367. https://doi.org/10.1007/s10008-008- 0739-4
- Uvarov, N., Estimation of composites conductivity using a general mixing rule, Solid State Ionics, 2000, vols. 136–137, p. 1267. https://doi.org/10.1016/S0167-2738(00)00585-3
Дополнительные файлы












