Влияние способа синтеза слоистого диоксида марганца на свойства катодных материалов для водных цинк-ионных аккумуляторов
- Авторы: Каменский М.А.1, Попов А.Ю.1, Елисеева С.Н.1, Кондратьев В.В.1
-
Учреждения:
- Санкт-Петербургский государственный университет, Институт химии
- Выпуск: Том 59, № 12 (2023)
- Страницы: 856-866
- Раздел: Статьи
- URL: https://journals.rcsi.science/0424-8570/article/view/232697
- DOI: https://doi.org/10.31857/S042485702312006X
- EDN: https://elibrary.ru/QBSQGV
- ID: 232697
Цитировать
Полный текст
Аннотация
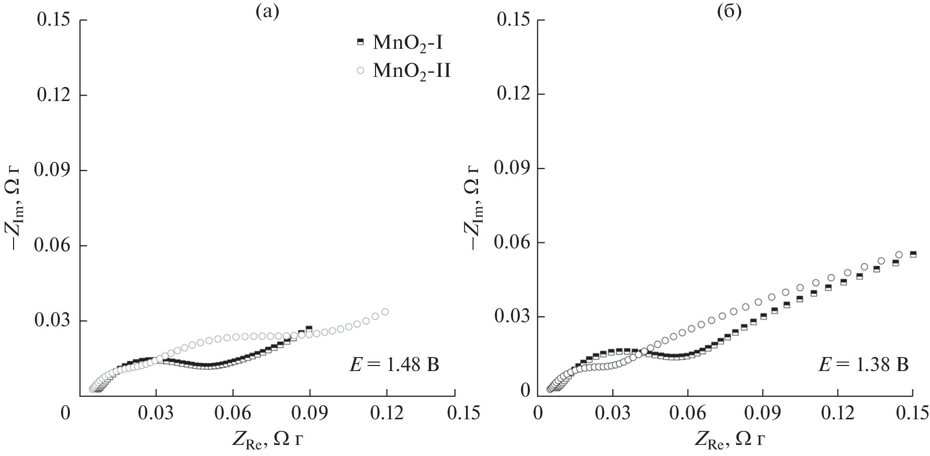
В работе представлен анализ структурно-химических и электрохимических свойств катодных материалов на основе диоксида марганца со структурой бирнессита в макетах цинк-ионных аккумуляторов в зависимости от условий гидротермального синтеза. За счет больших межслоевых расстояний полученные оксиды марганца способны к обратимой интеркаляции ионов цинка в свою кристаллическую структуру. Рассмотрены два подхода к гидротермальному синтезу диоксида марганца: реакция между сульфатом марганца и перманганатом калия при 160°С (MnO2-I) и гидротермальная обработка раствора перманганата калия при 220°С (MnO2-II). Структурный анализ показал, что оба метода синтеза дают в качестве основного продукта диоксид марганца со структурой бирнессита. Вместе с тем электрохимические свойства полученных материалов в макетах водных цинк-ионных аккумуляторов оказались различны. Материал MnO2-II демонстрирует более высокую начальную емкость (180 мА ч г−1 при токе 0.3 А г−1), но в то же время его циклическая стабильность ниже на 40% по сравнению с материалом MnO2-I. Это может быть связано с более развитой площадью поверхности активного материала и меньшей степенью кристалличности.
Об авторах
М. А. Каменский
Санкт-Петербургский государственный университет, Институт химии
Email: vkondratiev@mail.ru
Россия, Санкт-Петербург
А. Ю. Попов
Санкт-Петербургский государственный университет, Институт химии
Email: vkondratiev@mail.ru
Россия, Санкт-Петербург
С. Н. Елисеева
Санкт-Петербургский государственный университет, Институт химии
Email: vkondratiev@mail.ru
Россия, Санкт-Петербург
В. В. Кондратьев
Санкт-Петербургский государственный университет, Институт химии
Автор, ответственный за переписку.
Email: vkondratiev@mail.ru
Россия, Санкт-Петербург
Список литературы
- Hwang, J.Y., Myung, S.T., and Sun, Y.K., Sodium-ion batteries: Present and future, Chem. Soc. Rev., 2017, vol. 46, p. 3529.
- Xie, J. and Zhang, Q., Recent progress in multivalent metal (Mg, Zn, Ca, and Al) and metal-ion rechargeable batteries with organic materials as promising electrodes, Small, 2019, vol. 15, p. 1805061.
- Liang, Y., Dong, H., Aurbach, D., and Yao, Y., Current status and future directions of multivalent metal-ion batteries, Nat. Energy, 2020, vol. 5, p. 646.
- Borchers, N., Clark, S., Horstmann, B., Jayasayee, K., Juel, M., and Stevens, P., Innovative zinc-based batteries, J. Power Sources, 2021, vol. 484, p. 229309.
- Zhou, T., Zhu, L., Xie, L., Han, Q., Yang, X., Chen, L., Wang, G., and Cao, X., Cathode materials for aqueous zinc-ion batteries: A mini review, J. Colloid Interface Sci., 2022, vol. 605, p. 828.
- Selvakumaran, D., Pan, A., Liang, S., and Cao, G., A review on recent developments and challenges of cathode materials for rechargeable aqueous Zn-ion batteries, J. Mater. Chem. A, 2019, vol. 7, p. 18209.
- Chen, L., An, Q., and Mai, L., Recent advances and prospects of cathode materials for rechargeable aqueous zinc-ion batteries, Adv. Mater. Interfaces, 2019, vol. 6, p. 1900387.
- Mathew, V., Sambandam, B., Kim, S., Kim, S., Park, S., Lee, S., Alfaruqi, M.H., Soundharrajan, V., Islam, S., Putro, D.Y., Hwang, J.-Y., Sun, Y.-K., and Kim, J., Manganese and vanadium oxide cathodes for aqueous rechargeable zinc-ion batteries: a focused view on performance, mechanism, and developments, ACS Energy Lett., 2020, vol. 5, p. 2376.
- Guo, X., Yang, S., Wang, D., Chen, A., Wang, Y., Li, P., Liang, G., and Zhi, C., The energy storage mechanisms of MnO2 in batteries, Curr. Opin. Electrochem., 2021, vol. 30, p. 100769.
- Zhang, Z., Li, W., Shen, Y., Wang, R., Li, H., Zhou, M., Wang, W., Wang, K., and Jiang, K., Issues and opportunities of manganese-based materials for enhanced Zn-ion storage performances, J. Energy Storage, 2022, vol. 45, p. 103729.
- Post, J.E., Manganese oxide minerals: Crystal structures and economic and environmental significance, Proc. Natl. Acad. Sci., 1999, vol. 96, p. 3447.
- Jin, Y., Zou, L., Liu, L., Engelhard, M.H., Patel, R.L., Nie, Z., Han, K.S., Shao, Y., Wang, C., Zhu, J., Pan, H., and Liu, J., Joint charge storage for high-rate aqueous zinc–manganese dioxide batteries, Adv. Mater., 2019, vol. 31, p. 1900567.
- Alfaruqi, M.H., Islam, S., Putro, D.Y., Mathew, V., Kim, S., Jo, J., Kim, S., Sun, Y-K., Kim, K., and Kim, J., Structural transformation and electrochemical study of layered MnO2 in rechargeable aqueous zinc-ion battery, Electrochim. Acta, 2018, vol. 276, p. 1.
- Li, G., Huang, Z., Chen, J., Yao, F., Liu, J., Li, O.L., Sun, S., and Shi, Z., Rechargeable Zn-ion batteries with high power and energy densities: A two-electron reaction pathway in birnessite MnO2 cathode materials, J. Mater. Chem. A, 2020, vol. 8, p. 1975.
- Wang, F., Lai, Y., Zhang, Y., Ou, P., Wu, P., Zhu, H., Chen, Z., and Li, S., Preparation of novel hollow δ-MnO2 composite sphere for supercapacitors and degradation of bisphenol A, Mater. Res. Bull., 2019, vol. 115, p. 257.
- Wang, H., Liang, M., Gao, J., Ma, C., He, Z., Zhao, Y., and Miao, Z., Robust structural stability of flower-like δ-MnO2 as cathode for aqueous zinc ion battery, Colloids Surfaces A Physicochem. Eng. Asp., 2022, vol. 643, p. 128804.
- Peng, H., Fan, H., Yang, C., Tian, Y., Wang, C., and Sui, J., Ultrathin δ-MnO2 nanoflakes with Na+ intercalation as a high-capacity cathode for aqueous zinc-ion batteries, RSC Adv., 2020, vol. 10, p. 17702.
- Егорова, А.А., Бушкова, Т.М., Колесник, И.В., Япрынцев, А.Д., Котцов, С.Ю., Баранчиков, А.Е. Селективный синтез полиморфных модификаций диоксида марганца гидротермальной обработкой водных растворов KMnO4. Журн. неорган. химии. 2021. Т. 66. С. 141. [Egorova, A.A., Bushkova, T.M., Kolesnik, I.V., Yapryntsev, A.D., Kottsov, S.Y., and Baranchikov, A.E., Selective synthesis of manganese dioxide polymorphs by the hydrothermal treatment of aqueous KMnO4 solutions, Russ. J. Inorg. Chem., 2021, vol. 66, p. 146.]
- Wu, Y., Fee, J., Tobin, Z., Shirazi-Amin, A., Kerns, P., Dissanayake, S., Mirich, A., and Suib, S.L., Amorphous manganese oxides: an approach for reversible aqueous zinc-ion batteries, ACS Appl. Energy Mater., 2020, vol. 3, p. 1627.
- Yang, X., Makita, Y., Liu, Z.H., Sakane, K., and Ooi, K., Structural characterization of self-assembled MnO2 nanosheets from birnessite manganese oxide single crystals, Chem. Mater., 2004, vol. 16, p. 5581.
- Soundharrajan, V., Sambandam, B., Kim, S., Islam, S., Jo, J., Kim, S., Mathew, V., Sun, Y., and Kim, J., The dominant role of Mn2+ additive on the electrochemical reaction in ZnMn2O4 cathode for aqueous zinc-ion batteries, Energy Storage Mater., 2020, vol. 28, p. 407.
- Qiu, C., Zhu, X., Xue, L., Ni, M., Zhao, Y., Liu, B., and Xia, H., The function of Mn2+ additive in aqueous electrolyte for Zn/δ-MnO2 battery, Electrochim. Acta, 2020, vol. 351, p. 136445.
- Zhang, S., Liu, Z., Li, L., Tang, Y., Li, S., Huang, H., and Zhang, H., Electrochemical activation strategies of a novel high entropy amorphous V-based cathode material for high-performance aqueous zinc-ion batteries, J. Mater. Chem. A, 2021, vol. 9, p. 18488.
- Zhang, Y., Huang, R., Wang, X., Wang, Z., Song, B., Du, Y., Lu, Q., Chen, X., and Sun, J., Facile large-scale preparation of vanadium pentoxide -polypyrrole composite for aqueous zinc-ion batteries, J. Alloys Compd., 2022, vol. 907, p. 164434.
- Huang, C., Wu, C., Zhang, Z., Xie, Y., Li, Y., Yang, C., and Wang, H., Crystalline and amorphous MnO2 cathodes with open framework enable high-performance aqueous zinc-ion batteries, Front. Mater. Sci., 2021, vol. 15, p. 202.
- Liu, D.-S., Mai, Y., Chen, S., Liu, S., Ang, E.H., Ye, M., Yang, Y., Zhang, Y., Geng, H., and Li, C.C., A 1D–3D interconnected δ-MnO2 nanowires network as high-performance and high energy efficiency cathode material for aqueous zinc-ion batteries, Electrochim. Acta, 2021, vol. 370, p. 137740.
- Huang, J., Wang, Z., Hou, M., Dong, X., Liu, Y., Wang, Y., and Xia, Y., Polyaniline-intercalated manganese dioxide nanolayers as a high-performance cathode material for an aqueous zinc-ion battery, Nat. Commun., 2018, vol. 9, p. 2906.
- Efremova, A.O., Volkov, A.I., Tolstopyatova, E.G., and Kondratiev, V.V., EQCM study of intercalation processes into electrodeposited MnO2 electrode in aqueous zinc-ion battery electrolyte, J. Alloys Compd., 2022, vol. 892, p. 162142.
- Tan, Y., An, F., Liu, Y., Li, S., He, P., Zhang, N., Li, P., and Qu, X., Reaction kinetics in rechargeable zinc-ion batteries, J. Power Sources, 2021, vol. 492, p. 229655.
- Zhang, R., Liang, P., Yang, H., Min, H., Niu, M., Jin, S., Jiang, Y., Pan, Z., Yan, J., Shen, X., and Wang, J., Manipulating intercalation-extraction mechanisms in structurally modulated δ-MnO2 nanowires for high-performance aqueous zinc-ion batteries, Chem. Eng. J., 2022, vol. 433, p. 133687.
Дополнительные файлы











