ELECTROCHEMICAL REDUCTION DOPING OF TiO2 NANOTUBES TO INCREASE THE EFFICIENCY OF PHOTOELECTROCHEMICAL WATER SPLITTING
- Authors: Zos’ko N.A.1, Kenova T.A.1, Taran O.P.1,2, Zhizhaev A.M.1
-
Affiliations:
- Institute of Chemistry and Chemical Technology FRC KSC SB RAS
- Siberian Federal University
- Issue: Vol 59, No 10 (2023)
- Pages: 610-616
- Section: Articles
- URL: https://journals.rcsi.science/0424-8570/article/view/141825
- DOI: https://doi.org/10.31857/S042485702310016X
- EDN: https://elibrary.ru/WEZEPP
- ID: 141825
Cite item
Full Text
Abstract
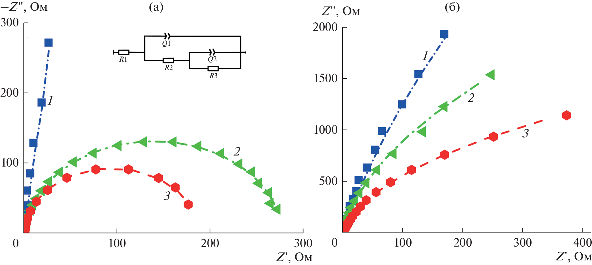
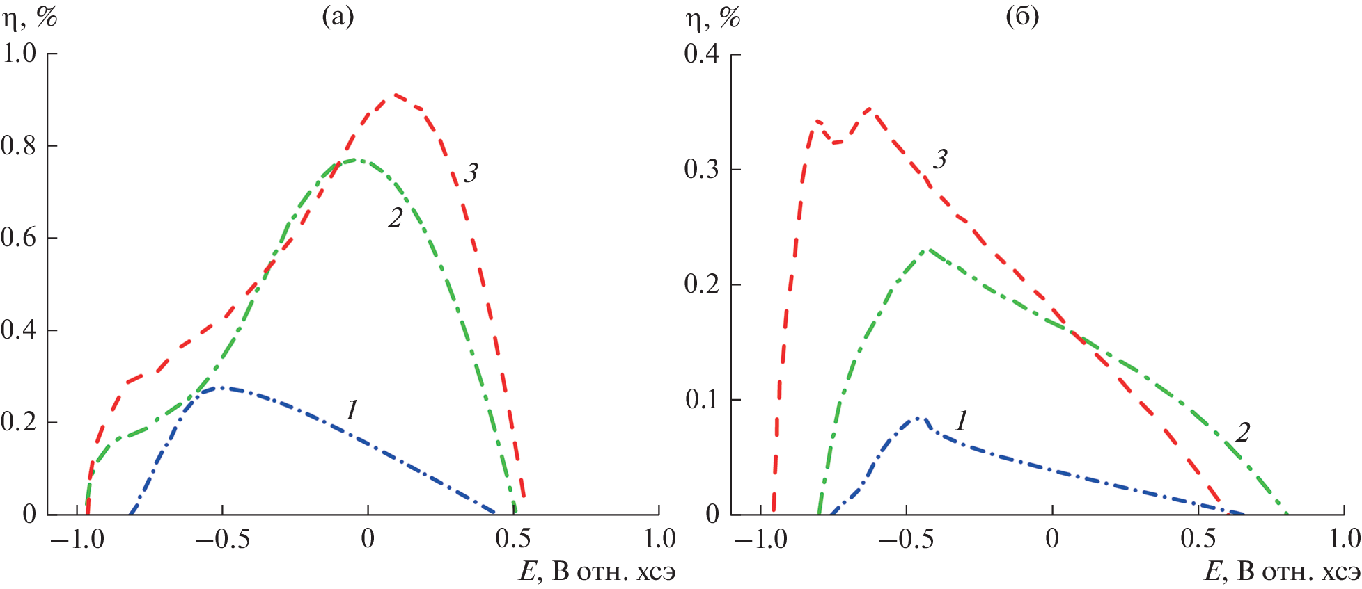
TiO2 films being a 1D nanotube structure were obtained by electrochemical anodic oxidation of titanium foil. Electrochemical reduction activation of electrodes based on TiO2 nanotubes was carried out using the method of cyclic voltammetry (CV). The activated electrodes showed significantly higher current density and quantum efficiency of the photoelectrochemical water splitting compared to native TiO2 nanotubes. Electrochemical treatment of electrodes by the CV method leads to an increase in the photocurrent density from 4 to 14 times, depending on both the wavelength used and the applied potential. The analysis of electrochemical impedance spectra showed that the increase in the photoelectrochemical process performance is due to an increase in the charge transfer rate at the semiconductor/electrolyte interface, as well as improved electronic conductivity of the oxide layer, which contributes to better charge carrier separation and a decrease in their recombination rate.
About the authors
N. A. Zos’ko
Institute of Chemistry and Chemical Technology FRC KSC SB RAS
Email: rtkm.1@mail.ru
Krasnoyarsk, Russian Federation
T. A. Kenova
Institute of Chemistry and Chemical Technology FRC KSC SB RAS
Email: kta@icct.ru
Krasnoyarsk, Russian Federation
O. P. Taran
Institute of Chemistry and Chemical Technology FRC KSC SB RAS; Siberian Federal University
Email: kta@icct.ru
Krasnoyarsk, Russian Federation; Krasnoyarsk, Russian Federation
A. M. Zhizhaev
Institute of Chemistry and Chemical Technology FRC KSC SB RAS
Author for correspondence.
Email: kta@icct.ru
Krasnoyarsk, Russian Federation
References
- Chen, X., Liu, L., Yu, P.Y., and Mao, S.S., Increasing Solar Absorption for Photocatalysis with Black Hydrogenated Titanium Dioxide Nanocrystals, Science, 2011, vol. 331, p. 746 .
- Ying, D., Cao, R., Li, C., Tang, T., Li, K., Wang, H., Wang, Y., and Jia, J., Study of the photocurrent in a photocatalytic fuel cell for wastewater treatment and the effects of TiO2 surface morphology to the apportionment of the photocurrent., Electrochim. Acta, 2016, vol. 192, p. 319.
- Li, H., Chen, Z., Tsang, C. K., Li, Z., Ran, X., Lee, C., Nie, B., Zheng, L., Hung, T.F., Lu, J., Pan, B., and Li, Y., Electrochemical doping of anatase TiO2 in organic electrolytes for high-performance supercapacitors and photocatalysts, J. Mater. Chem., 2014, vol. 2, p. 229.
- Palmas, S., Polcaro, A.M., Ruiz, J.R., Pozzo, A.D., Mascia, M., and Vacca, A., TiO2 photoanodes for electrically enhanced water splitting, Internat. J. Hydrogen Energy, 2010, vol. 35, p. 6561.
- Sahoo, S. S., Mansingh, S., Babu, P., and Parida, K., Black titania an emerging photocatalyst: review highlighting the synthesis techniques and photocatalytic activity for hydrogen generation, Nanoscale Advances, 2021, vol. 3, p. 5487.
- Samioloa, L., Valigi, M., Gazzoli, D., and Amadelli, R., Photo-electro catalytic oxidation of aromatic alcohols on visible light-absorbing nitrogen-doped TiO2, Electrochim. Acta, 2010, vol. 55, no. 26. p. 7788.
- Xing, M.-Y., Li, W.-K., Wu, Y.-M., Zhang, J.-L., and Gong, X.-Q., Formation of New Structures and Their Synergistic Effects in Boron and Nitrogen Codoped TiO2 for Enhancement of Photocatalytic Performance, J. Phys. Chem. C, 2011, vol. 115, no. 16, p. 7858.
- Naldoni, A., Altomare, M., Zoppellaro, G., Liu, N., Kment, Š., Zbořil, R., and Schmuki, P., Photocatalysis with Reduced TiO2: From Black TiO2 to Cocatalyst-Free Hydrogen Production, ACS Catalysis, 2019, vol. 9, p. 345.
- Wang, Z., Wang, Z., Yang, C., Yang, C., Lin, T., Lin, T., Yin, H., Chen, P., Wan, D., Xu, F., Huang, F., Huang, F., Lin, J., Xie, X., and Jiang, M., Visible-light photocatalytic, solar thermal and photoelectrochemical properties of aluminium-reduced black titania, Energy and Environmental Sci., 2013, vol. 6, p. 3007.
- Shah, M., Zhu, Y., Fan, X., Zhao, J., Li, Y., Asim, S., and Wang, C., Facile Synthesis of Defective TiO2–x Nanocrystals with High Surface Area and Tailoring Bandgap for Visible-light Photocatalysis, Scientific Reports, 2015, vol. 5, p. 15804.
- Li, G., Lian, Z., Li, X., Xu, Y., Wang, W., Zhang, D., Tian, F., and Li, H., Ionothermal synthesis of black Ti3+-doped single-crystal TiO2 as an active photocatalyst for pollutant degradation and H2 generation, J. Mater. Chem. A, 2015, vol. 3, p. 3748.
- Panomsuwan, G., Watthanaphanit, A., Ishizaki, T., and Saito, N., Water-plasma-assisted synthesis of black titania spheres with efficient visible-light photocatalytic activity, Phys. Chem. Chem. Phys., 2015, vol. 17, p. 13794.
- Nakajima, T., Nakamura, T., Shinoda, K., and Tsuchiya, T., Rapid formation of black titania photoanodes: pulsed laser-induced oxygen release and enhanced solar water splitting efficiency, J. Mater. Chem. A, 2014, vol. 2, no. 19, p. 6762.
- Yang, Y., Liao, J., Li, Y., Cao, X., Li, N., Wang, C., and Lin, S., Electrochemically self-doped hierarchical TiO2 nanotube arrays for enhanced visible-light photoelectrochemical performance: an experimental and computational study, RSC Advances, 2016, vol. 6, no. 52, p. 46871.
- Wu, H., Li, D., Zhu, X., Yang, C., Liu, D., Chen, X., Song, Y., and Lu, L., High-performance and renewable supercapacitors based on TiO2 nanotube array electrodes treated by an electrochemical doping approach, Electrochim. Acta, 2014, vol. 116, p. 129.
- Fabregat-Santiago, F., Barea, E.M., Bisquert, J., Mor, G.K., Shankar, K., and Grimes, C.A., High carrier density and capacitance in TiO2 nanotube arrays induced by electrochemical doping, J. Amer. Chem. Soc., 2008, vol. 130 34, p. 11312.
- Berger, T., Lana-Villarreal, T., Monllor-Satoca, D., and Gómez, R., Charge transfer reductive doping of nanostructured TiO2 thin films as a way to improve their photoelectrocatalytic performance, Electrochem. Commun., 2006, vol. 8, no. 11, p. 1713.
- Jankulovska - Petkovska, M., Berger, T., Wong, S., Gómez, R., and Lana-Villarreal, T., Trap States in TiO2 Films Made of Nanowires, Nanotubes or Nanoparticles: An Electrochemical Study, Chemphyschem : a Europ. j. chem. phys. and phys. chem., 2012, vol. 13, p. 3008.
- Zhu, H., Zhao, M., Zhou, J., Li, W., Wang, H., Xu, Z., Lu, L., Pei, L., Shi, Z., Yan, S., Li, Z., and Zou, Z., Surface states as electron transfer pathway enhanced charge separation in TiO2 nanotube water splitting photoanodes, Appl. Catal. B: Environmental, 2018, vol. 234, p. 100.
- Varghese, O.K. and Grimes, C.A., Appropriate strategies for determining the photoconversion efficiency of water photoelectrolysis cells: A review with examples using titania nanotube array photoanodes, Solar Energy Materials and Solar Cells, 2008, vol. 92, no. 4. p. 374.
- Yu, D., Zhang, Y., Wang, F., and Dai, J., Preparation of ZnO/two-layer self-doped black TiO2 nanotube arrays and their enhanced photochemical properties, RSC Advances, 2021, vol. 11, no. 4, p. 2307.
- Bredar, A., Chown, A., Burton, A., and Farnum, B., Electrochemical Impedance Spectroscopy of Metal Oxide Electrodes for Energy Applications, ACS Appl. Energy Mater., 2020, vol. 3, p. 66.
- Leshuk, T., Parviz, R., Everett, P., Krishnakumar, H., Varin, R.A., and Gu, F.X., Photocatalytic activity of hydrogenated TiO2, ACS Appl. Mater. & Interfaces, 2013, vol. 56, p. 1892.
Supplementary files







