Окисление формальдегида на PdNi-нанонитях, синтезированных в сверхтекучем гелии
- Авторы: Манжос Р.А.1, Кочергин В.К.1, Кривенко А.Г.1, Ходос И.И.2, Карабулин А.В.1,3, Матюшенко В.И.4
-
Учреждения:
- Федеральный исследовательский центр проблем химической физики и медицинской химии РАН
- Институт проблем технологии микроэлектроники и особочистых материалов РАН
- Объединенный институт высоких температур РАН
- Филиал Федерального исследовательского центра химической физики им. Н.Н. Семенова РАН
- Выпуск: Том 59, № 10 (2023)
- Страницы: 554-558
- Раздел: Статьи
- URL: https://journals.rcsi.science/0424-8570/article/view/141820
- DOI: https://doi.org/10.31857/S0424857023100122
- EDN: https://elibrary.ru/YLZUEY
- ID: 141820
Цитировать
Полный текст
Аннотация
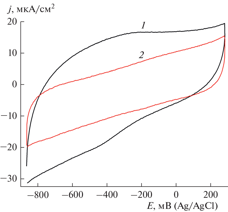
Рассмотрена возможность применения в качестве сенсора на формальдегид допированного бором алмазного электрода с нанесенной на его поверхность методом лазерной абляции в сверхтекучем гелии сетчатой структурой из нанонитей сплава PdNi. Показана высокая чувствительность такого электрода к следовым количествам формальдегида.
Ключевые слова
Об авторах
Р. А. Манжос
Федеральный исследовательский центр проблем химической физики и медицинской химии РАН
Email: rmanzhos@icp.ac.ru
Россия, 142432, Московская обл., Черноголовка, просп. академика Семенова, 1
В. К. Кочергин
Федеральный исследовательский центр проблем химической физики и медицинской химии РАН
Email: rmanzhos@icp.ac.ru
Россия, 142432, Московская обл., Черноголовка, просп. академика Семенова, 1
А. Г. Кривенко
Федеральный исследовательский центр проблем химической физики и медицинской химии РАН
Email: rmanzhos@icp.ac.ru
Россия, 142432, Московская обл., Черноголовка, просп. академика Семенова, 1
И. И. Ходос
Институт проблем технологии микроэлектроники и особочистых материалов РАН
Email: rmanzhos@icp.ac.ru
Россия, 142432, Московская обл., Черноголовка
А. В. Карабулин
Федеральный исследовательский центр проблем химической физики и медицинской химии РАН; Объединенный институт высоких температур РАН
Email: rmanzhos@icp.ac.ru
Россия, 142432, Московская обл., Черноголовка, просп. академика Семенова, 1; Россия, 125412, Москва, ул. Ижорская, 13, стр. 2
В. И. Матюшенко
Филиал Федерального исследовательского центра химической физики им. Н.Н. Семенова РАН
Автор, ответственный за переписку.
Email: rmanzhos@icp.ac.ru
Россия, 142432, Московская обл., Черноголовка, просп. академика Семенова, 1
Список литературы
- Zhou, Z.L., Kang, T.F., Zhang, Y., and Cheng, S.Y., Electrochemical sensor for formaldehyde based on Pt–Pd nanoparticles and a Nafion-modified glassy carbon electrode, Microchim. Acta, 2009, vol. 164, p. 133. https://doi.org/10.1007/s00604-008-0046-x
- Qiao, J., Guo, Y., Song, J., Zhang, Y., Sun, T., Shuang, S., and Dong, C., Synthesis of a palladium-graphene material and its application for formaldehyde determination, Anal. Lett., 2013, vol. 46, p. 1454. https://doi.org/10.1080/00032719.2012.751543
- Zhang, J., Shangguan, L., and Dong, C., Electrocatalytic oxidation of formaldehyde and formic acid at Pd nanoparticles modified glassy carbon electrode, Micro Nano Lett., 2013, vol. 8, p. 704. https://doi.org/10.1049/mnl.2013.0186
- Ejaz, A., Ahmed, M.S., and Jeon, S., Synergistic effect of 1, 4-benzenedimethaneamine assembled graphene supported palladium for formaldehyde oxidation reaction in alkaline media, J. Electrochem. Soc., 2016, vol. 163, p. B163. https://doi.org/10.1149/2.0821605jes
- Kongkaew, S., Kanatharana, P., Thavarungkul, P., and Limbut, W., A preparation of homogeneous distribution of palladium nanoparticle on poly(acrylic acid)-functionalized graphene oxide modified electrode for formalin oxidation, Electrochim. Acta, 2017, vol. 247, p. 229. https://doi.org/10.1016/j.electacta.2017.06.131
- Bennett, J.A., Wang, J., Show, Y., and Swain, G.M., Effect of sp2-bonded nondiamond carbon impurity on the response of boron-doped polycrystalline diamond thin-film electrodes, J. Electrochem. Soc., 2004, vol. 151, p. E306. https://doi.org/10.1149/1.1780111
- Gordon, E.B., Karabulin, A.V., Matyushenko, V.I., and Khodos, I.I., Experimental study of thermal stability of thin nanowires, J. Phys. Chem. A, 2015, vol. 119, p. 2490. https://doi.org/10.1021/jp5087834
- Liu, Z., Yin, Y., Yang, D., Zhang, C., Ming, P., Li, B., and Yang, S., Efficient synthesis of Pt–Co nanowires as cathode catalysts for proton exchange membrane fuel cells, RSC Adv., 2020, vol. 10, p. 6287. https://doi.org/10.1039/D0RA00264J
- Khudhayer, W.J., Shaikh, A.U., and Karabacak, T., Platinum Nanorod Arrays with Preferred Morphological and Crystal Properties for Oxygen Reduction Reaction, Adv. Sci. Lett., 2011, vol. 4, p. 3551. https://doi.org/10.1166/asl.2011.1867
- Nash, A. and Nash, P., The Ni–Pd (Nickel–Palladium) system, Bull. Alloy Phase Diagr., 1984, vol. 5, p. 446. https://doi.org/10.1007/BF02872890
- Yi, Y., Weinberg, G., Prenzel, M., Greiner, M., Heumann, S., Becker, S., and Schlögl, R., Electrochemical corrosion of a glassy carbon electrode, Catal. Today, 2017, vol. 295, p. 32. https://doi.org/10.1016/j.cattod.2017.07.013
- Кривенко, А.Г., Манжос, Р.А., Кочергин В.К. Влияние плазмоэлектрохимической обработки стеклоуглеродного электрода на обратимые и необратимые электродные реакции. Электрохимия. 2019. Т. 55. С. 854. [Krivenko, A.G., Manzhos, R.A., and Kochergin, V.K., Effect of Plasma-Assisted Electrochemical Treatment of Glassy Carbon Electrode on the Reversible and Irreversible Electrode Reactions, Russ. J. Electrochem., 2019, vol. 55, p. 663.] https://doi.org/10.1134/S102319351907005X10.1134/S102319351907005Xhttps://doi.org/10.1134/S0424857019070053
- Podlovchenko, B.I., Maksimov, Yu.M., Gladysheva, T.D., and Volkov, D.S., Role of oxides in the electrochemical dissolution of Pd and its alloys, Mendeleev Commun., 2021, vol. 31, p. 561. https://doi.org/10.1016/j.mencom.2021.07.042
- Wang, K.-W., Chung, S.-R., and Liu, C.-W., Surface Segregation of PdxNi100 – x Alloy Nanoparticles, J. Phys. Chem. C, 2008, vol. 112, p. 10242. https://doi.org/10.1021/jp800908k
- Yan, R.-W. and Jin, B.-K., Study of the electrochemical oxidation mechanism of formaldehyde on gold electrode in alkaline solution, Chin. Chem. Lett., 2013, vol. 24, p. 159. https://doi.org/10.1016/j.cclet.2013.01.023
- Gor’kov, K.V., Talagaeva, N.V., Kleinikova, S.A., Dremova, N.N., Vorotyntsev, M.A., and Zolotukhina, E.V., Palladium-polypyrrole composites as prospective catalysts for formaldehyde electrooxidation in alkaline solutions, Electrochim. Acta, 2020, vol. 345, p. 136164. https://doi.org/10.1016/j.electacta.2020.136164
- Doronin, S.V., Manzhos, R.A., and Krivenko, A.G., EDL structure and peculiarities of ferricyanide cyclic voltammetry for silver deposits on gold, Electrochem. Commun., 2015, vol. 57, p. 35. https://doi.org/10.1016/j.elecom.2015.05.003
Дополнительные файлы








