ELECTRODEPOSITION SILVER(I) SELENIDE FROM AQUEUOS THIOCYANATE SOLUTIONS
- Autores: Kuznetsov V.V.1,2, Tyagneryov E.A.1, Kapustin A.V.1, Zhukov V.Y.1, Filatova E.A.1
-
Afiliações:
- Russian University of Chemical Technology named for D. I. Mendeleev
- Institute of Physical Chemistry and Electrochemistry named for A.N. Frumkin Russian Academy of Science
- Edição: Volume 59, Nº 9 (2023)
- Páginas: 536-542
- Seção: Articles
- URL: https://journals.rcsi.science/0424-8570/article/view/139378
- DOI: https://doi.org/10.31857/S0424857023090098
- EDN: https://elibrary.ru/MKDAAD
- ID: 139378
Citar
Texto integral
Resumo
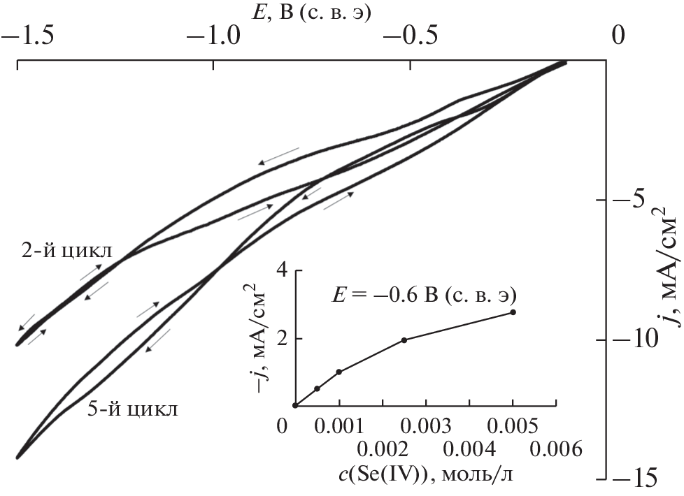
Electrodeposition of silver(I) selenide possessing pronounced thermoelectric properties was carried out from aqueous solutions containing thiocyanate complexes of silver(I) and Se (IV) compounds at pH 4.7. Ag2Se is formed at cathode potentials more negative than –0.9 V (s.h.e.). The obtained coatings were characterized by scanning electron microscopy (SEM), X-ray photoelectron spectroscopy (XPS), X-ray phase analysis (XPA), and atomic force microscopy (AFM). The stoichiometry of the cathode deposit is close to Ag2Se. Diffraction studies have shown that an orthorhombic modification of silver(I) selenide is formed under electrodeposition conditions. Cathode deposits have a columnar nanostructure.
Palavras-chave
Sobre autores
V. Kuznetsov
Russian University of Chemical Technology named for D. I. Mendeleev; Institute of Physical Chemistry and Electrochemistry named for A.N. Frumkin Russian Academy of Science
Email: vitkuzn1@mail.ru
125047, Moscow, Miusskaya sq.,9.; 119071, Moscow, Leninskiy avenue, 31, b. 4
E. Tyagneryov
Russian University of Chemical Technology named for D. I. Mendeleev
Email: vitkuzn1@mail.ru
125047, Moscow, Miusskaya sq.,9.
A. Kapustin
Russian University of Chemical Technology named for D. I. Mendeleev
Email: vitkuzn1@mail.ru
125047, Moscow, Miusskaya sq.,9.
V. Zhukov
Russian University of Chemical Technology named for D. I. Mendeleev
Email: vitkuzn1@mail.ru
125047, Moscow, Miusskaya sq.,9.
E. Filatova
Russian University of Chemical Technology named for D. I. Mendeleev
Autor responsável pela correspondência
Email: vitkuzn1@mail.ru
125047, Moscow, Miusskaya sq.,9.
Bibliografia
- Wang, J., Fan, W., Yang, J., Da, Z., Yang, X., Chen, K., Yu, H., and Cheng, X., Tetragonal–Orthorombic–Cubic phase transitions in Ag2Se nanocrystals, Chem. Mater., 2014, vol. 26, p. 5647.
- Tappan, B.A., Zhu, B., Cottingham, P., Mecklenburg, M., Scanlon, D.O., and Brutchey, R.L., Crystal structure of colloidal prepared metastable Ag2Se nanocrystals, Nanoletters, 2021, vol. 21, p. 5881.
- Wang, J., Feng, H., and Fan, W., Solvothermical preparation and thermal phase change behaviors of nanosized tetragonal-phase silver selenide (Ag2Se), Adv. Mater. Res., 2014, vol. 850–851, p. 128.
- Dalven, R. and Gill, R., Energy gap in β-Ag2Se, Phys. Rev., 1967, vol. 159, p. 645.
- Conn, J.B. and Taylor, R.C., Thermoelectric and Crystallograhic properties of Ag2Se, J. Amer. Chem. Soc., 1960, vol. 107, p. 977.
- Mendhe, A.C. and Babar, P., Sequiential growth-controlled silver selenide nanoparticles embedded 1D-CdS nanowires: Heterostructure design to enchance power conversion efficiency, J. Phys. Chem. Solids, 2022, vol. 163, p. 110576.
- Jin, M. and Liang, J., Investigation on low-temperature thermoelectric properties of Ag2Se polycrystal fabricated by using zone-melting method, J. Phys. Chem. Lett., 2021, vol. 12(34), p. 8246.
- Graddage, N. and Ouyang, J., Near-infared-II photodetectors based on silver selenide quantum dots on mesoporous TiO2 Scaffolds, ACS Appl. Nano Mater., 2020, vol. 3, p. 12209.
- Qu, J., Goubet, N., Livache, C., Martinez, D., Amelot, B., Gréboval, Ch., Chu, A., Ramade, J., Cruguel, H., Ithurria, S., Silly, M.G., and Lhuillier, E., Intraband mid-infrared transitions in Ag2Se nanocrystals: potential and limitations for Hg free low cost photodetection, J. Phys. Chem. C, 2018, vol. 122(31), p. 18161.
- Sahu, A., Qi, L., Kang, M.S., Deng, D., and Norris, D.J., Facile synthesis of silver chalcogenide (Ag2E; E = Se, S, Te) semiconductor nanocrystals, J. Amer. Chem. Soc., 2011, vol. 133, p. 6509.
- Qasem, A. and Alrafai, H.A., Adapting the structural, optical and thermoelectrical properties of thermally annealed silver selenide (AgSe) thin films for improving the photovoltaic characteristics of the fabricated n-AgSe/p-CdTe solar cells, J. Alloys Compd., 2022, vol. 899, p. 163374.
- Tveryanovich, Y.S., Razumtcev, A.A., Fazletdinov, T.R., and Tverjanovich, A.S., Superionic nanolayered structure based on amorphous Ag2Se, J. Phys. Chem. Solids, 2021, vol. 148, p. 109731.
- Chougale, U.M., Han, S.H., Rath, M.C., and Fulari, V.J., Synthesis, characterization and surface deformation study of nanocrystalline Ag2Se thin films, Mater. Phys. Mech., 2013, vol. 17, p. 47.
- Genovese, L., Cocchiara, C., Piazza, S., and Sunseri, C., Electrochemical deposition of Ag2Se nanostructures, Mater. Res. Bull., 2017, vol. 86, p. 10.
- Bouroushian, M., Electrochemistry of metal chalcogenides. Monographs in Electrochemistry. Springer-Verlag Berlin Heidelberg. 2010, p. 57.
- Лурье, Ю.Ю. Справочник по аналитической химии. М.: Химия, 1971. С. 260.
- Винокуров, Е.Г., Бондарь, В.В. Модельные представления для описания и прогнозирования электроосаждения сплавов. М.: ВИНИТИ РАН, 2009. 163 с.
- Shirley, D.A., High-Resolution X-Ray Photoemission Spectrum of the Valence Bands of Gold, Phys. Rev. B, 1972, vol. 5, p. 4709.
- Scofield, H., Hartree-Slater subshell photoionization cross-sections at 1254 and 1487 eV, J. Electron Spectrosc. Relat. Phenom., 1976, vol. 8, p. 129.
- Chen, R., Xu, D., Guo, G., and Tang, Y., Electrodeposition of silver selenide thin films from aqueous solutions, J. Mater. Chem., 2002, vol. 12, p. 1437.
- Vanysek, P., in Electrochemical Series, 8–24. https://doi.org/10.31399/asm.hb.v13b.a0006542
- Лауринавичюте, В.К., Бахтенкова, С.Е., Дрожжин, О.А., Казаков, С.М., Антипов, Е.В. Электроосаждение пленок FexSey из кислых растворов. Электрохимия. 2016. Т. 52. С. 1176. [Laurinavichyute, V.K., Bakhtenkova, S.E., Drozhzhin, O.A., Kazakov, S.M., and Antipov, E.V., Electrodeposition of FexSey Films from Acidic Solutions, Russ. J. Electrochem., 2016, vol. 52, p. 1048.]
- Romand, M., Roubin, M., and Deloume, J.P., ESCA studies of some copper and silver selenides, J. Electron Spectrosc. Relat. Phenom., 1978, vol. 13, p. 229.
Arquivos suplementares









