Analysis of Effect of Concentration Dependence of Exchange Current on the Metal Electrodeposition into Template Nanopores
- Autores: Bograchev D.A.1, Kabanova T.B.2, Davydov A.D.2
-
Afiliações:
- Ariel University, The Faculty of Natural Sciences, Department of Chemical Sciences
- Frumkin Institute of Physical Chemistry and Electrochemistry, Russian Academy of Sciences
- Edição: Volume 59, Nº 9 (2023)
- Páginas: 501-509
- Seção: Articles
- URL: https://journals.rcsi.science/0424-8570/article/view/139371
- DOI: https://doi.org/10.31857/S0424857023090049
- EDN: https://elibrary.ru/KXCVPQ
- ID: 139371
Citar
Texto integral
Resumo
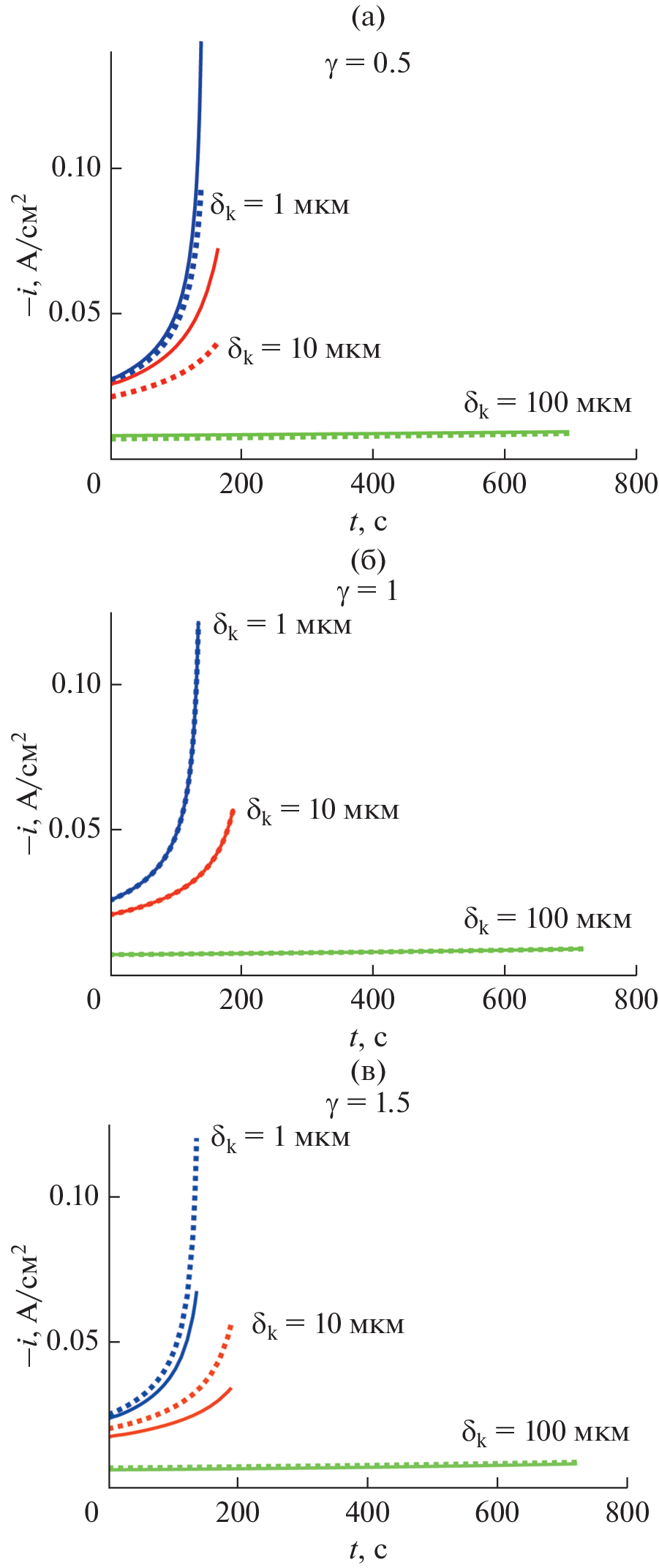
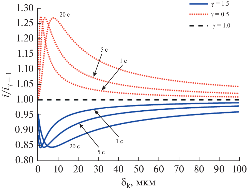
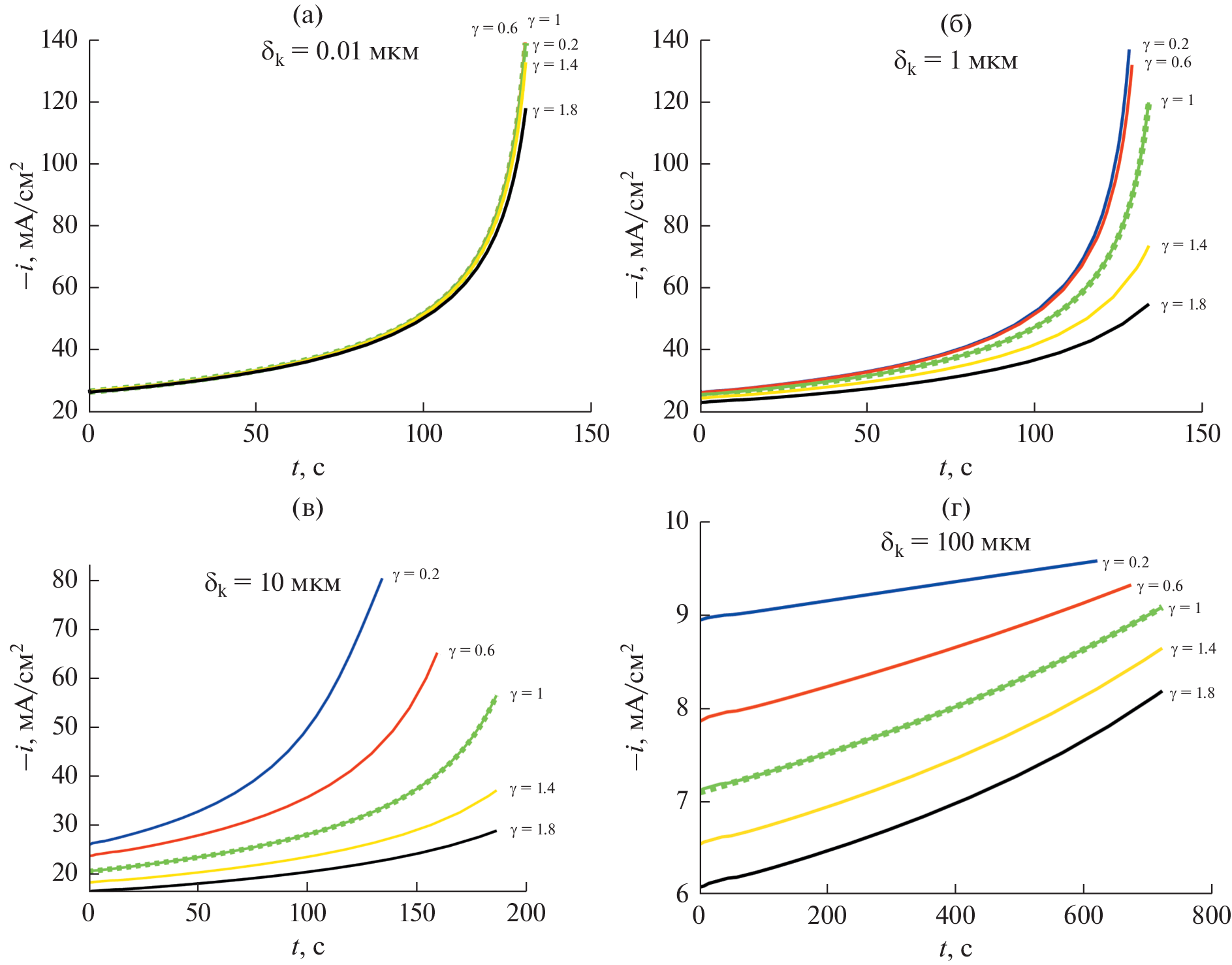
Metal electrodeposition into the nanopores of template of porous anodic alumina type under the conditions of mixed kinetics is studied theoretically using analytical and numerical methods. Two main stages of the process are studied: the non-steady-state formation of diffusion layer in the template pores and much longer process of pore filling with metal. The effect of nonlinearity of the concentration dependence of exchange current density of metal electrodeposition on the current density of the diffusion layer formation and pore filling with metal is studied.
Sobre autores
D. Bograchev
Ariel University, The Faculty of Natural Sciences, Department of Chemical Sciences
Email: bograchev@gmail.com
Ariel, Israel
T. Kabanova
Frumkin Institute of Physical Chemistry and Electrochemistry, Russian Academy of Sciences
Email: alexdavydov@yandex.ru
Moscow, Russia
A. Davydov
Frumkin Institute of Physical Chemistry and Electrochemistry, Russian Academy of Sciences
Autor responsável pela correspondência
Email: alexdavydov@yandex.ru
Moscow, Russia
Bibliografia
- Whitney, T.M., Jiang, J.S., Searson, P.C., and Chien, C.L., Fabrication and magnetic properties of arrays of metallic nanowires, Science, 1993, vol. 261, p. 1316.
- Banerjee, S., Dan, A., and Chakravorty, D., Review synthesis of conducting nanowires, J. Mater. Sci., 2002, vol. 37, p. 4261.
- Li, Y., Qian, F., Xiang, J., and Lieber, C.M., Nanowire electronic and optoelectronic devices, Mater. Today, 2006, vol. 9, p. 18.
- Давыдов, А.Д., Волгин, В.М. Темплатное электроосаждение металлов (Обзор). Электрохимия. 2016. Т. 52. С. 905. [Davydov, A.D. and Volgin, V.M., Template electrodeposition of metals. Review, Russ. J. Electrochem., 2016, vol. 52, p. 806.]
- Possin, G.E., A method for forming very small diameter wires, Rev. Sci. Instrum., 1970, vol. 41, p. 772.
- Lee, W. and Park, S.-J., Porous anodic aluminum oxide: Anodization and templated synthesis of functional nanostructures, Chem. Rev., 2014, vol. 114, p. 7487.
- Proenca, M.P., Sousa, C.T., Ventura, J., Vazquez, M., and Araujo, J.P., Ni growth inside ordered arrays of alumina nanopores: enhancing the deposition rate, Electrochim. Acta, 2012, vol. 72, p. 215.
- Napolskii, K.S., Roslyakov, I.V., Eliseev, A.A., Petukhov, D.I., Lukashin, A.V., Chen, S.-F., Liu, C.-P., and Tsirlina, G.A., Tuning the microstructure and functional properties of metal nanowire arrays via deposition potential, Electrochim. Acta, 2011, vol. 56, p. 2378.
- Schwanbeck, H. and Schmidt, U., Preparation and characterization of magnetic nanostructures using filtration membranes, Electrochim. Acta, 2000, vol. 45, p. 4389.
- Fedorov, F.S., Dunne, P., Gebert, A., and Uhlemann, M., Influence of Cu2+ ion concentration on the uniform electrochemical growth of copper nanowires in ordered alumina template, J. Electrochem. Soc., 2015, vol. 162, p. D568.
- Shin, S., Kong, B.H., Kim, B.S., Kim, K.M., Cho, H.K., and Cho, H.H., Over 95% of large-scale length uniformity in template-assisted electrodeposited nanowires by subzero-temperature electrodeposition, Nanoscale Res. Lett., 2011, vol. 6, p. 467.
- Valizadeh, S., George, J.M., Leisner, P., and Hultman, L., Electrochemical deposition of Co nanowire arrays: quantitative consideration of concentration profiles, Electrochim. Acta, 2001, vol. 47, p. 865.
- Schuchert, I.U., Toimil Molares, M.E., Dobrev, D., Vetter, J., Neumann, R., and Martin, M., Electrochemical copper deposition in etched ion track membranes. Experimental results and a qualitative kinetic model, J. Electrochem. Soc., 2003, vol. 150, p. C189.
- Philippe, L., Kacem, N., and Michler, J., Electrochemical deposition of metals inside high aspect ratio nanoelectrode array: analytical current expression and multidimensional kinetic model for cobalt nanostructure synthesis, J. Phys. Chem. C, 2007, vol. 111, p. 5229.
- Lopes, M.C., de Oliveira, C.P., and Pereira, E.C., Computational modeling of the template-assisted deposition of nanowires, Electrochim. Acta, 2008, vol. 53, p. 4359.
- Bograchev, D.A., Volgin, V.M., and Davydov, A.D., Simple model of mass transfer in template synthesis of metal ordered nanowire arrays, Electrochim. Acta, 2013, vol. 96, p. 1.
- Bograchev, D.A., Volgin, V.M., and Davydov, A.D., Simulation of inhomogeneous pores filling in template electrodeposition of ordered metal nanowire arrays, Electrochim. Acta, 2013, vol. 112, p. 279.
- Бограчев, Д.А., Волгин, В.М., Давыдов, А.Д. Моделирование электроосаждения металла в порах анодного оксида алюминия. Электрохимия. 2015. Т. 51. С. 907. [Bograchev, D.A., Volgin, V.M., and Davydov, A.D., Modeling of metal electrodeposition in the pores of anodic aluminum oxide, Russ. J. Electrochem., 2015, vol. 51, p. 799.]
- Bograchev, D.A. and Davydov, A.D., Effect of applied temperature gradient on instability of template-assisted metal electrodeposition, Electrochim. Acta, 2019, vol. 296, p. 1049.
- Shin, S., Al-Housseiny, T.T., Kim, B.S., Cho, H.H., and Stone, H.A., The race of nanowires: morphological instabilities and a control strategy, Nano Lett., 2014, vol. 14, p. 4395.
- Konishi, Y., Motoyama, M., Matsushima, H., Fukunaka, Y., Ishii, R., and Ito, Y., Electrodeposition of Cu nanowire arrays with a template, J. Electroanal. Chem., 2003, vol. 559, p. 149.
- Blanco, S., Vargas, R., Mostany, J., Borrás, C., and Scharifker, B.R., Modeling the growth of nanowire arrays in porous membrane templates, J. Electrochem. Soc., 2014, vol. 161, p. E3341.
- Bograchev, D.A. and Davydov, A.D., The role of common outer diffusion layer in the metal electrodeposition into template nanopores, Electrochim. Acta, 2021, vol. 367, p. 137405.
- Bograchev, D.A., Volgin, V.M., and Davydov, A.D., Mass transfer during metal electrodeposition into the pores of anodic aluminum oxide from a binary electrolyte under the potentiostatic and galvanostatic conditions, Electrochim. Acta, 2016, vol. 207, p. 247.
- Bograchev, D.A. and Davydov, A.D., The shape of end-face surface of a wire growing in a template nanopore, J. Electroanal. Chem., 2021, vol. 900, p. 115709.
- Newman, J. and Thomas-Alyea, K.E., Electrochemical Systems, 2004.
- Shampine, L.F., Solving 0 = F(t,y(t),y′(t)) in matlab, J. Numer. Math., 2002, vol. 10, p. 291.
- Gileadi, E., Kirowa-Eisner, E., and Penciner, J., Interfacial Electrochemistry: An Experimental Approach, New York: Addison-Wesley, Advanced Book Program, 1975.
- Skeel, R.D. and Berzins, M., A method for the spatial discretization of parabolic equations in one space variable, SIAM J. Sci. Stat. Comput., 1990, vol. 11, p. 1.
- Bograchev, D., Influence of diffusion through a porous film under electrode surface in chronoamperometry problems, Defect Diffus. Forum, Trans. Tech. Publ., 2021, vol. 413, p. 84.
Arquivos suplementares








